Introduction Experiment of Annual Oat Forage and Screening of Microbial Fertilizer in Qinghai–Tibet Plateau
Abstract
1. Introduction
2. Materials and Methods
2.1. General Situation of Test Site
2.2. Test Materials
2.3. Experimental Design
2.3.1. Introduction Experiment of Oats
2.3.2. Screening Test of Combined Application of Microbial Fertilizer and Organic Fertilizer
2.4. Sample Collection and Determination
2.4.1. Introduction Experiment of Oats
2.4.2. Experiment on Combined Application of Microbial Fertilizer and Organic Fertilizer
2.5. Data Analysis
3. Results
3.1. Introduction Experiment of Oat Varieties
3.1.1. Plant Height and Yield
3.1.2. Photosynthetic Characteristics
3.1.3. Nutritional Quality
3.1.4. Principal Component Analysis and Comprehensive Evaluation of Membership Function
3.2. Experiment on Combined Application of Microbial Fertilizer and Organic Fertilizer
3.2.1. Phenotypic Traits
3.2.2. Photosynthetic Characteristics
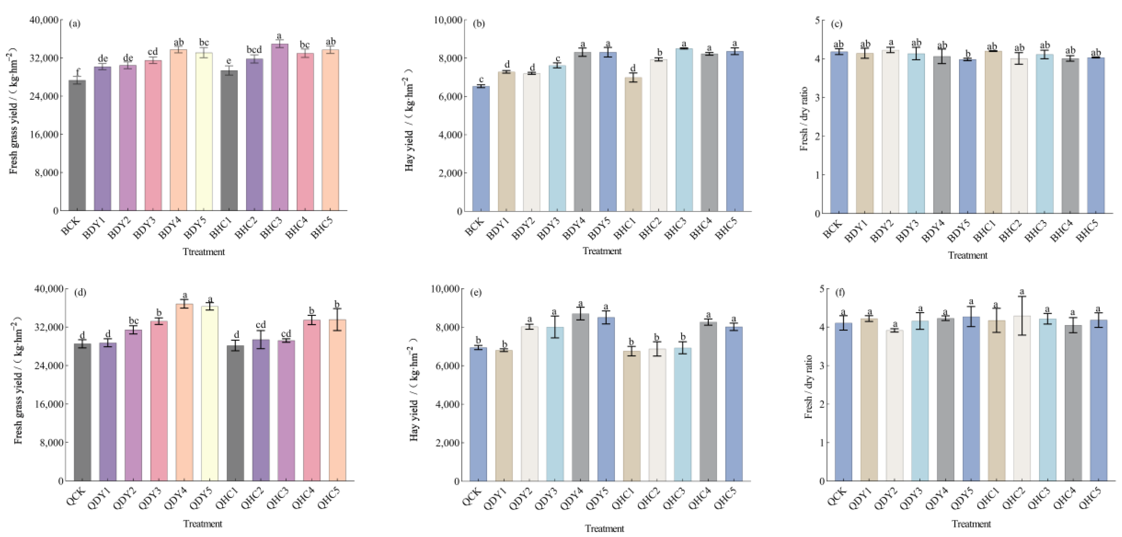
3.2.3. Production Performance
3.2.4. Nutritional Quality
3.2.5. Soil Nutrients
3.2.6. Soil Enzyme Activity and pH
3.2.7. Correlation Analysis
3.2.8. Principal Component Analysis, Comprehensive Evaluation of Membership Function, and Economic Benefit Analysis
4. Discussion
4.1. Evaluation on Adaptability of Oat Varieties Introduced
4.2. Study on Combined Application Technology of Microbial Fertilizer and Organic Fertilizer
5. Conclusions and Prospect
5.1. Conclusions
5.2. Prospect
Author Contributions
Funding
Institutional Review Board Statement
Informed Consent Statement
Data Availability Statement
Conflicts of Interest
References
- Ma, Q.; You, Y.; Shen, Y.; Wang, Z. Adjusting sowing window to mitigate climate warming effects on forage oats production on the Tibetan Plateau. Agric. Water Manag. 2024, 293, 108712. [Google Scholar] [CrossRef]
- Tahir, M.; Wei, X.; Liu, H.; Li, J.; Zhou, J.; Kang, B.; Jiang, D.; Yan, Y. Mixed legume–grass seeding and nitrogen fertilizer input enhance forage yield and nutritional quality by improving the soil enzyme activities in Sichuan, China. Front. Plant Sci. 2023, 14, 1176150. [Google Scholar] [CrossRef] [PubMed]
- Yang, J.; Ren, Y.; Jia, M.; Huang, S.; Guo, T.; Liu, B.; Liu, H.; Zhao, P.; Wang, L.; Jie, X. Improving soil quality and crop yield of fluvo-aquic soils through long-term organic-inorganic fertilizer combination: Promoting microbial community optimization and nutrient utilization. Environ. Technol. Innov. 2025, 37, 104050. [Google Scholar] [CrossRef]
- Ramadhan, M.N. Assessment of the yield and yield attributing characters of oat (Avena sativa L.) grown under different tillage methods and NPK fertilizer rates in semi-arid conditions. All Life 2024, 17, 2304338. [Google Scholar] [CrossRef]
- Gadisa, B.; Debela, M.; Dinkale, T.; Tulu, A. Forage yield and quality parameters of eight oat (Avena sativa L.) genotypes at multilocation trials in Eastern Oromia, Ethiopia. Cogent Food Agric. 2023, 9, 2259521. [Google Scholar] [CrossRef]
- Wang, F.; Liang, G.; Liu, W. Genetic diversity analysis of phenotypic traits of vegetative organs in 590 oat germplasm resources. Acta Grassl. 2024, 32, 158–167. [Google Scholar] [CrossRef]
- Anjum, L.; Rehman, A.; Rizwan, M.; Hussain, S.; Waqas, M.S. Impact of Integrated Nutrient Management on Yield of Different Varieties of Oat. Environ. Sci. Proc. 2022, 23, 14. [Google Scholar] [CrossRef]
