Fisheries Impact Pathway: Making Global and Regionalised Impacts on Marine Ecosystem Quality Accessible in Life Cycle Impact Assessment
Abstract
1. Introduction
- Re-computation of fish stock and species CFs with updated input (catch) data.
- 2.
- Introduction of additional removal of fish biomass by discarding into characterisation.
- 3.
- Retain species-specific vulnerability levels in the scaling of regional to global impacts.
2. Material and Methods
2.1. Updating Input Data for Endpoint CFs
- The input data have been comprehensively updated to 2018 (3-year average, 2017–2019) in the Global Capture Production dataset [37] (FishStatJ v. 2021.1.2).
- The CMSY algorithm is a re-run (CMSY+ updated version) [36] to generate large-scale, automated estimations of updated stock parameters, including initial biomasses based on species-specific resilience to fishing and new values of catch data. As per Helias et al. [20,28], scaled estimations are used for data-poor stocks.
- The fisheries characterisation model [28] is used to compute new CFs, to account for the temporal update of input data for the following:
2.2. Including Discarding By-Catch in Impact Characterisation
2.3. Global Scaling Factors
2.3.1. Relative Endemicity Factor
2.3.2. Global Extinction Probabilities
2.3.3. Species-Specific Factor
2.3.4. Scaling Factor Case Study
3. Results and Discussion
3.1. Updated Regional CFs
3.2. Temporal Variation
3.3. Discards: An Addition Source of Biomass Loss
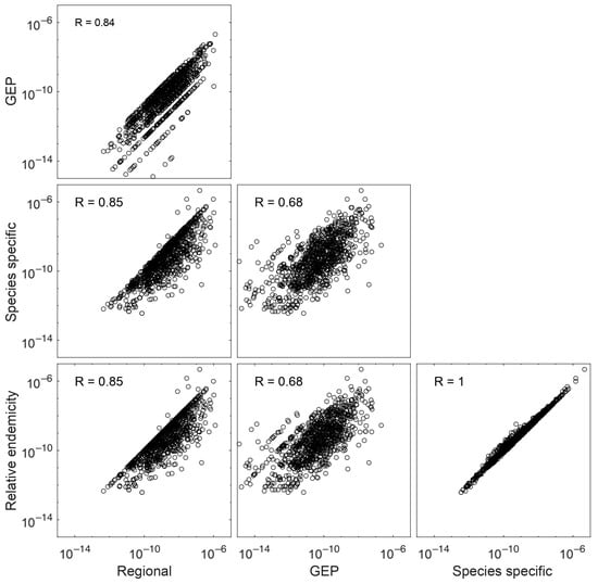
3.4. Regional to Global Scaling
Regional to Global Scaling: Case Study
3.5. Uncertainty
3.6. Operationalisation, Recommendations and Perspectives
3.6.1. Operationalisation
3.6.2. Recommendations
- The periodic re-computation of default CFs with updated stressor data is considered highly relevant for reactive, dynamic biotic resources such as fisheries. Five-year intervals are recommended as an acceptable compromise between computational effort and the magnitude of potential change.
- LCA practitioners are recommended to include discards as additional inventory, using study-specific data (species and quantities) where available, and using CFs without additive discard impact (CFi,j). As this is often not the case, CFs with a weighted regional discard estimation are available and recommended for implementation as the unspecified, default CF, unless discarding is known to not take place. Online expert workshops in the context of GLAM further recommended that the “unspecified” CF in an LCA software should include discards by default, with the regular CF “without discards” available as a sub-compartment. As more data become available, the approach should develop simultaneously to reflect these improvements.
- The goal and scope of this study should inform the choice of regional to global scaling factors. For studies comparing multiple impact pathways, GEPs should be applied to maintain endpoint consistency and comparability. If the study focuses on fisheries impacts, it would be beneficial to assess stock-specific global impacts. In this case, the Relative Endemicity Factor [28] is recommended due to the relative maturity of the method and minimal data requirements.
