Climate Change Awareness and Pro-Environmental Intentions in Sports Fans: Applying the Extended Theory of Planned Behavior Model for Sustainable Spectating
Abstract
1. Introduction
2. Theoretical Background and Hypotheses
2.1. Awareness of the Conequences of Climate Change and Pro-Environmetal Behavior
2.2. Theory of Planned Behavior and Pro-Environmental Behavior
2.3. Extended Theory of Planned Behavior and Awareness of Climate Change
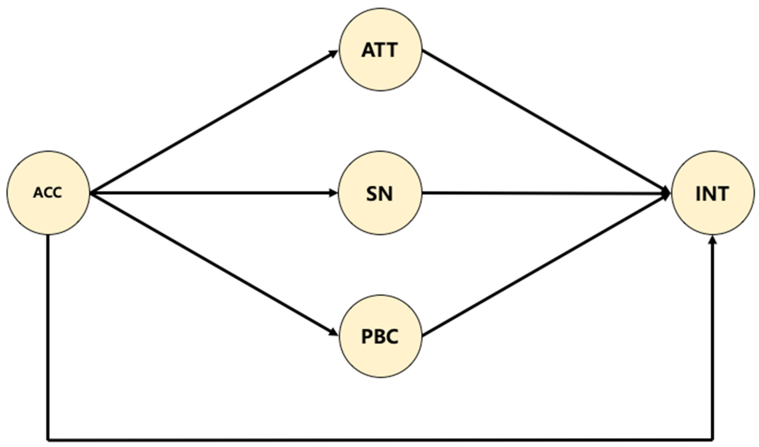
2.4. The Current Study
3. Materials and Methods
3.1. Participants and Procedures
3.2. Measurements
3.2.1. Awareness of Climate Change
3.2.2. Theory of Planned Behavior Constructs
3.3. Data Analysis
4. Results
4.1. CFA for the Measurement Model
4.2. Mediation Analyses for the Research Model
4.2.1. Testing the Direct Effect
4.2.2. Testing the Indirect Effect
5. Discussion
5.1. Academic Contributions
5.2. Practical Implications
5.3. Limitations and Future Directions
6. Conclusions
Author Contributions
Funding
Institutional Review Board Statement
Informed Consent Statement
Data Availability Statement
Conflicts of Interest
Appendix A. Survey Items
| Variables | Content of Items |
| Demographics | Gender; Male/Female/Prefer not to say |
| Birth; 2000s/1990s/1980s/1970s/1960s/1950s/1940s | |
| Ethnicity; Asian or Pacific Islander/Black or African American/Hispanic or Latino/Native American or American Indian/Other/white | |
| Primary sports attended; MLB/MLS/NBA/NFL/NHL/Others(describe) | |
| Frequency of spectating; At least once a day/week/month/year | |
| Awareness of the consequences of Climate Change (ACC) | Climate change is a serious problem for me and my family. |
| Climate change will threaten jobs for people like me. | |
| Climate change will deteriorate our quality of life. | |
| The effects of climate change on public health are worse than we realize. | |
| Over the next several decades, thousands of species could become extinct due to the effects of climate change. | |
| Claims that current levels of pollution are changing earth’s climate are exaggerated. (R) | |
| Attitude (ATT) | What do you think about reducing single-use plastic when you visit sports events? (1) Bad–(6) Good |
| (1) undesirable–(6) desirable | |
| (1) unenjoyable–(6) enjoyable | |
| (1) foolish–(6) wise | |
| (1) unfavorable–(6) favorable | |
| (1) unpleasant–(6) pleasant | |
| Subjective Norm (SN) | Most people who are important to me would want me to reduce single-use plastic when visiting sports events. |
| Most people who are important to me would think I should reduce single-use plastic when visiting sports events. | |
| Other spectators seem to be responsible for reducing single-use plastic. | |
| Other spectators would expect me to reduce single-use plastic | |
| Perceived Behavioral Control (PBC) | Whether or not I try to reduce single-use plastic when visiting sports events is completely up to me. |
| I have resources, time, and opportunities to try to reduce single-use plastic when you visit sports events. | |