- Wu, Q.; Chen, Y.; Dou, X.; Liao, D.; Li, K.; An, C.; Li, G.; Dong, Z. Microbial fertilizers improve soil quality and crop yield in coastal saline soils by regulating soil bacterial and fungal community structure. Sci. Total Environ. 2024, 949, 175127. [Google Scholar] [CrossRef]
- Zhao, Y.A. Effect of Organic Fertilizers and Rhizobacterial Agents on the Growth and Inter-Root Microbial Diversity of Alfalfa. Master’s Thesis, Qinghai University, Xining, China, 2023. [Google Scholar]
- Fang, Y.; Lyu, J.; Zhang, Y.; Wang, K. Effect of bio-organic fertilizer on potato yield and quality. Guacai China 2019, 32, 50–53. [Google Scholar] [CrossRef]
- Rawat, H.; Singh, K.; Pant, S. Study on Growth, Yield and Quality of Pea under the Influence of Different Combinations of Biofertilizers and Organic Manures. Int. J. Plant Soil Sci. 2025, 37, 144–166. [Google Scholar] [CrossRef]
- Qiao, Q.; Wu, Y.; Li, Q.; Zhang, Y.; Kou, W.; He, X.; Li, X.; Kou, J.; Yang, W. Effects of commercial organic fertilizer and sheep manure on artificial grassland and soil characteristics in alpine mining areas. Acta Grassl. 2024, 32, 2659–2669. [Google Scholar] [CrossRef]
- Yang, J.; Li, L.; Zhang, Y.; Qu, J.; Han, D.; Zhao, X. Effects of oat intercropping with pea and fertilization on forage nutrient accumulation, yield and water use. J. Northwest Agric. 2024, 33, 121–132. [Google Scholar] [CrossRef]
- Gao, P.; Li, X.; Chai, Y.; Wang, C.; Li, C.; Yang, P. Effects of combined application of sheep manure and Bacillus subtilis on soil nutrients and enzyme activities in degraded alpine meadow. China Soil Fertil. 2024, 29–36. [Google Scholar] [CrossRef]
- Zimmer, C.M.; Ubert, I.P.; Pacheco, M.T.; Federizzi, L.C. Molecular and comparative mapping for heading date and plant height in oat. Euphytica 2018, 214, 101. [Google Scholar] [CrossRef]
- He, J.; Ma, X.; Ju, Z.; Liu, K.; Zhao, J.; Ma, X.; Jia, Z. The effect of intercropping oat and broad bean on crop growth and yield in alpine region. Acta Grassl. 2022, 30, 2514–2521. [Google Scholar] [CrossRef]
- Chatrath, A.; Mandal, P.K.; Anuradha, M. Effect of Secondary Salinization on Photosynthesis in Fodder Oat (Avena sativa L.) Genotypes. J. Agron. Crop. Sci. 2000, 184, 13–16. [Google Scholar] [CrossRef]
- Zhao, Y.; Liu, Y.; Hou, G.; Du, J. Evaluation of production performance of 10 forage oat varieties in different ecological regions of northern Xinjiang. Seeds 2022, 41, 111–116+131. [Google Scholar] [CrossRef]
- Zhang, M.; Shan, G.; Zhou, P.; Liao, X.; Gao, Y.; Xue, S. Adaptability evaluation of five oat varieties introduced in the alpine region of Diqing. Seeds 2016, 35, 111–114. [Google Scholar] [CrossRef]
- Cai, Z.; Lyu, L.; Liu, Q.; Wang, C.; Lei, S.; Shi, J. Evaluation on the adaptability of different oat varieties introduced in the source area of the Three Rivers. Feed Res. 2024, 47, 135–139. [Google Scholar] [CrossRef]
- Duan, L.; Ju, Z.; Ma, X.; Pan, J.; Mustafa, A.E.-Z.M.A.; Jia, Z. Research on Enhancing the Yield and Quality of Oat Forage: Optimization of Nitrogen and Organic Fertilizer Management Strategies. Agronomy 2024, 14, 1406. [Google Scholar] [CrossRef]