3.6.3. Perspectives
4. Conclusions
Supplementary Materials
Author Contributions
Funding
Institutional Review Board Statement
Informed Consent Statement
Data Availability Statement
Conflicts of Interest
References
- Cole, H. Contemporary challenges: Globalisation, global interconnectedness and that “there are not plenty more fish in the sea”. Fisheries, governance and globalisation: Is there a relationship? Ocean Coast. Manag. 2003, 46, 77–102. [Google Scholar] [CrossRef]
- Balvanera, P.; Pfaff, A.; Viña, A.; García-Frapolli, E.; Merino, L.; Minang, P.A.; Nagabhatla, N.; Hussain, S.A.; Sidorovich, A.A. IPBES Global Assessment Report on Biodiversity and Ecosystem Servcies: Chapter 2.1 Status and Trends-Drivers of Change; IPBES Secretariat: Bonn, Germany, 2019; ISBN 978-3-947851-20-1. [Google Scholar]
- Halpern, B.S.; Walbridge, S.; Selkoe, K.A.; Kappel, C.V.; Micheli, F.; D’Agrosa, C.; Bruno, J.F.; Casey, K.S.; Ebert, C.; Fox, H.E.; et al. A Global Map of Human Impact on Marine Ecosystems. Science 2008, 319, 948–952. [Google Scholar] [CrossRef] [PubMed]
- Jackson, J.B.C.; Kirby, M.X.; Berger, W.H.; Bjorndal, K.A.; Botsford, L.W.; Bourque, B.J.; Bradbury, R.H.; Cooke, R.; Erlandson, J.; Estes, J.A.; et al. Historical overfishing and the recent collapse of coastal ecosystems. Science 2001, 293, 629–637. [Google Scholar] [CrossRef] [PubMed]
- IOC-UNESCO. State of the Ocean Report; IOC-UNESCO: Paris, France, 2022. [Google Scholar]
- Pauly, D.; Watson, R.; Alder, J. Global trends in world fisheries: Impacts on marine ecosystems and food security. Philos. Trans. R. Soc. B Biol. Sci. 2005, 360, 5–12. [Google Scholar] [CrossRef] [PubMed]
- FAO. The State of World Fisheries and Aquaculture 2022; FAO: Rome, Italy, 2022. [Google Scholar]
- Pauly, D.; Zeller, D. Catch reconstructions reveal that global marine fisheries catches are higher than reported and declining. Nat. Commun. 2016, 7, 10244. [Google Scholar] [CrossRef] [PubMed]
- Holmlund, C.M.; Hammer, M. Ecosystem services generated by fish populations. Ecol. Econ. 1999, 29, 253–268. [Google Scholar] [CrossRef]
- Villéger, S.; Brosse, S.; Mouchet, M.; Mouillot, D.; Vanni, M.J. Functional ecology of fish: Current approaches and future challenges. Aquat. Sci. 2017, 79, 783–801. [Google Scholar] [CrossRef]
- United Nations. The Sustainable Development Goals Report 2022; United Nations: San Francisco, CA, USA, 2022; Available online: https://unstats.un.org/sdgs/report/2022/%0A (accessed on 3 July 2023).