| I am confident that if I want, I can try to reduce single-use plastic when visiting sports events. | |
| I feel in complete control over whether I will reduce single-use plastic. | |
| Behavioral Intention (INT) | When I visit as a sports spectator, I intend to find alternatives instead of using single-use plastic items. |
| When I visit as a sports spectator, I am willing to persuade other individuals to reduce using single-use plastic. | |
| When I visit as a sports spectator, I intend to educate my relatives about the way of reducing single-use plastic. | |
| I am willing to switch to using plastic-free accessories and tools. |
Appendix B. Measurement Items with Descriptive Statistics, Factor Loadings, and Cronbach’s Alpha Values (n = 431)
| Variables | Item No. | Mean | SD | Skewness | Kurtosis | Factor Loading | α |
| Awareness of the consequences of Climate Change (ACC) | 1 | 4.52 | 1.404 | −0.836 | −0.099 | 0.766 | 0.873 |
| 2 | 2.81 | 1.766 | 0.587 | −1.012 | - | ||
| 3 | 4.93 | 1.378 | −1.436 | 1.300 | 0.817 | ||
| 4 | 5.03 | 1.303 | −1.432 | 1.394 | 0.899 | ||
| 5 | 5.04 | 1.248 | −1.417 | 1.588 | 0.741 | ||
| 6 * | 4.91 | 1.474 | −1.362 | 0.782 | 0.610 | ||
| Attitude (ATT) | 1 | 5.24 | 1.238 | −1.878 | 2.973 | 0.671 | 0.885 |
| 2 | 5.26 | 1.111 | −1.763 | 2.869 | 0.846 | ||
| 3 | 4.63 | 1.234 | −0.586 | −0.329 | 0.731 | ||
| 4 | 5.42 | 0.968 | −2.041 | 4.613 | - | ||
| 5 | 5.33 | 1.058 | −1.995 | 4.133 | 0.839 | ||
| 6 | 4.90 | 1.197 | −1.030 | 0.554 | 0.839 | ||
| Subjective Norm (SN) | 1 | 4.58 | 1.291 | −0.691 | −0.202 | 0.916 | 0.833 |
| 2 | 4.57 | 1.353 | −0.726 | −0.253 | 0.933 | ||
| 3 | 3.60 | 1.467 | −0.002 | −0.926 | - | ||
| 4 | 3.63 | 1.452 | −0.022 | −0.857 | 0.570 | ||
| Perceived Behavioral Control (PBC) | 1 | 4.57 | 1.437 | −0.887 | −0.102 | 0.689 | 0.881 |
| 2 | 4.63 | 1.386 | −0.897 | −0.076 | 0.848 | ||
| 3 | 4.87 | 1.269 | −1.064 | 0.372 | 0.863 | ||
| 4 | 4.44 | 1.502 | −0.655 | −0.692 | 0.829 | ||
| Behavioral Intention (INT) | 1 | 4.17 | 1.506 | −0.520 | −0.686 | 0.795 | 0.851 |
| 2 | 3.71 | 1.642 | −0.135 | −1.129 | 0.834 | ||
| 3 | 3.83 | 1.671 | −0.310 | −1.076 | 0.904 | ||
| 4 | 5.19 | 1.085 | −1.610 | 2.696 | 0.559 | ||
| * Revers coded. | |||||||
References
- McCullough, B.P.; Orr, M.; Kellison, T. Sport ecology: Conceptualizing an emerging subdiscipline within sport management. J. Sport Manag. 2020, 34, 509–520. [Google Scholar] [CrossRef]
- Chevance, G.; Fresán, U.; Hekler, E.; Edmondson, D.; Lloyd, S.J.; Ballester, J.; Litt, J.; Cvijanovic, I.; Araújo-Soares, V.; Bernard, P. Thinking health-related behaviors in a climate change context: A narrative review. Ann. Behav. Med. 2023, 57, 193–204. [Google Scholar] [CrossRef]
- Orr, M.; Inoue, Y. Sport versus climate: Introducing the climate vulnerability of sport organizations framework. Sport Manag. Rev. 2019, 22, 452–463. [Google Scholar] [CrossRef]
- UNEP. 10 Ways the World of Sport Is Tackling Plastic Pollution. 2018. Available online: https://www.unep.org/news-and-stories/story/10-ways-world-sport-tackling-plastic-pollution (accessed on 15 February 2024).
