Next Article in Journal
The Relationship between Climate, Agriculture and Land Cover in Matopiba, Brazil (1985–2020)
Previous Article in Journal
Virtual Reality in Historic Urban District Renovation for Enhancing Social and Environmental Sustainability: A Case of Tangzixiang in Anhui
 
 
Font Type:
Arial Georgia Verdana
Font Size:
Aa Aa Aa
Line Spacing:
Column Width:
Background:
Article

Impact of Digital Government on Digital Transformation of Enterprises from the Perspective of Urban Economic Sustainable Development

1
School of Accountancy, Shandong University of Finance and Economics, Jinan 250014, China
2
School of Economics and Management, Shandong Agricultural University, Tai’an 271018, China
*
Author to whom correspondence should be addressed.
Sustainability 2024, 16(7), 2667; https://doi.org/10.3390/su16072667
Submission received: 20 February 2024 / Revised: 14 March 2024 / Accepted: 22 March 2024 / Published: 24 March 2024
(This article belongs to the Topic Digital Technologies for Urban Resilience)

Abstract

Enterprise digital transformation stands as a pivotal driving force for urban economic sustainable development. Investigating the role of digital government policies in fostering urban economic growth through enterprise digital transformation is essential for guiding governments in a more targeted pursuit of urban development policies. Utilizing the establishment of the urban big data administration bureau as a quasi-natural event and leveraging data on A-share listed companies from 2012 to 2022, this study scrutinizes whether the construction of digital government effectively stimulates enterprise digital transformation and, consequently, promotes urban economic development. Benchmark regression results unequivocally demonstrate that digital government policies significantly propel enterprise digital transformation. Mechanism analysis elucidates that digital government facilitates enterprise digital transformation by enhancing the urban business environment and mitigating the influence of information search costs. Heterogeneity analysis underscores the influence of factors such as the city’s area location, administrative level, and economic development level on policy effects. Notably, the impact of digital government policies is more pronounced in central and western cities, provincial capitals, and cities with lower economic development. Economic consequence analysis reveals that digital government policies play a crucial role in fostering urban economic sustainable development by fostering the digital transformation of enterprises.

