Abstract
Against the backdrop of the global sustainable development agenda and deepening reforms of China’s state-owned enterprises (SOEs), the restrictive effect of policy burdens on the long-term development capacity of SOEs has become increasingly prominent. How to break this constraint through policy reforms has become critical. This study takes China’s policy on the transfer of heating, power, water supply, and estate in the residential quarters of SOE employees (HPWET) as a quasi-natural experiment. Employing data from 2012 to 2024 on Chinese A-share SOEs listed in Shanghai and Shenzhen, combined with the staggered difference-in-differences method, to explore the impact of removing policy burdens (RPB) on the ESG performance of SOEs and the underlying mechanisms. Results show that RPB significantly improves SOEs’ ESG performance, with an average increase of 14.2% in the ESG performance of SOEs in the treatment group. This effect is more pronounced in large SOEs, those in regions with higher levels of technology marketization, and SOEs in light-pollution industries. Mechanism tests indicate that the improvement of the green innovation level, the reduction in political connections, and the optimization of the corporate governance environment are the core paths of action. This study further broadens the research perspective on SOE policy burdens, enriches the understanding of macro-policy drivers of the ESG performance, and provides new empirical evidence for emerging economies to break through the bottleneck of ESG development in SOEs through institutional reforms.
1. Introduction
Since the United Nations Sustainable Development Agenda and Paris Agreement, nations have increasingly recognized enterprises as drivers of sustainable development [1]. Enterprises have shifted from profit-focused entities to ESG practitioners. ESG criteria now serve as a global standard for assessing an enterprise’s commitment to sustainable practices, encompassing environmental efforts, social responsibilities, and corporate governance [2,3]. In today’s complex global markets and amid severe sustainable challenges, it is crucial to identify the factors affecting sustainable development in emerging economies [4,5]. For enterprises, if these factors cannot be clarified, achieving global sustainability goals and leveraging ESG advantages for long-term value in international competition will be challenging. Interest in improving the ESG performance in emerging markets has grown, but research is limited [6]. While developed countries have led ESG exploration, there is still a gap in understanding the factors influencing ESG in emerging economies [7], whose unique institutional contexts differ from Western market environments, limiting the applicability of Western-based research. Existing studies often overlook the central role of SOEs in ESG practices, focusing instead on all types of enterprises.
Despite the privatization trend in the 1980s and 1990s, SOEs remain dominant in emerging economies and are vital to global economic development [8]. By 2018, the assets of SOEs amounted to USD 45 trillion, accounting for 50% of global GDP [9]. They are key players in carbon-intensive sectors like energy, transportation, and infrastructure, which are essential for societal functioning and industrial stability [8]. ESG reporting practices are anticipated to be instrumental in enhancing SOEs’ engagement with the global sustainable development agenda [10]. The level of ESG practice in SOEs is directly related to the achievement of sustainable development goals in regions and even globally. Consequently, understanding the factors that influence SOEs’ ESG performance is essential for addressing sustainability challenges and guiding strategic decisions.
SOEs struggle with principal-agent issues and soft budget constraints, hindering their ability to focus on strategic areas like ESG, which demand high investment and offer long-term external benefits. It is widely acknowledged that SOEs generally exhibit lower efficiency compared to private enterprises, particularly in terms of performance, productivity, and innovation [11,12,13]. According to agency theory, SOE managers face conflicts due to the state’s dual role as a controlling shareholder and political principal, imposing non-commercial tasks like employment and public services on SOEs [14]. This dilutes profits and sidelines long-term goals like ESG. To ensure these non-commercial tasks are met, the state provides SOEs with protection and policy subsidies. However, due to information asymmetry, SOEs can mask operational losses as policy burdens to secure more state subsidies [15], creating a ‘soft budget constraint’ [16]. This weakens managers’ incentives for ESG investments, increasing agency costs and resource misallocation [17]. Ultimately, SOEs underinvest in sustainable development, leading to poor performance. Lin’s research identifies state-imposed policy burdens as the root cause of soft constraints [18], resulting in inefficient SOE operations and hindering ESG development. Removing policy burdens and strengthening the soft constraints on SOE budgets have become essential prerequisites for SOEs to enhance their ESG performance and meet global corporate sustainability standards.
Current research on the policy burden of SOEs is mostly theoretical. Limited empirical studies have examined the positive impact of RPB on SOE performance and innovation [19,20], and others have empirically explored the negative effects of policy burdens on corporate resource allocation efficiency [21]. However, there is no extension to the ESG dimension. Most of the literature on SOE reform focuses on privatization and mixed-ownership [22,23], which are seen to improve efficiency [23] and promote green innovation [24], while ignoring RPB as the key reform measure that more directly impacts ESG resource allocation within SOEs. This gap hinders the full understanding of ESG performance drivers in SOEs and limits guidance for emerging economies on enhancing ESG practices through SOE reforms.
China provides a unique setting for studying this issue due to its status as the largest emerging economy, with SOEs dominating key sectors like coal, electricity, steel and petrochemicals. Following China’s announcement of its ‘carbon peak and carbon neutrality’ goals in 2020, ESG performance has emerged as a critical competitive advantage for Chinese enterprises [3]. Secondly, Chinese SOEs have historically been encumbered with numerous policy-related obligations, resulting in the significant allocation of enterprise resources to non-commercial activities [18,25,26,27]. This directly squeezes its investment space in ESG, making it difficult for it to gain a foothold in international market competition through ESG advantages [21].Thirdly, fortunately, China attaches a great importance to the issue of policy burdens on SOEs under pressure, and expects to promote the transition of SOEs by RPB. The Chinese government promulgated the Guiding Opinions on the Separation and Transfer of ‘Heating, Power, Water, and Estate’ in Family Areas of Employees of SOEs in June 2016 (HPWET), promoting the transfer of policy burdens such as HPWE from SOEs to the government or third-party institutions. This policy provides an ideal quasi-natural experimental scenario for empirically testing ‘the impact of RPB on the ESG performance of SOEs’.
Based on this, this paper uses data from SOEs listed on China’s Shanghai and Shenzhen A-share markets from 2012 to 2024 as its sample. It employs the HPWET as a policy shock to empirically examine the impact of the RPB on the comprehensive ESG performance of SOEs, while also exploring the underlying mechanisms. This article aims to answer the following core question: Does the RPB influence the ESG performance of SOEs? What underlying mechanisms are involved?
The marginal contributions of this research primarily encompass the following:
- (1)
- Regarding the research content, this paper contributes to the existing literature on business burdens by addressing a gap in the research concerning the economic implications of RPB on SOEs. Previous studies have primarily concentrated on the economic impacts of privatization and mixed-ownership reform in SOEs. This article, starting from the background of the long-term policy burdens borne by SOEs, empirically tests the ESG effect of RPB, and provides new empirical evidence for SOEs to achieve comprehensive ESG improvements through reform.
- (2)
- Regarding research subjects, this study expands the boundary of ESG research on SOEs in emerging economies. Previous research has predominantly focused on the context of Western market economies, with limited attention given to the specificities of ESG practices within SOEs in emerging markets. This study specifically examines Chinese SOEs, combining their characteristics of ‘heavy policy burdens and unique institutional environments’ to reveal the mechanism of promoting ESG through RPB. It provides a reference for other emerging economies to advance ESG practices through SOE reform.
- (3)
- From a research perspective, this paper provides a new entry point for macro-policy interventions to explore the influencing factors of corporate ESG performance. Existing research has largely focused on internal and external factors such as institutional policies, market pressures, industry characteristics, and corporate governance [6,28,29,30]. However, it overlooks the fundamental logic by which institutional reforms like RPB activate the initiative for ESG practices within SOEs by resolving their inherent constraints. This paper takes the HPWET-based natural experiment to reveal the path of RPB’s role in the collaborative improvement of ESG, providing a scientific basis for the government to formulate policies related to SOE reform and sustainable development.
The remainder of the paper is structured as follows: Section 2 provides the literature review, policy background, and formulates the research hypotheses; Section 3 outlines the methodology and variables; Section 4 presents the empirical results and explores the mechanisms of influence; Section 5 conducts the heterogeneity analysis; and Section 6 and Section 7 give the discussion, conclusions, and policy implications, respectively.
2. Literature Background and Hypothesis Development
2.1. Literature Background
2.1.1. SOE Reform
The existing literature offers a substantial body of economic research on the reform of SOEs, with prior studies focusing on how SOEs strike a balance between fair market operations and diverse social objectives. Since the end of the 20th century, public sectors and researchers have shown great enthusiasm for the privatization reform of SOEs. Numerous studies have investigated the effects of transitioning from state ownership to privatization, positing that privatization is an effective strategy for enhancing the overall performance of SOEs [11,31,32]. The primary objectives of privatization include the consolidation of ownership and management rights, the resolution of information asymmetry, and the mitigation of moral hazard issues. Nonetheless, privatization is not universally applicable across all nations. The former Soviet Union and Eastern European countries serve as examples—large companies performed worse after privatization, and the inherent problems of the aforementioned SOEs still persisted [15]. In their study on SOEs in post-socialist Eastern European countries, Matuszak and Szarzec found that SOEs still faced issues such as a low return on assets and high labor costs [22]. Through an analysis of 224 studies on SOE ownership in Eastern European countries, Russia, and China, Iwasaki et al. [33] found that the link between SOE ownership reform and corporate performance is weaker in emerging-market economies than in developed ones. This suggests that corporate governance in these regions may remain underdeveloped.
Meanwhile, several countries, including China, Vietnam, Poland, and Belarus, have not fully privatized their SOEs. Although local SOEs have achieved certain outcomes post-reform, this does not necessarily indicate that they have resolved their inherent issues. For example, since the 1990s, China has launched a mixed-ownership reform, leading to a surge in relevant research. Some scholars contend that these reforms have enhanced corporate efficiency [23], bolstered sustainable competitive advantages [34], and fostered green innovation [24]. Conversely, other scholars argue that, despite the reforms, social objectives continue to overshadow profit motives in SOEs [35], and corporate control is firmly held by the government [21]. Guan et al. posit that mixed-ownership reform can partially ameliorate the common governance deficiencies of SOEs [36]. However, they caution that its efficacy is constrained by existing institutional frameworks and policies and advocate for a reduction in direct governmental intervention in SOEs.
Proponents of the policy burden theory contend that, within principal-agent dynamics, policy burdens significantly intensify information asymmetry between principals and agents, adversely affecting the viability of SOEs [17,18,25]. Empirical evidence indicates that governmental policy burdens imposed on SOEs contribute to their suboptimal performance in competitive markets [32,37,38]. Chu identifies redundant staffing as a detriment to SOE operations [39]. Liao et al.’s research demonstrates that policy burdens diminish resource allocation efficiency through tax incentives [40]. Consequently, policy burdens have left Chinese SOEs with persistent soft budget constraints, hindering their fair market competition, as well as their long-term development and profitability [15,21].