- Fomina, M.N.; Ivanova, Y.S.; Bragin, N.A.; Bragina, M.V. Grain Quality of Promising Oat Lines at the Final Stage of the Breeding Process in the Conditions of the Northern Trans-Urals. Russ. Agric. Sci. 2024, 49 (Suppl. S2), S307–S312. [Google Scholar] [CrossRef]
- Wang, Y.; Liu, K.; Liang, G.; Jia, Z.; Ju, Z.; Ma, X.; Zhou, Q. Comprehensive Evaluation of Low Nitrogen Tolerance in Oat (Avena sativa L.) Seedlings. Agronomy 2023, 13, 604. [Google Scholar] [CrossRef]
- Bao, S.; Fan, G.; Li, F. Effects of Bacillus amyloliquefaciens microbial agents on the growth and soil properties of Lycium barbarum. China Soil Fertil. 2023, 112–120. [Google Scholar] [CrossRef]
- Miao, S. Effects of different concentrations of Brevibacterium laterosporus on soil and crop growth. J. Jining Univ. 2016, 37, 38–42. [Google Scholar]
- Lyu, L.; Duan, G.; Li, F.; Su, C.; Fan, G. Effects of microbial agents on the growth of Lycium barbarum and soil nutrients. Jiangsu Agric. Sci. 2023, 51, 168–175. [Google Scholar] [CrossRef]
- Mthiyane, P.; Aycan, M.; Mitsui, T. Integrating Biofertilizers with Organic Fertilizers Enhances Photosynthetic Efficiency and Upregulates Chlorophyll-Related Gene Expression in Rice. Sustainability 2024, 16, 9297. [Google Scholar] [CrossRef]
- Wang, J.; Zhai, B.; Shi, D.; Chen, A.; Liu, C. How Does Bio-Organic Fertilizer Combined with Biochar Affect Chinese Small Cabbage’s Growth and Quality on Newly Reclaimed Land? Plants 2024, 13, 598. [Google Scholar] [CrossRef]
- Wildflush, I.R.; Tsyganov, A.R.; Barbasov, N.V. Effect of new forms of fertilizers and growth regulators on photosynthetic activities of crops, yield and barley grain quality of feed purpose varieties. Proc. Natl. Acad. Sci. Belarus. Agrar. Ser. 2019, 57, 297–307. [Google Scholar] [CrossRef]
- Tian, X.; Zhang, X.; Yang, G.; Wang, Y.; Liu, Q.; Song, J. Effects of Microbial Fertilizer Application on Soil Ecology in Saline–Alkali Fields. Agronomy 2024, 15, 14. [Google Scholar] [CrossRef]
- Wan, S.; Li, F.; Wang, J.; Guo, Z.; Yu, Y.; Jiang, G.; Wu, J. Effects of phosphate-solubilizing microbial agents on the growth of maize seedlings and the bacterial community structure and phosphorus forms in rhizosphere soil. China Soil Fertil. 2024, 80–88. [Google Scholar] [CrossRef]
- Zhu, S.; Wang, L.; Jin, S.; Zhou, J.; Lu, X. Effects of bio-organic fertilizers and microbial agents on soil fertility and strawberry growth quality. Chin. Agric. Sci. Bull. 2022, 38, 36–43. [Google Scholar] [CrossRef]
- Tian, L.; Wang, Y.; Jin, D.; Zhou, Y.; Mukhamed, B.; Liu, D.; Feng, B. The application of biochar and organic fertilizer substitution regulates the diversities of habitat specialist bacterial communities within soil aggregates in proso millet farmland. Biochar 2025, 7, 6. [Google Scholar] [CrossRef]
- Qiu, Y.; Wang, X.; Li, P.; Hou, X.; Wang, Y.; Wu, P.; Huo, W. Effects of different types and amounts of organic fertilizers on soil fertility and corn yield in dry land in the current season. China Soil Fertil. 2019, 182–189. [Google Scholar] [CrossRef]
- Jiao, J.; An, X.; Xu, C.; Li, T.; Meng, H.; Zhang, J.; Hao, X. Effect of organic fertilizer combined with Pseudomonas fluorescens fertilizer on maize yield and phosphorus availability in reclaimed soil. J. Agric. Eng. 2024, 40, 79–87. [Google Scholar] [CrossRef]
- Yu, H.; Xu, G.; Xu, B.; Yuan, Y.; Shao, W.; Wang, X.; Zhu, G.; Lu, Z.; Si, P. Effects of applying biological bacterial fertilizer on soil nutrients and microbial functional diversity in Taoyuan. Agric. Res. Arid Areas 2020, 38, 91–97. [Google Scholar]
