Sustaining Carbon Storage: An Analysis of Land Use and Conservation Strategies in China’s Huang-Huai-Hai Plain
Abstract
1. Introduction
2. Date and Methods
2.1. Study Area
2.2. Experimental Design
2.2.1. Dynamic Analysis Methods for Carbon Stock Changes
2.2.2. Methods for Analyzing Driving Factors of Carbon Storage
2.2.3. Methods for Predicting Future Carbon Storage
2.3. Data Collection and Preprocessing
- Data collection.
- Carbon density preset.
- 2030 Land Use Scenarios Preset.
- Preprocessing of driving factors.
3. Results
3.1. Progression of Carbon Storage: A 20-Year Dynamic Review
3.1.1. Spatial and Temporal Evolution of Land Use (2000–2020)
3.1.2. Spatiotemporal Variations in Carbon Storage During the First Two Decades of the 21st Century
3.1.3. Spatial Autocorrelation Analysis of Carbon Storage
3.2. Drivers of Carbon Storage Analysis
3.2.1. Single-Factor Exploration Results
3.2.2. Results of the Dual-Factor Interaction Exploration
3.3. Carbon Storage Forecast for the Third Decade of the 21st Century
3.3.1. Land Use Changes Under Multiple Scenarios Simulation for 2030
3.3.2. Multi-Scenario Simulation Results of Carbon Storage for 2030
4. Discussion
4.1. Spatiotemporal Characteristics and Causes of Carbon Storage Changes During the First Two Decades of the 21st Century
4.2. Summary and Significance of Carbon Storage Driving Factors
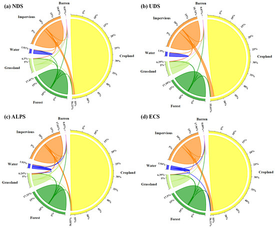
4.3. Discussion of Multi-Scenario Simulation Results and the Optimal Scenario
5. Conclusions
- Urban-Arable Land Coordination: Balancing urban growth with arable land conservation is vital for food security and sustainable development. Protecting arable land from urban encroachment is essential to meet current and future needs. For example, by utilizing high-precision remote sensing monitoring technologies, such as satellite imagery and drone surveillance, we can monitor changes in arable land in real time. This ensures the transparency and effectiveness of policy implementation, allowing for timely adjustments and optimizations of land management measures. Additionally, promoting compact urban development strategies and optimizing urban planning can reduce encroachment on surrounding arable land. For instance, constructing high-rise residential and commercial complexes can improve urban land use efficiency and alleviate the expansion pressure on agricultural land.
- Carbon Sequestration in Arable Land: Enhancing the capacity of arable land to sequester carbon is key to achieving carbon neutrality, mitigating climate change, and sustaining agriculture. For example, we can promote conservation tillage techniques, such as no-till or reduced-till farming, as well as the practice of returning straw to the field. These practices increase soil organic carbon and reduce greenhouse gas emissions, thereby enhancing the soil’s carbon sink function. Implementing organic farming projects can reduce the use of chemical fertilizers, increase soil microbial activity, and improve soil organic matter content. This enhances the soil’s self-repair and carbon storage capabilities. Adopting precision agriculture technologies can optimize nitrogen fertilizer application, reducing nitrogen loss while increasing crop yields and soil carbon reserves, thus achieving a win-win for agricultural production and environmental protection. Conducting soil carbon storage monitoring projects, which involve the use of soil core samples and soil carbon accounting techniques, can regularly assess the carbon sequestration capacity of arable land. This provides a scientific basis for formulating and adjusting agricultural carbon management policies.
