A Review of Various Advanced Oxidation Techniques for Pesticide Degradation for Practical Application in Aqueous Environments
Abstract
1. Introduction
2. Pesticides in Aqueous Environments
2.1. Sources of Pesticide Contamination in Aqueous Environments and Their Environmental Impact
2.2. Pesticide Pollution Impacts on Health and Ecosystems
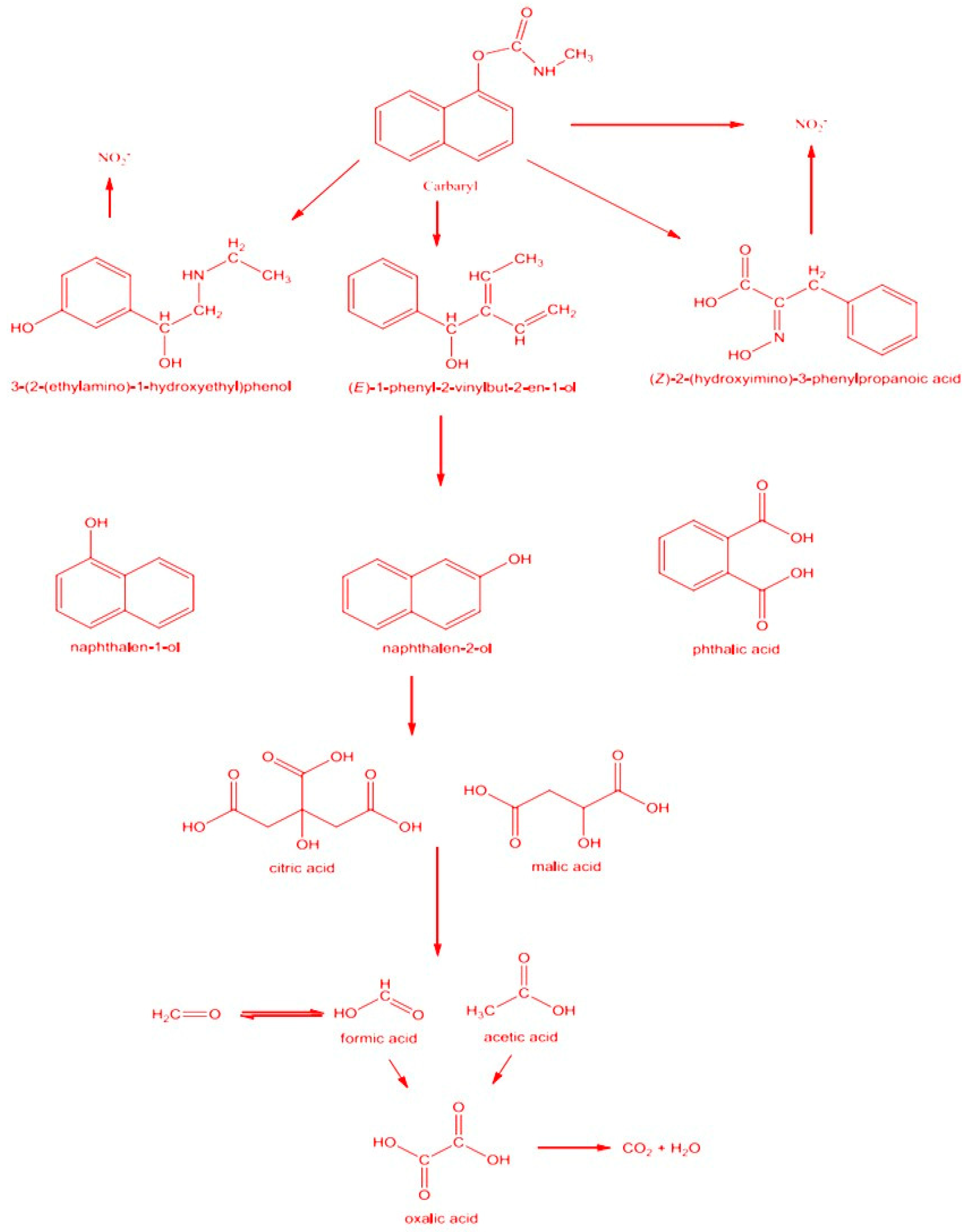
2.3. Pesticide Classification, Chemical Stability, and the Need for AOPs
3. Overview of Advanced Oxidation Processes and Their Underlying Mechanisms of Wastewater Treatment
3.1. Fenton and Fenton-like Process
3.2. Ozonation-Based Advanced Oxidation Process
3.3. Photocatalysis
3.4. UV/H2O2 Process
3.5. UV/O3 Process
3.6. Electrochemical Oxidation
4. Relationship Between Sustainability and AOPs for Pesticide Degradation
5. Pesticide Classification, Chemical Diversity, and Structure–Reactivity Relationships in AOPs
6. Advantages and Limitations of Advanced Oxidation Processes in the Dechlorination of Pesticide Pollutants
7. Studies on Pesticide Treatment in Aqueous Environment Using AOPs
8. Factors Influencing Pesticide Degradation in Aqueous Environment
When and Why a Hybrid AOP System Is Preferable over Standalone Systems
9. The Current Challenges and Limitations Faced in the Application of AOPs for Pesticide Treatment in Aqueous Environment and Future Directions
10. Conclusions
Author Contributions
Funding
Institutional Review Board Statement
Informed Consent Statement
Data Availability Statement
Conflicts of Interest
References
- Khan, B.A.; Nadeem, M.A.; Nawaz, H.; Amin, M.M.; Abbasi, G.H.; Nadeem, M.; Ali, M.; Ameen, M.; Javaid, M.M.; Maqbool, R.; et al. Pesticides: Impacts on Agriculture Productivity, Environment, and Management Strategies. In Emerging Contaminants and Plants: Interactions, Adaptations and Remediation Technologies; Aftab, T., Ed.; Springer International Publishing: Berlin/Heidelberg, Germany, 2023; pp. 109–134. [Google Scholar]
- Pawan, K.; Kumar, R.; Thakur, K.; Mahajan, D.; Brar, B.; Sharma, D.; Kumar, S.; Sharma, A.K. Impact of Pesticides Application on Aquatic Ecosystem and Biodiversity: A Review. Biol. Bull. 2023, 50, 1362–1375. [Google Scholar] [CrossRef]
- Desisa, B.; Getahun, A.; Muleta, D. Advances in Biological Treatment Technologies for Some Emerging Pesticides. In Pesticides Bioremediation; Siddiqui, S., Meghvansi, M.K., Chaudhary, K.K., Eds.; Springer International Publishing: Cham, Switzerland, 2022; pp. 259–280. [Google Scholar]
- Madsen, H.T.; Ammi-said, A.; Van der Bruggen, B.; Søgaard, E.G. Addition of Adsorbents to Nanofiltration Membrane to Obtain Complete Pesticide Removal. Water Air Soil Pollut. 2015, 226, 160. [Google Scholar] [CrossRef]
- Martínez-Sánchez, C.; Robles, I.; Godínez, L.A. Review of recent developments in electrochemical advanced oxidation processes: Application to remove dyes, pharmaceuticals, and pesticides. Int. J. Environ. Sci. Technol. 2022, 19, 12611–12678. [Google Scholar] [CrossRef]
- Verma, N.S.; Kuldeep, D.K.; Chouhan, M.; Prajapati, R.; Singh, S.K. A Review on Eco-Friendly Pesticides and Their Rising Importance in Sustainable Plant Protection Practices. Int. J. Plant Soil Sci. 2023, 35, 200–214. [Google Scholar] [CrossRef]
- Deng, Y.; Zhao, R. Advanced Oxidation Processes (AOPs) in Wastewater Treatment. Curr. Pollut. Rep. 2015, 1, 167–176. [Google Scholar] [CrossRef]
- Tijani, J.O.; Fatoba, O.O.; Madzivire, G.; Petrik, L.F. A Review of Combined Advanced Oxidation Technologies for the Removal of Organic Pollutants from Water. Water Air Soil Pollut. 2014, 225, 2102. [Google Scholar] [CrossRef]
- Derbalah, A.; Sakugawa, H. Sulfate Radical-Based Advanced Oxidation Technology to Remove Pesticides from Water A Review of the Most Recent Technologies. Int. J. Environ. Res. 2024, 18, 11. [Google Scholar] [CrossRef]