It is well-documented that policy burdens are a key issue restricting the sustainable development capacity of SOEs, and numerous studies have proven their negative effects. Nonetheless, the existing literature on the policy implications of RPB remains sparse, as scholarly attention has predominantly been directed towards the processes and outcomes of SOE privatization and mixed-ownership reforms. Although Zhao and Yuan et al. [19,20] have analyzed the positive impact of RPB on the development of SOEs from the perspectives of economic benefits and innovation, respectively, taking HPWET as the object, the investigation of the policy impact of RPB from other perspectives and the underlying impact mechanisms still need in-depth exploration. In light of the global emphasis on sustainability, it is crucial to assess the effects of RPB from environmental and social perspectives. Therefore, this paper takes the ESG performance of SOEs as an outcome variable to investigate the potential impact of RPB.
2.1.2. The Factors Influencing Corporate ESG Performance
In recent years, with the increasing emphasis on sustainable development worldwide, a burgeoning body of research focusing on the drivers of corporate ESG performance has emerged. The existing literature classifies these drivers into two broad categories: external factors and internal factors.
External factors primarily operate along two dimensions. The first dimension encompasses institutional and macro-environmental elements, including national characteristics [28,41], government behavior [42], religious beliefs [43], and the strength of the rule [44], all of which form exogenous constraints for corporate responsibility fulfillment. The second dimension centers on capital market dynamics and stakeholder pressure, such as the preferences of institutional investors [29], analyst coverage [45], and similar influences. Internal factors include two levels. At the industry level, factors include industry competition [46]. At the firm–internal level, key drivers include corporate characteristics [47,48], corporate management attributes, and strategic orientations [30,49,50,51]. Scholars have further synthesized seven specific core factors that prior studies have emphasized: digital transformation, financial strategy, corporate social responsibility, regulatory and policy mechanisms, governance approaches, board diversity, and organizational excellence [6]. It is evident that corporate ESG performance is a complex system shaped by the interplay of the institutional environment, market pressure, industry traits, and internal firm conditions.
Policy, as one of the most core and identifiable external shocks, exerts both hard constraints and soft guidance on corporate ESG practices. Regarding environmental policies, they can be categorized by tool type into three main groups: command-and-control instruments (such as carbon emission standards [52], legal penalties [53]); market-based instruments (including carbon trading schemes [54], taxes [55], green financial incentives [56], etc.); information and disclosure instruments (for example, mandatory environmental information disclosure [57], green labeling, and government procurement standards [58]). Empirical studies generally confirm that the strict enforcement of environmental regulations, market rules anchored in price signals, and direct, transparent information disclosure policies all contribute to improving corporate ESG performance. Government decision-making plays a pivotal role in advancing corporate ESG practices.
In summary, existing research has extensively examined the impact of policy on corporate ESG performance, especially the direct mechanisms of environmental policy instruments. However, the internal driving forces that enterprises can leverage amid robust government-led initiatives for sustainable development have been overlooked. After all, it is more effective to get companies to voluntarily participate in sustainable actions through policy reform [59]. For SOEs, excessive institutional constraints and high compliance costs can instead undermine their proactiveness and competitiveness in transformation [34]. In China, policy burdens represent a typical form of the institutional constraints faced by SOEs. And the impact of such burdens on the ESG performance of SOEs, especially the potential of RPB, remains underexplored. Hence, this paper takes the HPWET policy as a quasi-natural experiment to analyze the impact of RPB on the ESG of SOEs.
2.2. Policy Background
According to the classic research by Lin et al. [17,18], employee benefits and community services constitute the primary components of policy burdens for China’s SOEs and serve as key drivers of resource misallocation and efficiency losses. During the planned economy era, to prioritize industrial development, China tasked SOEs with absorbing a large portion of urban labor and providing employees and their families with ‘cradle-to-grave’ social welfare [25]. This phenomenon is termed ‘enterprises undertaking social functions’.
The heating, power supply, water supply, and estate management services for employees’ residential quarters targeted by the HPWET policy are typical examples of such policy burdens. Prior to HPWET, employees and their families were exempt from paying for these services, with SOEs covering all associated costs. These functions, which inherently fall under the scope of public services, were long shouldered by SOEs ‘on behalf of the government’, imposing rigid expenditure pressures on the enterprises. Thus, by implementing HPWET to transfer these services back to the government or professional institutions, SOEs can significantly reduce their policy burdens. RPB enables SOEs to redirect resources toward their core business operations, better aligning them with global sustainable development objectives.
In 2016, the State Council of China issued the Guiding Opinions on the Separation and Transfer of ‘Heating, Power, Water, and Estate’ in Family Areas of Employees of SOEs, formally launching the HPWET policy across China’s SOEs. The directive required the substantial completion of HPWET by the end of 2018, meaning that from 2019 onward, SOEs no longer bore any costs related to HPWE services in their employees’ residential quarters. Instead, SOEs transfer management responsibilities to specialized third-party entities or government agencies for dedicated oversight.
This raises a critical question: Can RPB measures like HPWET enhance SOEs’ ESG performance, thereby laying the groundwork for their sustainable development? As a pivotal initiative to alleviate policy burdens for Chinese SOEs, HPWET provides an ideal quasi-natural experimental setting to examine how reducing such burdens impacts the ESG performance. Therefore, this paper treats HPWET as a policy shock to investigate the effect of RPB on SOEs’ ESG performance.
2.3. Research Hypothesis
Existing studies offer two competing predictions regarding the relationship between RPB and the development capacity of SOEs.
From the ‘efficiency perspective’, RPB can harden budget constraints, allowing enterprises to reallocate redundant resources to activities that support sustainable development [18], thereby enhancing ESG performance. Most viewpoints first argue that the RPB significantly reduces non-operating expenditures of SOEs and exhibits a positive correlation with corporate resource allocation efficiency. For instance, Zhao et al. find that after RPB implementation, SOEs improve their overall performance by transferring assets, redeploying employees, and boosting labor productivity [20]. Ye et al. reveal that heavier policy burdens lead SOEs to obtain more credit resources, ultimately resulting in inefficient investments [21]. Yuan and Cui [19] contend that the RPB increases the funds allocated to corporate innovation and enhances innovation efficiency.
Secondly, from the ‘agency problem perspective’, researchers point out that policy burdens exacerbate information asymmetry between agents and principals. SOE managers can shirk responsibility for a poor operational performance and seek additional government subsidies [15]. This causes management decisions to deviate further from corporate operational goals and trap enterprises in a vicious cycle. However, the RPB can help address agency problems. Yuan and Cui find that the RPB can improve the effectiveness of executive compensation contracts in SOEs and reduce agency costs, thereby promoting long-term enterprise developments [19]. The RPB strengthens executive compensation incentives, which in turn improves corporate performance. This effect is more pronounced in enterprises with a higher degree of separation between ownership and control rights [20].
Both corporate performance and ESG share the core goal of enhancing enterprise development sustainability, enabling enterprises to thrive in the complex and ever-changing global environment. Corporate performance covers multiple dimensions (e.g., operational efficiency, profitability, and market competitiveness), making it difficult to integrate diverse indicators. In contrast, ESG focuses on enterprises’ sustainable practices in the environmental, social, and governance dimensions, with clearer, more measurable empirical indicators that unify numerous metrics into a single evaluation system [60]. Therefore, this paper further explores the relationship between the RPB and SOEs’ ESG performance.
In summary, policy burdens are the core constraint hindering SOEs from achieving sustainable value creation, and, thus, RPB serves as a key breakthrough to unlock SOEs’ development momentum. This paper accordingly hypothesizes that the RPB facilitates the improvement of SOEs’ ESG performance and proposes the following:
Hypothesis 1.
RPB will effectively improve the ESG performance of SOEs.
The resource-based theory emphasizes that the unique resources and capabilities owned by enterprises are key to achieving sustainable competitive advantages [61]. Implementing ESG strategies incurs relatively high costs for enterprises. However, policy burdens lock SOEs’ management attention, cash flow, and human capital into non-core businesses [15], leading to the systematic dilution of green innovation capabilities, a scarce resource. RPB can substantially decrease the non-operational expenses of SOEs, as well as the costs associated with the maintenance and investment in non-productive fixed assets. It also streamlines the workforce by reducing surplus employees irrelevant to core operations [19]. When the government reduces these non-productive obligations, SOEs gain reconfigurable resources to enhance their green innovation level. Improving corporate innovation goes beyond advancing production technology; it requires optimizing and adjusting production factors and conditions [62]. For example, recovered funds can be allocated to green R&D investments, human capital can be reassembled, and executives can redirect their focus to ESG strategic planning.
According to the resource-based theory, RPB redirects scarce resources to green innovation, enabling enterprises to accumulate hard-to-replicate green outputs and develop unique green dynamic capabilities. This, in turn, generates sustainable competitive advantages, which ultimately manifest in a superior ESG performance. Enterprises can achieve higher ESG ratings by developing new products, technologies, and services that adhere to ESG responsibility standards through innovation [63]. For instance, green innovation technologies help enterprises reduce energy consumption and carbon emissions and enhance environmental risk identification and management, thereby significantly improving environmental performance—consistent with ESG’s sustainability concept. By elevating green innovation levels, enterprises can build differentiated advantages that competitors struggle to replicate or surpass in the short term. As these green assets and innovation capabilities are continuously iterated and integrated into the enterprise’s dynamic capability system, they further strengthen the enterprise’s comprehensive performance in the ESG dimension.
Based on the above understanding, Hypothesis 2 is proposed in this study:
Hypothesis 2.
RPB can improve SOEs’ ESG performance by increasing the level of green innovation.
Institutional logic theory posits that SOEs are subject to the dual constraints of state logic and market logic simultaneously [64]. When political connections are excessively strong, state logic takes precedence over market logic—directing resources toward inefficient public or rent-seeking projects, which in turn gives rise to severe agency problems and governance distortions [65]. This not only erodes the resource base for environmental and social investments but also impairs governance transparency and independence, thereby directly lowering overall ESG ratings. By divesting non-core social functions and reducing administrative mandates, RPB essentially reflects the government’s initiative to alleviate the state logic’s pressure on SOEs, allowing their governance structures to align with market logic. Consequently, SOEs no longer need to rely on political connections to secure policy advantages related to social management functions. Divesting non-core businesses also minimizes SOEs’ entanglement with local government entities and mitigates corruption risks associated with interest transfers. This autonomy enables enterprises to focus more effectively on their core activities, thereby enhancing responsiveness to market demands [66] and advancing sustainable development goals. According to the stakeholder theory [67], weakened government intervention compels enterprises to directly address the ESG demands of multiple stakeholders (investors, creditors, communities, and environmental protection organizations) to obtain legitimacy capital. Reducing political connections also mitigates the reputational risks linked to unethical conduct. A positive reputation and public recognition are critical to improving ESG performance [68,69]. Drawing on institutional logic and stakeholder theory, we argue that RPB weakens the dominance of state logic within SOEs, thereby undermining political connections. This shift redirects management’s focus toward stakeholders’ ESG expectations, ultimately improving ESG performance. Based on the above analysis, this paper proposes the third hypothesis:
Hypothesis 3.