1. Introduction

The digital economy, based on digital information technologies such as big data, the Internet of Things, blockchain, cloud computing, and artificial intelligence, is rapidly changing the world, bringing the economic interests of countries and regions all over the world closer together. Digital technology is integrated into all areas of China’s economy, and China’s overall industrial structure has undergone digital upgrading. The scale of the Chinese enterprise digital economy has jumped from 11 trillion yuan in 2012 to 50.2 trillion yuan in 2022, and its proportion of gross domestic product (GDP) has risen from 21.6 percent to 41.5 percent over the same period, ranking second in the world for many consecutive years.
At the same time, profound changes have occurred in government functions, social behavior patterns, etc. [1,2]. Governments worldwide have also begun to transform the delivery of digital services [3]. Building digital governments becomes an inevitable choice that governments must make. The National Data Bureau was established in Beijing on 25 October 2023, which means that China will coordinate and plan the construction of the digital economy and digital society at the national level, and the construction of China’s digital economy has entered into a new era under the leadership of the government. The exploration into how to establish a specialized data management agency at the provincial level began earlier than at the national level in China. And by the end of 2022, 28 provincial governments had established specialized big data administration bureaus (compiled from information published on the official websites of provincial governments). The names of the agencies vary according to their functional position, including big data administration bureaus, big data centers, big data development bureaus, etc. Overall, China has explored a fledgling digital government-building system at the local level. Meanwhile, digital resources and technologies such as artificial intelligence, blockchain, cloud computing, and big data are rapidly spreading and being applied in enterprises. As shown in Figure 1, from 2012 to 2022, the level of digital technology application in enterprises (referring to the study of Wu et al. [4], the level of digital technology application in enterprises is measured by the frequency of terms such as artificial intelligence, blockchain, cloud computing, big data, and digital technology usage in annual reports) has shown a rapid upward trend. The application of digital technology can encourage enterprises to adopt digital and intelligent systems, optimize production processes, reduce energy consumption, minimize resource waste, and enhance resource utilization efficiency, thus achieving sustainable development of the urban economy.
Digital governments adopt blockchain, privacy computing, and other digital technologies; connect the supply and demand sides of the data market; and gradually improve the system of data transaction rules, which can effectively promote the marketization of data elements [5]. The digital transformation of enterprises is an important path for achieving “deep integration of the digital economy and the real economy”. The development of data factor marketization promotes enterprise digital transformation by promoting industrial integration and enhancing factor allocation efficiency and other mechanisms [6]. The digital transformation of enterprises is a crucial pathway to integrate digital government with the development of the city’s economy. The impact of digitalization offers opportunities for enterprise digital transformation [7], but also brings challenges [8]. For enterprises, the adoption of digital technology can reduce labor costs and increase average labor output and earnings [9,10]. For cities, the adoption of digital technologies can attract more enterprises and labor, improve the efficiency of factor allocation, and narrow the gap between cities, promote industrial transformation and urban economic development [11] In this context, can digital government building facilitate the enterprise digital transformation? How? Can digital government further promote the urban economic development by facilitating the digital transformation of enterprises? Do differences in city characteristics affect the policy effects of digital government? Research on the above questions can help to assess the policy effects of digital government formation at the micro-level and macro-level, respectively, as well as to understand the role of digital government in driving the digital transformation of enterprises and the development of the urban economy, so as to provide experience for the construction of digital government all over the world. Given this background, this study explores the impact of digital government on the digital transformation of enterprises and the mechanisms through which it operates. At the same time, it verifies the economic consequences generated by digital government from the perspective of sustainable urban economic development.
This study is structured into four distinct phases, illustrated in Figure 2. In Phase 1, this study systematically examines the mechanism of digital government for urban economic development from the perspective of digital government construction to enhance the digital transformation of enterprises. It enhances the comprehensive understanding of the economic effects of the widespread application of digital technology. In Phase 2, benchmark regression analysis, mediation tests, and heterogeneity analysis are conducted as integral components of this study. Phase 3 delves into the economic ramifications stemming from urban digital governance at the municipal level. Finally, Phase 4 encapsulates the study’s conclusion, highlights its limitations, and provides a forward-looking perspective on potential future research directions.

2. Literature Review

2.1. Enterprise Digital Transformation

Scholars mainly study enterprise digital transformation from perspectives such as organizational change, development of digital elements, and external environment. First, the perspective of organizational change: Organizational culture has the most direct impact on digital transformation [12]. By rethinking the essence of digital transformation from the perspective of organizational change, enterprises can enhance their digital transformation capabilities through the trajectory of core technology transformation, business model innovation, and organizational structure optimization [13]. Second, the perspective of digital element development and utilization: The key to digital transformation lies in identifying and utilizing various complementary resources, thus unlocking the value of different resource elements, including skills, talents, and professional knowledge for developing and managing digital technology [14,15]. Additionally, digital strategy, leadership, organizational capabilities [16], and the use of artificial intelligence [17] are also critical factors influencing enterprise digital transformation. Third, the perspective of external environmental factors [18]: The initiation of and continuous changes in customer demands are factors driving enterprise digital transformation [16]. Enterprises actively responding to market competition and government policies can guide and promote enterprise digital transformation [16]. Government financial support for technology and infrastructure construction [19], protection of intellectual property rights [20], and other external environments all constitute factors influencing enterprise digital transformation.