- Blair, J.; Mataraarachchi, S. A review of landfills, waste and the nearly forgotten nexus with climate change. Environments 2021, 8, 73. [Google Scholar] [CrossRef]
- Jürkenbeck, K.; Spiller, A.; Schulze, M. Climate change awareness of the young generation and its impact on their diet. Clean. Responsible Consump. 2021, 3, 100041. [Google Scholar] [CrossRef]
- Shen, J. Understanding the determinants of consumers’ willingness to pay for eco-labeled products: An empirical analysis of the China Environmental Label. J. Serv. Sci. Manag. 2012, 5, 87–94. [Google Scholar] [CrossRef]
- Spinrad, W. The function of spectator sports. In Handbook of Social Science of Sport; Luschen, G., Sage, G., Eds.; Stipes: Champagne, IL, USA, 1981; pp. 355–365. [Google Scholar]
- Braksiek, M.; Thormann, T.F.; Wicker, P. Intentions of environmentally friendly behavior among sports club members: An empirical test of the theory of planned behavior across genders and sports. Front. Sports Act. Living 2021, 3, 657183. [Google Scholar] [CrossRef]
- Martins, R.; Pereira, E.; Rosado, A.; Marôco, J.; McCullough, B.; Mascarenhas, M. Understanding spectator sustainable transportation intentions in international sport tourism events. J. Sustain. Tour. 2022, 30, 1972–1991. [Google Scholar] [CrossRef]
- McCullough, B.P.; Cunningham, G.B. Recycling intentions among youth baseball spectators. Int. J. Sport Manag. 2011, 10, 104–120. [Google Scholar] [CrossRef]
- Trail, G.T.; McCullough, B.P. Marketing sustainability through sport: Testing the sport sustainability campaign evaluation model. Eur. Sport Manag. Q. 2020, 20, 109–129. [Google Scholar] [CrossRef]
- Casper, J.M.; McCullough, B.P.; Pfahl, M.E. Examining environmental fan engagement initiatives through values and norms with intercollegiate sport fans. Sport Manag. Rev. 2020, 23, 348–360. [Google Scholar] [CrossRef]
- Casper, J.M.; Pfahl, M.E.; McCullough, B.P. Is going green worth it? Assessing fan engagement and perceptions of athletic department environmental efforts. J. Appl. Sport Manag. 2017, 9, 106–129. [Google Scholar] [CrossRef]
- Inoue, Y. Theoretical foundations for understanding pro-environmental behaviour in sport. In Sport Management and the Natural Environment, Theory and Practice; Routledge: London, UK, 2015; pp. 14–28. [Google Scholar]
- Ajzen, I. The theory of planned behavior. Organ. Behav. Hum. Decis. Process. 1991, 50, 179–211. [Google Scholar] [CrossRef]
- Ryan, A.; Spash, C.L. Measuring Awareness of Environmental Consequences: Two Scales and Two Interpretations. Socio-Economics and the Environment in Discussion (SEED) Working Papers. 2008. Available online: https://mpra.ub.uni-muenchen.de/101868/ (accessed on 15 February 2024).