Author Contributions
Funding
Institutional Review Board Statement
Informed Consent Statement
Data Availability Statement
Conflicts of Interest
References
- Filonchyk, M.; Peterson, M.P.; Zhang, L.; Hurynovich, V.; He, Y. Greenhouse gases emissions and global climate change: Examining the influence of CO2, CH4, and N2O. Sci. Total. Environ. 2024, 935, 173359. [Google Scholar] [CrossRef]
- Kumar, S.; Chatterjee, U.; David Raj, A.; Sooryamol, K.R. Global Warming and Climate Crisis/Extreme Events. In Climate Crisis: Adaptive Approaches and Sustainability; Chatterjee, U., Shaw, R., Kumar, S., Raj, A.D., Das, S., Eds.; Sustainable Development Goals Series; Springer: Cham, Switzerland, 2023; pp. 3–18. [Google Scholar] [CrossRef]
- Abbass, K.; Qasim, M.Z.; Song, H.; Murshed, M.; Mahmood, H.; Younis, I. A review of the global climate change impacts, adaptation, and sustainable mitigation measures. Environ. Sci. Pollut. Res. 2022, 29, 42539–42559. [Google Scholar] [CrossRef] [PubMed]
- Global Carbon Budget Report Indicates Record High CO2 Emissions. Available online: https://news.sciencenet.cn/htmlnews/2024/11/533941.shtm (accessed on 15 November 2024).
- Qiao, R.; Liu, X.; Gao, S.; Liang, D.; Yangji, G.; Xia, L.; Zhou, S.; Ao, X.; Jiang, Q.; Wu, Z. Industrialization, urbanization, and innovation: Nonlinear drivers of carbon emissions in Chinese cities. Appl. Energy 2024, 358, 122598. [Google Scholar] [CrossRef]
- China’s Policies and Actions on Climate Change—White Paper. Available online: https://www.gov.cn/zhengce/2021-10/27/content_5646697.htm (accessed on 15 November 2024).
- UNDP and Climate Change. Available online: https://www.undp.org/publications/undp-and-climate-change (accessed on 15 November 2024).
- Nolan, C.J.; Field, C.B.; Mach, K.J. Constraints and enablers for increasing carbon storage in the terrestrial biosphere. Nat. Rev. Earth Environ. 2021, 2, 436–446. [Google Scholar] [CrossRef]
- Wang, M.; Lin, N.; Huang, X.; Tang, Y. Mitigating farmland use carbon emissions: The dynamic role of farmland use transition. J. Clean. Prod. 2024, 450, 141866. [Google Scholar] [CrossRef]
- Shi, W.; Tao, F.; Liu, J. Changes in quantity and quality of cropland and the implications for grain production in the Huang-Huai-Hai plain of China. Food Secur. 2013, 5, 69–82. [Google Scholar] [CrossRef]
- Over 2248 Dual Carbon Projects! A Summary of Key/Major Projects in Various Provinces and Cities in 2024, with a Total Investment Exceeding 36 Trillion Yuan. Available online: https://www.sohu.com/a/777638526_121811818 (accessed on 10 December 2024).
- Chen, L.; Hao, J.; Wang, F.; Yin, Y.; Gao, Y.; Duan, W.; Yang, J. Carbon sequestration function of cultivated land use system based on the carbon cycle for the Huang-Huai-Hai Plain. Resour. Sci. 2016, 38, 1039–1053. [Google Scholar] [CrossRef]
- Liu, Y.; Wu, K.; Cao, H. Land-use change and its driving factors in Henan province from 1995 to 2015. Arab. J. Geosci. 2022, 15, 247. [Google Scholar] [CrossRef]
- Wu, X.; Shen, C.; Shi, L.; Wan, Y.; Ding, J.; Wen, Q. Spatio-temporal evolution characteristics and simulation prediction of carbon storage: A case study in Sanjiangyuan Area, China. Ecol. Inform. 2024, 80, 102485. [Google Scholar] [CrossRef]
- Xiang, M.; Wang, C.; Tan, Y.; Yang, J.; Duan, L.; Fang, Y.; Li, W.; Shu, Y.; Liu, M. Spatio-temporal evolution and driving factors of carbon storage in the Western Sichuan Plateau. Sci. Rep. 2022, 12, 8114. [Google Scholar] [CrossRef]