- Lyu, L.; Fan, G.; Fu, Q.; Su, C.; Li, F. Effects of bio-organic fertilizer on growth and soil properties of Lycium barbarum L. Xinjiang Agric. Sci. 2023, 60, 2779–2789. [Google Scholar] [CrossRef]










| Treatment | Latin | Variety Characteristics | Germination Percentage/(%) | Seed Purity/(%) | Thousand Grain Weight/(g) | Source |
|---|---|---|---|---|---|---|
| QT1 | A. sativa L. ‘Qingtian No. 1’ | Early-ripe | 91.00 | 93.68 | 46.43 | Qinghai, China |
| BY7 | A. sativa L. ‘Bai Yan No. 7’ | Medium cooked | 81.11 | 90.21 | 36.60 | Jilin, China |
| JY | A. sativa L. ‘Jiayan’ | Medium cooked | 89.00 | 92.91 | 40.10 | Ottawa, Canada |
| LN | A. sativa L. ‘Linna’ | Late-maturing | 76.67 | 87.69 | 33.85 | Oslo, Norway |
| QT2 | A. sativa L. ‘Qingtian No. 2’ | Early-ripe | 79.69 | 89.93 | 35.72 | Qinghai, China |
| QY2 | A. sativa L. ‘Qing Yin No. 2’ | Early-ripe | 85.56 | 90.49 | 43.90 | Qinghai, China |
| Treatment | Types of Microbial Agents Microbial Bacterial Fertilizer Types | Application Amount of Microbial Fertilizer/(kg·hm−2) | Application Amount of Microbial Fertilizer in the Experimental Plot/(g) | Application Amount of Cattle and Sheep Manure in the Experimental Plot/(g) |
|---|---|---|---|---|
| BCK, QCK | __ | __ | __ | 21,600 |
| BDY1, QDY1 | Bacillus licheniformis fertilizer | 3.75 | 4.50 | 21,600 |
| BDY2, QDY2 | Bacillus licheniformis fertilizer | 7.50 | 9.00 | 21,600 |
| BDY3, QDY3 | Bacillus licheniformis fertilizer | 11.25 | 13.50 | 21,600 |
| BDY4, QDY4 | Bacillus licheniformis fertilizer | 15.00 | 18.00 | 21,600 |
| BDY5, QDY5 | Bacillus licheniformis fertilizer | 18.75 | 22.50 | 21,600 |
| BHC1, QHC1 | Trichoderma harzianum fertilizer | 3.00 | 3.60 | 21,600 |
| BHC2, QHC2 | Trichoderma harzianum fertilizer | 4.50 | 5.40 | 21,600 |
| BHC3, QHC3 | Trichoderma harzianum fertilizer | 6.00 | 7.20 | 21,600 |
| BHC4, QHC4 | Trichoderma harzianum fertilizer | 7.50 | 9.00 | 21,600 |
| BHC5, QHC5 | Trichoderma harzianum fertilizer | 9.00 | 10.80 | 21,600 |
| Oat Varieties | CP/(%) | EE/(%) | SS/(%) | L/(%) |
|---|---|---|---|---|
| QT1 | 11.30 ± 1.11b | 6.15 ± 0.28b | 8.67 ± 0.15f | 6.80 ± 0.62c |
| BY7 | 11.80 ± 0.36b | 8.05 ± 0.34a | 10.00 ± 0.08d | 7.14 ± 0.08bc |
| JY | 10.10 ± 0.36c | 6.37 ± 0.50b | 11.03 ± 0.09b | 7.50 ± 0.17ab |
| LN | 7.65 ± 0.08d | 6.71 ± 0.21b | 10.57 ± 0.06c | 7.83 ± 0.13a |
| QT2 | 7.10 ± 0.72d | 5.36 ± 0.23c | 9.72 ± 0.13e | 5.91 ± 0.08d |
| QY2 | 14.59 ± 0.36a | 7.52 ± 0.19a | 13.02 ± 0.17a | 7.65 ± 0.12ab |
| Item | Principal Component | ||
|---|---|---|---|
| PC1 | PC2 | PC3 | |
| Plant height | −0.51 | 0.72 | 0.11 |
| Hay yield | 0.92 | −0.18 | 0.26 |
| CP | 0.77 | −0.45 | 0.29 |
| EE | 0.90 | −0.12 | −0.29 |
| SS | 0.75 | 0.37 | 0.38 |
| L | 0.68 | 0.24 | −0.42 |
| Pn | 0.98 | 0.07 | −0.03 |
| Ci | 0.85 | 0.24 | −0.20 |
| Tr | 0.90 | 0.30 | 0.09 |
| Gs | 0.90 | 0.17 | 0.13 |
| WUE | 0.89 | −0.17 | −0.16 |
| Eigenvalue | 7.58 | 1.17 | 0.66 |
| Contribution rate/% | 68.95 | 10.59 | 5.98 |
| Cumulative Contribution rate/% | 68.95 | 79.54 | 85.52 |
| Treatment | SPAD | Pn | Ci | Tr | Gs |
|---|---|---|---|---|---|
| /(μmol·m−2·s−1) | /(μmol·mol−1) | /(mmol·m−2·s−1) | /(mmol·m−2·s−1) | ||