- Maibach, E.W.; Nisbet, M.; Baldwin, P.; Akerlof, K.; Diao, G. Reframing climate change as a public health issue: An exploratory study of public reactions. BMC Public Health 2010, 10, 299. [Google Scholar] [CrossRef] [PubMed]
- Cogut, G.; Webster, N.J.; Marans, R.W.; Callewaert, J. Links between sustainability-related awareness and behavior: The moderating role of engagement. Int. J. Sustain. High. Educ. 2019, 20, 1240–1257. [Google Scholar] [CrossRef]
- Howden, S.M.; Soussana, J.F.; Tubiello, F.N.; Chhetri, N.; Dunlop, M.; Meinke, H. Adapting agriculture to climate change. Proc. Natl. Acad. Sci. USA 2007, 104, 19691–19696. [Google Scholar] [CrossRef] [PubMed]
- Stern, P.C. New environmental theories: Toward a coherent theory of environmentally significant behavior. J. Soc. Issues 2000, 56, 407–424. [Google Scholar] [CrossRef]
- Stern, P.C.; Dietz, T.; Kalof, L. Value orientations, gender, and environmental concern. Environ. Behav. 1993, 25, 322–348. [Google Scholar] [CrossRef]
- Inoue, Y.; Kent, A. Investigating the role of corporate credibility in corporate social marketing: A case study of environmental initiatives by professional sport organizations. Sport Manag. Rev. 2012, 15, 330–344. [Google Scholar] [CrossRef]
- Trail, G.T.; McCullough, B.P. Marketing Sustainability through Sport. In Sport, Sustainability, & the Environment Handbook; Routledge: Abingdon, UK, 2017; pp. 134–148. [Google Scholar]
- Fishbein, M.; Ajzen, I. Predicting and Changing Behavior: The Reasoned Action Approach; Psychology Press: London, UK, 2011. [Google Scholar]
- McCullough, B.P. Identifying the influences on sport spectator recycling behaviors using the theory of planned behavior. Int. J. Sport Manag. Mark. 2013, 14, 146–168. [Google Scholar] [CrossRef]
- Clayton, S.; Myers, G. Conservation Psychology: Understanding and Promoting Human Care for Nature; Wiley-Blackwell: Chichester, UK, 2009; p. 264. [Google Scholar]
- Ajzen, I. Constructing a TPB Questionnaire: Conceptual and Methodological Considerations. 2002. Available online: https://people.umass.edu/aizen/pdf/tpb.measurement.pdf (accessed on 15 February 2024).
- Quintal, V.A.; Lee, J.A.; Soutar, G.N. Risk, uncertainty and the theory of planned behavior: A tourism example. Tour. Manag. 2010, 31, 797–805. [Google Scholar] [CrossRef]
- Abutaleb, S.; El-Bassiouny, N.; Hamed, S. Sharing rides and strides toward sustainability: An investigation of carpooling in an emerging market. Manag. Environ. Qual. Int. J. 2020, 32, 4–19. [Google Scholar] [CrossRef]
- Paul, J.; Modi, A.; Patel, J. Predicting green product consumption using theory of planned behavior and reasoned action. J. Retail Consum. Serv. 2016, 29, 123–134. [Google Scholar] [CrossRef]
- Perugini, M.; Bagozzi, R.P. The role of desires and anticipated emotions in goal-directed behaviours: Broadening and deepening the theory of planned behaviour. Br. J. Soc. Psychol. 2001, 40, 79–98. [Google Scholar] [CrossRef] [PubMed]
- Quintal, V.A.; Thomas, B.; Phau, I. Incorporating the winescape into the theory of planned behaviour: Examining ‘new world’wineries. Tour. Manag. 2015, 46, 596–609. [Google Scholar] [CrossRef]
- Schwartz, S.H. Normative influences on altruism. Adv. Exp. Soc. Psychol. 1977, 10, 221–279. [Google Scholar] [CrossRef]
- Banerjee, B.; McKeage, K. How green is my value: Exploring the relationship between environmentalism and materialism. Adv. Consum. Res. 1994, 21, 147–152. [Google Scholar]
- De Groot, J.I.; Steg, L. Morality and prosocial behavior: The role of awareness, responsibility, and norms in the norm activation model. J. Soc. Psychol. 2009, 149, 425–449. [Google Scholar] [CrossRef] [PubMed]