- Xu, L.; Yu, G.; He, N.; Wang, Q.; Gao, Y.; Wen, D.; Li, S.; Niu, S.; Ge, J. Carbon storage in China’s terrestrial ecosystems: A synthesis. Sci. Rep. 2018, 8, 2806. [Google Scholar] [CrossRef] [PubMed]
- Fasihi, M.; Portelli, B.; Cadez, L.; Tomao, A.; Falcon, A.; Alberti, G.; Serra, G. Assessing ensemble models for carbon sequestration and storage estimation in forests using remote sensing data. Ecol. Inform. 2024, 83, 102828. [Google Scholar] [CrossRef]
- Zhao, M.; Yue, T.; Zhao, N.; Sun, X.; Zhang, X. Combining LPJ-GUESS and HASM to simulate the spatial distribution of forest vegetation carbon stock in China. J. Geogr. Sci. 2014, 24, 249–268. [Google Scholar] [CrossRef]
- Mukhopadhyay, A.; Hati, J.P.; Acharyya, R.; Pal, I.; Tuladhar, N.; Habel, M. Global trends in using the InVEST model suite and related research: A systematic review. Ecohydrol. Hydrobiol. 2024; in press. [Google Scholar] [CrossRef]
- Ismaili Alaoui, H.; Chemchaoui, A.; El Asri, B.; Ghazi, S.; Brhadda, N.; Ziri, R. Modeling predictive changes of carbon storage using InVEST model in the Beht watershed (Morocco). Model. Earth Syst. Environ. 2023, 9, 4313–4322. [Google Scholar] [CrossRef]
- Piyathilake, I.D.U.H.; Udayakumara, E.P.N.; Ranaweera, L.V.; Gunatilake, S.K. Modeling predictive assessment of carbon storage using InVEST model in Uva province, Sri Lanka. Model. Earth Syst. Environ. 2022, 8, 2213–2223. [Google Scholar] [CrossRef]
- He, C.; Zhang, D.; Huang, Q.; Zhao, Y. Assessing the potential impacts of urban expansion on regional carbon storage by linking the LUSD-Urban and InVEST models. Environ. Model. Softw. 2016, 75, 44–58. [Google Scholar] [CrossRef]
- Zhao, M.; He, Z.; Du, J.; Chen, L.; Lin, P.; Fang, S. Assessing the effects of ecological engineering on carbon storage by linking the CA-Markov and InVEST models. Ecol. Indic. 2019, 98, 29–38. [Google Scholar] [CrossRef]
- Wang, J.; Zhang, Q.; Gou, T.; Mo, J.; Wang, Z.; Gao, M. Spatial-temporal changes of urban areas and terrestrial carbon storage in the Three Gorges Reservoir in China. Ecol. Indic. 2018, 95 Pt 1, 343–352. [Google Scholar] [CrossRef]
- Wang, J.; Xu, C. Geodetector: Principle and prospective. Acta Geogr. Sin. 2017, 72, 116–134. [Google Scholar] [CrossRef]
- Biswas, M.; Banerji, S.; Mitra, D. Land-use–land-cover change detection and application of Markov model: A case study of Eastern part of Kolkata. Environ. Dev. Sustain. 2020, 22, 4341–4360. [Google Scholar] [CrossRef]
- Yao, Y.; Jiang, Y.; Sun, Z.; Li, L.; Chen, D.; Xiong, K.; Dong, A.; Cheng, T.; Zhang, H.; Liang, X.; et al. Applicability and sensitivity analysis of vector cellular automata model for land cover change. Comput. Environ. Urban Syst. 2024, 109, 102090. [Google Scholar] [CrossRef]
- Brown, D.G.; Page, S.; Riolo, R.; Zellner, M.; Rand, W. Path dependence and the validation of agent-based spatial models of land use. Int. J. Geogr. Inf. Sci. 2005, 19, 153–174. [Google Scholar] [CrossRef]
- Jiang, X.F.; Duan, H.C.; Liao, J.; Song, X.; Xue, X. A study on land use in the middle reaches of the Heihe River Basin, Gansu-Inner Mongolia-Ningxia region based on the Plus-SD coupling model. Res. Arid. Zones 2022, 39, 1246–1258. [Google Scholar]
- Carbon Storage—InVEST User Guide. Available online: https://storage.googleapis.com/releases.naturalcapitalproject.org/invest-userguide/latest/en/carbonstorage.html (accessed on 15 November 2024).