- Manna, M.; Sen, S. Advanced oxidation process: A sustainable technology for treating refractory organic compounds present in industrial wastewater. Environ. Sci. Pollut. Res. 2023, 30, 25477–25505. [Google Scholar] [CrossRef] [PubMed]
- Girón-Navarro, R.; Linares-Hernández, I.; Teutli-Sequeira, E.A.; Martínez-Miranda, V.; Santoyo-Tepole, F. Evaluation and comparison of advanced oxidation processes for the degradation of 2,4-dichlorophenoxyacetic acid (2,4-D): A review. Environ. Sci. Pollut. Res. Int. 2021, 28, 26325–26358. [Google Scholar] [CrossRef]
- Khan, Q.; Sayed, M.; Khan, J.A.; Rehman, F.; Noreen, S.; Sohni, S.; Gul, I. Advanced oxidation/reduction processes (AO/RPs) for wastewater treatment, current challenges, and future perspectives: A review. Environ. Sci. Pollut. Res. Int. 2024, 31, 1863–1889. [Google Scholar] [CrossRef]
- Sutton, R.; Xie, Y.; Moran, K.D.; Teerlink, J. Occurrence and Sources of Pesticides to Urban Wastewater and the Environment. In Pesticides in Surface Water: Monitoring, Modeling, Risk Assessment, and Management; American Chemical Society: Washington, DC, USA, 2019; pp. 63–88. [Google Scholar]
- Karri, R.R.; Ravindran, G.; Dehghani, M.H. Chapter 1—Wastewater—Sources, Toxicity, and Their Consequences to Human Health. In Soft Computing Techniques in Solid Waste and Wastewater Management; Karri, R.R., Ravindran, G., Dehghani, M.H., Eds.; Elsevier: Amsterdam, The Netherlands, 2021; pp. 3–33. [Google Scholar]
- Arzu, Ö.; Dilek, A.; Muhsin, K. Pesticides, Environmental Pollution, and Health. In Environmental Health Risk; Marcelo, L.L., Sonia, S., Eds.; IntechOpen: Rijeka, Croatia, 2016; Chapter 1. [Google Scholar]
- Syafrudin, M.; Kristanti, R.A.; Yuniarto, A.; Hadibarata, T.; Rhee, J.; Al-onazi, W.A.; Algarni, T.S.; Almarri, A.H.; Al-Mohaimeed, A.M. Pesticides in Drinking Water—A Review. Int. J. Environ. Res. Public Health 2021, 18, 468. [Google Scholar] [CrossRef] [PubMed]
- Goulson, D.; Nicholls, E.; Botías, C.; Rotheray, E.L. Bee declines driven by combined stress from parasites, pesticides, and lack of flowers. Science 2015, 347, 1255957. [Google Scholar] [CrossRef] [PubMed]
- Whitacre, D.M. Preface. Reviews of Environmental Contamination and Toxicology. Preface Rev. Environ. Contam. Toxicol. 2009, 199, vii–viii. [Google Scholar]
- Fenner, K.; Canonica, S.; Wackett, L.P.; Elsner, M. Evaluating pesticide degradation in the environment: Blind spots and emerging opportunities. Science 2013, 341, 752–758. [Google Scholar] [CrossRef]
- Oturan, M.A.; Aaron, J.-J. Advanced Oxidation Processes in Water/Wastewater Treatment: Principles and Applications. A Review. Crit. Rev. Environ. Sci. Technol. 2014, 44, 2577–2641. [Google Scholar] [CrossRef]
- Jain, B.; Singh, A.K.; Kim, H.; Lichtfouse, E.; Sharma, V.K. Treatment of organic pollutants by homogeneous and heterogeneous Fenton reaction processes. Environ. Chem. Lett. 2018, 16, 947–967. [Google Scholar] [CrossRef]
- Miklos, D.B.; Remy, C.; Jekel, M.; Linden, K.G.; Drewes, J.E.; Hübner, U. Evaluation of advanced oxidation processes for water and wastewater treatment—A critical review. Water Res. 2018, 139, 118–131. [Google Scholar] [CrossRef]
- Zhang, M.-h.; Dong, H.; Zhao, L.; Wang, D.-x.; Meng, D. A review on Fenton process for organic wastewater treatment based on optimization perspective. Sci. Total Environ. 2019, 670, 110–121. [Google Scholar] [CrossRef]
- Vigil-Castillo, H.H.; Ruiz-Ruiz, E.J.; López-Velázquez, K.; Hinojosa-Reyes, L.; Gaspar-Ramírez, O.; Guzmán-Mar, J.L. Assessment of photo electro-Fenton and solar photo electro-Fenton processes for the efficient degradation of asulam herbicide. Chemosphere 2023, 338, 139585. [Google Scholar] [CrossRef]
- Clematis, D.; Panizza, M. Electro-Fenton, solar photoelectro-Fenton and UVA photoelectro-Fenton: Degradation of Erythrosine B dye solution. Chemosphere 2021, 270, 129480. [Google Scholar] [CrossRef]
- Brillas, E.; Martínez-Huitle, C.A. Decontamination of wastewaters containing synthetic organic dyes by electrochemical methods. An updated review. Appl. Catal. B Environ. 2015, 166–167, 603–643. [Google Scholar] [CrossRef]