| BCK | 41.83 ± 2.85b | 10.17 ± 0.09g | 359.67 ± 8.08c | 2.65 ± 0.06h | 213.33 ± 5.51e |
| BDY1 | 41.40 ± 3.26b | 10.29 ± 0.10fg | 372.33 ± 6.43c | 2.78 ± 0.09gh | 234.33 ± 8.33d |
| BDY2 | 44.68 ± 4.18b | 10.76 ± 0.16efg | 377.00 ± 7.21c | 2.98 ± 0.11ef | 256.00 ± 5.57c |
| BDY3 | 46.93 ± 3.83b | 11.05 ± 0.11e | 378.33 ± 5.51c | 2.99 ± 0.07ef | 268.67 ± 5.86c |
| BDY4 | 59.80 ± 1.28a | 11.62 ± 0.24d | 398.00 ± 15.39b | 3.17 ± 0.07cd | 292.00 ± 7.55b |
| BDY5 | 54.18 ± 2.96a | 12.16 ± 0.42c | 428.00 ± 7.00a | 3.11 ± 0.08de | 290.00 ± 5.57b |
| BHC1 | 46.50 ± 2.94b | 10.85 ± 0.34ef | 371.00 ± 7.00c | 2.87 ± 0.09fg | 261.33 ± 8.96c |
| BHC2 | 55.87 ± 0.75a | 13.61 ± 0.33b | 413.33 ± 9.87ab | 3.37 ± 0.09b | 330.33 ± 9.87a |
| BHC3 | 53.27 ± 3.08a | 14.27 ± 0.33a | 403.33 ± 10.97b | 3.54 ± 0.07a | 320.33 ± 11.37a |
| BHC4 | 57.57 ± 4.41a | 12.46 ± 0.31c | 396.67 ± 7.37b | 3.30 ± 0.06bc | 306.00 ± 4.58b |
| BHC5 | 58.86 ± 3.04a | 12.44 ± 0.44c | 404.33 ± 7.51b | 3.30 ± 0.08bc | 302.67 ± 8.02b |
| Treatment | SPAD | Pn | Ci | Tr | Gs |
|---|---|---|---|---|---|
| /(μmol·m−2·s−1) | /(μmol·mol−1) | /(mmol·m−2·s−1) | /(mmol·m−2·s−1) | ||
| QCK | 46.05 ± 1.84f | 10.85 ± 0.15g | 367.33 ± 4.04f | 2.82 ± 0.07g | 230.67 ± 7.37g |
| QDY1 | 49.07 ± 1.06def | 11.27 ± 0.32fg | 378.00 ± 8.89ef | 3.03 ± 0.09f | 249.67 ± 8.08f |
| QDY2 | 54.77 ± 4.59cde | 13.07 ± 0.31d | 416.67 ± 4.73bc | 3.60 ± 0.06bc | 308.00 ± 11.79d |
| QDY3 | 64.85 ± 1.98a | 14.33 ± 0.44b | 458.67 ± 8.14a | 3.79 ± 0.06a | 350.00 ± 7.55b |
| QDY4 | 64.59 ± 2.94a | 14.91 ± 0.13a | 447.33 ± 8.50a | 3.62 ± 0.05bc | 327.33 ± 10.79c |
| QDY5 | 57.96 ± 4.18abc | 13.94 ± 0.25bc | 428.67 ± 13.43b | 3.66 ± 0.05b | 330.33 ± 7.02c |
| QHC1 | 47.65 ± 0.76ef | 11.29 ± 0.36fg | 380.33 ± 9.02ef | 3.28 ± 0.07e | 268.00 ± 9.54e |
| QHC2 | 50.44 ± 2.85def | 11.71 ± 0.29ef | 393.67 ± 5.03de | 3.39 ± 0.07de | 299.00 ± 10.58d |
| QHC3 | 55.77 ± 3.87bcd | 12.01 ± 0.12e | 401.67 ± 6.11cd | 3.47 ± 0.05cd | 376.00 ± 8.19a |
| QHC4 | 63.06 ± 0.46ab | 13.34 ± 0.45cd | 414.00 ± 6.25bc | 3.61 ± 0.06bc | 329.00 ± 9.17c |
| QHC5 | 62.52 ± 6.37ab | 13.86 ± 0.27bc | 423.00 ± 9.17b | 3.89 ± 0.10a | 323.67 ± 8.62c |
| Treatment | CP/(%) | EE/(%) | SS/(%) | ADF/(%) | NDF/(%) | TDN/(%) |
|---|---|---|---|---|---|---|
| BCK | 8.28 ± 0.07e | 3.01 ± 0.10e | 10.96 ± 0.10g | 35.34 ± 0.25a | 42.33 ± 0.38a | 55.82 ± 0.19f |
| BDY1 | 8.79 ± 0.24d | 3.52 ± 0.18d | 11.90 ± 0.14f | 34.53 ± 0.34b | 40.02 ± 0.66b | 56.43 ± 0.25e |
| BDY2 | 9.60 ± 0.32c | 3.48 ± 0.15d | 12.72 ± 0.25e | 34.39 ± 0.17b | 37.52 ± 0.50c | 56.54 ± 0.13e |
| BDY3 | 10.79 ± 0.28b | 3.79 ± 0.11c | 13.58 ± 0.25d | 32.17 ± 0.60c | 36.00 ± 0.62cde | 58.20 ± 0.45d |
| BDY4 | 11.37 ± 0.29ab | 4.17 ± 0.15b | 14.21 ± 0.10c | 30.33 ± 0.16e | 35.68 ± 0.68de | 59.59 ± 0.12b |
| BDY5 | 11.24 ± 0.33ab | 4.12 ± 0.10b | 14.10 ± 0.24c | 30.94 ± 0.55d | 37.12 ± 0.72cd | 59.13 ± 0.41c |
| BHC1 | 9.31 ± 0.23c | 3.70 ± 0.10cd | 12.02 ± 0.39f | 32.24 ± 0.22c | 41.87 ± 0.80a | 58.15 ± 0.17d |
| BHC2 | 11.41 ± 0.17ab | 4.30 ± 0.09b | 14.17 ± 0.19c | 30.40 ± 0.24e | 36.56 ± 1.48cd | 59.53 ± 0.18b |
| BHC3 | 11.68 ± 0.26a | 4.62 ± 0.15a | 15.48 ± 0.25a | 29.43 ± 0.37f | 34.70 ± 1.42e | 60.27 ± 0.28a |
| BHC4 | 11.55 ± 0.43a | 4.54 ± 0.21a | 15.01 ± 0.17b | 29.34 ± 0.25f | 37.36 ± 0.15c | 60.34 ± 0.18a |