- Li, K.; Wang, X.; Zhao, F.; An, B.; Li, P. Land use modeling and carbon storage projections of the Bosten Lake Basin in China from 1990 to 2050 across multiple scenarios. Sci. Rep. 2024, 14, 27136. [Google Scholar] [CrossRef] [PubMed]
- An, X.; Zhang, M.; Zhang, H.; Liu, Y. Spatiotemporal changes and driving mechanisms of carbon stocks in the Yangtze River Basin of China over the past 20 years. Adv. Space Res. 2024, 75, 53–73. [Google Scholar] [CrossRef]
- Tang, X.; Zhao, X.; Bai, Y.; Tang, Z.; Wang, W.; Zhao, Y.; Wan, H.; Xie, Z.; Shi, X.; Wu, B.; et al. Carbon pools in China’s terrestrial ecosystems: New estimates based on an intensive field survey. Proc. Natl. Acad. Sci. USA 2018, 115, 4021–4026. [Google Scholar] [CrossRef] [PubMed]
- Yang, J. Research on Simulation of Land Use Change and Estimation of Carbon Storage in the Yellow River Basin Based on FLUS-InVEST Model. Master’s Thesis, Henan University, Kaifeng, China, 2023. [Google Scholar]
- Bian, R.; Zhao, A.Z.; Liu, X.F.; Xu, R.H.; Li, Z.Y. The impact of land use change in the Guanzhong Plain urban agglomeration on carbon storage. Environ. Sci. 2024, 45, 3260–3269. [Google Scholar]
- Delaney, M.; Brown, S.; Lugo, A.E.; Quintero, T.L.B. The quantity and turnover of dead wood in permanent forest plots in six life zones of Venezuela. Biotropica 1998, 30, 2–11. [Google Scholar] [CrossRef]
- Liang, Y.; Xu, C. Knowledge diffusion of Geodetector: A perspective of the literature review and Geotree. Heliyon 2023, 9, e19651. [Google Scholar] [CrossRef]
- Liang, X.; Guan, Q.; Clarke, K.C.; Liu, S.; Yao, Y. Understanding the drivers of sustainable land expansion using a patch-generating land use simulation (PLUS) model: A case study in Wuhan, China. Comput. Environ. Urban Syst. 2021, 85, 101569. [Google Scholar] [CrossRef]
- Resource and Environment Science Data Platform: China’s Nine Major Agricultural Regions. Available online: https://www.resdc.cn/data.aspx?DATAID=275 (accessed on 15 November 2024).
- The 30 m Annual Land Cover Datasets and Its Dynamics in China from 1985 to 2023. 2023. Available online: https://zenodo.org/record/12779975 (accessed on 15 November 2024).
- China Meteorological Data Network—National Meteorological Information Center. Available online: https://data.cma.cn/ (accessed on 15 November 2024).
- Peng, S. 1-km Monthly Mean Temperature Dataset for China (1901–2023). National Tibetan Plateau/Third Pole Environment Data Center. Available online: https://data.tpdc.ac.cn/en/data/71ab4677-b66c-4fd1-a004-b2a541c4d5bf/ (accessed on 15 November 2024).
- Pinzon, J.E.; Pak, E.W.; Tucker, C.J.; Bhatt, U.S.; Frost, G.V.; Macander, M.J. Global Vegetation Greenness (NDVI) from AVHRR GIMMS-3G+, 1981–2022. ORNL DAAC, Oak Ridge, Tennessee, USA. Available online: https://daac.ornl.gov/cgi-bin/dsviewer.pl?ds_id=2187 (accessed on 15 November 2024).
- Geographic Spatial Data Cloud. Available online: https://www.gscloud.cn/home (accessed on 15 November 2024).
- Xu, X. Chinese Population Spatial Distribution Grid Dataset in Kilometers (1995–2020). Resource and Environment Science Data Platform. Available online: https://www.resdc.cn/DOI/doi.aspx?DOIid=32 (accessed on 15 November 2024).
- Xu, X. China’s GDP Spatial Distribution Kilometer Grid Dataset (1995–2020). Resource and Environment Science Data Platform. Available online: https://www.resdc.cn/DOI/doi.aspx?DOIid=33 (accessed on 15 November 2024).
- Xu, X. China’s Annual Nighttime Light Dataset (1992–2021). Resource and Environment Science Data Platform. Available online: https://www.resdc.cn/DOI/doi.aspx?DOIid=105 (accessed on 15 November 2024).
- China’s Multi-Temporal Road Spatial Distribution Data from 1995, 2012, 2016, 2018, and 2020. Available online: https://www.resdc.cn/data.aspx?DATAID=237 (accessed on 15 November 2024).