- Finkbeiner, M.; Inaba, A.; Tan, R.; Christiansen, K.; Klüppel, H.-J. The New International Standards for Life Cycle Assessment: ISO 14040 and ISO 14044. Int. J. Life Cycle Assess. 2006, 11, 80–85. [Google Scholar] [CrossRef]
- Sala, S.; Anton, A.; McLaren, S.J.; Notarnicola, B.; Saouter, E.; Sonesson, U. In quest of reducing the environmental impacts of food production and consumption. J. Clean. Prod. 2017, 140, 387–398. [Google Scholar] [CrossRef]
- Woods, J.S.; Veltman, K.; Huijbregts, M.A.J.; Verones, F.; Hertwich, E.G. Towards a meaningful assessment of marine ecological impacts in life cycle assessment (LCA). Environ. Int. 2016, 89–90, 48–61. [Google Scholar] [CrossRef]
- Avadí, A.; Fréon, P.; Tam, J. Coupled ecosystem/supply chain modelling of fish products from sea to shelf: The Peruvian anchoveta case. PLoS ONE 2014, 9, e102057. [Google Scholar] [CrossRef] [PubMed]
- United Nations. The Second World Ocean Assessment; United Nations: San Francisco, CA, USA, 2021. [Google Scholar]
- Langlois, J.; Fréon, P.; Steyer, J.-P.; Delgenès, J.-P.; Hélias, A. Sea-use impact category in life cycle assessment: State of the art and perspectives. Int. J. Life Cycle Assess. 2014, 19, 994–1006. [Google Scholar] [CrossRef]
- Emanuelsson, A.; Ziegler, F.; Pihl, L.; Sköld, M.; Sonesson, U. Accounting for overfishing in life cycle assessment: New impact categories for biotic resource use. Int. J. Life Cycle Assess. 2014, 19, 1156–1168. [Google Scholar] [CrossRef]
- Langlois, J.; Fréon, P.; Steyer, J.-P.; Delgenès, J.-P.; Hélias, A. Sea use impact category in life cycle assessment: Characterization factors for life support functions. Int. J. Life Cycle Assess. 2015, 20, 970–981. [Google Scholar] [CrossRef]
- Hélias, A.; Langlois, J.; Fréon, P. Fisheries in life cycle assessment: Operational factors for biotic resources depletion. Fish Fish. 2018, 19, 951–963. [Google Scholar] [CrossRef]
- Verones, F.; Bare, J.; Bulle, C.; Frischknecht, R.; Hauschild, M.; Hellweg, S.; Henderson, A.; Jolliet, O.; Laurent, A.; Liao, X.; et al. LCIA framework and cross-cutting issues guidance within the UNEP-SETAC Life Cycle Initiative. J. Clean. Prod. 2017, 161, 957–967. [Google Scholar] [CrossRef] [PubMed]
- Woods, J.S.; Verones, F. Ecosystem damage from anthropogenic seabed disturbance: A life cycle impact assessment characterisation model. Sci. Total Environ. 2019, 649, 1481–1490. [Google Scholar] [CrossRef]
- Lavoie, J.; Boulay, A.M.; Bulle, C. Aquatic micro- and nano-plastics in life cycle assessment: Development of an effect factor for the quantification of their physical impact on biota. J. Ind. Ecol. 2021, 26, 2123–2135. [Google Scholar] [CrossRef]
- Corella-Puertas, E.; Hajjar, C.; Lavoie, J.; Boulay, A.M. MarILCA characterization factors for microplastic impacts in life cycle assessment: Physical effects on biota from emissions to aquatic environments. J. Clean. Prod. 2023, 418, 138197. [Google Scholar] [CrossRef]
- Høiberg, M.A.; Woods, J.S.; Verones, F. Global distribution of potential impact hotspots for marine plastic debris entanglement. Ecol. Indic. 2022, 135, 108509. [Google Scholar] [CrossRef]
- Scherer, L.; Gürdal, İ.; van Bodegom, P.M. Characterization factors for ocean acidification impacts on marine biodiversity. J. Ind. Ecol. 2022, 26, 2069–2079. [Google Scholar] [CrossRef]
- Lonka, R.; Verones, F.; Stadler, K. The MarINvaders Toolkit. J. Open Source Softw. 2021, 6, 3575. [Google Scholar] [CrossRef]
- Hélias, A.; Stanford-Clark, C.; Bach, V. A new impact pathway towards ecosystem quality in life cycle assessment: Characterisation factors for fisheries. Int. J. Life Cycle Assess. 2023, 28, 367–379. [Google Scholar] [CrossRef]
- Vázquez-Rowe, I.; Moreira, M.T.; Feijoo, G. Inclusion of discard assessment indicators in fisheries life cycle assessment studies. Expanding the use of fishery-specific impact categories. Int. J. Life Cycle Assess. 2012, 17, 535–549. [Google Scholar] [CrossRef]
- Hornborg, S.; Svensson, M.; Nilsson, P.; Ziegler, F. By-catch impacts in fisheries: Utilizing the iucn red list categories for enhanced product level assessment in seafood LCAS. Environ. Manag. 2013, 52, 1239–1248. [Google Scholar] [CrossRef] [PubMed]
- Sonderegger, T.; Dewulf, J.; Fantke, P.; de Souza, D.M.; Pfister, S.; Stoessel, F.; Verones, F.; Vieira, M.; Weidema, B.; Hellweg, S. Towards harmonizing natural resources as an area of protection in life cycle impact assessment. Int. J. Life Cycle Assess. 2017, 22, 1912–1927. [Google Scholar] [CrossRef]
- Kelleher, K. Discards in the world’s marine fisheries—An update. FAO Fish. Tech. Pap. 2005, 16, 177–178. Available online: http://www.ncbi.nlm.nih.gov/pubmed/22092731 (accessed on 10 August 2023).