| BHC5 | 11.44 ± 0.38ab | 4.71 ± 0.03a | 15.14 ± 0.14ab | 30.24 ± 0.22e | 36.62 ± 0.51cd | 59.66 ± 0.17b |
| Treatment | CP/(%) | EE/(%) | SS/(%) | ADF/(%) | NDF/(%) | TDN/(%) |
|---|---|---|---|---|---|---|
| QCK | 9.03 ± 0.23g | 2.54 ± 0.1d | 12.30 ± 0.16f | 33.48 ± 0.38a | 46.18 ± 1.61a | 57.21 ± 0.28e |
| QDY1 | 10.08 ± 0.31f | 2.40 ± 0.02d | 13.32 ± 0.32de | 32.88 ± 0.15a | 45.59 ± 0.62a | 57.67 ± 0.11e |
| QDY2 | 10.9 ± 0.14e | 3.00 ± 0.13c | 13.05 ± 0.08e | 31.15 ± 0.58bc | 42.73 ± 1.16b | 58.97 ± 0.44cd |
| QDY3 | 11.68 ± 0.13b | 3.52 ± 0.12b | 14.96 ± 0.23b | 30.24 ± 0.22cd | 38.99 ± 2.33c | 59.65 ± 0.17bc |
| QDY4 | 12.47 ± 0.09a | 3.80 ± 0.11a | 14.81 ± 0.20b | 29.37 ± 0.24de | 39.31 ± 0.93c | 60.31 ± 0.18ab |
| QDY5 | 12.29 ± 0.09a | 3.42 ± 0.14b | 14.35 ± 0.20c | 28.78 ± 0.40e | 39.56 ± 0.98c | 60.75 ± 0.30a |
| QHC1 | 10.10 ± 0.24f | 2.4 ± 0.01d | 13.03 ± 0.20e | 32.83 ± 0.11a | 45.52 ± 0.49a | 57.71 ± 0.08e |
| QHC2 | 11.59 ± 0.12bc | 3.42 ± 0.12b | 15.35 ± 0.09a | 31.45 ± 0.16bc | 40.76 ± 0.57bc | 58.74 ± 0.12cd |
| QHC3 | 11.36 ± 0.28bcd | 3.28 ± 0.13b | 13.65 ± 0.27d | 31.32 ± 0.24bc | 39.59 ± 1.27c | 58.85 ± 0.18cd |
| QHC4 | 11.22 ± 0.15cde | 3.52 ± 0.11b | 14.20 ± 0.10c | 31.23 ± 1.70bc | 41.94 ± 1.10bc | 58.91 ± 1.28cd |
| QHC5 | 11.01 ± 0.14de | 3.32 ± 0.21b | 13.52 ± 0.30d | 32.42 ± 0.21ab | 41.03 ± 0.55bc | 58.01 ± 0.16de |
| Treatment | SOC/(g·kg−1) | TN/(g·kg−1) | TP/(g·kg−1) | TK/(g·kg−1) | AN/(mg·kg−1) | AP/(mg·kg−1) | AK/(mg·kg−1) |
|---|---|---|---|---|---|---|---|
| BCK | 33.42 ± 1.41e | 3.35 ± 0.17d | 1.49 ± 0.07c | 21.51 ± 1.4d | 182.94 ± 9.71d | 33.83 ± 0.76e | 404.67 ± 17.54e |
| BDY1 | 37.03 ± 1.33d | 3.59 ± 0.08cd | 1.63 ± 0.08bc | 20.46 ± 1.46d | 201.44 ± 9.52c | 35.11 ± 0.56e | 419.34 ± 8.21e |
| BDY2 | 40.26 ± 0.71b | 3.83 ± 0.08c | 1.72 ± 0.05abc | 26.54 ± 1.90bc | 248.29 ± 7.79b | 39.28 ± 0.57bcd | 445.43 ± 9.35d |
| BDY3 | 40.19 ± 0.81b | 4.18 ± 0.05b | 2.04 ± 0.06ab | 25.10 ± 0.53c | 244.15 ± 4.48b | 40.36 ± 0.8abc | 492.01 ± 7.91b |
| BDY4 | 42.08 ± 0.96bc | 4.41 ± 0.22ab | 2.17 ± 0.07a | 30.05 ± 2.05a | 274.15 ± 18.54a | 41.91 ± 0.45ab | 514.56 ± 16.67ab |
| BDY5 | 41.88 ± 0.77bc | 4.35 ± 0.13ab | 2.17 ± 0.06a | 29.44 ± 0.61ab | 272.15 ± 6.03a | 40.81 ± 1.85abc | 507.97 ± 4.57ab |
| BHC1 | 36.62 ± 3.18d | 3.70 ± 0.27c | 1.84 ± 0.09abc | 25.09 ± 0.43c | 229.85 ± 3.56b | 37.44 ± 1.96d | 470.73 ± 7.49c |
| BHC2 | 40.86 ± 0.77b | 4.62 ± 0.20a | 1.75 ± 0.57abc | 28.50 ± 1.45ab | 278.11 ± 7.05a | 42.56 ± 1.54a | 520.06 ± 24.00ab |
| BHC3 | 45.31 ± 0.69a | 4.56 ± 0.08a | 2.14 ± 0.08a | 28.00 ± 0.33abc | 294.27 ± 9.92a | 40.33 ± 0.60abc | 531.34 ± 6.22a |
| BHC4 | 44.48 ± 1.39ab | 4.54 ± 0.05ab | 2.05 ± 0.12ab | 27.37 ± 0.46abc | 276.11 ± 7.03a | 39.83 ± 0.74abcd | 526.17 ± 4.43a |
| BHC5 | 44.90 ± 0.82ab | 4.50 ± 0.12ab | 2.12 ± 0.08ab | 27.91 ± 0.39abc | 280.77 ± 6.98a | 38.53 ± 0.87cd | 509.84 ± 8.24ab |
| Treatment | SOC/(g·kg−1) | TN/(g·kg−1) | TP/(g·kg−1) | TK/(g·kg−1) | AN/(mg·kg−1) | AP/(mg·kg−1) | AK/(mg·kg−1) |
|---|---|---|---|---|---|---|---|
| QCK | 32.89 ± 2.11b | 3.26 ± 0.22c | 1.55 ± 0.08c | 23.02 ± 0.7b | 173.11 ± 4.51e | 34.90 ± 2.23f | 398.12 ± 16.96c |
| QDY1 | 36.48 ± 2.98ab | 3.57 ± 0.05b | 1.62 ± 0.03bc | 22.97 ± 2.47b | 197.05 ± 11.5d | 36.03 ± 0.73ef | 421.44 ± 5.97ab |
| QDY2 | 35.27 ± 1.85ab | 3.75 ± 0.18ab | 1.64 ± 0.12abc | 25.46 ± 1.44a | 217.53 ± 6.29bc | 36.21 ± 0.71ef | 423.06 ± 10.69ab |