- Yang, X.; Chen, L.; Wei, L.; Su, Q. Personal and media factors related to citizens’ pro-environmental behavioral intention against haze in China: A moderating analysis of TPB. Int. J. Environ. Res. Public Health 2020, 17, 231. [Google Scholar] [CrossRef]
- Ozaki, R. Adopting sustainable innovation: What makes consumers sign up to green electricity? Bus. Strategy Environ. 2011, 20, 1–17. [Google Scholar] [CrossRef]
- Setiawan, B.; Afiff, A.Z.; Heruwasto, I. Integrating the theory of planned behavior with norm activation in a pro-environmental context. Soc. Mark. Q. 2020, 26, 244–258. [Google Scholar] [CrossRef]
- Do Paco, A.; Raposo, M. Green segmentation: An application to the Portuguese consumer market. Mark. Intell. Plan. 2009, 27, 364–379. [Google Scholar] [CrossRef]
- Jang, Y.J.; Kim, W.G.; Lee, H.Y. Coffee shop consumers’ emotional attachment and loyalty to green stores: The moderating role of green consciousness. Int. J. Hosp. Manag. 2015, 44, 146–156. [Google Scholar] [CrossRef]
- Jalilvand, M.R.; Samiei, N. The impact of electronic word of mouth on a tourism destination choice: Testing the theory of planned behavior (TPB). Internet Res. 2012, 22, 591–612. [Google Scholar] [CrossRef]
- Bamberg, S.; Möser, G. Twenty years after Hines, Hungerford, and Tomera: A new meta-analysis of psycho-social determinants of pro-environmental behaviour. J. Environ. Psychol. 2007, 27, 14–25. [Google Scholar] [CrossRef]
- Chi, X.; Han, H.; Kim, S. Protecting yourself and others: Festival tourists’ pro-social intentions for wearing a mask, maintaining social distancing, and practicing sanitary/hygiene actions. J. Sustain. Tour. 2022, 30, 1915–1936. [Google Scholar] [CrossRef]
- Meng, B.; Ryu, H.B.; Chua, B.L.; Han, H. Predictors of intention for continuing volunteer tourism activities among young tourists. Asia Pac. J. Tour. Res. 2020, 25, 261–273. [Google Scholar] [CrossRef]
- Newman, A.; Bavik, Y.L.; Mount, M.; Shao, B. Data collection via online platforms: Challenges and recommendations for future research. Appl. Psychol. 2021, 70, 1380–1402. [Google Scholar] [CrossRef]
- Palan, S.; Schitter, C. Prolific.ac—A subject pool for online experiments. J. Behav. Exp. Finance 2018, 17, 22–27. [Google Scholar] [CrossRef]
- Chan, R.Y.; Lau, L.B. Explaining green purchasing behavior: A cross-cultural study on American and Chinese consumers. J. Int. Consum. Mark. 2002, 14, 9–40. [Google Scholar] [CrossRef]
- Han, H.; Kim, Y. An investigation of green hotel customers’ decision formation: Developing an extended model of the theory of planned behavior. Int. J. Hosp. Manag. 2010, 29, 659–668. [Google Scholar] [CrossRef]
- Van, L.; Hamid, N.A.; Ahmad, F.; Ahmad, A.N.A.; Ruslan, R.; Tamyez, P.F.M. Factors of single use plastic reduction behavioral intention. Emerg. Sci. J. 2021, 5, 269–278. [Google Scholar] [CrossRef]
- Chomeya, R. Quality of psychology test between Likert scale 5 and 6 points. J. Soc. Sci. 2010, 6, 399–403. [Google Scholar]
- Hair, J.F.; Black, W.C.; Babin, B.J.; Anderson, R.E. Multivariate Data Analysis: Global Edition; Pearson Educ. Limited: London, UK, 2010. [Google Scholar]
- Hu, L.T.; Bentler, P.M. Cutoff criteria for fit indexes in covariance structure analysis: Conventional criteria versus new alternatives. Struct. Equ. Model. 1999, 6, 1–55. [Google Scholar] [CrossRef]
- Browne, M.W.; Cudeck, R. Alternative ways of assessing model fit. In Testing Structural Equation Models; Bollen, K.A., Long, J.S., Eds.; Sage: Newcastle upon Tyne, UK, 1993; pp. 136–162. [Google Scholar]