RPB can improve the ESG performance of SOEs by reducing political connections.
Furthermore, the RPB may positively shape the governance environment of SOEs. Consistent with its role in reducing political connections, the RPB can diminish the impact of external administrative factors on corporate governance, thus optimizing the governance environment. Improvements in governance environment signify that companies have established market-oriented, scientifically sound incentive mechanisms [70,71]. A cleaner governance environment also enhances the reliability of performance indicators. The optimal contract theory holds that when verifiable performance indicators are ‘purer’, shareholders can more effectively align managers’ personal income with the goal of maximizing the enterprise’s long-term value via incentive-compatible contracts [14]. However, policy burdens effectively introduce a set of non-verifiable, uncontrollable political tasks into SOEs’ performance evaluation frameworks. As principal-agent theory notes, SOEs generally face dual agency conflicts between ‘political goals and market goals’ [14]. Policy burdens compel the government to assign social functions to management, distorting performance evaluation [17], and reducing the weight of ESG objectives. Post-RPB, performance appraisal can focus on measurable, verifiable ESG indicators. This drives stronger internal management, higher managerial efficiency, and advances in governance structures. Notably, enhanced corporate governance—characterized by greater board independence, diversity, and professionalism—improves the quality and efficiency of corporate decision-making while ensuring companies more effectively fulfill their ESG responsibilities [70,71,72,73,74]. Studies further indicate that tying executive bonuses to ESG ratings significantly boosts environmental and social performances [75]. In conclusion, RPB provides a ‘clean’ performance measurement foundation for such incentives, equipping governance structures with ESG-oriented dynamic capabilities. Based on this, the fourth hypothesis is proposed:
Hypothesis 4.
RPB can improve the ESG performance of SOEs by improving the corporate governance environment.
Based on the above theoretical analysis, the mechanism diagram of this paper is shown in Figure 1.
Figure 1.
Theoretical mechanism. The figure was created by Figdraw 2.0.
3. Methods and Variables
3.1. Model Construction
To verify the overall effect of RPB on the ESG performance of SOEs, the regression model is as follows:
This study utilizes the staggered DID methodology to evaluate the impact of HPWET on the ESG performance of Chinese listed SOEs. The subscripts i and t represent the firm and year, respectively. denotes the ESG performance of firm i in year t. indicates the decision variable for whether SOE implemented RPB. If the SOE implemented the RPB during the sample period, it is classified as the treatment group with a value of 1; otherwise, it has a value of 0 and is classified as the control group. indicates whether firm i implemented RPB in : it takes a value of 1 for the year of implementation and all subsequent years, and 0 for years before implementation. Among the coefficients, represents the policy effect of the RPB and is the core coefficient of interest in this study. is the constant term, is the coefficient for control variables, and denotes the control variables that affect ESG performance, is the random perturbation term, and represent firm fixed effects and year fixed effects, respectively. The set up of all subsequent models is consistent with this specification.
3.2. Variable Selection
3.2.1. Dependent Variable: ESG Performance (ESG)
In this study, ESG performance refers to the comprehensive performance of SOEs across three dimensions: environmental, social, and governance [30]. Following Fan et al. [30], we use the SINO ESG rating index to measure SOEs’ ESG performance. SINO employs a 1–9 point scale to classify listed companies’ ESG responsibility performance into three tiers: A, B, and C. These tiers are further divided into nine levels: C, CC, CCC, B, BB, BBB, A, AA, and AAA. Higher scores correspond to better ESG performance.
SINO ESG ratings are widely recognized in academia and have been used in numerous studies on ESG issues in the Chinese market [76,77,78,79,80]. There are two reasons for choosing SINO: (1) The rating system integrates core international ESG concepts, aligns with global consensus issues under the international sustainable development framework, and matches leading international institutions (e.g., Morgan Stanley Capital International [MSCI], S&P Dow Jones) in data sources and indicator selection. It also includes China-specific indicators such as ‘poverty alleviation contributions’ and ‘social responsibility reporting’, covering 16 themes, 44 key indicators, and over 300 underlying data metrics. (2) Its ratings span 15 years (starting from January 2009) and cover all A-share listed companies in China, with over 3 million ESG rating data points, providing a more comprehensive dataset than other ESG databases. Research shows that compared to MSCI (the world’s most influential ESG rating agency), SINO offers a more holistic view of Chinese companies and better predicts their ESG risks [81].
Additionally, to address potential ‘noise’ from inconsistent measurement standards across third-party institutions, we used Bloomberg’s composite ESG disclosure rating as a replacement for the explanatory variable to conduct a robustness test for the baseline regression.
3.2.2. Core Explanatory Variable
The core explanatory variable is denoted as did in the subsequent sections and tables, representing whether the SOE implemented HPWET in the current year. In this study, the policy implementation year is defined as the year when the SOE announced the start of transferring public welfare-related businesses (HPWE). If an SOE announced the initiation of such a transfer in a specific year, the did variable is set to 1 for that year and all subsequent years; otherwise, it is 0. This definition aligns with the 2016 Opinions, which mandate that enterprises follow the principle of ‘first transferring HPWE to the government or third-party institutions, then renovating employee residential areas’. Accordingly, SOEs typically disclose their transfer plans and formally announce the start of the transfer process first.
3.2.3. Control Variables
In an effort to mitigate parameter estimation bias due to omitting important variables as much as possible, referring to the previous research [50,51,82], we chose the following control variables to more accurately evaluate the impact of HPWET on the ESG performance of SOEs: (1) enterprise size (Size); (2) age of enterprise (Age); (3) capital structure (Lev); (4) return on total assets (ROA); (5) free cash flow (FCF); (6) capital intensity (Fixed); (7) stock concentration (Top10); and (8) Degree of separation between the two rights (Separation).
The main variable definitions are shown in Table 1.
Table 1.
Variable definition.
3.3. Sample Selection
The 2016 Opinions was fully rolled out nationwide. In practice, however, implementation timelines varied across regions and enterprises after the central government released the policy. To address this, this study manually collected documents announcing the start of HPWE transfers from SOEs via three channels: the official website of the China State-owned Assets Supervision and Administration Commission, business consulting websites, and Baidu search (see Table 2 for examples). The disclosure year in these documents was defined as the HPWET implementation year for the respective SOE. To ensure accuracy in estimation results, documents were screened through three steps: (1) Discard files without HPWET-related keywords in their titles; (2) exclude documents not published on official government, enterprise, or commercial consulting websites; (3) manually review collected documents to confirm substantive relevance to HPWE transfer initiation; and exclude those that do not meet this criterion. In the final sample, 171 listed SOEs had implemented the HPWET policy.
Table 2.
Examples of HPWET-related announcements.
For empirical analysis, this study uses data on A-share listed SOEs in Shanghai and Shenzhen (China) from 2012 to 2024, with the sample processed as follows: (1) exclude listed financial enterprises; (2) exclude enterprises labeled ST and *ST; and (3) winsorize all continuous variables at the 1st and 99th percentiles to mitigate the impact of extreme values on results. Data sources are as follows: initial data at the state-owned listed firm level was obtained from the China Economic and Financial Research Database (CSMAR). SINO ESG rating data was sourced from Wind Financial Terminal. Patent data were obtained from the China National Research Data Service (CNRDS) and China National Intellectual Property. Provincial-level control variable data were sourced from the China Statistical Yearbook and provincial statistical yearbooks.
3.4. Descriptive Statistics
Table 3 reports the descriptive statistics for the key variables. As observed in Table 3, the average ESG score of the sample enterprises is 4.337, suggesting that Chinese A-share listed SOEs are, on average, at a moderate level of ESG system development. There is also significant variation in ESG performance across different enterprises. Additionally, 14.11% of the sample is subject to the policy.
Table 3.
Descriptive statistics.
4. Empirical Results and Mechanisms
4.1. Baseline Regression Results
Table 4 presents the regression results analyzing how HPWET affects enterprises’ ESG performance. Column (1) displays the influence of HPWET on firms’ ESG performance, with no control variables or fixed effects included. The regression coefficient for HPWET in this column is 0.309, indicating a significant positive correlation at the 1% level. Column (2) of Table 4 adds firm-level control variables to the regression. Even with these controls, the HPWET remains positively significant at the 1% level. Subsequently, year and individual fixed effects are incorporated in column (3), revealing that the effect coefficient for HPWET remains significantly positive at the 1% level. This suggests that after controlling for other variables, the ESG performance of SOEs implementing HPWET is enhanced by 14.2%, compared to listed SOEs that do not implement HPWET. Therefore, the findings presented in Table 4 imply that the HPWET mandated by the government may constitute an effective strategy for enhancing the ESG performance of SOEs.
Table 4.
Baseline regression results.