- Issaka, E.; Amu-Darko, J.N.-O.; Yakubu, S.; Fapohunda, F.O.; Ali, N.; Bilal, M. Advanced catalytic ozonation for degradation of pharmaceutical pollutants―A review. Chemosphere 2022, 289, 133208. [Google Scholar] [CrossRef] [PubMed]
- Lim, S.; Shi, J.L.; von Gunten, U.; McCurry, D.L. Ozonation of organic compounds in water and wastewater: A critical review. Water Res. 2022, 213, 118053. [Google Scholar] [CrossRef] [PubMed]
- Wang, T.; Song, Y.; Ding, H.; Liu, Z.; Baldwin, A.; Wong, I.; Li, H.; Zhao, C. Insight into synergies between ozone and in-situ regenerated granular activated carbon particle electrodes in a three-dimensional electrochemical reactor for highly efficient nitrobenzene degradation. Chem. Eng. J. 2020, 394, 124852. [Google Scholar] [CrossRef]
- How, Z.T.; Fang, Z.; Chelme-Ayala, P.; Ganiyu, S.O.; Zhang, X.; Xu, B.; Chen, C.; Gamal El-Din, M. Ozone-activated peroxymonosulfate (O3/PMS) process for the removal of model naphthenic acids compounds: Kinetics, reactivity, and contribution of oxidative species. J. Environ. Chem. Eng. 2023, 11, 109935. [Google Scholar] [CrossRef]
- Yang, J.; Li, Y.; Yang, Z.; Shih, K.; Ying, G.-G.; Feng, Y. Activation of ozone by peroxymonosulfate for selective degradation of 1,4-dioxane: Limited water matrices effects. J. Hazard. Mater. 2022, 436, 129223. [Google Scholar] [CrossRef]
- Yang, Y.; Jiang, J.; Lu, X.; Ma, J.; Liu, Y. Production of Sulfate Radical and Hydroxyl Radical by Reaction of Ozone with Peroxymonosulfate: A Novel Advanced Oxidation Process. Environ. Sci. Technol. 2015, 49, 7330–7339. [Google Scholar] [CrossRef]
- Farzaneh, H.; Loganathan, K.; Saththasivam, J.; McKay, G. Ozone and ozone/hydrogen peroxide treatment to remove gemfibrozil and ibuprofen from treated sewage effluent: Factors influencing bromate formation. Emerg. Contam. 2020, 6, 225–234. [Google Scholar] [CrossRef]
- Bourgin, M.; Borowska, E.; Helbing, J.; Hollender, J.; Kaiser, H.-P.; Kienle, C.; McArdell, C.S.; Simon, E.; von Gunten, U. Effect of operational and water quality parameters on conventional ozonation and the advanced oxidation process O3/H2O2: Kinetics of micropollutant abatement, transformation product and bromate formation in a surface water. Water Res. 2017, 122, 234–245. [Google Scholar] [CrossRef]
- Zhou, L.; Zhang, S.; Li, Z.; Liang, X.; Zhang, Z.; Liu, R.; Yun, J. Efficient degradation of phenol in aqueous solution by catalytic ozonation over MgO/AC. J. Water Process Eng. 2020, 36, 101168. [Google Scholar] [CrossRef]
- Loeb, S.K.; Alvarez, P.J.J.; Brame, J.A.; Cates, E.L.; Choi, W.; Crittenden, J.; Dionysiou, D.D.; Li, Q.; Li-Puma, G.; Quan, X.; et al. The Technology Horizon for Photocatalytic Water Treatment: Sunrise or Sunset? Environ. Sci. Technol. 2019, 53, 2937–2947. [Google Scholar] [CrossRef] [PubMed]
- Carey, J.H.; Lawrence, J.; Tosine, H.M. Photodechlorination of PCB’s in the presence of titanium dioxide in aqueous suspensions. Bull. Environ. Contam. Toxicol. 1976, 16, 697–701. [Google Scholar] [CrossRef] [PubMed]
- Bie, C.; Wang, L.; Yu, J. Challenges for photocatalytic overall water splitting. Chem 2022, 8, 1567–1574. [Google Scholar] [CrossRef]
- Ming, H.; Zhang, P.; Yang, Y.; Zou, Y.; Yang, C.; Hou, Y.; Ding, K.; Zhang, J.; Wang, X. Tailored poly-heptazine units in carbon nitride for activating peroxymonosulfate to degrade organic contaminants with visible light. Appl. Catal. B: Environ. 2022, 311, 121341. [Google Scholar] [CrossRef]
- Wang, F.; Xu, J.; Wang, Z.; Lou, Y.; Pan, C.; Zhu, Y. Unprecedentedly efficient mineralization performance of photocatalysis-self-Fenton system towards organic pollutants over oxygen-doped porous g-C3N4 nanosheets. Appl. Catal. B: Environ. 2022, 312, 121438. [Google Scholar] [CrossRef]