2.2. Digital Government

Scholars have conducted research on the current situation [21,22], the influencing factors [23], and the economic consequences [24,25] of digital government construction. From a public perspective, digital government enhances government transparency, improves information accuracy and effectiveness [11], increases government operational efficiency [26], enhances citizen participation [27], suppresses corruption [28], optimizes the legal environment, and improves the relationship between the government and the market [29]. From an enterprise perspective, digital government improves the vulnerability of the supply chain [30] and significantly enhances the innovation capability of enterprises [31]. From the perspective of regional development, digital government promotes regional international trade levels and regional economic development by reducing information asymmetry and facilitating import and export [32,33]. However, some scholars believe that digital government also brings negative impacts. The mandatory use of online digital government services may increase the burden on enterprises [34,35] and may also infringe upon the rights of enterprises with weak digital technology capabilities [36].
It is widely recognized by academics that digital government creates great economic and social value [37,38]. Many scholars have empirically found that digital government is closely related to economic development [39,40]. Based on the interaction between the government and enterprises, digital government not only promotes economic development by accumulating public capital [41,42], but also enhances business productivity and output through productive digital government services [43]. In addition, digital governments can significantly promote international trade and regional economic development [34,35]. Digital government enhances international trade by reducing information asymmetry and promoting import and export facilitation [32].

2.3. Summary

In summary, existing studies have investigated the influencing factors affecting the digital transformation of enterprises and the related consequences of digital government from multiple perspectives and scenarios, achieving fruitful research results. However, the existing literature has paid less attention to the impact of digital government on enterprises’ digital transformation, and few scholars have discussed the economic consequences of digital government and enterprises’ digital transformation from the perspective of urban economic development. This study attempts to explore the drivers of enterprise digital transformation from the perspective of digital government. This study also examines, from the perspective of enhancing enterprise digitalization through digital government construction, the mechanisms through which digital government promotes urban economic development to better understand the economic effects generated by digital government at the macro level and micro level.

3. Theoretical Analysis and Hypothesis

3.1. Digital Government and Enterprise Digital Transformation

The theoretical analytical framework is shown in Figure 3. The digital transformation is the inevitable path for enterprises to explore the value of data elements and enhance competitiveness [44]. According to the theories of institutional economics and information economics, the role of digital government can be interpreted from the perspectives of institutional environment, information asymmetry, and information cost. On one hand, digital government improves the institutional environment by enhancing regional digital infrastructure, implementing supportive policies, and strengthening technical and human resources [45]. According to institutional economics theory, this stimulates the enthusiasm of enterprises for digital transformation. On the other hand, digital government breaks down the “information silos” [46], reduces information asymmetry, and lowers enterprise information costs. The government has the ability to collect data resources from different types of enterprises and different hierarchical organizations; integrate and redistribute the data resources needed by enterprises; alleviate the dilemma of data monopolies; and provide enterprises with sufficient, timely, accurate, and low-cost data resources. Based on the above analysis, this paper proposes hypothesis H1:
H1. 
Digital governments facilitate enterprise digital transformation.