| QDY3 | 38.41 ± 0.11a | 3.82 ± 0.07ab | 1.77 ± 0.04ab | 27.37 ± 0.13a | 231.41 ± 17.83ab | 40.22 ± 0.45bc | 441.88 ± 13.79a |
| QDY4 | 38.96 ± 1.68a | 3.96 ± 0.09a | 1.83 ± 0.10a | 27.35 ± 1.02a | 232.34 ± 3.57ab | 43.37 ± 0.47a | 432.79 ± 5.40ab |
| QDY5 | 38.45 ± 2.87a | 4.03 ± 0.14a | 1.79 ± 0.02ab | 27.26 ± 0.55a | 235.63 ± 5.07ab | 42.06 ± 1.05ab | 435.81 ± 3.16ab |
| QHC1 | 35.84 ± 0.68ab | 3.56 ± 0.07b | 1.79 ± 0.04ab | 25.95 ± 0.55a | 204.36 ± 7.69cd | 37.60 ± 0.46de | 411.06 ± 4.51bc |
| QHC2 | 39.32 ± 0.69a | 3.62 ± 0.09b | 1.75 ± 0.14ab | 25.62 ± 0.78a | 230.14 ± 9.02ab | 39.15 ± 1.15cd | 416.34 ± 10.62abc |
| QHC3 | 38.56 ± 1.54a | 3.86 ± 0.05ab | 1.81 ± 0.03ab | 27.06 ± 0.60a | 236.43 ± 8.00ab | 41.29 ± 1.25abc | 437.95 ± 6.64a |
| QHC4 | 38.07 ± 1.03a | 3.89 ± 0.13ab | 1.80 ± 0.02ab | 27.08 ± 1.29a | 244.62 ± 3.65a | 42.12 ± 0.23ab | 432.94 ± 5.64ab |
| QHC5 | 37.72 ± 1.57a | 3.82 ± 0.17ab | 1.79 ± 0.01ab | 26.85 ± 0.58a | 232.37 ± 2.92ab | 41.77 ± 1.39ab | 430.40 ± 8.08ab |
| Item | Principal Component | ||
|---|---|---|---|
| PC1 | PC2 | PC3 | |
| Plant height | 0.94 | 0.06 | −0.16 |
| Root length | 0.88 | 0.26 | −0.25 |
| Base diameter | 0.92 | 0.09 | −0.07 |
| Leaf length | 0.74 | −0.55 | −0.22 |
| Leaf width | 0.83 | 0.43 | −0.25 |
| Leaf area | 0.76 | −0.56 | −0.13 |
| Fresh grass yield | 0.88 | 0.08 | −0.11 |
| Hay yield | 0.88 | −0.03 | −0.28 |
| Fresh/dry ratio | −0.27 | 0.40 | 0.69 |
| SPAD | 0.86 | 0.41 | −0.14 |
| Pn | 0.84 | 0.46 | −0.23 |
| Ci | 0.84 | 0.48 | −0.16 |
| Tr | 0.77 | 0.61 | −0.02 |
| Gs | 0.89 | 0.43 | 0.03 |
| CP | 0.92 | 0.26 | 0.16 |
| EE | 0.74 | −0.59 | −0.05 |
| SS | 0.89 | 0.11 | 0.13 |
| ADF | −0.90 | −0.12 | 0.01 |
| NDF | −0.72 | 0.57 | −0.12 |
| TDN | 0.90 | 0.12 | −0.01 |
| SOC | 0.77 | −0.53 | 0.17 |
| TN | 0.83 | −0.52 | −0.04 |
| TP | 0.70 | −0.53 | 0.22 |
| TK | 0.86 | −0.12 | 0.16 |
| AN | 0.84 | −0.49 | 0.09 |
| AP | 0.86 | 0.10 | 0.31 |
| AK | 0.66 | −0.71 | −0.05 |
| pH | −0.72 | 0.63 | −0.08 |
| S-βGC | 0.77 | 0.56 | 0.25 |
| S-NAG | 0.78 | 0.52 | 0.10 |
| S-DHA | 0.79 | 0.48 | 0.11 |
| S-UE | 0.86 | −0.24 | 0.30 |
| S-NPT | 0.88 | 0.03 | 0.22 |
| Eigenvalue | 22.000 | 5.829 | 1.385 |
| Contribution rate/% | 66.668 | 17.664 | 4.196 |
| Cumulative Contribution rate/% | 66.668 | 84.331 | 88.528 |
| Treatment | Application Amount of Organic Fertilizer/(kg·hm−2) | Organic Fertilizer Cost/(yuan·hm−2) | Application Amount of Microbial Fertilizer/(kg·hm−2) | Microbial Fertilizer Cost/(yuan·hm−2) | Fertilizer Cost/(yuan·hm−2) | Yield/ (kg·hm−2) | Output Value/ (yuan·hm−2) | Economic Benefits/ (yuan·hm−2) | Input–Output Ratio |
|---|---|---|---|---|---|---|---|---|---|
| BCK | 18,000 | 2440 | __ | __ | 2440.00 | 6536.13 | 18,301.17 | 15,861.17 | 6.50 |
| BDY1 | 18,000 | 2440 | 3.75 | 108.75 | 2548.75 | 7287.33 | 20,404.53 | 17,855.78 | 7.01 |
| BDY2 | 18,000 | 2440 | 7.50 | 217.50 | 2657.50 | 7206.00 | 20,176.80 | 17,519.30 | 6.59 |
| BDY3 | 18,000 | 2440 | 11.25 | 326.25 | 2766.25 | 7623.67 | 21,346.27 | 18,580.02 | 6.72 |
| BDY4 | 18,000 | 2440 | 15.00 | 435.00 | 2875.00 | 8314.00 | 23,279.20 | 20,404.20 | 7.10 |
| BDY5 | 18,000 | 2440 | 18.75 | 543.75 | 2983.75 | 8311.33 | 23,271.73 | 20,287.98 | 6.80 |
| BHC1 | 18,000 | 2440 | 3.00 | 135.00 | 2575.00 | 6991.67 | 19,576.67 | 17,001.67 | 6.60 |
