Direct Measurements of the Mass of Municipal Biowaste Separated and Recycled at Source and Its Role in Circular Economy—A Case Study from Poland
Abstract
1. Introduction
2. Materials and Methods
- Firstly, by considering the amount of BK, three groups were created based on the number of inhabitants: households with 1–2 persons, 3–4 persons, or 5 or more persons;
- Secondly, when considering the amount of BG, four groups were created based on the size of green areas around the house: <200 m2, 200–1000 m2, 1000–2000 m2, and >2000 m2.
3. Results and Discussion
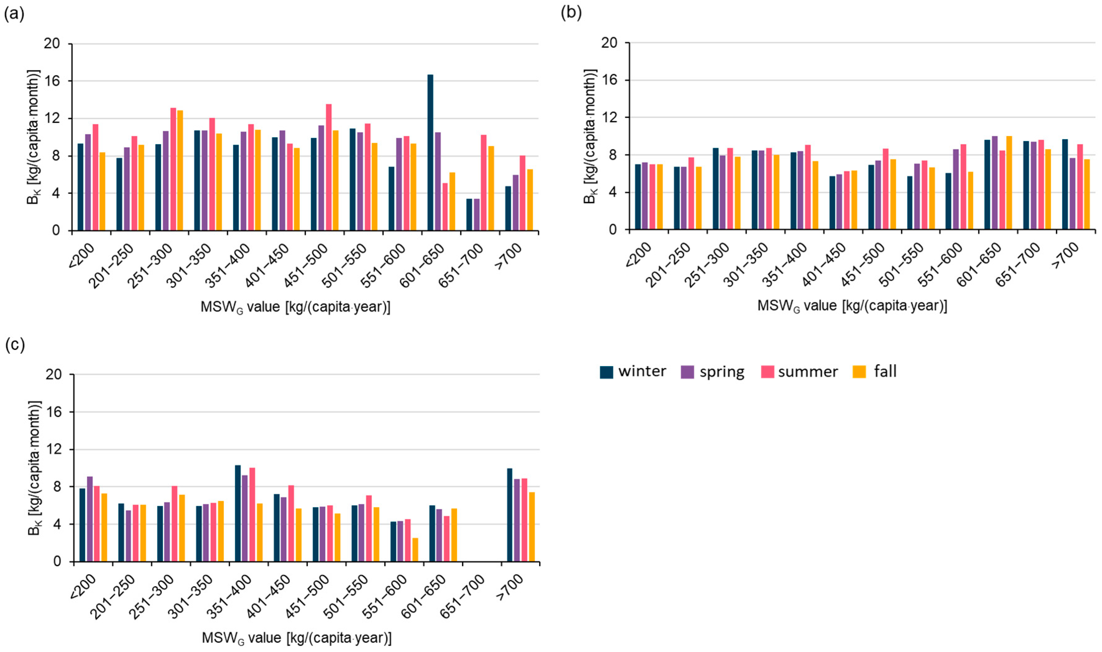
3.1. BK Separated and Composted at the Source
3.2. BG Separated and Composted at the Source
3.3. Source Separation and Recycling of Biowaste in Circular Economy and in Increasing the Recycling Rate
- Mass of MSW collected—1000 Mg;
- Mass of municipal waste prepared for reuse and recycled—300 Mg;
- Achieved recycling rate—30%.
- Mass of MSW collected—1000 Mg + TBrecycled—100 Mg (total 1100 Mg);
- Mass of municipal waste prepared for reuse and recycled—300 Mg + TBrecycled—100 Mg (total 400 Mg);
- Achieved recycling rate—36%.
4. Conclusions
Author Contributions
Funding
Institutional Review Board Statement
Informed Consent Statement
Data Availability Statement
Conflicts of Interest
Abbreviations
| MSW | municipal solid waste |
| MSWG | MSW generation values (the amount of waste generated per capita per year) |
| BHrecycled | the amount of biowaste generated, separated, and recycled at source in households |
| TBrecycled | the total amount of municipal biowaste that is generated, separated, and recycled at source |
| BK | kitchen waste |
| BG | garden waste |
References
- European Parliament and the Council of the European Union. Directive 2008/98/EC of the European Parliament and of the Council of 19 November 2008 on Waste and Repealing Certain Directives; European Parliament and the Council of the European Union: Strasbourg, France, 2018; Available online: http://data.europa.eu/eli/dir/2008/98/oj (accessed on 24 June 2025).