4.2. Robustness Test Results
4.2.1. Parallel Trend Test
The staggered DID method necessitates that the dependent variable trends of the treatment and the control groups remain consistent without intervention, satisfying the parallel trend assumption [83], which posits that the trajectories of ESG performance among the listed SOEs in both groups are analogous prior to the implementation of the HPWET, and there is no significant difference. As such, with reference to Beck et al.’s approach [84], the following model is used in this paper for testing:
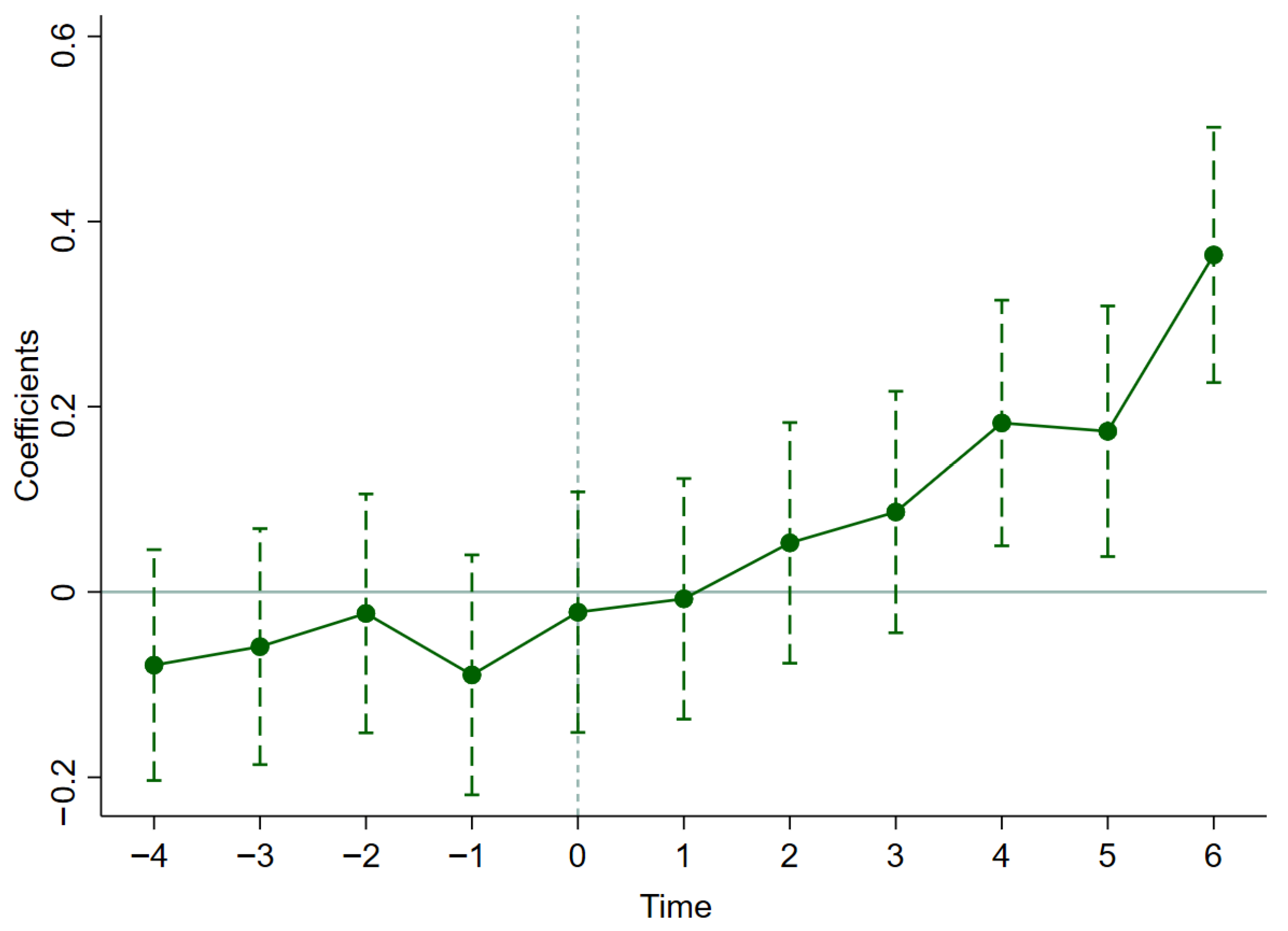
In model (2), Ds is a window period dummy variable, which includes the fourth year before the reform and before (D-4+), the third year before the reform (D-3), the second year before the reform (D-2), the current year of the reform (D0), and the first year after the reform (D1) to the sixth year and after (D6+), respectively. As shown in Figure 2, there is no statistically significant difference between participating and non-participating SOEs prior to the HPWET implementation, indicating that the parallel trend assumption is valid. The insignificance of the coefficients associated with the primary explanatory variables in the first, second, and third years following the HPWET implementation indicates a delayed effect of the HPWET intervention. Beginning in the fourth year of the HPWET implementation, the coefficient of the dummy variable during the window period is significantly positive and exhibits an increasing dynamic trend, suggesting the long-term impact of the HPWET.
Figure 2.
Parallel trend test.
4.2.2. Placebo Test
To eliminate the potential impact of confounding variables, this study conducts a placebo test by randomly creating a dummy treatment group, following the methodology outlined in Liu et al.’s study [85]. The baseline regression is executed 500 times to examine the distribution of the dummy coefficients and their associated p-values in the regression outcomes. As illustrated in Figure 3, the resampled coefficients exhibit a normal distribution with a mean of zero, suggesting that the results successfully pass the placebo test. This finding offers counterfactual evidence supporting the assertion that HPWET can enhance the ESG performance of listed SOEs.
Figure 3.
Placebo test.
4.2.3. Endogeneity Test
While the DID model is effective in addressing endogeneity issues, it does not entirely resolve the challenge of sample self-selection bias. Given the potential systematic differences between SOEs burdened with HPWE social functions and other SOEs, this study substitutes the control group for further analysis. To address this issue, we utilize the PSM-DID (Propensity Score Matching with Difference-in-Differences) approach. The columns (1)–(3) of Table 5 present the regression outcomes for nearest neighbor matching, radius matching, and kernel matching, respectively. The results indicate that the regression coefficients are consistently significantly positive, aligning with the findings of the primary regression analysis.
Table 5.
PSM-DID test.
Moreover, to further address potential endogeneity, we utilize the IV-2SLS (Instrumental Variables Two-Stage Least Square) approach. Drawing on Fisman [86], we use the annual number of corruption, bribery, and job-related crimes investigated by China’s provincial procuratorates as the instrumental variable (IV) for HPWET. Data for this IV are sourced from the China Procuratorial Yearbook and work reports of provincial/municipal procuratorates. The volume of cases reflects a province’s anti-corruption efforts. A higher case volume indicates a stricter anti-corruption environment, which increases compliance pressure on SOEs. Government anti-corruption measures can improve the efficiency and transparency of corporate boards [87]. Implementing HPWET can assist SOEs in enhancing financial and operational governance, thereby mitigating potential corruption risks. Thus, in a rigorous anti-corruption framework, SOEs are more likely to adopt HPWET to meet regulatory requirements—satisfying the relevance assumption of the IV. Additionally, the number of corruption cases investigated by provincial procuratorates does not directly affect the firms’ ESG performance, satisfying the exogeneity assumption.
Table 6 presents the IV test results for HPWET’s impact on the SOEs’ ESG performance. The 2SLS regression shows that the IV is significantly positively correlated with the explanatory variable (HPWET). The F-value for the weak IV test exceeds the 10% threshold, rejecting the null hypothesis of weak instruments. Results of the second-stage regression are consistent with the baseline findings. Consequently, the previous conclusion remains valid even after accounting for policy endogeneity and demonstrating robustness.
Table 6.
Instrumental variable test.
4.2.4. Additional Robustness Tests
Initially, it is important to note that certain enterprises initiated the HPWET implementation at a later stage, which may have prevented them from fulfilling all HPWET requirements within the sample period. To address this, this study excludes SOEs that started implementing the HPWET in 2022 and re-runs the regression using model (1). As shown in column (1) of Table 7, the results remain consistent with the baseline regression results after excluding the 2022 incomplete HPWET sample.
Table 7.
Additional robustness tests.
Furthermore, SOEs bearing policy burdens such as HPWE are influenced by regional historical factors, and provincial-level HPWET arrangements and implementation timelines may also be shaped by regional characteristics. To mitigate the potential biases from omitted provincial-level variables, this study incorporates additional control variables into model (1). These include the government intervention intensity, quantified by the ratio of local government general fiscal expenditure to the regional GDP; industrialization level, assessed by the ratio of industrial added value to the regional GDP; human capital level, represented by the ratio of the number of students enrolled in higher education institutions within the province to the total provincial population; the degree of openness to the outside world, measured by the ratio of the total value of regional goods imports and exports to the regional GDP in the same year; urbanization level, expressed as the ratio of the urban population to the total population of the province in the same year; and financial regulatory intensity, expressed as the ratio of provincial financial regulatory expenditure to the added value of the financial sector. Lastly, unobservable time-varying regional factors or omitted variables may still exist. Thus, this study further controls for province–year joint fixed effects. The regression outcomes are presented in columns (2)–(3) of Table 7; the significance and coefficients of the DID estimator remain aligned with the baseline regression.
4.3. Mechanism Analysis
Building on the theoretical analyses in the preceding section, this paper provides empirical evidence for the mechanism through which HPWET affects the ESG performance of listed SOEs. Guided by the principle of ‘cleaner causal identification’ in model specification, and drawing on Jiangting [78], the following mechanism testing models are constructed:
To verify Hypotheses 2, 3, and 4, this paper introduces three mechanism variables: green innovation level (GIL), political connection (PC), and corporate governance level (Gov). Except for these mechanism variables, the definitions of all other variables and coefficients remain consistent with those in the baseline model. The core focus of the mechanism analysis is the estimated coefficient of , denoted as . If is statistically significant, the proposed mechanism is validated.
4.3.1. Green Innovation Level
Based on prior theoretical analyses, HPWET’s role in boosting corporate innovation may serve as a key mechanism for improving SOEs’ ESG performance. The primary objective of implementing HPWET in SOEs is to curtail expenditures on redundant social functions, thereby redirecting resources and decision-making focus towards innovative research. This adjustment is anticipated to drive increased innovative outputs. Previous studies have shown that innovation enables enterprises to optimize their energy structures and transition to low-carbon, green operations, thereby fulfilling their commitments to sustainable and green development [63]. Notably, the positive impact of green innovation on ESG performance is more pronounced in SOEs [88]. Supported by intellectual property protection, green innovation also provides enterprises with unique resources, elevating their sustainable competitive advantages [89]. To examine this mechanism, this study uses the green innovation level as the core perspective. Drawing on Huang et al. [90], this paper employs the natural logarithm of the number of green invention patent applications of enterprises in the current year plus one, which is used as an indicator of green innovation level. Additionally, the green innovation level of enterprises is also directly reflected in the research and development expenditure. Consequently, this paper utilizes the natural logarithm of the R&D expenditure for a given year as a proxy variable. They are denoted as GIP and FR&D, respectively. As shown in columns (1) and (2) of Table 8, the results of the study indicate that the coefficient estimates obtained using the staggered DID method are 0.073 and 0.082, respectively, which are statistically significant at the 1% and 5% levels. These results imply that listed SOEs implementing HPWET can improve their ESG performance by enhancing green innovation, thereby corroborating Hypothesis 2.
Table 8.
Results of the mechanism analysis.
4.3.2. Political Connection
China is a socialist country with a centralized political system. Due to their ownership structure, SOEs maintain close affiliations with governmental agencies. This relationship is primarily evident in their interactions with subordinate government entities to secure resources. Such political connections lead to excessive government interventions in SOEs, imposing heavy policy burdens and distorting their business operations [18]. Existing studies suggest that political connections can undermine corporate commitment to ESG and increase the likelihood of neglecting environmental, social, and governance responsibilities [91]. The RPB helps reduce SOEs’ political entanglements, enabling them to return to normal market-oriented relationships, improve overall operational efficiency, and better align with ESG development goals. Drawing on prior research [65,92,93], this study introduces a political connection dummy variable (PC). If either the chairman or chief executive officer of an SOE is currently or has previously held a governmental position, the PC is set to one; otherwise, it is set to zero. Government departments include China’s central government and local governments at all levels, courts, procuratorates, people’s congresses at different levels, and the National Committee of the Political Consultative Conference. As shown in column (3) of Table 8, the regression results reveal that HPWET exerts a significantly negative impact on the PC. Therefore, RPB, by reducing political connections, creates more favorable conditions for SOEs to improve ESG performance, thus supporting Hypothesis 3.