- Kline, R.B. Principles and Practice of Structural Equation Modeling; Guilford Publications: New York, NY, USA, 2015. [Google Scholar]
- Little, T.D.; Rhemtulla, M.; Gibson, K.; Schoemann, A.M. Why the items versus parcels controversy needn’t be one. Psychol. Methods 2013, 18, 285. [Google Scholar] [CrossRef]
- Baron, R.M.; Kenny, D.A. The moderator–mediator variable distinction in social psychological research: Conceptual, strategic, and statistical considerations. J. Personal. Soc. Psychol. 1986, 51, 1173. [Google Scholar] [CrossRef] [PubMed]
- Hayes, A.F. Partial, conditional, and moderated mediation: Quantification, inference, and interpretation. Commun. Monogr. 2018, 85, 4–40. [Google Scholar] [CrossRef]
- Gabarda-Mallorquí, A.; Fraguell, R.M.; Ribas, A. Exploring environmental awareness and behavior among guests at hotels that apply water-saving measures. Sustainability 2018, 10, 1305. [Google Scholar] [CrossRef]
- Park, J.; Ha, S. Understanding consumer recycling behavior: Combining the theory of planned behavior and the norm activation model. Fam. Consum. Sci. Res. J. 2014, 42, 278–291. [Google Scholar] [CrossRef]
- Xu, X.; Wang, S.; Yu, Y. Consumer’s intention to purchase green furniture: Do health consciousness and environmental awareness matter? Sci. Total Environ. 2020, 704, 135275. [Google Scholar] [CrossRef]
- Arlt, D.; Hoppe, I.; Wolling, J. Climate change and media usage: Effects on problem awareness and behavioral intentions. Int. Commun. Gaz. 2011, 73, 45–63. [Google Scholar] [CrossRef]
- Klandermans, B. The demand and supply of participation: Social-psychological correlates of participation in social movements. In Blackwell Companion to Social Movement; Snow, D.A., Soule, S.A., Kriesi, H., Eds.; Blackwell: Oxford, UK, 2004; pp. 360–379. [Google Scholar]
- Nordlund, A.M.; Garvill, J. Value structures behind proenvironmental behavior. Environ. Behav. 2002, 34, 740–756. [Google Scholar] [CrossRef]
- Greaves, M.; Zibarras, L.D.; Stride, C. Using the theory of planned behavior to explore environmental behavioral intentions in the workplace. J. Environ. Psychol. 2013, 34, 109–120. [Google Scholar] [CrossRef]
- Han, H.; Hwang, J.; Lee, M.J.; Kim, J. Word-of-mouth, buying, and sacrifice intentions for eco-cruises: Exploring the function of norm activation and value-attitude-behavior. Tour. Manag. 2019, 70, 430–443. [Google Scholar] [CrossRef]
- Harland, P.; Staats, H.; Wilke, H.A. Situational and personality factors as direct or personal norm mediated predictors of pro-environmental behavior: Questions derived from norm-activation theory. Basic Appl. Soc. Psychol. 2007, 29, 323–334. [Google Scholar] [CrossRef]
- Zhang, Y.; Zhang, J.; Ye, Y.; Wu, Q.; Jin, L.; Zhang, H. Residents’ environmental conservation behaviors at tourist sites: Broadening the norm activation framework by adopting environment attachment. Sustainability 2016, 8, 571. [Google Scholar] [CrossRef]
- Steg, L.; De Groot, J. Explaining prosocial intentions: Testing causal relationships in the norm activation model. Br. J. Soc. Psychol. 2010, 49, 725–743. [Google Scholar] [CrossRef] [PubMed]
- Bayard, B.; Jolly, C. Environmental behavior structure and socio-economic conditions of hillside farmers: A multiple-group structural equation modeling approach. Ecol. Econ. 2007, 62, 433–440. [Google Scholar] [CrossRef]
- Brody, S.D.; Zahran, S.; Vedlitz, A.; Grover, H. Examining the relationship between physical vulnerability and public perceptions of global climate change in the United States. Environ. Behav. 2008, 40, 72–95. [Google Scholar] [CrossRef]