- Xu, X. China’s River Basin and River Network Dataset Derived from DEM. Resource and Environment Science Data Platform. Available online: https://www.resdc.cn/DOI/doi.aspx?DOIid=44 (accessed on 15 November 2024).
- Amap. Available online: https://ditu.amap.com/ (accessed on 15 November 2024).
- Creating the Jing-Jin-Bao Forest and Wetland Cluster: Beijing to Build 30 Circular City Forest Parks. Available online: https://www.sohu.com/a/23741801_114988 (accessed on 15 November 2024).
- Restoring Nearly 1.58 Million Mu of Basin Ecological Area: Henan Showcases the Yellow River’s Ecological ’Transformation’_Media Focus_People’s Government of Henan Province Portal. Available online: https://www.henan.gov.cn/2024/10-17/3074837.html (accessed on 15 November 2024).
- Xinhua All-Media Plus | Sky Eye Over the Motherland—Flying Over the South-to-North Water Diversion Middle Route Project: Henan Chapter. Available online: https://baijiahao.baidu.com/s?id=1815076721503438533&wfr=spider&for=pc (accessed on 15 November 2024).
- Yan, Y.; Kuang, W.; Zhang, C.; Chen, C. Impacts of impervious surface expansion on soil organic carbon—A spatially explicit study. Sci. Rep. 2015, 5, 17905. [Google Scholar] [CrossRef]
- Qiu, L.; He, J.; Yue, C.; Ciais, P.; Zheng, C. Substantial terrestrial carbon emissions from global expansion of impervious surface area. Nat. Commun. 2024, 15, 6456. [Google Scholar] [CrossRef]
- China’s Green Development in the New Era_White Paper_China Government Network. Available online: https://www.gov.cn/zhengce/2023-01/19/content_5737923.htm (accessed on 15 November 2024).
- Historical GDP Data of China. Available online: https://data.worldbank.org/indicator/NY.GDP.MKTP.CD?locations=CN (accessed on 15 November 2024).
- China Statistical Yearbook—National Bureau of Statistics. Available online: https://www.stats.gov.cn/sj/ndsj/ (accessed on 10 December 2024).
- Zhao, J.; Chen, W.; Liu, Z.; Liu, W.; Li, K.; Zhang, B.; Zhang, Y.; Yu, L.; Sakai, T. Urban Expansion, Economic Development, and Carbon Emissions: Trends, Patterns, and Decoupling in Mainland China’s Provincial Capitals (1985–2020). Ecol. Indic. 2024, 169, 112777. [Google Scholar] [CrossRef]
- Wei, Z.; Tu, J.; Xiao, L.; Sun, W. Urbanization and carbon emissions in China: Analysis of dynamic relationships from 1978 to 2020. J. Geogr. Sci. 2024, 34, 1925–1952. [Google Scholar] [CrossRef]
- Chen, M.; Liu, W.; Lu, D. Challenges and the Way Forward in China’s New-Type Urbanization. Land Use Policy 2016, 55, 334–339. [Google Scholar] [CrossRef]
- Cao, G.Y.; Chen, G.; Pang, L.H.; Zheng, X.-Y.; Nilsson, S. Urban growth in China: Past, prospect, and its impacts. Popul. Environ. 2012, 33, 137–160. [Google Scholar] [CrossRef]
- Yang, D.; Gao, X.; Xu, L.; Guo, Q. Constraint-Adaptation Challenges and Resilience Transitions of the Industry–Environmental System in a Resource-Dependent City. Resour. Conserv. Recycl. 2018, 134, 196–205. [Google Scholar] [CrossRef]
- Cai, J.; Chi, H.; Lu, N.; Bian, J.; Chen, H.; Yu, J.; Yang, S. Analysis of Spatiotemporal Predictions and Drivers of Carbon Storage in the Pearl River Delta Urban Agglomeration via the PLUS-InVEST-GeoDetector Model. Energies 2024, 17, 5093. [Google Scholar] [CrossRef]
- Tripathi, A.; Pandey, V.; Ranjan, M.R. Climate Change and Its Impact on Soil Properties. In Climate Change and the Microbiome; Choudhary, D.K., Mishra, A., Varma, A., Eds.; Springer: Cham, Switzerland, 2021; Volume 63, pp. 139–153. [Google Scholar] [CrossRef]
- Patton, N.R.; Lohse, K.A.; Seyfried, M.S.; Godsey, S.E.; Parsons, S.B. Topographic controls of soil organic carbon on soil-mantled landscapes. Sci. Rep. 2019, 9, 6390. [Google Scholar] [CrossRef] [PubMed]
- The “14th Five-Year Plan Outline for the Development of Forestry and Grassland Conservation”. People’s Republic of China Central People’s Government. Available online: https://www.gov.cn/xinwen/2021-08/19/content_5632036.htm (accessed on 15 November 2024).