- Gilman, E.; Perez Roda, A.; Huntington, T.; Kennelly, S.J.; Suuronen, P.; Chaloupka, M.; Medley, P.A.H. Benchmarking global fisheries discards. Sci. Rep. 2020, 10, 14017. [Google Scholar] [CrossRef] [PubMed]
- Pérez Roda, M.A.; Gilman, E.; Huntington, T.; Kennelly, S.J.; Suuronen, P.; Chaloupka, M.; Medley, P. A third assessment of global marine fisheries discards. FAO Fish. Aquac. Tech. Pap. 2019, 633, 1–78. Available online: https://www.fao.org/documents/card/en/c/ca2905en/ (accessed on 17 August 2023).
- Verones, F.; Kuipers, K.; Núñez, M.; Rosa, F.; Scherer, L.; Marques, A.; Michelsen, O.; Barbarossa, V.; Jaffe, B.; Pfister, S.; et al. Global extinction probabilities of terrestrial, freshwater, and marine species groups for use in Life Cycle Assessment. Ecol. Indic. 2022, 142, 109204. [Google Scholar] [CrossRef]
- Froese, R.; Demirel, N.; Coro, G.; Kleisner, K.M.; Winker, H. Estimating fisheries reference points from catch and resilience. Fish Fish. 2017, 18, 506–526. [Google Scholar] [CrossRef]
- FAO. Fisheries Division, S. and I.B. FishStatJ: 2020; Universal Software for Fishery Statistical Time Series; FAO: Rome, Italy, 2020. [Google Scholar]
- Goedkoop, M.J.; Heijungs, R.; Huijbregts, M.A.J.; De Schryver, A.; Struijs, J.; van Zelm, R. ReCiPe 2008—A life cycle impact assessment method which comprises harmonised category indicators at the midpoint and endpoint level. Report 1: Characterisation. Minist. Volkshuisv. Ruimt. Ordening Milieubeh. 2013, 126, 8–9. [Google Scholar]
- Hanafiah, M.M.; Leuven, R.S.E.W.; Sommerwerk, N.; Tockner, K.; Huijbregts, M.A.J. Including the introduction of exotic species in life cycle impact assessment: The case of inland shipping. Environ. Sci. Technol. 2013, 47, 13934–13940. [Google Scholar] [CrossRef] [PubMed]
- Boxshall, G.A.; Mees, J.; Costello, M.J.; Hernandez, F.; Bailly, N.; Boury-Esnault, N.; Gofas, S.; Horton, T.; Klautau, M.; Kroh, A.; et al. World Register of Marine Species. WoRMS Editorial Board. 2017. Available online: http://www.marinespecies.org (accessed on 5 January 2023).