4.3.3. Corporate Governance Environment
As indicated by the preceding theoretical analysis, policy burdens often force SOEs to undertake non-market-oriented administrative tasks, leading to excessive administrative interference in their decision-making. In China, SOE managers are appointed by government bureaucrats and frequently lack effective incentive mechanisms, resulting in inefficient resource allocation within SOEs. After RPB, SOEs gain the autonomy to make market-driven decisions and establish sound corporate governance frameworks. Extensive research has confirmed the link between corporate governance and ESG performance. Enterprises with robust governance structures are more inclined to adopt comprehensive ESG reporting [70] and effectively mitigate ESG-related controversy risks [94]. According to the perspective of optimal contract theory, as administrative intervention weakens and operational data more accurately reflects managers’ efforts, corporate performance indicators become more verifiable and credible in contractual terms [14]. This not only allows shareholders to evaluate the managers’ performance more precisely but also lays the groundwork for designing efficient incentive contracts. On this basis, shareholders can incorporate ESG goals into incentive structures, synchronously increasing managers’ marginal returns with the long-term value of the enterprise. This strengthens managers’ motivation to increase green investments and improve governance structures, ultimately boosting corporate ESG performance [75]. Following established methodological practices in the literature [95], this study constructed a comprehensive corporate governance index using a principal component analysis covering three dimensions: supervision, incentives, and decision-making. A higher index score indicates the superior governance quality of the SOE. The indicators include executive compensation, shareholding ratio, proportion of independent directors, board size, institutional shareholding ratio, equity balance degree, and whether the chairman and chief executive officer are combined into one position. The regression results are shown in column (4) of Table 8. The coefficient of HPWET and corporate governance level is significantly positive at the 1% level, indicating that the RPB has a positive impact on the corporate governance environment. The results demonstrate that optimizing the corporate governance environment is an important channel through which the RPB enhances SOEs’ ESG performance, thus validating Hypothesis 4.
5. Heterogeneity Analysis
Empirical regression results indicate that the implementation of HPWET by listed SOEs exerts a positive impact on their ESG performance. Given the potential variations in the implementation process and effectiveness of HPWET across different enterprises, this study investigates the impact of HPWET on the ESG performance of enterprises from three distinct perspectives: enterprise size, regional differences, and industry pollution level.
5.1. Size of Enterprises
Initially, this study analyzed the impact of HPWET on ESG performance from the perspective of enterprise size. To this end, sample SOEs are categorized based on their number of employees to reflect differences in enterprise scale. In model (6), setting the categorical variable scale, if the number of employees is less than 30% of the total workforce, the firm is classified as a small-scale SOE, with scale = 1; if the number is between 30% and 70% of the total workforce, they are classified as a medium-scale SOE, with scale = 2; if exceeding 70%, the SOE is categorized as large-scale, with scale = 3.
Analysis of columns (1) and (2) in Table 9 reveals that the effects of HPWET on the ESG performance of small and medium-sized SOEs are statistically insignificant. Column (3) of Table 9 indicates that the regression coefficient of HPWET on large-scale SOEs’ ESG performance is 0.172, which is significant at the 1% level. These results suggest that HPWET only exerts a positive effect on large-scale SOEs’ ESG performance, with no observable impact on the small and medium-sized ones. This outcome can be attributed to the fact that large Chinese SOEs bear heavier HPWE responsibilities for employees and their families, supporting a larger population and thus incurring more substantial non-operational costs. Prior to the implementation of HPWET, SOEs had to allocate massive financial and human resources to maintain employee community operations. However, after implementation, their reduced operational burdens free up more resources for transformation and development, directly boosting the ESG performance. Furthermore, from an external supervisory pressure standpoint, large-scale SOEs attract more attention from the market and regulators than their smaller counterparts. Driven by external pressures, large-scale enterprises are more inclined to proactively fulfill their environmental and social responsibilities. They are likely to reinvest the cost savings accrued from the implementation of HPWET into green transformation and sustainable development initiatives.
Table 9.
Results of heterogeneity analysis.
5.2. Level of Technological Marketization
To further investigate potential regional heterogeneities in the impact of HPWET on corporate ESG performance, the sample split into high and low tech marketization groups. Tech marketization is measured as the ratio of a region’s technology market turnover to its GDP. In model (7), a dummy variable tm is defined as follows: tm = 1 if the tech marketization level of the region where the SOE is located exceeds the median, and tm = 0 otherwise.
The regression results, presented in columns (4)–(5) of Table 9, indicate that HPWET significantly enhances the ESG performance of SOEs in regions with high tech marketization at the 1% significance level. In contrast, its effects on SOEs in regions with low tech-marketization are statistically insignificant. The observed results may be attributed to two key factors. On the one hand, regions with active technology diffusion and smooth factor mobility feature more responsive price signals in credit, talent, and technology markets, enabling enterprises to complete transactions with lower non-productive costs. After burden reduction, SOEs can swiftly redirect freed-up redundant resources into ESG-related projects, thereby boosting ESG performance. Conversely, in adverse technology market conditions, government intervention becomes more pronounced, fostering rent-seeking behavior and opaque dealings. This exacerbates resource misallocation and hidden transaction costs [96], further hindering financing, reducing investment, and ultimately impeding ESG performance improvement. On the other hand, regions with high tech marketization attract greater analyst coverage, media oversight, and institutional investor participation. Driven by capital market pressure, SOE management becomes more adventurous in optimizing ESG practices [97].
5.3. Industry Pollution Level
The effect of HPWET on corporate ESG performance varies by industry. Drawing on the research of Guo et al. [98], we divided the sample listed SOEs into heavily polluting and lightly polluting industries and conducted subgroup regression analysis. In model (8), the dummy variable ind is set up: if the SOE belongs to the heavy pollution industry, ind = 1, and ind = 0 otherwise.
As demonstrated in columns (6) and (7) of Table 9, the HPWET has a positive influence on the ESG performance of SOEs in lightly polluting industries at the 1% significance level but exerts no significant effect on that of SOEs in heavily polluting industries. Heavily polluting SOEs necessitate substantial investments in environmental technology advancements and pollution control measures due to the inherent constraints of their product characteristics and production conditions [99]. Consequently, notable improvements in their ESG performance are challenging to achieve in the short term. By contrast, lightly polluting SOEs implementing HPWET have greater financial flexibility to allocate resources to green and sustainable development initiatives. They also encounter fewer obstacles related to technological transformation and innovation, which facilitates their transition to sustainable production processes and thereby enhances their ESG performance. Therefore, while RPB has delivered positive outcomes for lightly polluting SOEs, it faces significant challenges in fostering sustainable transformation among heavily polluting SOEs, resulting in limited short-term progress in their ESG performance.
6. Discussion
This paper demonstrates that RPB on SOEs effectively enhances ESG performance, extending the research scope of enterprise burdens and ESG. The findings provide empirical support for the proposition in prior theoretical studies that RPB is crucial to SOEs’ sustainable development. While there is extensive theoretical exploration of SOEs’ policy burdens, the actual effectiveness of eliminating these unique policy burdens remains insufficiently understood.
In China, where the government exerts substantial control over SOEs’ resource allocation and strategic development, implementing burden reduction strategies is pivotal to boosting SOEs’ market competitiveness and capacity for transformation. By examining the policy effects of HPWET, this study enriches national governance approaches to addressing SOEs’ inefficiencies. Overall, it deepens understanding of the policy burdens faced by SOEs and the factors influencing ESG performance.
First, baseline regression results show that the ESG performance of SOEs implementing HPWET has increased by 14.2%. A mechanism analysis indicates that RPB enhances SOEs’ ESG performance by promoting higher levels of green innovation. The core objective of HPWET is to transfer the social management affairs that enterprises have long borne to the government. This saves SOEs’ non-operating costs, allowing them to focus on core business development and improve operational efficiency. This has also been supported by the research results of Zhao et al. [20]. These findings build on the previous research by Ye et al. [21], who argued that RPB eases the innovation constraints faced by SOEs, enabling them to contribute more effectively to sustainable development.
In particular, the impact of the HPWET policy on the ESG performance of sample SOEs exhibits a temporal lag. As noted by Yuan and Cui [19], under the guidance of the 2016 Opinions, enterprises must first transfer HPWE to the government, followed by government-supported upgrades and renovations of employee residential quarters, an entire process that typically takes 1–3 years to complete. The policy shock time we selected is the year when enterprises announce the start of HPWET. The parallel trend test shows that the window period coefficient did not change immediately; instead, it exhibited a significant upward trend several years post-shock, with this trend gradually strengthening. This result aligns with the actual advancement rhythm of HPWET. Furthermore, combined with the results of the mechanism test, it can be seen that it takes time for SOEs to convert the resources released by reducing burdens into green innovation achievements. Shifting toward market-oriented operations by weakening political connections is also a gradual process, while the reconstruction of governance systems requires multi-stage implementation. Progressive adjustments in multiple links may collectively lead to a delayed manifestation of policy effects.
Notably, our findings indicate that diminishing political connections and optimizing corporate governance structures are crucial mechanisms for the RPB to improve ESG performance. Previous studies have emphasized that overly close political ties and rigid corporate governance frameworks undermine both the ESG performance of SOEs and the attainment of social development goals [91,100]. On the one hand, when SOEs bear policy burdens, governments and bureaucrats exert excessive political intervention, sidelining corporate operational efficiency [101]. Reducing the political connections of SOEs can optimize internal resource allocation, enabling decisions that support long-term development. On the other hand, strengthening SOE governance involves measures such as improving market-oriented incentive mechanisms, integrating ESG metrics into executive compensation evaluations, and enhancing the transparency of information disclosure. These efforts not only improve the ‘information purity’ of performance indicators but also enhance the effectiveness of incentive contracts. These measures simultaneously mitigate the distortion of governance decisions caused by administrative intervention, allowing SOEs to better respond to stakeholders’ ESG demands and fully fulfill their ESG responsibilities. The logic of RPB leading to a reduction in political connections and the strengthening of SOE governance is consistent with China’s SOE mixed-ownership reform, which aims to ‘release the market vitality of SOEs through governance optimization’ [102].
Finally, the impact of RPB on SOEs’ ESG performance varies significantly by enterprise size, regional technology marketization level, and industry pollution intensity. This variation indicates that the success of policy reforms targeting SOE burden reduction and ESG enhancement depends on specific contextual conditions.
Burden-reducing measures represented by HPWET are more effective in improving the ESG of larger SOEs, precisely because these enterprises bear heavier redundant staffing pressures. During the planned economy era, large SOEs were tasked with absorbing massive urban labor and providing ‘cradle-to-grave’ social security and welfare for employees and retirees, leading to severe overstaffing. For example, a central Chinese provincial SOE once provided HPWE services to over 300,000 employees [103]. Lin [15] notes that as long as the government provides a safety net for the redundant staff and pension security for retirees in such SOEs, such social policy burdens can be resolved. Therefore, when large SOEs reduce HPWE-related burdens, their scale advantage amplifies non-operating cost savings, freeing up substantial funds for efficiency upgrades and thereby driving significant ESG improvements.