- Decision 2014/955/EU; Commission Decision 2014/955/EU: Commission Decision of 18 December 2014 Amending Decision 2000/532/EC on the List of Waste Pursuant to Directive 2008/98/EC of the European Parliament and of the Council. Official Journal of the European Union L 370/44: Maastricht, The Netherlands, 2014. Available online: http://data.europa.eu/eli/dec/2014/955/oj (accessed on 24 June 2025).
- Waszczyłko-Miłkowska, B.; Bernat, K.; Szczepański, K. Assessment of the quantities of non-targeted materials (impurities) in recycled plastic packaging waste to comply with EU regulations and sustainable waste management. Sustainability 2024, 16, 6226. [Google Scholar] [CrossRef]
- Commission Implementing Decision (EU) 2019/1004 of 7 June 2019 Laying down Rules for the Calculation, Verification and Reporting of Data on Waste in Accordance with Directive 2008/98/EC of the European Parliament and of the Council and Repealing Commission Implementing Decision C (2012) 2384. 2019. Available online: http://data.europa.eu/eli/dec_impl/2019/1004/oj (accessed on 24 June 2025).
- EEA. Bio-Waste in Europe–Turning Challenges into Opportunities; Publications Office of the European Union: Luxembourg, 2020; Available online: https://www.eea.europa.eu/publications/bio-waste-in-europe (accessed on 24 June 2025).
- Jalalipour, H.; Binaee Haghighi, A.; Ferronato, N.; Bottausci, S.; Bonoli, A.; Nelles, M. Social, economic and environmental benefits of organic waste home composting in Iran. Waste Manag. Res. 2025, 43, 97–111. [Google Scholar] [CrossRef] [PubMed]
- Oviedo-Ocaña, E.R.; Abendroth, C.; Domínguez, I.C.; Sánchez, A.; Dornack, C. Life cycle assessment of biowaste and green waste composting systems: A review of applications and implementation challenges. Waste Manag. 2023, 171, 350–364. [Google Scholar] [CrossRef] [PubMed]
- Sulewski, P.; Kais, K.; Gołaś, M.; Rawa, G.; Urbańska, K.; Wąs, A. Home bio-waste composting for the circular economy. Energies 2021, 14, 6164. [Google Scholar] [CrossRef]
- Ermolaev, E.; Sundberg, C.; Pell, M.; Jönsson, H. Greenhouse gas emissions from home composting in practice. Bioresour. Technol. 2014, 151, 174–182. [Google Scholar] [CrossRef] [PubMed]
- Cheng, J.; Yin, R.; Luo, W.; Li, Y.; Wang, L.; Chang, R. Home composting for onsite treatment of household organic solid waste: A review. Curr. Pollut. Rep. 2022, 8, 395–408. [Google Scholar] [CrossRef]
- Närvä, M.; Alarinta, J.; Wirtanen, G. The amount of food waste and food packages generated in various-sized households with university students. Int. J. Soc. Humanit. Ext. 2024, 25, 128–136. [Google Scholar] [CrossRef]
- Gimenez, A.; Ares, G.; Jaeger, S.R. Exploration of individual factors influencing self-reported household food waste in Australia. J. Sens. Stud. 2023, 38, e12881. [Google Scholar] [CrossRef]
- Visschers, V.H.; Wickli, N.; Siegrist, M. Sorting out food waste behaviour: A survey on the motivators and barriers of self-reported amounts of food waste in households. J. Environ. Psychol. 2016, 45, 66–78. [Google Scholar] [CrossRef]
- Eades, P.; Kusch-Brandt, S.; Heaven, S.; Banks, C.J. Estimating the generation of garden waste in England and the differences between rural and urban areas. Resources 2020, 9, 8. [Google Scholar] [CrossRef]
- Popescu, I.S.; Covaliu-Mierlă, C.I.; Niculescu, V.C.; Șandru, C. Home Composting: A Sustainable Solution at Community Level. Sustainability 2025, 17, 3368. [Google Scholar] [CrossRef]
- UN General Assembly, Transforming Our World: The 2030 Agenda for Sustainable Development, A/RES/70/1, 21 October 2015. Available online: https://www.refworld.org/legal/resolution/unga/2015/en/111816 (accessed on 31 July 2025).