- Su, R.; Zhu, Y.; Gao, B.; Li, Q. Progress on mechanism and efficacy of heterogeneous photocatalysis coupled oxidant activation as an advanced oxidation process for water decontamination. Water Res. 2024, 251, 121119. [Google Scholar] [CrossRef]
- Li, Z.; Wang, S.; Wu, J.; Zhou, W. Recent progress in defective TiO2 photocatalysts for energy and environmental applications. Renew. Sustain. Energy Rev. 2022, 156, 111980. [Google Scholar] [CrossRef]
- Chong, M.N.; Jin, B.; Chow, C.W.K.; Saint, C. Recent developments in photocatalytic water treatment technology: A review. Water Res. 2010, 44, 2997–3027. [Google Scholar] [CrossRef]
- Fujishima, A.; Zhang, X. Titanium dioxide photocatalysis: Present situation and future approaches. Comptes Rendus Chim. 2006, 9, 750–760. [Google Scholar] [CrossRef]
- Chen, X.; Mao, S.S. Titanium Dioxide Nanomaterials: Synthesis, Properties, Modifications, and Applications. Chem. Rev. 2007, 107, 2891–2959. [Google Scholar] [CrossRef]
- Zhang, L.; Li, Y.; Li, Q.; Fan, J.; Carabineiro, S.A.C.; Lv, K. Recent advances on Bismuth-based Photocatalysts: Strategies and mechanisms. Chem. Eng. J. 2021, 419, 129484. [Google Scholar] [CrossRef]
- Guo, K.; Wu, Z.; Yan, S.; Yao, B.; Song, W.; Hua, Z.; Zhang, X.; Kong, X.; Li, X.; Fang, J. Comparison of the UV/chlorine and UV/H2O2 processes in the degradation of PPCPs in simulated drinking water and wastewater: Kinetics, radical mechanism and energy requirements. Water Res. 2018, 147, 184–194. [Google Scholar] [CrossRef]
- Deng, J.; Shao, Y.; Gao, N.; Xia, S.; Tan, C.; Zhou, S.; Hu, X. Degradation of the antiepileptic drug carbamazepine upon different UV-based advanced oxidation processes in water. Chem. Eng. J. 2013, 222, 150–158. [Google Scholar] [CrossRef]
- Sheikhi, S.; Dehghanzadeh, R.; Aslani, H. Advanced oxidation processes for chlorpyrifos removal from aqueous solution: A systematic review. J. Environ. Health Sci. Eng. 2021, 19, 1249–1262. [Google Scholar] [CrossRef]
- Ibrahim, K.E.A.; Şolpan, D. Removal of carbaryl pesticide in aqueous solution by UV and UV/hydrogen peroxide processes. Int. J. Environ. Anal. Chem. 2022, 102, 3271–3285. [Google Scholar] [CrossRef]
- Peyton, G.R.; Glaze, W.H. Destruction of pollutants in water with ozone in combination with ultraviolet radiation. 3. Photolysis of aqueous ozone. Environ. Sci. Technol. 1988, 22, 761–767. [Google Scholar] [CrossRef]
- Farkas, L.; Monzini, I.; Takács, E.; Wojnárovits, L.; Vörös, M.; Vágvölgyi, C.; Janáky, C.; Alapi, T. Comparison of the effectiveness of UV, UV/VUV photolysis, ozonation, and ozone/UV processes for the removal of sulfonamide antibiotics. J. Environ. Chem. Eng. 2024, 12, 111845. [Google Scholar] [CrossRef]
- He, Y.; Lin, H.; Guo, Z.; Zhang, W.; Li, H.; Huang, W. Recent developments and advances in boron-doped diamond electrodes for electrochemical oxidation of organic pollutants. Sep. Purif. Technol. 2019, 212, 802–821. [Google Scholar] [CrossRef]
- Pera-Titus, M.; Garcıa-Molina, V.; Baños, M.A.; Giménez, J.; Esplugas, S. Degradation of chlorophenols by means of advanced oxidation processes: A general review. Appl. Catal. B: Environ. 2004, 47, 219–256. [Google Scholar] [CrossRef]
- Malato, S.; Fernández-Ibáñez, P.; Maldonado, M.I.; Blanco, J.; Gernjak, W. Decontamination and disinfection of water by solar photocatalysis: Recent overview and trends. Catal. Today 2009, 147, 1–59. [Google Scholar] [CrossRef]
- Gaya, U.I.; Abdullah, A.H. Heterogeneous photocatalytic degradation of organic contaminants over titanium dioxide: A review of fundamentals, progress and problems. J. Photochem. Photobiol. C Photochem. Rev. 2008, 9, 1–12. [Google Scholar] [CrossRef]
- Goulson, D. Review: An overview of the environmental risks posed by neonicotinoid insecticides. J. Appl. Ecol. 2013, 50, 977–987. [Google Scholar] [CrossRef]
- Ren, M.; Sun, S.; Wu, Y.; Shi, Y.; Wang, Z.-J.; Cao, H.; Xie, Y. The structure-activity relationship of aromatic compounds in advanced oxidation processes: A review. Chemosphere 2022, 296, 134071. [Google Scholar] [CrossRef]