- Chaudhary, A.; Brooks, T.M. Land Use Intensity-Specific Global Characterization Factors to Assess Product Biodiversity Footprints. Environ. Sci. Technol. 2018, 52, 5094–5104. [Google Scholar] [CrossRef] [PubMed]
- Kuipers, K.J.J.; Hellweg, S.; Verones, F. Potential Consequences of Regional Species Loss for Global Species Richness: A Quantitative Approach for Estimating Global Extinction Probabilities. Environ. Sci. Technol. 2019, 53, 4728–4738. [Google Scholar] [CrossRef] [PubMed]
- IUCN. The IUCN Red List of Threatened Species; Version 2017-3; IUCN: Gland, Switzerland, 2017. [Google Scholar]
- SEAFO. South East Atlantic Fisheries Organisation Report of the 11th Annual Meeting of the Compliance Committee; SEAFO: Swakopmund, Namibia, 2019; Volume 264, pp. 1–14. [Google Scholar]
- FAO. The State of Mediterranean and Black Sea Fisheries 2016; FAO: Rome, Italy, 2016. [Google Scholar]
- FAO. The State of Mediterranean and Black Sea Fisheries; FAO: Rome, Italy, 2018. [Google Scholar]
- FAO. The State of Mediterranean and Black Sea Fisheries 2020; FAO: Rome, Italy, 2020. [Google Scholar] [CrossRef]
- Froese, R.; Pauly, D. (Eds.) FishBase, World Wide Web electronic publication. Version (04-2022); Available online: https://fishbase.org (accessed on 19 November 2022).
- Oliveros-ramos, R. Adaptive management of fisheries in response to climate change. In Adaptive Management of Fisheries in Response to Climate Change; FAO: Rome, Italy, 2021. [Google Scholar] [CrossRef]
- Diamond, H.J.; Schreck, C.J.E. State of the Climate in 2015. Bull. Am. Meteorol. Soc. 2016, 97, 93–130. [Google Scholar] [CrossRef]
- Bertrand, A.; Lengaigne, M.; Takahashi, K.; Avadí, A.; Poulain, F.; Harrod, C. El Niño Southern Oscillation (ENSO) Effects on Fisheries and Aquaculture; FAO Fisheries and Aquaculture Technical Paper No. 660; FAO: Rome, Italy, 2020. [Google Scholar]
- Hoagland, P.; Bailey, M.; Bergstrom, L.; Bundy, A.; Evans, K.; Hidalgo, M.; Johnson, A.; de Kourantidou, M.F.; Lana, O.; Marschoff, E. The Second World Ocean Assessment; United Nations: San Francisco, CA, USA, 2021; Volume Two, pp. 217–234. [Google Scholar]
- Beloin-Saint-Pierre, D.; Albers, A.; Hélias, A.; Tiruta-Barna, L.; Fantke, P.; Levasseur, A.; Benetto, E.; Benoist, A.; Collet, P. Addressing temporal considerations in life cycle assessment. Sci. Total Environ. 2020, 743, 140700. [Google Scholar] [CrossRef] [PubMed]
- van Oers, L.; Guinée, J.B.; Heijungs, R. Abiotic resource depletion potentials (ADPs) for elements revisited—Updating ultimate reserve estimates and introducing time series for production data. Int. J. Life Cycle Assess. 2020, 25, 294–308. [Google Scholar] [CrossRef]
- Wermeille, A.; Gaillet, G.; Asselin, A.C. Don’t miss the big fish! Operational accounting of two major drivers of marine biodiversity loss in LCA of seafood products. J. Clean. Prod. 2024, 435, 140245. [Google Scholar] [CrossRef]
- Batsleer, J.; Hamon, K.G.; van Overzee, H.M.J.; Rijnsdorp, A.D.; Poos, J.J. High-grading and over-quota discarding in mixed fisheries. Rev. Fish Biol. Fish. 2015, 25, 715–736. [Google Scholar] [CrossRef]
- Broadhurst, M.K.; Suuronen, P.; Hulme, A. Estimating collateral mortality from towed fishing gear. Fish Fish. 2006, 7, 180–218. [Google Scholar] [CrossRef]
- Zeller, D.; Cashion, T.; Palomares, M.; Pauly, D. Global marine fisheries discards: A synthesis of reconstructed data. Fish Fish. 2018, 19, 30–39. [Google Scholar] [CrossRef]
- Mendez, N. Dynamics and growth of the eelpout Zoarces viviparus in the western Dutch Wadden Sea. NIOZ Rep. 2014, 2, 30. [Google Scholar]
- Nieto, A.; Ralph, G.M.; Comeros-Raynal, M.T.; Heessen, H.J.L.; Rijnsdorp, A.D.; Dulvy, N.K.; Walls, R.H.L.; Russell, B.; Pollard, D. European Red List of Marine Fishes; Publications Office of the European Union: Luxembourg, 2015; Available online: http://library.wur.nl/WebQuery/wurpubs/fulltext/345883 (accessed on 17 August 2023).