- Opinions of the CPC Central Committee and the State Council on Strengthening the Protection of Cultivated Land and Improving the Balance of Occupied and Compensated Land. Available online: https://www.gov.cn/zhengce/202203/content_3635255.htm (accessed on 15 November 2024).
- Opinions on Strengthening the Protection of Cultivated Land, Enhancing the Quality of Cultivated Land, and Improving the Balance of Occupied and Compensated Land by the General Office of the CPC Central Committee and the State Council. Available online: https://www.gov.cn/zhengce/202409/content_6976197.htm (accessed on 15 November 2024).
- Prohibition of Any Unit or Individual from Idleness and Desertion of Cultivated Land. Available online: https://www.pds.gov.cn/contents/45635/160274.html (accessed on 15 November 2024).
- China’s Permanent Basic Farmland Inquiry Platform Officially Launched. Available online: https://baijiahao.baidu.com/s?id=1810959858597737928&wfr=spider&for=pc (accessed on 15 November 2024).
- Development Trends and Policy Suggestions for Conservation Agriculture at Home and Abroad. Available online: https://mp.weixin.qq.com/s?__biz=MzkzMDIzODI2MQ==&mid=2247485206&idx=1&sn=51b66a51019af7cd6d3b4cf1b5b5aa9f (accessed on 10 December 2024).
- Liu, J.; Fang, L.; Qiu, T.; Chen, J.; Wang, H.; Liu, M.; Yi, J.; Zhang, H.; Wang, C.; Sardans, J.; et al. Crop residue return achieves environmental mitigation and enhances grain yield: A global meta-analysis. Agron. Sustain. Dev. 2023, 43, 78. [Google Scholar] [CrossRef]
- Liu, J.; Chen, J. Developing an ecological stoichiometry-based framework for tracing the sources of soil organic matter. Glob. Change Biol. 2024, 30, e17384. [Google Scholar] [CrossRef] [PubMed]














| Category | Data Name | Year | Parameter Data Type | Data Source |
|---|---|---|---|---|
| Basic Data | Geospatial Contour Information | Shapefile | Resource and Environmental Science Date Platform [39] | |
| Land Use/Land Cover (LULC) | 2000, 2005, 2010, 2015, 2020 | Resolution 30 m | Zenodo Repository [40] | |
| Natural Factors | Temperature | 2000, 2005, 2010, 2015, 2020 | Resolution 1 km | China Meteorological Data Service Centre [41] |
| Precipitation | 2000, 2005, 2010, 2015, 2020 | Resolution 1 km | National Tibetan Plateau Data Environment Center [42] | |
| Normalized Difference Vegetation Index (NDVI) | 2000, 2005, 2010, 2015, 2020 | Resolution 1 km | ORNL DAAC [43] | |
| Digital Elevation Model (DEM) | Resolution 30 m | Geospatial Data Cloud [44] | ||
| Slope | Generated from DEM data. | |||
| Aspect | Generated from DEM data. | |||
| Social Factors | Population (POP) | 2000, 2005, 2010, 2015, 2020 | Resolution 1 km | Resource and Environmental Science Date Platform [45] |
| Gross Domestic Product (GDP) | 2000, 2005, 2010, 2015, 2020 | Resolution 1 km | Resource and Environmental Science Date Platform [46] | |