In regions with a high technology marketization, the RPB exerts a more pronounced promotional effect on SOEs’ ESG performance, and the result is supported by the research of Ye et al. [21]. They found that the negative effects of policy burdens are more evident in SOEs in low marketization regions, meaning the burden reduction in such contexts requires more time and effort.
Additionally, enterprises in industries with different pollution levels face distinct trade-offs between economic benefits and ecological costs [104]. Heavily polluting SOEs, long locked into trading the environment for profit, struggle to overhaul management and governance overnight, as upgrading ESG-related activities also incurs higher costs. Moreover, they must allocate substantial financial resources and time to address historical pollution issues, making short-term ESG improvements via RPB challenging. In contrast, lightly polluting SOEs face lower technological transformation costs. RPB, as an external institutional incentive, can more easily drive their ESG practices.
In summary, this paper expands SOEs’ sustainable development determinants and enriches the literature on SOE policy burdens. Simultaneously, this study offers a new analytical perspective for the international community to explore how SOE’s development strategies influence global carbon reduction efforts, providing a valuable reference for related research and practice.
7. Conclusions and Policy Implications
7.1. Conclusions
This study employs panel data from Chinese A-share SOEs in Shanghai and Shenzhen from 2012 to 2024 to explore an important but under-researched topic: the impact of policy burden reduction on the ESG performance. This study utilizes the implementation of HPWET as a quasi-natural experiment to empirically assess the impact of this policy on SOEs’ ESG performance via the staggered difference-in-differences method.
The study draws the following conclusions. First, when other factors are controlled, HPWET implementation significantly improves the ESG performance of listed SOEs, though with a time lag. Specifically, the ESG score of the experimental group (SOEs that implemented HPWET) is 14.2% higher than that of the control group (SOEs that did not), and this conclusion remains valid even after accounting for other factors that might bias the estimation results. Second, mechanism analysis shows HPWET enhances ESG performance through three primary channels: improving the quality of green innovation within SOEs, reducing political connections, and optimizing the corporate governance environment. Third, a heterogeneity analysis reveals HPWET has a more pronounced ESG-boosting effect on large SOEs, those situated in regions with high levels of tech marketization, and those with low polluting levels.
7.2. Policy Implications
Based on our analysis, the following policy implications are put forward:
First, the government should recognize the importance of stripping SOEs of their policy-related burdens, reduce unnecessary non-operating expenditures, focus on their core businesses, and refrain from imposing other non-commercial tasks that undermine market competition. Other countries may also implement reforms similar to China’s HPWET. These reforms can provide guarantees for SOEs’ sustainable development, clarify the boundaries of rights and responsibilities between enterprises and the government, and grant SOEs more space for independent development.
Second, when designing and implementing policies, consideration should be given to the complementarity between SOE governance reform and regional development factors. In regions with a high degree of technology marketization, it is necessary to make full use of the advantages of the factor market, reduce the administrative assignment of policy-oriented tasks, lower SOEs’ transaction costs for accessing innovative technologies, and unlock momentum for enterprises’ sustainable transformation.
Third, for SOEs of different sizes and types, targeted measures are needed. For small and medium-sized SOEs, the government may establish special support funds for their technological R&D and innovation. Meanwhile, it should collaborate with universities and research institutions to provide technical and knowledge services for SOEs in less favorable regional environments and to facilitate technical talent exchanges among enterprises. These efforts will help address the SOEs’ resource shortages and boost their motivation to improve ESG performance. For heavily polluting enterprises, the government should strengthen supervision, set up special funds for green transformation, guide them toward eco-friendly development, and build platforms to strengthen experience sharing across the heavily polluting industries. These measures aim to improve the ESG level of the entire industry.
Fourth, optimizing the corporate governance structure is one of the important mechanisms for RPB to promote ESG. After RPB, SOEs should focus on refining internal governance, strengthen the management of corporate charters, standardize board operations, implement tenure management for management teams, and clarify tenure objectives. All countries, especially those facing insufficient enterprise development momentum, must recognize the risks of SOEs undertaking excessive non-operational tasks and take necessary measures to enable SOEs to better participate in global sustainable initiatives.
7.3. Limitations and Future Research Scope
This study aims to provide preliminary empirical evidence and analytical perspectives on the relationship between the stripping of policy burdens of SOEs and ESG performance. The research conclusions are of a preliminary exploratory nature and have the following limitations. First, the research samples and data dimensions are bounded. In terms of sample coverage, this study focuses on SOEs listed on China’s Shanghai and Shenzhen A-shares, excluding those listed on international markets such as the New York Stock Exchange in the analysis scope. Second, we have to admit that, although this study found that the impact of HPWET on ESG performance has a lag effect through the parallel trend test, the dynamic process of this lag phase was not further deconstructed. Third, although three mechanisms—green innovation, political connections, and corporate governance—have been identified, there may be other undetermined mechanism pathways.
Future research can be deepened and expanded in the following directions:
Firstly, it can extend the sample to overseas listed Chinese SOEs and compare the effects of HPWET with SOE policy burden reforms in other emerging economies. This will provide more universal insights for the sustainable development of SOEs globally. Secondly, it can explore the heterogeneous impacts of RPB on ESG sub-dimensions. For instance, future research can comprehensively assess the influence of RPB on the ‘social dimension’ (such as employee welfare and community contributions) or the ‘environmental dimension’ (such as carbon emissions and pollutant treatment). This will provide more precise empirical evidence for the coordinated development of policy burden reform in SOEs and ESG development.
Author Contributions
Conceptualization, P.Z.; Methodology, P.Z.; Software, P.Z.; Validation, P.Z.; Formal analysis, P.Z.; Investigation, P.Z.; Resources, P.Z.; Data curation, P.Z.; Writing—original draft, P.Z.; Writing—review & editing, P.Z.; Visualization, P.Z.; Supervision, J.X.; Project administration, J.X.; Funding acquisition, J.X. All authors have read and agreed to the published version of the manuscript.
Funding
This research was funded by the Major Project of Philosophy and Social Science Research in Universities of Jiangsu Province grant number [2019SJZDA065].
Institutional Review Board Statement
Not applicable.
Informed Consent Statement
Not applicable.
Data Availability Statement
The original data presented in the study are openly available in FigShare at https://doi.org/10.6084/m9.figshare.29606729.
Conflicts of Interest
The authors declare no conflict of interest.
Abbreviations
The following abbreviations are used in this manuscript:
| SOE | State-owned enterprise |
| HPWET | Transfer the social functions of heating, power, water, and estate |
| DID | Difference-in-differences |
| RPB | Removing policy burdens |
| ESG | Environmental, social and governance |
| IV-2SLS | Instrumental variables-two stage least square |
| 2016 Opinions | The Guiding Opinions on the Separation and Transfer of ‘Heating, Power, Water, and Estate’ in Family Areas of Employees of SOEs in June 2016 |
References
- Pimenta, A.; Kamruzzaman, L.(Md). Assessing the Comprehensiveness and Vertical Coherence of Climate Change Action Plans: The Case of Australia. J. Environ. Manag. 2024, 369, 122419. [Google Scholar] [CrossRef]
- Gillan, S.L.; Koch, A.; Starks, L.T. Firms and Social Responsibility: A Review of ESG and CSR Research in Corporate Finance. J. Corp. Financ. 2021, 66, 101889. [Google Scholar] [CrossRef]
- Han, L.; Shi, Y.; Zheng, J. Can Green Credit Policies Improve Corporate ESG Performance? Sustain. Dev. 2023, 32, 2678–2699. [Google Scholar] [CrossRef]
- Cezarino, L.O.; Liboni, L.B.; Hunter, T.; Pacheco, L.M.; Martins, F.P. Corporate Social Responsibility in Emerging Markets: Opportunities and Challenges for Sustainability Integration. J. Clean. Prod. 2022, 362, 132224. [Google Scholar] [CrossRef]
- Farooq, M.; Noor, A. The Impact of Corporate Social Responsibility on Financial Constraints: The Role of Insider and Institutional Ownership. J. Financ. Report. Account. 2023; ahead-of-print. [Google Scholar] [CrossRef]