- Gągol, M.; Przyjazny, A.; Boczkaj, G. Wastewater treatment by means of advanced oxidation processes based on cavitation—A review. Chem. Eng. J. 2018, 338, 599–627. [Google Scholar] [CrossRef]
- Hadei, M.; Mesdaghinia, A.; Nabizadeh, R.; Mahvi, A.H.; Rabbani, S.; Naddafi, K. A comprehensive systematic review of photocatalytic degradation of pesticides using nano TiO2. Environ. Sci. Pollut. Res. 2021, 28, 13055–13071. [Google Scholar] [CrossRef]
- Singh, S.K.; PMishra, K.; Upadhyay, S.N. Recent developments in photocatalytic degradation of insecticides and pesticides. Rev. Chem. Eng. 2023, 39, 225–270. [Google Scholar] [CrossRef]
- Swami, S.; Muzammil, R.; Saha, S.; Shabeer, A.; Oulkar, D.; Banerjee, K.; Singh, S.B. Evaluation of ozonation technique for pesticide residue removal and its effect on ascorbic acid, cyanidin-3-glucoside, and polyphenols in apple (Malus domesticus) fruits. Environ. Monit. Assess. 2016, 188, 301. [Google Scholar] [CrossRef]
- Garrido, I.; Martínez-Escudero, C.M.; Contreras, F.; Flores, P.; Hellín, P.; Fenoll, J. Abatement of pesticides residues in commercial farm soils by combined ozonation-solarization treatment. Environ. Monit. Assess. 2023, 195, 1406. [Google Scholar] [CrossRef]
- Liu, Q.; Qian, K.; Qi, J.; Li, C.; Yao, C.; Song, W.; Wang, Y. Improving the efficiency of Fenton reactions and their application in the degradation of benzimidazole in wastewater. RSC Adv. 2018, 8, 9741–9748. [Google Scholar] [CrossRef]
- da Luz, V.C.; Bazoti, S.F.; Behling, L.; Dalla Rosa, C.; Pasquali, G.D.L. Enhanced UV Direct Photolysis and UV/H2O2 for Oxidation of Triclosan and Ibuprofen in Synthetic Effluent: An Experimental Study. Water Air Soil Pollut. 2022, 233, 126. [Google Scholar] [CrossRef]
- Pirsaheb, M.; Moradi, N. Sonochemical degradation of pesticides in aqueous solution: Investigation on the influence of operating parameters and degradation pathway—A systematic review. RSC Adv. 2020, 10, 7396–7423. [Google Scholar] [CrossRef] [PubMed]
- Paquini, L.; Marconsini, L.; Profeti, L.; Campos, O.; Profeti, D.; Ribeiro, J. An overview of electrochemical advanced oxidation processes applied for the removal of azo-dyes. Braz. J. Chem. Eng. 2023, 40, 623–653. [Google Scholar] [CrossRef]
- Priyadarshini, M.; Das, I.; Ghangrekar, M.M.; Blaney, L. Advanced oxidation processes: Performance, advantages, and scale-up of emerging technologies. J. Environ. Manag. 2022, 316, 115295. [Google Scholar] [CrossRef] [PubMed]
- Gautam, P.; Popat, A.; Lokhandwala, S. Advances & Trends in Advance Oxidation Processes and Their Applications. In Advanced Industrial Wastewater Treatment and Reclamation of Water: Comparative Study of Water Pollution Index During Pre-Industrial, Industrial Period and Prospect of Wastewater Treatment for Water Resource Conservation; Roy, S., Garg, A., Garg, S., Tran, T.A., Eds.; Springer International Publishing: Cham, Switzerland, 2022; pp. 45–69. [Google Scholar]
- Santacruz-Chávez, J.A.; Oros-Ruiz, S.; Prado, B.; Zanella, R. Photocatalytic degradation of atrazine using TiO2 superficially modified with metallic nanoparticles. J. Environ. Chem. Eng. 2015, 3, 3055–3061. [Google Scholar] [CrossRef]
- Bourgin, M.; Violleau, F.; Debrauwer, L.; Albet, J. Ozonation of imidacloprid in aqueous solutions: Reaction monitoring and identification of degradation products. J. Hazard. Mater. 2011, 190, 60–68. [Google Scholar] [CrossRef]
- Berenguer, R.; Fernández-Aguirre, M.G.; Beaumont, S.; Huerta, F.; Morallón, E. Anodic abatement of glyphosate on Pt-doped SnO2–Sb electrodes promoted by pollutant-dopant electrocatalytic interactions. Chemosphere 2024, 346, 140635. [Google Scholar] [CrossRef]
- Metz, D.H.; Meyer, M.; Dotson, A.; Beerendonk, E.; Dionysiou, D.D. The effect of UV/H2O2 treatment on disinfection by-product formation potential under simulated distribution system conditions. Water Res. 2011, 45, 3969–3980. [Google Scholar] [CrossRef]