| Nighttime Lights (NTL) | 2000, 2005, 2010, 2015, 2020 | Resolution 1 km | Resource and Environmental Science Date Platform [47] | |
| Accessibility Factors | Distance to railway | 2000, 2005, 2010, 2015, 2020 | Shapefile | Resource and Environmental Science Date Platform [48] |
| Distance to major roads | 2000, 2005, 2010, 2015, 2020 | Shapefile | Resource and Environmental Science Date Platform [48] | |
| Distance to the river | 2020 | Shapefile | Resource and Environmental Science Date Platform [49] | |
| Distance to Government Seat | 2020 | Shapefile | Amap [50] |
| No. | LULC Name | ||||
|---|---|---|---|---|---|
| 1 | Cropland | 5.48 | 1.12 | 107.69 | 0.55 |
| 2 | Forest | 54.17 | 7.77 | 70.43 | 5.42 |
| 3 | Grassland | 2.34 | 6.16 | 68.33 | 0.23 |
| 4 | Water | 0.16 | 0 | 0 | 0.02 |
| 5 | Impervious | 1.31 | 7.99 | 0 | 0.13 |
| 6 | Barren | 1.24 | 1.04 | 27.5 | 0.12 |
| Scenario | Land Use Type | Cropland | Forest | Grassland | Water | Impervious | Barren |
|---|---|---|---|---|---|---|---|
| NDS | Cropland | 1 | 1 | 1 | 1 | 1 | 1 |
| Forest | 1 | 1 | 1 | 1 | 1 | 1 | |
| Grassland | 1 | 1 | 1 | 1 | 1 | 1 | |
| Water | 1 | 1 | 1 | 1 | 1 | 1 | |
| Impervious | 1 | 1 | 1 | 1 | 1 | 1 | |
| Barren | 1 | 1 | 1 | 1 | 1 | 1 | |
| UDS | Cropland | 1 | 1 | 1 | 1 | 1 | 1 |
| Forest | 1 | 1 | 1 | 0 | 1 | 1 | |
| Grassland | 1 | 1 | 1 | 1 | 1 | 1 | |
| Water | 1 | 0 | 1 | 1 | 1 | 0 | |
| Impervious | 0 | 0 | 0 | 0 | 1 | 0 | |
| Barren | 1 | 1 | 1 | 1 | 1 | 1 | |
| ALPS | Cropland | 1 | 1 | 1 | 1 | 1 | 0 |
| Forest | 1 | 1 | 1 | 0 | 0 | 1 | |
| Grassland | 1 | 1 | 1 | 1 | 1 | 1 | |
| Water | 1 | 0 | 1 | 1 | 0 | 0 | |
| Impervious | 1 | 0 | 1 | 0 | 1 | 0 | |
| Barren | 1 | 1 | 1 | 0 | 1 | 1 | |
| ECS | Cropland | 1 | 1 | 1 | 1 | 1 | 1 |
| Forest | 0 | 1 | 0 | 0 | 0 | 0 | |
| Grassland | 1 | 1 | 1 | 1 | 1 | 1 | |
| Water | 1 | 1 | 1 | 1 | 0 | 0 | |
| Impervious | 1 | 1 | 1 | 1 | 1 | 0 | |
| Barren | 1 | 1 | 1 | 1 | 1 | 1 |
| Land Type (km2) | 2020 | 2030NDS | 2030UDS | 2030ALPS | 2030ECS |
|---|---|---|---|---|---|
| Cropland | 312,767.10 | 299,218.23 | 292,475.07 | 305,825.67 | 297,967.86 |
| Forest | 92,674.98 | 96,800.58 | 96,622.83 | 95,743.08 | 97,807.05 |
| Grassland | 36,674.28 | 31,937.22 | 31,739.85 | 31,238.91 | 32,905.53 |
| Water | 10,489.77 | 10,315.26 | 10,229.58 | 10,532.70 | 10,664.19 |
| Impervious | 91,121.49 | 105,606.00 | 112,812.84 | 100,546.20 | 104,400.00 |
| Barren | 478.26 | 328.59 | 325.71 | 319.32 | 461.25 |
| NDS | UDS | ALPS | ECS | |||||
|---|---|---|---|---|---|---|---|---|
| Cropland | 3436.2220 | 67.1544% | 3358.7840 | 66.6124% | 3512.1020 | 67.9582% | 3421.8630 | 66.7923% |
| Forest | 1333.8150 | 26.0669% | 1331.3660 | 26.4041% | 1319.2440 | 25.527% | 1347.6840 | 26.3058% |
| Grassland | 246.1082 | 4.8097% | 244.5873 | 4.8507% | 240.7270 | 4.658% | 253.5700 | 4.9495% |