- IUCN. The IUCN Red List of Threatened Species; Version 2022-2; IUCN: Gland, Switzerland, 2022. [Google Scholar]
- Lamoreux, J.F.; Morrison, J.C.; Ricketts, T.H.; Olson, D.M.; Dinerstein, E.; McKnight, M.W.; Shugart, H.H. Global tests of biodiversity concordance and the importance of endemism. Nature 2006, 440, 212–214. [Google Scholar] [CrossRef] [PubMed]
- Troudet, J.; Grandcolas, P.; Blin, A.; Vignes-Lebbe, R.; Legendre, F. Taxonomic bias in biodiversity data and societal preferences. Sci. Rep. 2017, 7, 9132. [Google Scholar] [CrossRef]
- Woods, J.S.; Damiani, M.; Fantke, P.; Henderson, A.D.; Johnston, J.M.; Bare, J.; Sala, S.; Maia de Souza, D.; Pfister, S.; Posthuma, L.; et al. Ecosystem quality in LCIA: Status quo, harmonization, and suggestions for the way forward. Int. J. Life Cycle Assess. 2018, 23, 1995–2006. [Google Scholar] [CrossRef]







| Total Marine Stocks | Class I–III | Class I |
|---|---|---|
| 4962 | 1472 | 1001 |
Disclaimer/Publisher’s Note: The statements, opinions and data contained in all publications are solely those of the individual author(s) and contributor(s) and not of MDPI and/or the editor(s). MDPI and/or the editor(s) disclaim responsibility for any injury to people or property resulting from any ideas, methods, instructions or products referred to in the content. |
© 2024 by the authors. Licensee MDPI, Basel, Switzerland. This article is an open access article distributed under the terms and conditions of the Creative Commons Attribution (CC BY) license (https://creativecommons.org/licenses/by/4.0/).
Share and Cite
Stanford-Clark, C.; Loiseau, E.; Helias, A. Fisheries Impact Pathway: Making Global and Regionalised Impacts on Marine Ecosystem Quality Accessible in Life Cycle Impact Assessment. Sustainability 2024, 16, 3870. https://doi.org/10.3390/su16093870
Stanford-Clark C, Loiseau E, Helias A. Fisheries Impact Pathway: Making Global and Regionalised Impacts on Marine Ecosystem Quality Accessible in Life Cycle Impact Assessment. Sustainability. 2024; 16(9):3870. https://doi.org/10.3390/su16093870
Chicago/Turabian StyleStanford-Clark, Chloe, Eleonore Loiseau, and Arnaud Helias. 2024. "Fisheries Impact Pathway: Making Global and Regionalised Impacts on Marine Ecosystem Quality Accessible in Life Cycle Impact Assessment" Sustainability 16, no. 9: 3870. https://doi.org/10.3390/su16093870
APA StyleStanford-Clark, C., Loiseau, E., & Helias, A. (2024). Fisheries Impact Pathway: Making Global and Regionalised Impacts on Marine Ecosystem Quality Accessible in Life Cycle Impact Assessment. Sustainability, 16(9), 3870. https://doi.org/10.3390/su16093870