- Yao, J.-J.; Gao, N.-Y.; Li, C.; Li, L.; Xu, B. Mechanism and kinetics of parathion degradation under ultrasonic irradiation. J. Hazard. Mater. 2010, 175, 138–145. [Google Scholar] [CrossRef]
- Kaur, R.; Singh, D.; Kumari, A.; Sharma, G.; Rajput, S.; Arora, S.; Kaur, R. Pesticide residues degradation strategies in soil and water: A review. Int. J. Environ. Sci. Technol. 2023, 20, 3537–3560. [Google Scholar] [CrossRef]
- Rodríguez-Chueca, J.; Carbajo, J.; García-Muñoz, P. Intensification of Photo-Assisted Advanced Oxidation Processes for Water Treatment: A Critical Review. Catalysts 2023, 13, 401. [Google Scholar] [CrossRef]
- Sun, S.; Sidhu, V.; Rong, Y.; Sun, S. Pesticide Pollution in Agricultural Soils and Sustainable Remediation Methods: A Review. Curr. Pollut. Rep. 2018, 4, 1–11. [Google Scholar] [CrossRef]
- Pignatello, J.J.; Esther, O.; MacKay, A. Advanced Oxidation Processes for Organic Contaminant Destruction Based on the Fenton Reaction and Related Chemistry. Crit. Rev. Environ. Sci. Technol. 2006, 36, 1–84. [Google Scholar] [CrossRef]
- Ikehata, K.; Naeimeh, J.N.; Gamal El-Din, M. Degradation of Aqueous Pharmaceuticals by Ozonation and Advanced Oxidation Processes: A Review. Ozone: Sci. Eng. 2006, 28, 353–414. [Google Scholar] [CrossRef]
- Gogate, P.R.; Sutkar, V.S.; Pandit, A.B. Sonochemical reactors: Important design and scale up considerations with a special emphasis on heterogeneous systems. Chem. Eng. J. 2011, 166, 1066–1082. [Google Scholar] [CrossRef]
- Brillas, E.; Sirés, I.; Oturan, M.A. Electro-Fenton Process and Related Electrochemical Technologies Based on Fenton’s Reaction Chemistry. Chem. Rev. 2009, 109, 6570–6631. [Google Scholar] [CrossRef]
- Xu, J.; Olvera-Vargas, H.; Teo, F.Y.H.; Lefebvre, O. A comparison of visible-light photocatalysts for solar photoelectrocatalysis coupled to solar photoelectro-Fenton: Application to the degradation of the pesticide simazine. Chemosphere 2021, 276, 130138. [Google Scholar] [CrossRef]
- von Gunten, U. Ozonation of drinking water: Part I. Oxidation kinetics and product formation. Water Res. 2003, 37, 1443–1467. [Google Scholar] [CrossRef]
- Herrmann, J.-M. Heterogeneous photocatalysis: Fundamentals and applications to the removal of various types of aqueous pollutants. Catal. Today 1999, 53, 115–129. [Google Scholar] [CrossRef]
- Ismael, M. A review on graphitic carbon nitride (g-C3N4) based nanocomposites: Synthesis, categories, and their application in photocatalysis. J. Alloys Compd. 2020, 846, 156446. [Google Scholar] [CrossRef]
- Choo, K.-H. Advanced Oxidation Processes (AOPs) and Membrane Operations. In Encyclopedia of Membranes; Drioli, E., Giorno, L., Eds.; Springer: Berlin/Heidelberg, Germany, 2015; pp. 1–2. [Google Scholar]
- Feijoo, S.; Yu, X.; Kamali, M.; Appels, L.; Dewil, R. Generation of oxidative radicals by advanced oxidation processes (AOPs) in wastewater treatment: A mechanistic, environmental and economic review. Rev. Environ. Sci. Bio/Technol. 2023, 22, 205–248. [Google Scholar] [CrossRef]
- Jatoi, A.S.; Hashmi, Z.; Adriyani, R.; Yuniarto, A.; Mazari, S.A.; Akhter, F.; Mubarak, N.M. Recent trends and future challenges of pesticide removal techniques—A comprehensive review. J. Environ. Chem. Eng. 2021, 9, 105571. [Google Scholar] [CrossRef]
Field: spray drift during application, surface runoff and leaching with subsequent transport through drainage channels during rain events.
Farm and Farmyard: improper operations (e.g., filling of sprayers, washing of measuring utilities, disposing of packing material, driving with seeping sprayers, cleaning of spraying equipment). These operations are performed at locations that either drain to the sewerage system, to the septic tank, or into surface waters.
Like
for pesticide users in urban areas.
Pesticides in building material: leaching during rain events.
Applications on lawns, streets, road embankments: runoff during rain events.