| Water | 0.1857 | 0.0036% | 0.1841 | 0.0037% | 0.1896 | 0.0037% | 0.1920 | 0.0037% |
| Impervious | 99.5865 | 1.9462% | 106.3825 | 2.1098% | 94.8151 | 1.8346% | 98.4492 | 1.9217% |
| Barren | 0.9825 | 0.0192% | 0.9739 | 0.0193% | 0.9548 | 0.0185% | 1.3791 | 0.0269% |
| NDS | UDS | ALPS | ECS | |||||
|---|---|---|---|---|---|---|---|---|
| ABC | 709.8538 | 13.8727% | 706.0919 | 14.0034% | 706.9223 | 13.6788% | 714.7113 | 13.9507% |
| BBC | 212.8132 | 4.1590% | 217.5562 | 4.3146% | 208.2576 | 4.0297% | 213.1019 | 4.1596% |
| DOMC | 71.0549 | 1.3886% | 70.6767 | 1.4017% | 70.7637 | 1.3693% | 71.5405 | 1.3964% |
| SOC | 4123.1783 | 80.5796% | 4047.9528 | 80.2802% | 4182.0888 | 80.9223% | 4123.7829 | 80.4933% |
| Change Category | NDS | % | UDS | % | ALPS | % | ECS | % |
|---|---|---|---|---|---|---|---|---|
| Significant Decrease | 12,755.25 | 2.34 | 19,112.22 | 3.51 | 6544.26 | 1.20 | 13,312.71 | 2.45 |
| Decrease | 1792.35 | 0.33 | 2173.05 | 0.40 | 3185.64 | 0.59 | 179.10 | 0.03 |
| Essentially Unchanged | 524,985.84 | 96.47 | 518,966.37 | 95.36 | 530,987.31 | 97.57 | 525,526.56 | 96.57 |
| Increase | 968.58 | 0.18 | 1179.81 | 0.22 | 397.08 | 0.07 | 1486.53 | 0.27 |
| Significant Increase | 3703.86 | 0.68 | 2774.43 | 0.51 | 3091.59 | 0.57 | 3700.98 | 0.68 |
Disclaimer/Publisher’s Note: The statements, opinions and data contained in all publications are solely those of the individual author(s) and contributor(s) and not of MDPI and/or the editor(s). MDPI and/or the editor(s) disclaim responsibility for any injury to people or property resulting from any ideas, methods, instructions or products referred to in the content. |
© 2024 by the authors. Licensee MDPI, Basel, Switzerland. This article is an open access article distributed under the terms and conditions of the Creative Commons Attribution (CC BY) license (https://creativecommons.org/licenses/by/4.0/).
Share and Cite
Wang, X.; Zhang, W.; Zhao, X.; Wang, D.; Li, Y. Sustaining Carbon Storage: An Analysis of Land Use and Conservation Strategies in China’s Huang-Huai-Hai Plain. Sustainability 2025, 17, 139. https://doi.org/10.3390/su17010139
Wang X, Zhang W, Zhao X, Wang D, Li Y. Sustaining Carbon Storage: An Analysis of Land Use and Conservation Strategies in China’s Huang-Huai-Hai Plain. Sustainability. 2025; 17(1):139. https://doi.org/10.3390/su17010139
Chicago/Turabian StyleWang, Xiaofang, Weiwei Zhang, Xinghui Zhao, Dongfeng Wang, and Yongsheng Li. 2025. "Sustaining Carbon Storage: An Analysis of Land Use and Conservation Strategies in China’s Huang-Huai-Hai Plain" Sustainability 17, no. 1: 139. https://doi.org/10.3390/su17010139
APA StyleWang, X., Zhang, W., Zhao, X., Wang, D., & Li, Y. (2025). Sustaining Carbon Storage: An Analysis of Land Use and Conservation Strategies in China’s Huang-Huai-Hai Plain. Sustainability, 17(1), 139. https://doi.org/10.3390/su17010139