- Velazquez, L.; Munguia, N.; Alvarez-Alvarez, D.; Cuamea-Cruz, G.; Anaya-Eredias, C.; Martinez-Castañeda, F. Residential waste segregation: The interconnection with SDG 2 zero hunger. Environ. Chall. 2023, 10, 100675. [Google Scholar] [CrossRef]
- Bruni, C.; Akyol, C.; Cipolletta, G.; Eusebi, A.L.; Caniani, D.; Masi, S.; Colón, J.; Fatone, F. Decentralized community composting: Past, present and future aspects of Italy. Sustainability 2020, 12, 3319. [Google Scholar] [CrossRef]
- Loan, L.T.T.; Takahashi, Y.; Nomura, H.; Yabe, M. Modeling home composting behavior toward sustainable municipal organic waste management at the source in developing countries. Resour. Conserv. Recycl. 2018, 140, 65–71. [Google Scholar] [CrossRef]
- Vázquez, M.; Soto, M. The efficiency of home composting programmes and compost quality. Waste Manag. 2017, 64, 39–50. [Google Scholar] [CrossRef] [PubMed]
- Rybaczewska-Błażejowska, M.; Mazurek, D.; Mazur, M. Life cycle sustainability assessment of decentralised composting of bio-waste: A case study of the Łódź agglomeration (Poland). Quaest. Geogr. 2022, 41, 89–105. [Google Scholar] [CrossRef]








| Type of Biowaste | Grouping Method | Unit | |
|---|---|---|---|
| BK | 1 | the MSWG values, the number of inhabitants in the household, season | kg/(capita·month) |
| 2 | the MSWG values, season | kg/(capita·month) | |
| 3 | the MSWG values | kg/(capita·year) | |
| BG | 1 | the MSWG values, green area size around the house, season | kg/(m2·month) |
| 2 | the MSWG values, season | kg/(m2·month) | |
| 3 | the MSWG values | kg/(m2·year) |
Disclaimer/Publisher’s Note: The statements, opinions and data contained in all publications are solely those of the individual author(s) and contributor(s) and not of MDPI and/or the editor(s). MDPI and/or the editor(s) disclaim responsibility for any injury to people or property resulting from any ideas, methods, instructions or products referred to in the content. |
© 2025 by the authors. Licensee MDPI, Basel, Switzerland. This article is an open access article distributed under the terms and conditions of the Creative Commons Attribution (CC BY) license (https://creativecommons.org/licenses/by/4.0/).
Share and Cite
Waszczyłko-Miłkowska, B.; Bernat, K.; Zaborowska, M. Direct Measurements of the Mass of Municipal Biowaste Separated and Recycled at Source and Its Role in Circular Economy—A Case Study from Poland. Sustainability 2025, 17, 7252. https://doi.org/10.3390/su17167252
Waszczyłko-Miłkowska B, Bernat K, Zaborowska M. Direct Measurements of the Mass of Municipal Biowaste Separated and Recycled at Source and Its Role in Circular Economy—A Case Study from Poland. Sustainability. 2025; 17(16):7252. https://doi.org/10.3390/su17167252
Chicago/Turabian StyleWaszczyłko-Miłkowska, Beata, Katarzyna Bernat, and Magdalena Zaborowska. 2025. "Direct Measurements of the Mass of Municipal Biowaste Separated and Recycled at Source and Its Role in Circular Economy—A Case Study from Poland" Sustainability 17, no. 16: 7252. https://doi.org/10.3390/su17167252
APA StyleWaszczyłko-Miłkowska, B., Bernat, K., & Zaborowska, M. (2025). Direct Measurements of the Mass of Municipal Biowaste Separated and Recycled at Source and Its Role in Circular Economy—A Case Study from Poland. Sustainability, 17(16), 7252. https://doi.org/10.3390/su17167252