- Masud, M.M.; Akhtar, R.; Afroz, R.; Al-Amin, A.Q.; Kari, F.B. Pro-environmental behavior and public understanding of climate change. Mitig. Adapt. Strateg. Glob. Change 2015, 20, 591–600. [Google Scholar] [CrossRef]
- Akhtar, R.; Afroz, R.; Masud, M.M.; Rahman, M.; Khalid, H.; Duasa, J.B. Farmers’ perceptions, awareness, attitudes and adaption behavior towards climate change. J. Asia Pac. Econ. 2018, 23, 246–262. [Google Scholar] [CrossRef]
- Sweldens, S.; Corneille, O.; Yzerbyt, V. The role of awareness in attitude formation through evaluative conditioning. Personal. Soc. Psychol. Rev. 2014, 18, 187–209. [Google Scholar] [CrossRef] [PubMed]
- Fryxell, G.E.; Lo, C.W. The influence of environmental knowledge and values on managerial behaviours on behalf of the environment: An empirical examination of managers in China. J. Bus. Ethics 2003, 46, 45–69. [Google Scholar] [CrossRef]
- Frick, J.; Kaiser, F.G.; Wilson, M. Environmental knowledge and conservation behavior: Exploring prevalence and structure in a representative sample. Personal. Individ. Differ. 2004, 37, 1597–1613. [Google Scholar] [CrossRef]
- Ardoin, N.M.; Wheaton, M.; Bowers, A.W.; Hunt, C.A.; Durham, W.H. Nature-based tourism’s impact on environmental knowledge, attitudes, and behavior: A review and analysis of the literature and potential future research. J. Sustain. Tour. 2015, 23, 838–858. [Google Scholar] [CrossRef]
- Dopelt, K.; Radon, P.; Davidovitch, N. Environmental effects of the livestock industry: The relationship between knowledge, attitudes, and behavior among students in Israel. Int. J. Environ. Res. Public Health 2019, 16, 1359. [Google Scholar] [CrossRef]
- Liu, P.; Teng, M.; Han, C. How does environmental knowledge translate into pro-environmental behaviors?: The mediating role of environmental attitudes and behavioral intentions. Sci. Total Environ. 2020, 728, 138126. [Google Scholar] [CrossRef]
- Bamberg, S.; Ajzen, I.; Schmidt, P. Choice of travel mode in the theory of planned behavior: The roles of past behavior, habit, and reasoned action. Basic Appl. Soc. Psychol. 2003, 25, 175–187. [Google Scholar] [CrossRef]
- Chen, M.F.; Tung, P.J. Developing an extended theory of planned behavior model to predict consumers’ intention to visit green hotels. Int. J. Hosp. Manag. 2014, 36, 221–230. [Google Scholar] [CrossRef]
- Aminrad, Z.; Zakariya, S.Z.B.S.; Hadi, A.S.; Sakari, M. Relationship between awareness, knowledge and attitudes towards environmental education among secondary school students in Malaysia. World Appl. Sci. J. 2013, 22, 1326–1333. [Google Scholar] [CrossRef]
- Desa, A.; Ba’yah Abd Kadir, N.; Yusooff, F. A study on the knowledge, attitudes, awareness status and behaviour concerning solid waste management. Procedia-Soc. Behav. Sci. 2011, 18, 643–648. [Google Scholar] [CrossRef]
- Shah, S.K.; Tang, Z.; Sattar, A.; Zhou, X. Consumer’s intention to purchase 5G: Do environmental awareness, environmental knowledge and health consciousness attitude matter? Technol. Soc. 2021, 65, 101563. [Google Scholar] [CrossRef]
- McGuire, W.J. Social Psychology: Personality and Attitude Change: An Information-Processing Theory; Academic Press: New York, NY, USA, 1968; pp. 171–196. [Google Scholar]


| Demographics | Categories | Frequency | % |
|---|---|---|---|
| Gender | Male | 243 | 56.4 |
| Female | 182 | 42.3 | |
| Prefer not to say | 6 | 1.3 | |
| Birth | 2000s | 63 | 14.6 |
| 1990s | 156 | 36.2 | |
| 1980s | 124 | 28.8 | |
| 1970s | 57 | 13.2 | |
| 1960s | 24 | 5.6 | |
| 1950s | 6 | 1.4 | |
| 1940s | 1 | 0.2 | |
| Ethnicity | Asian/Pacific Islander | 66 | 15.3 |
| Black or African American | 22 | 5.1 | |