Protection of materials: e.g., products containing antifouling ingredients that get into the sewerage (e.g., detergents, cosmetics).
Field: spray drift during application, surface runoff and leaching with subsequent transport through drainage channels during rain events.
Farm and Farmyard: improper operations (e.g., filling of sprayers, washing of measuring utilities, disposing of packing material, driving with seeping sprayers, cleaning of spraying equipment). These operations are performed at locations that either drain to the sewerage system, to the septic tank, or into surface waters.
Like
for pesticide users in urban areas.
Pesticides in building material: leaching during rain events.
Applications on lawns, streets, road embankments: runoff during rain events.
Protection of materials: e.g., products containing antifouling ingredients that get into the sewerage (e.g., detergents, cosmetics).








| Advanced Oxidation Process (AOPs) | Advantages | Limitations | References |
|---|---|---|---|
| Photocatalysis | - Broad applicability: Photocatalysis can effectively degrade a wide range of pesticides, including various chemical classes. - High degradation efficiency: The generation of highly reactive hydroxyl radicals (·OH) through photocatalysis enables efficient and complete pesticide degradation. - Regeneration of catalyst: Catalyst materials like TiO2 or ZnO can be regenerated and reused, leading to cost savings. | - Catalyst selectivity: Not all pesticides can be efficiently degraded by photocatalysis, as the process’s effectiveness depends on the pesticide’s adsorption and reaction properties. - Light dependency: Photocatalytic reactions require a light source, preferably ultraviolet (UV) radiation. This dependency may limit operation under certain conditions and increase energy consumption. - Catalyst recovery and recycling challenges: Separating the catalyst from the treated water or waste stream can be challenging, affecting the overall efficiency and practicality of photocatalysis. | [60,61] |
| Ozonation process | - Wide pesticide applicability: Ozone is highly reactive and effective in degrading various pesticide classes, including herbicides, insecticides, and fungicides. - Rapid reaction kinetics: Ozonation offers fast reaction rates, resulting in relatively quick degradation of pesticides. - No chemical byproduct formation: Ozone decomposes into oxygen, leaving no harmful residues or additional chemical pollutants. | - Limited persistence: Ozone has a short half-life and readily decomposes. Therefore, its effective contact time with the pesticide may be limited and require continuous ozone generation for sustained degradation. - Selectivity: While ozone can degrade many pesticides, there may be variations in reactivity, and some pesticides might require longer contact times or higher ozone concentrations. - Off-gas management: The removal and treatment of ozone-rich off-gases can be challenging, requiring appropriate air pollution control measures. | [62,63] |
| Fenton process | - Effective for complex matrices: Fenton’s reaction can efficiently degrade pesticides even in complex matrices like wastewater or soil samples, where other treatments may encounter difficulties. - Wide pH range: The Fenton reaction can operate under a wide pH range, allowing flexibility in treating different environmental conditions. - High reactivity: Fenton’s reaction generates highly reactive hydroxyl radicals, leading to rapid and effective degradation of pesticides. - Efficient in acidic conditions (pH 3–4). - Cost-effective compared to other AOPs | - Catalyst limitations: Selecting the proper iron catalyst and maintaining its activity is crucial. Iron catalysts may lose efficiency over time due to precipitation, fouling, or other factors, necessitating replacement or regeneration. - Hydrogen peroxide requirement: The Fenton’s reaction relies on the addition of hydrogen peroxide, which can be costly and pose safety concerns in large-scale applications. - pH adjustment: Fenton’s reaction often requires pH adjustment to initiate the reaction. This step adds complexity to the process and might limit its application in some scenarios. | [64] |
| UV/H2O2 | - UV/H2O2 is effective in degrading many pesticide classes and complex mixtures. - It offers relatively fast reaction rates and can achieve high degradation efficiencies. - The process can be easily controlled by adjusting the dosages of UV light and hydrogen peroxide. - No sludge production, and H2O2 decomposes into water and oxygen. | - UV/H2O2 requires a sufficient supply of hydrogen peroxide, which can add to the operational costs. - The presence of certain water constituents can inhibit or compete with the reaction, reducing overall efficiency. - UV/H2O2 may not be suitable for treating large volumes of water due to the limited penetration depth of UV light. | [65] |
| Sonochemical degradation | - Efficiency: Sonochemical degradation can achieve high levels of pollutant degradation due to the intense cavitation and localized hotspots created by ultrasound waves. - Versatility: It can be applied to a wide range of pollutants, including organic compounds, pesticides, and pharmaceuticals. - Green process: Sonochemical degradation is generally considered a green process as it operates at ambient temperatures and pressures, reducing energy consumption. | - Energy-intensive: Sonochemical degradation requires high-power ultrasound waves, making it an energy-intensive process. - Limited scalability: Sonochemical reactors for large-scale applications can be challenging due to issues such as uneven distribution of cavitation and scale-up complexities. | [66] |