- Khaw, T.Y.; Amran, A.; Teoh, A.P. Factors Influencing ESG Performance: A Bibliometric Analysis, Systematic Literature Review, and Future Research Directions. J. Clean. Prod. 2024, 448, 141430. [Google Scholar] [CrossRef]
- Khan, M.; Lockhart, J.; Bathurst, R. The Institutional Analysis of CSR: Learnings from an Emerging Country. Emerg. Mark. Rev. 2021, 46, 100752. [Google Scholar] [CrossRef]
- OECD. Climate Change and Low-Carbon Transition Policies in State-Owned Enterprises; OECD Business and Finance Policy Papers; OECD: Paris, France, 2022; Volume 5. [Google Scholar]
- IMF. Fiscal Monitor, April 2020: Policies to Support People During the COVID-19 Pandemic; International Monetary Fund: Washington, DC, USA, 2020; ISBN 978-1-5135-3751-1. [Google Scholar]
- Ellimäki, P.; Aguilera, R.V.; Hurtado-Torres, N.E.; Aragón-Correa, J.A. The Link between Foreign Institutional Owners and Multinational Enterprises’ Environmental Outcomes. J. Int. Bus. Stud. 2023, 54, 910–927. [Google Scholar] [CrossRef]
- Eckel, C.C.; Vermaelen, T. Internal Regulation: The Effects of Government Ownership on the Value of the Firm. J. Law Econ. 1986, 29, 381–403. [Google Scholar] [CrossRef]
- Dewenter, K.L.; Malatesta, P.H. State-Owned and Privately Owned Firms: An Empirical Analysis of Profitability, Leverage, and Labor Intensity. Am. Econ. Rev. 2001, 91, 320–334. [Google Scholar] [CrossRef]
- Cuervo-Cazurra, A.; Grosman, A.; Megginson, W.L. A Review of the Internationalization of State-Owned Firms and Sovereign Wealth Funds: Governments’ Nonbusiness Objectives and Discreet Power. J. Int. Bus. Stud. 2023, 54, 78–106. [Google Scholar] [CrossRef]
- Holmstrom, B.; Milgrom, P. Multitask Principal–Agent Analyses: Incentive Contracts, Asset Ownership, and Job Design. J. Law Econ. Organ. 1991, 7, 24–52. [Google Scholar] [CrossRef]
- Lin, J.Y. State-Owned Enterprise Reform in China: The New Structural Economics Perspective. Struct. Change Econ. Dyn. 2021, 58, 106–111. [Google Scholar] [CrossRef]
- Kornai, J. The Soft Budget Constraint. Kyklos 1986, 39, 3–30. [Google Scholar] [CrossRef]
- Lin, J.Y.; Cai, F.; Li, Z. Competition, Policy Burdens, and State-Owned Enterprise Reform. Am. Econ. Rev. 1998, 88, 422–427. [Google Scholar]
- Lin, J.Y.; Li, Z. Policy Burden, Privatization and Soft Budget Constraint. J. Comp. Econ. 2008, 36, 90–102. [Google Scholar] [CrossRef]
- Yuan, C.; Cui, H. Will unloading burden in state-owned enterprises improve innovation? A quasi-natural experiment based on the reform of ‘Heating, Power, Water and Estate’. Reform 2023, 4, 111–127. (In Chinese) [Google Scholar]
- Zhao, Z.; Wang, Y.; Li, X.; Qi, X. Separating Policy Burdens: Quantifying the Economic Benefits and Mechanisms in China’s State-Owned Enterprises. Appl. Econ. 2025, 1–14. [Google Scholar] [CrossRef]
- Ye, S.; Zeng, J.; Liao, F.; Huang, J. Policy Burden of State-Owned Enterprises and Efficiency of Credit Resource Allocation: Evidence from China. Sage Open 2021, 11, 21582440211005467. [Google Scholar] [CrossRef]
- Matuszak, P.; Szarzec, K. The Scale and Financial Performance of State-Owned Enterprises in the CEE Region*. Acta Oeconomica 2019, 69, 549–570. [Google Scholar] [CrossRef]
- Zhang, S.; Zhang, W.; Chen, F.; Guo, B. Does the Mixed-Ownership Reform of Chinese State-Owned Enterprises Improves Their Total Factor Productivity? Pac.-Basin Financ. J. 2023, 82, 102182. [Google Scholar] [CrossRef]
- Yuan, R.; Li, C.; Li, N.; Khan, M.A.; Sun, X.; Khaliq, N. Can Mixed-Ownership Reform Drive the Green Transformation of SOEs? Energies 2021, 14, 2964. [Google Scholar] [CrossRef]
- Qian, Y. Enterprise Reform in China: Agency Problems and Political Control. Econ. Transit. 1996, 4, 427–447. [Google Scholar] [CrossRef]
- Qian, Y.; Wu, J. China’s Transition to a Market Economy: How Far Across the River? Palgrave Macmillan: London, UK, 1999. [Google Scholar] [CrossRef]
- Fan, J.P.H.; Wong, T.J.; Zhang, T. Institutions and Organizational Structure: The Case of State-Owned Corporate Pyramids. J. Law Econ. Organ. 2012, 29, 1217–1252. [Google Scholar] [CrossRef]
- Baldini, M.; Lorenzo, D.M.; Liberatore, G.; Mazzi, F.; Terzani, S. Role of Country- and Firm-Level Determinants in Environmental, Social, and Governance Disclosure. J. Bus. Ethics 2018, 150, 79–98. [Google Scholar] [CrossRef]
- Fang, H.; Yang, J.J. Foreign Institutional Investor Herding and ESG Ratings. Pac.-Basin Financ. J. 2025, 90, 102692. [Google Scholar] [CrossRef]
- Fan, Z.; Chen, Y.; Mo, Y. Management Myopia and Corporate ESG Performance. Int. Rev. Financ. Anal. 2024, 92, 103071. [Google Scholar] [CrossRef]
- Lazzarini, S.G.; Musacchio, A. State Ownership Reinvented? Explaining Performance Differences between State-Owned and Private Firms. Corp. Gov. Int. Rev. 2018, 26, 255–272. [Google Scholar] [CrossRef]
- Megginson, W.L.; Netter, J.M. From State to Market: A Survey of Empirical Studies on Privatization. J. Econ. Lit. 2001, 39, 321–389. [Google Scholar] [CrossRef]
- Iwasaki, I.; Ma, X.; Mizobata, S. Ownership Structure and Firm Performance in Emerging Markets: A Comparative Meta-Analysis of East European EU Member States, Russia and China. Econ. Syst. 2022, 46, 100945. [Google Scholar] [CrossRef]
- Yuan, R.; Li, C.; Sun, X.; Khan, M.A.; Khaliq, N. Does Mixed-Ownership Reform Affect SOEs’ Competitive Strategies? Eng. Econ. 2024, 35, 583–601. [Google Scholar] [CrossRef]
- Bo, H.; Li, T.; Toolsema, L.A. Corporate Social Responsibility Investment and Social Objectives: An Examination on Social Welfare Investment of Chinese State Owned Enterprises. Scott. J. Political Econ. 2009, 56, 267–295. [Google Scholar] [CrossRef]
- Guan, J.; Gao, Z.; Tan, J.; Sun, W.; Shi, F. Does the Mixed Ownership Reform Work? Influence of Board Chair on Performance of State-Owned Enterprises. J. Bus. Res. 2021, 122, 51–59. [Google Scholar] [CrossRef]
- Ni, Z.L.; Gao, Z.B.; Zhang, K.Z. Policy Burdens and the Leverage of State-Owned Enterprises: The Mediate Effect of Soft Budget Constraint. Ind. Econ. Rev. 2019, 5, 102–114. [Google Scholar]
- Li, W.; Yu, M. The Nature of Ownership, Marketization Process and Enterprise Risk-Taking. China Ind. Econ. 2012, 12, 115–127. [Google Scholar]
- Chu, Y.W. Policy Burdens and Audit Fees: Evidence Based on Redundant Employees. Audit. Econ. Res. 2020, 35, 10–17. [Google Scholar]
- Liao, F.; Sun, Y.; Xu, S. Do the Policy Burdens of State-Owned Enterprises Affect the Efficiency of Resource Allocation of Tax Incentives? Environ. Sci. Pollut. Res. 2023, 30, 75957–75972. [Google Scholar] [CrossRef]
- Cai, Y.; Pan, C.H.; Statman, M. Why Do Countries Matter so Much in Corporate Social Performance? J. Corp. Financ. 2016, 41, 591–609. [Google Scholar] [CrossRef]
- Aguilera, R.V.; Rupp, D.E.; Williams, C.A.; Ganapathi, J. Putting the S Back in Corporate Social Responsibility: A Multilevel Theory of Social Change in Organizations. Acad. Manag. Rev. 2007, 32, 836–863. [Google Scholar] [CrossRef]
- Terzani, S.; Turzo, T. Religious Social Norms and Corporate Sustainability: The Effect of Religiosity on Environmental, Social, and Governance Disclosure. Corp. Soc. Responsib. Environ. Manag. 2021, 28, 485–496. [Google Scholar] [CrossRef]
- Vitale, G.; Cupertino, S.; Schiuma, G.; Troise, C. Investigating How Mandatory Sustainability Reporting Influences Corporate Governance Effects on ESG Performance: From Obligation to Impact for Sustainable Development. Corp. Soc. Responsib. Environ. Manag. 2025, 32, 6261–6282. [Google Scholar] [CrossRef]
- Kopita, A.; Petrou, Z. Does Analyst ESG Experience Matter? Br. Account. Rev. 2024, 101438. [Google Scholar] [CrossRef]
- Wang, Q.; Xu, Y. Can Industry Competition Stimulate Enterprises ESG Performance? Int. Rev. Financ. Anal. 2025, 104, 104274. [Google Scholar] [CrossRef]
- Borghesi, R. Corporate Socially Responsible Investments: CEO Altruism, Reputation, and Shareholder Interests. J. Corp. Financ. 2014, 26, 164–181. [Google Scholar] [CrossRef]
- Yu, E.P.; Luu, B.V. International Variations in ESG Disclosure—Do Cross-Listed Companies Care More? Int. Rev. Financ. Anal. 2021, 75, 101731. [Google Scholar] [CrossRef]
- Tamimi, N.; Sebastianelli, R. Transparency among S & P 500 Companies: An Analysis of ESG Disclosure Scores. Manag. Decis. 2017, 55, 1660–1680. [Google Scholar] [CrossRef]
- Cai, C.; Tu, Y.; Li, Z. Enterprise Digital Transformation and ESG Performance. Financ. Res. Lett. 2023, 58, 104692. [Google Scholar] [CrossRef]
- Zeng, Y.; Zhao, X.; Zhu, Y. Equity Incentives and ESG Performance: Evidence from China. Financ. Res. Lett. 2023, 58, 104592. [Google Scholar] [CrossRef]
- He, Y.; Wang, H. The Impact of Carbon Emission Reduction Policies on Corporate ESG Performance: Evidence from Low-Carbon City Pilots. Appl. Econ. 2025, 57, 1–18. [Google Scholar] [CrossRef]
- Lu, S.; Cheng, B. Does Environmental Regulation Affect Firms’ ESG Performance? Evidence from China. Manag. Decis. Econ. 2023, 44, 2004–2009. [Google Scholar] [CrossRef]
- Tang, C.; Wu, Y.; Liu, X. Does China’s National Carbon Market Play a Role? Evidence from Corporate ESG Performance. Econ. Anal. Policy 2025, 85, 1053–1064. [Google Scholar] [CrossRef]
- Fu, X.; Zhang, X. Tax Burden and Enterprises’ ESG Performance. Int. Rev. Financ. Anal. 2025, 103, 104223. [Google Scholar] [CrossRef]
- Kwilinski, A.; Lyulyov, O.; Pimonenko, T. The Role of Green Finance in Attaining Environmental Sustainability within a Country’s ESG Performance. J. Innov. Knowl. 2025, 10, 100674. [Google Scholar] [CrossRef]
- Jiang, Y.; Tang, Q. Mandatory Carbon Reporting, Voluntary Carbon Disclosure and ESG Performance. Pac. Account. Rev. 2023, 35, 534–561. [Google Scholar] [CrossRef]