| BHC2 | 18,000 | 2440 | 4.50 | 202.50 | 2642.50 | 7936.67 | 22,222.67 | 19,580.17 | 7.41 |
| BHC3 | 18,000 | 2440 | 6.00 | 270.00 | 2710.00 | 8508.00 | 23,822.40 | 21,112.40 | 7.79 |
| BHC4 | 18,000 | 2440 | 7.50 | 337.50 | 2777.50 | 8228.33 | 23,039.33 | 20,261.83 | 7.29 |
| BHC5 | 18,000 | 2440 | 9.00 | 405.00 | 2845.00 | 8361.33 | 23,411.73 | 20,566.73 | 7.23 |
| Treatment | Application Amount of Organic Fertilizer/(kg·hm−2) | Organic Fertilizer Cost/(yuan·hm−2) | Application Amount of Microbial Fertilizer/(kg·hm−2) | Microbial Fertilizer Cost/(yuan·hm−2) | Fertilizer Cost/(yuan·hm−2) | Yield/(kg·hm−2) | Output Value/(yuan·hm−2) | Economic Benefits/(yuan·hm−2) | Input–Output Ratio |
|---|---|---|---|---|---|---|---|---|---|
| QCK | 18,000 | 2440 | __ | __ | 2440.00 | 6945.40 | 19,447.12 | 17,007.12 | 6.97 |
| QDY1 | 18,000 | 2440 | 3.75 | 108.75 | 2548.75 | 6807.67 | 19,061.47 | 16,512.72 | 6.48 |
| QDY2 | 18,000 | 2440 | 7.50 | 217.50 | 2657.50 | 8025.67 | 22,471.87 | 19,814.37 | 7.46 |
| QDY3 | 18,000 | 2440 | 11.25 | 326.25 | 2766.25 | 8011.00 | 22,430.80 | 19,664.55 | 7.11 |
| QDY4 | 18,000 | 2440 | 15.00 | 435.00 | 2875.00 | 8707.67 | 24,381.47 | 21,506.47 | 7.48 |
| QDY5 | 18,000 | 2440 | 18.75 | 543.75 | 2983.75 | 8509.67 | 23,827.07 | 20,843.32 | 6.99 |
| QHC1 | 18,000 | 2440 | 3.00 | 135.00 | 2575.00 | 6759.33 | 18,926.13 | 16,351.13 | 6.35 |
| QHC2 | 18,000 | 2440 | 4.50 | 202.50 | 2642.50 | 6875.67 | 19,251.87 | 16,609.37 | 6.29 |
| QHC3 | 18,000 | 2440 | 6.00 | 270.00 | 2710.00 | 6932.00 | 19,409.60 | 16,699.60 | 6.16 |
| QHC4 | 18,000 | 2440 | 7.50 | 337.50 | 2777.50 | 8267.67 | 23,149.47 | 20,371.97 | 7.33 |
| QHC5 | 18,000 | 2440 | 9.00 | 405.00 | 2845.00 | 8018.67 | 22,452.27 | 19,607.27 | 6.89 |
Disclaimer/Publisher’s Note: The statements, opinions and data contained in all publications are solely those of the individual author(s) and contributor(s) and not of MDPI and/or the editor(s). MDPI and/or the editor(s) disclaim responsibility for any injury to people or property resulting from any ideas, methods, instructions or products referred to in the content. |
© 2025 by the authors. Licensee MDPI, Basel, Switzerland. This article is an open access article distributed under the terms and conditions of the Creative Commons Attribution (CC BY) license (https://creativecommons.org/licenses/by/4.0/).
Share and Cite
Lyu, L.; Gao, P.; He, J.; Lu, C.; Shi, J. Introduction Experiment of Annual Oat Forage and Screening of Microbial Fertilizer in Qinghai–Tibet Plateau. Sustainability 2025, 17, 4444. https://doi.org/10.3390/su17104444
Lyu L, Gao P, He J, Lu C, Shi J. Introduction Experiment of Annual Oat Forage and Screening of Microbial Fertilizer in Qinghai–Tibet Plateau. Sustainability. 2025; 17(10):4444. https://doi.org/10.3390/su17104444
Chicago/Turabian StyleLyu, Liangyu, Pei Gao, Juncheng He, Cuo Lu, and Jianjun Shi. 2025. "Introduction Experiment of Annual Oat Forage and Screening of Microbial Fertilizer in Qinghai–Tibet Plateau" Sustainability 17, no. 10: 4444. https://doi.org/10.3390/su17104444
APA StyleLyu, L., Gao, P., He, J., Lu, C., & Shi, J. (2025). Introduction Experiment of Annual Oat Forage and Screening of Microbial Fertilizer in Qinghai–Tibet Plateau. Sustainability, 17(10), 4444. https://doi.org/10.3390/su17104444