| Electrochemical oxidation | - Selectivity: Electrochemical oxidation allows for selective degradation of specific pollutants, depending on the choice of electrode material and operating conditions. - Continuous operation: It enables continuous pollutant removal as long as a sufficient supply of electricity is available. - Easy control: Parameters such as current density and electrode potential can be adjusted to optimize the degradation process. - No chemical addition is needed. | - Electrode fouling: Fouling of the electrodes can occur during the electrochemical oxidation process, reducing its efficiency. - Limited applicability: Electrochemical oxidation may not be suitable for certain types of pollutants that are less amenable to oxidation or require specific reaction pathways. - Cost: The cost associated with electrical power consumption, electrode maintenance, and system setup can be a limitation. | [5,67] |
| Advanced oxidation with peroxides | - Versatility: Advanced oxidation with peroxides can effectively degrade a wide range of organic pollutants, including hard-to-treat compounds. - Simplicity: Peroxide-based AOPs often have straightforward reactor designs, making them easier to implement and operate. - No need for external energy: In certain cases, the reactions involving peroxides can be initiated by natural light rather than requiring additional energy sources. | - Cost: The use of peroxides in AOPs can contribute to higher operational costs due to the procurement and handling of reagents. - By-products formation: Depending on the reaction conditions, some AOPs involving peroxides can produce undesired by-products, which need further treatment or disposal. - pH sensitivity: The effectiveness of peroxide-based AOPs can be pH-dependent, and optimizing the reaction conditions may be necessary to achieve optimal degradation efficiency. | [68,69] |
| Studies | AOPs Method | Target Pesticide | Key Findings | References |
|---|---|---|---|---|
| Photocatalytic degradation of atrazine using TiO2 | Photocatalysis (TiO2/UV) | Atrazine | 95% degradation under UV in 120 min | [70] |
| Advanced oxidation of chlorpyrifos by Fenton’s reagent | Fenton (Fe2+/H2O2) | Chlorpyrifos | 98% degradation at pH 3 in 30 min | [49] |
| Ozonation of imidacloprid in aqueous solutions | Ozonation (O3/H2O2) | Imidacloprid | 90% removal in 20 min (O3 dose: 5 mg/L) | [71] |
| Anodic oxidation of glyphosate on BDD electrodes | Electrochemical (BDD) | Glyphosate | >90% TOC removal at 100 mA/cm2 in 4 h | [72] |
| The effect of UV/H2O2 treatment on disinfection by-product formation potential under simulated distribution system conditions | UV/H2O2 | Atrazine | 80% degradation | [73] |
| Mechanism and kinetics of parathion degradation under ultrasonic irradiation | Sonochemical | parathion | 85% degradation | [74] |
| AOP Type | Strengths | Weaknesses | Optimal Conditions | Type of Pollutant and Reference |
|---|---|---|---|---|
| UV/H2O2 | Simple setup, strong •OH generation, no catalyst needed | UV dependency, H2O2 cost and instability, limited sunlight use | Low pH (~3–4), UV source required | Phenoxy herbicides (e.g., 2,4-D), atrazine [83] |
| O3 (Ozonation) | Strong oxidant, can decompose into •OH under alkaline pH | Limited mineralization, pH-sensitive, ozone instability | Alkaline pH (>8), pre-oxidation step often required | Carbamates, organophosphates, simazine [84] |
| Photo-Fenton (UV/Fe2+/H2O2) | Cost-effective, works well under UV, high •OH yield | Narrow optimal pH (~2.5–3.5), iron sludge formation | Acidic pH, UV-A or solar radiation | Chlorinated pesticides, 2,4-D, diuron [85] |
| TiO2 Photocatalysis (UV) | Stable, reusable, effective under UV | UV-only activation, electron–hole recombination | UV light required, slightly acidic to neutral pH | Atrazine, paraquat, chlorpyrifos [26] |
| Visible-light Photocatalysis (g-C3N4, BiVO4) | Solar-driven, tunable bandgap materials | Often lower efficiency than UV systems, stability issues | Visible light, neutral pH | Broad-spectrum degradation: triazines, phenylureas [20] |
| Electrochemical AOPs (EAOPs) | No chemicals needed, controllable via voltage, scalable | High energy cost, electrode degradation | Conductive water, optimized current density | Persistent pollutants like glyphosate, 2,4-D, pesticides with halogens [83] |
Disclaimer/Publisher’s Note: The statements, opinions and data contained in all publications are solely those of the individual author(s) and contributor(s) and not of MDPI and/or the editor(s). MDPI and/or the editor(s) disclaim responsibility for any injury to people or property resulting from any ideas, methods, instructions or products referred to in the content. |
© 2025 by the authors. Licensee MDPI, Basel, Switzerland. This article is an open access article distributed under the terms and conditions of the Creative Commons Attribution (CC BY) license (https://creativecommons.org/licenses/by/4.0/).
Share and Cite
Dagnew, M.; Xue, Q.; Zhang, J.; Wang, Z.; Zhou, A.; Li, M.; Zhao, C. A Review of Various Advanced Oxidation Techniques for Pesticide Degradation for Practical Application in Aqueous Environments. Sustainability 2025, 17, 4710. https://doi.org/10.3390/su17104710
Dagnew M, Xue Q, Zhang J, Wang Z, Zhou A, Li M, Zhao C. A Review of Various Advanced Oxidation Techniques for Pesticide Degradation for Practical Application in Aqueous Environments. Sustainability. 2025; 17(10):4710. https://doi.org/10.3390/su17104710
Chicago/Turabian StyleDagnew, Mehary, Qin Xue, Jian Zhang, Zizeng Wang, Anran Zhou, Min Li, and Chun Zhao. 2025. "A Review of Various Advanced Oxidation Techniques for Pesticide Degradation for Practical Application in Aqueous Environments" Sustainability 17, no. 10: 4710. https://doi.org/10.3390/su17104710
APA StyleDagnew, M., Xue, Q., Zhang, J., Wang, Z., Zhou, A., Li, M., & Zhao, C. (2025). A Review of Various Advanced Oxidation Techniques for Pesticide Degradation for Practical Application in Aqueous Environments. Sustainability, 17(10), 4710. https://doi.org/10.3390/su17104710