- Wang, B.; Shen, Z. The Impact of Green Public Procurement on Corporate ESG Performance. J. Environ. Manag. 2025, 391, 126394. [Google Scholar] [CrossRef] [PubMed]
- Yang, Z.; Liu, P.; Luo, L. How Does Environmental Regulation Affect Corporate Green Innovation: A Comparative Study between Voluntary and Mandatory Environmental Regulations. J. Comp. Policy Anal. Res. Pract. 2024, 26, 130–158. [Google Scholar] [CrossRef]
- Dicuonzo, G.; Donofrio, F.; Ranaldo, S.; Dell’Atti, V. The Effect of Innovation on Environmental, Social and Governance (ESG) Practices. Medar 2022, 30, 1191–1209. [Google Scholar] [CrossRef]
- Barney, J. Firm Resources and Sustained Competitive Advantage. J. Manag. 1991, 17, 99–120. [Google Scholar] [CrossRef]
- Martínez-Román, J.A.; Romero, I. Determinants of Innovativeness in SMEs: Disentangling Core Innovation and Technology Adoption Capabilities. Rev. Manag. Sci. 2017, 11, 543–569. [Google Scholar] [CrossRef]
- Zhu, X. Research on Different Modes of Energy Conservation and Emission Reduction: A Differential Game Model Based on Carbon Trading Perspective. PLoS ONE 2024, 19, e0309968. [Google Scholar] [CrossRef]
- Thornton, P.H.; Ocasio, W. Institutional Logics. Sage Handb. Organ. Institutionalism 2008, 840, 99–128. [Google Scholar] [CrossRef]
- Fan, J.P.H.; Wong, T.J.; Zhang, T. Politically Connected CEOs, Corporate Governance, and Post-IPO Performance of China’s Newly Partially Privatized Firms. J. Financ. Econ. 2007, 84, 330–357. [Google Scholar] [CrossRef]
- Rentsch, C.; Finger, M. Yes, No, Maybe: The Ambiguous Relationships Between State-Owned Enterprises and the State. Ann. Public Coop. Econ. 2015, 86, 617–640. [Google Scholar] [CrossRef]
- Freeman, R.E. Strategic Management: A Stakeholder Approach; Cambridge University Press: Cambridge, UK, 2010; ISBN 0-521-15174-0. [Google Scholar]
- Lin, S.; Zhang, Y.; Wang, Y.; Geng, H. The Impact of CEO Reputation on ESG Performance in Varying Managerial Discretion Contexts. Financ. Res. Lett. 2024, 70, 106368. [Google Scholar] [CrossRef]
- Farag, H.; Koirala, S.; Luo, D.; Rao, S. Do Titans Deliver the ESG Promise? Societal Recognition and Responsible Corporate Decisions. Br. J. Manag. 2025, 36, 885–909. [Google Scholar] [CrossRef]
- Brogi, M.; Lagasio, V. Do Corporate Governance Frameworks Affect Sustainability Reporting? Corp. Soc. Responsib. Environ. Manag. 2025, 32, 3928–3943. [Google Scholar] [CrossRef]
- Erben Yavuz, A.; Kocaman, B.E.; Doğan, M.; Hazar, A.; Babuşcu, Ş.; Sutbayeva, R. The Impact of Corporate Governance on Sustainability Disclosures: A Comparison from the Perspective of Financial and Non-Financial Firms. Sustainability 2024, 16, 8400. [Google Scholar] [CrossRef]
- Lagasio, V.; Cucari, N. Corporate Governance and Environmental Social Governance Disclosure: A Meta-analytical Review. Corp. Soc. Responsib. Environ. Manag. 2019, 26, 701–711. [Google Scholar] [CrossRef]
- Kang, M.-J.; Oh, S.-G.; Lee, H.-Y. The Association between Outside Directors’ Compensation and ESG Performance: Evidence from Korean Firms. Sustainability 2022, 14, 11886. [Google Scholar] [CrossRef]
- Agnese, P.; Arduino, F.R.; Bruno, E.; Vento, G.A. On the Road to Sustainability: The Role of Board Characteristics in Driving ESG Performance in Africa. Socio-Econ. Plan. Sci. 2024, 95, 101994. [Google Scholar] [CrossRef]
- Dohrmann, M.; Martinez-Blasco, M.; Cuadros, J.; Sanz, F.P. Environmental Performance and Firm Value: The Moderating Role of ESG-Executive Compensation. Sustain. Dev. 2025, 33, 6215–6227. [Google Scholar] [CrossRef]
- Lin, Y.; Fu, X.; Fu, X. Varieties in State Capitalism and Corporate Innovation: Evidence from an Emerging Economy. J. Corp. Financ. 2021, 67, 101919. [Google Scholar] [CrossRef]
- Lu, Y.; Xu, C.; Zhu, B.; Sun, Y. Digitalization Transformation and ESG Performance: Evidence from China. Bus. Strategy Environ. 2024, 33, 352–368. [Google Scholar] [CrossRef]
- Jiang, T. Mediating effects and moderating effects in causal inference. Chin. Ind. Econ. 2022, 5, 100–120. [Google Scholar] [CrossRef]
- Mu, W.; Liu, K.; Tao, Y.; Ye, Y. Digital Finance and Corporate ESG. Financ. Res. Lett. 2023, 51, 103426. [Google Scholar] [CrossRef]
- Tian, H.; Tian, G. Corporate Sustainability and Trade Credit Financing: Evidence from Environmental, Social, and Governance Ratings. Corp. Soc. Responsib. Environ. Manag. 2022, 29, 1896–1908. [Google Scholar] [CrossRef]
- Chen, J.Z.; Li, Z.; Mao, T.; Yoon, A. Global versus Local ESG Ratings: Evidence from China. Account. Rev. 2025, 100, 161–192. [Google Scholar] [CrossRef]
- Zhu, Y.; Zhang, Z. Supply Chain Digitalization and Corporate ESG Performance: Evidence from Supply Chain Innovation and Application Pilot Policy. Financ. Res. Lett. 2024, 67, 105818. [Google Scholar] [CrossRef]
- Guo, X.; Xu, J. New Ambient Air Quality Standards, Human Capital Flow, and Economic Growth: Evidence from an Environmental Information Disclosure Policy in China. J. Clean. Prod. 2024, 434, 140168. [Google Scholar] [CrossRef]
- Beck, T.; Levine, R.; Levkov, A. Big Bad Banks? The Winners and Losers from Bank Deregulation in the United States. J. Financ. 2010, 65, 1637–1667. [Google Scholar] [CrossRef]
- Liu, G.; Wang, Q.; Tao, Y. Does SASAC Boost the Innovation of State-Owned Enterprises? Pac.-Basin Financ. J. 2024, 87, 102484. [Google Scholar] [CrossRef]
- Fisman, R.; Gatti, R. Decentralization and Corruption: Evidence across Countries. J. Public Econ. 2002, 83, 325–345. [Google Scholar] [CrossRef]
- Ghazwani, M. Transforming Governance Into Social Value: The Critical Role of Board Culture Diversity and Anti-Corruption Policies in Affecting Corporate Social Performance in G20 Countries. Corp. Soc. Responsib. Environ. Manag. 2025, 32, 2964–2987. [Google Scholar] [CrossRef]
- Liu, X.; Huang, N.; Su, W.; Zhou, H. Green Innovation and Corporate ESG Performance: Evidence from Chinese Listed Companies. Int. Rev. Econ. Financ. 2024, 95, 103461. [Google Scholar] [CrossRef]
- Nie, C.; Luo, W.; Chen, Z.; Feng, Y. Intellectual Property Protection and Corporate ESG Performance: Evidence from a Quasi-Natural Experiment in China. Bus. Process Manag. J. 2025, 31, 245–266. [Google Scholar] [CrossRef]
- Huang, J.; Ma, L. Substantive Green Innovation or Symbolic Green Innovation: The Impact of Fintech on Corporate Green Innovation. Financ. Res. Lett. 2024, 63, 105265. [Google Scholar] [CrossRef]
- Guedes, R.; Neves, M.E.; Vieira, E. Bridging Governance Gaps: Politically Connected Boards, Gender Diversity and the ESG Performance Puzzle in Iberian Companies. Bus. Process Manag. J. 2025, 31, 365–389. [Google Scholar] [CrossRef]
- Wang, Z.; Liu, X.; Kong, X.; Zhou, J. Corporate Political Connection, Rent Seeking and Government Procurement Order. Int. Rev. Econ. Financ. 2025, 103, 104354. [Google Scholar] [CrossRef]
- Zhong, W.; Zheng, Y. Do Political Connections Stifle Firm Innovation? Natural Experimental Evidence from China’s Anti-Corruption Campaigns. Strateg. Manag. J. 2025, 46, 1183–1216. [Google Scholar] [CrossRef]
- Del Sarto, N. Corporate Governance and ESG Controversies: Navigating Risk-Taking in Banks. Bus. Strategy Environ. 2025, 34, 4541–4560. [Google Scholar] [CrossRef]
- Zheng, Y.; Zheng, M.; Zhang, J. Executive Educational Background, Corporate Governance and Corporate Default Risk. Financ. Res. Lett. 2024, 67, 105785. [Google Scholar] [CrossRef]
- Yuan, B.; Li, C.; Xiong, X. Innovation and Environmental Total Factor Productivity in China: The Moderating Roles of Economic Policy Uncertainty and Marketization Process. Environ. Sci. Pollut. Res. 2021, 28, 9558–9581. [Google Scholar] [CrossRef] [PubMed]
- Wang, L.; Zeng, T.; Li, C. Behavior Decision of Top Management Team and Enterprise Green Technology Innovation. J. Clean. Prod. 2022, 367, 133120. [Google Scholar] [CrossRef]
- Guo, X.; Xu, J. Can Urban Digital Intelligence Transformation Promote Corporate Green Innovation? Evidence from China. J. Environ. Manag. 2024, 371, 123245. [Google Scholar] [CrossRef] [PubMed]
- Ai, M.; Feng, Z.; Bu, Y. Digital Inclusive Finance Enabling Green Pathways for Heavily Polluting Enterprises to Achieve Environmental Legitimacy. Environ. Dev. Sustain. 2025. [Google Scholar] [CrossRef]
- Curi, C.; Mancuso, P.; Scarpa, A. State-Owned Enterprises: A Bibliometric Review and Research Agenda. Financ. Res. Lett. 2025, 74, 106749. [Google Scholar] [CrossRef]
- Cong Phuong, N.; Dinh Khoi Nguyen, T.; Phuoc Vu, H. Politics and Institution of Corporate Governance in Vietnamese State-Owned Enterprises. MAJ 2020, 35, 667–684. [Google Scholar] [CrossRef]
- Fu, H.; Zeng, S.; Sun, D.; Lin, J. Mixed-Ownership Reform and Innovation: An Examination of State-Owned Enterprises. IEEE Trans. Eng. Manag. 2024, 71, 14450–14471. [Google Scholar] [CrossRef]
- Zhao, P.; Xu, J. Analysis of Residents’ Livelihoods in Transformed Shantytowns: A Case Study of a Resource-Based City in China. Sustainability 2024, 16, 1587. [Google Scholar] [CrossRef]
- Zhang, J.; Chen, Z. Greening through Social Trust? Res. Int. Bus. Financ. 2023, 66, 102061. [Google Scholar] [CrossRef]
Disclaimer/Publisher’s Note: The statements, opinions and data contained in all publications are solely those of the individual author(s) and contributor(s) and not of MDPI and/or the editor(s). MDPI and/or the editor(s) disclaim responsibility for any injury to people or property resulting from any ideas, methods, instructions or products referred to in the content. |
© 2025 by the authors. Licensee MDPI, Basel, Switzerland. This article is an open access article distributed under the terms and conditions of the Creative Commons Attribution (CC BY) license (https://creativecommons.org/licenses/by/4.0/).