| Hispanic or Latino | 51 | 11.8 | |
| Native American or American Indian | 3 | 0.7 | |
| Other | 14 | 3.3 | |
| White | 275 | 63.8 | |
| Frequency of spectating | At least once a year | 264 | 61.3 |
| At least once a month | 114 | 26.5 | |
| At least once a week | 48 | 11.1 | |
| At least once a day | 5 | 1.2 | |
| Primary sports attended | MLB | 121 | 28.1 |
| MLS | 23 | 5.3 | |
| NBA | 65 | 15.1 | |
| NFL | 172 | 39.9 | |
| NHL | 30 | 6.9 | |
| Others | 20 | 4.6 |
| Variables | ACC | ATT | SN | PBC | INT | α | CR | AVE |
|---|---|---|---|---|---|---|---|---|
| ACC | 4.88 (1.10) | - | - | - | - | 0.87 | 0.87 | 0.59 |
| ATT | 0.49 ** | 5.07 (0.96) | - | - | - | 0.88 | 0.89 | 0.62 |
| SN | 0.33 ** | 0.48 ** | 4.25 (1.18) | - | - | 0.83 | 0.85 | 0.67 |
| PBC | 0.13 ** | 0.26 ** | 0.27 ** | 4.62 (1.20) | - | 0.88 | 0.88 | 0.65 |
| INT | 0.47 ** | 0.52 ** | 0.60 ** | 0.31 ** | 4.22 (1.24) | 0.85 | 0.86 | 0.61 |
| MSV | 0.24 | 0.27 | 0.36 | 0.09 | 0.36 | - | - | - |
| ASV | 0.14 | 0.20 | 0.19 | 0.06 | 0.23 | - | - | - |
| Path | B | β | SE | t | Model-Fit |
|---|---|---|---|---|---|
| ACC → ATT | 0.43 | 0.49 | 0.03 | 11.91 *** | R2 = 0.24, F(1, 429) = 141.87 *** |
| ACC → SN | 0.35 | 0.32 | 0.04 | 7.23 *** | R2 = 0.10, F(1, 429) = 52.37 *** |
| ACC → PBC | 0.14 | 0.13 | 0.05 | 2.84 ** | R2 = 0.01, F(1, 429) = 8.08 ** |
| ACC → INT | 0.26 | 0.24 | 0.04 | 6.00 *** | R2 = 0.49, F(4, 426) = 103.35 *** |
| ATT → INT | 0.22 | 0.17 | 0.05 | 3.97 *** | |
| SN → INT | 0.42 | 0.40 | 0.04 | 10.06 *** | |
| PBC → INT | 0.13 | 0.12 | 0.03 | 3.46 *** |
| Path | B | Boot SE | Bootstrapping 95% C.I. | ||
|---|---|---|---|---|---|
| Lower | Upper | Significance | |||
| ACC → ATT → INT | 0.09 | 0.03 | 0.03 | 0.16 | Sig. |
| ACC → SN → INT | 0.15 | 0.02 | 0.09 | 0.20 | Sig. |
| ACC → PBC → INT | 0.01 | 0.01 | 0.00 | 0.04 | Not sig. |
| total | 0.26 | 0.04 | 0.18 | 0.34 | Sig. |
Disclaimer/Publisher’s Note: The statements, opinions and data contained in all publications are solely those of the individual author(s) and contributor(s) and not of MDPI and/or the editor(s). MDPI and/or the editor(s) disclaim responsibility for any injury to people or property resulting from any ideas, methods, instructions or products referred to in the content. |
© 2024 by the authors. Licensee MDPI, Basel, Switzerland. This article is an open access article distributed under the terms and conditions of the Creative Commons Attribution (CC BY) license (https://creativecommons.org/licenses/by/4.0/).
Share and Cite
Hwang, S.; Lee, J.; Jang, D. Climate Change Awareness and Pro-Environmental Intentions in Sports Fans: Applying the Extended Theory of Planned Behavior Model for Sustainable Spectating. Sustainability 2024, 16, 3246. https://doi.org/10.3390/su16083246
Hwang S, Lee J, Jang D. Climate Change Awareness and Pro-Environmental Intentions in Sports Fans: Applying the Extended Theory of Planned Behavior Model for Sustainable Spectating. Sustainability. 2024; 16(8):3246. https://doi.org/10.3390/su16083246
Chicago/Turabian StyleHwang, Soowoong, Jiho Lee, and Dojin Jang. 2024. "Climate Change Awareness and Pro-Environmental Intentions in Sports Fans: Applying the Extended Theory of Planned Behavior Model for Sustainable Spectating" Sustainability 16, no. 8: 3246. https://doi.org/10.3390/su16083246
APA StyleHwang, S., Lee, J., & Jang, D. (2024). Climate Change Awareness and Pro-Environmental Intentions in Sports Fans: Applying the Extended Theory of Planned Behavior Model for Sustainable Spectating. Sustainability, 16(8), 3246. https://doi.org/10.3390/su16083246