3.2. Digital Government and Enterprise Digital Transformation: The Mediating Effects of Urban Business Environment

Digital government improves government services and the market environment to enhance the business environment. Firstly, digital government can enhance government efficiency and improve government services. The “integrated governance theory” believes that the government should be oriented towards public demand, coordinate and integrate resources between government organizations and departments, eliminate administrative inefficiencies caused by mutual isolation and closure between departments, and provide comprehensive services to the public [47]. Digital government improves the governance model of government services by promoting integrated government services, integrating the “fragmented” resources scattered across government departments and connecting the government, the public, and enterprises into a network, thus solving the inefficiencies, dispersion, and fragmentation of government services in traditional business environments. Digital government provides efficient and convenient comprehensive government services, improving the business environment. Secondly, digital government helps to optimize the allocation of data resources and improve the market environment. Digital government uses digital technology as a tool, leverages public data sharing coordination mechanisms, uses the big data management bureau as a platform, promotes the exchange and sharing of public data internally, and promotes open utilization externally. Digital government increases the speed of data resource circulation, improves resource allocation efficiency, and enhances the business environment.
A favorable business environment can effectively promote the digital transformation of enterprises. Optimizing the business environment means liberating productivity and enhancing competitiveness [48]. Firstly, from the perspective of enterprises, the digital transformation of enterprises is a long-term systematic reform project in production, sales, management, and other aspects, characterized by high costs, high risks, and long cycles [49]. The optimization of the business environment by the digital government, mainly focusing on improving administrative efficiency and efficient services, can significantly reduce the institutional transaction costs of enterprises, reduce overall business operating costs, and reduce risks in the process of digital transformation. Secondly, from the industry perspective, a good business environment helps to break down market entry barriers and form a fair and orderly competition mechanism [50]. The business environment in the digital age provides convenient conditions for enterprises to use digital resources. Stakeholders such as suppliers, customers, and competitors enhance their competitiveness through the application of digital resources. Both new and existing enterprises need to break through themselves and undergo digital transformation to better connect with suppliers, customers, and maintain competitiveness in the race for digital resource application. Thirdly, from the regional perspective, a good business environment creates an open and inclusive cultural environment through the regulation of the labor market and the reform of the labor system, attracting more talents to invest in regional economic construction [51]. A good business environment helps high-quality talents introduce digital technology into enterprise operations and management, change enterprise management thinking, and promote enterprise digital transformation. Based on the above analysis, this paper proposes hypothesis H2:
H2. 
Digital governments facilitate enterprise digital transformation by improving the business environment.

3.3. Digital Government and Enterprise Digital Transformation: The Mediating Effects of Information Search Costs

According to transaction cost theory, minimizing transaction costs is an important goal of organizational behavior for enterprises [52]. In an environment of incomplete information, the information search costs for enterprises mainly include three parts: first, the time, energy, and costs required by enterprises to search for original information; second, the costs incurred by enterprises in identifying, processing, and deeply exploring collected information to maximize its value using information technology; and third, the risk costs caused by key information being missing, distorted, or outdated. The higher the information search costs, the greater the difficulties faced by enterprises in the process of digital transformation. Digital government relieves enterprises by reducing the information search costs.
Digital government can effectively reduce the information search costs for enterprises. Specifically, on the one hand, digital government aggregates information data from various government departments, breaks through the barrier of the “digital divide”, opens up efficient channels for the circulation of enterprise information, and reduces the costs incurred by enterprises in the original information search process. On the other hand, digital government integrates the “fragmented” information scattered across government departments, improving the integrity of information. Through strict data governance rules and systems, conducting multi-source verification of data quality, and clarifying authoritative data sources, digital government ensures the authenticity and accuracy of data. By sharing coordination mechanisms, digital government responds to enterprises’ demands for data sharing in a timely manner, ensuring the timeliness of enterprises’ information acquisition. The information disclosed by digital government is authoritative, authentic, and timely, reducing enterprises’ information search costs.
The reduction in information search costs can stimulate the intrinsic motivation for enterprise digital transformation. Firstly, lower information search costs can encourage enterprises to develop relevant algorithms for fully exploring and utilizing information data. Enterprises, in order to improve the depth of information data exploration and utilization efficiency, will pay more attention to the development and utilization of digital technology to fully enjoy the dividends brought by the reduction in information search costs, thus promoting enterprise digital transformation. On the other hand, the reduction in information search costs can increase enterprises’ information search capabilities [53], reduce enterprise information asymmetry [54] and the risk of irrational decision-making by managers, and improve enterprises’ sustainable development capabilities. Enterprises with high levels of digital facilities and technology can more efficiently collect and utilize digital information, make better and faster decisions, and seize market opportunities. Enterprises are motivated to update their own digital infrastructure and technology to achieve digital transformation. Based on the above analysis, the following hypotheses are proposed:
H3. 
Digital governments facilitate enterprise digital transformation by reducing information search costs.

3.4. Digital Government and Urban Economic Sustainable Development

The theoretical analytical framework is as shown in Figure 4. The digital government has a significant impact on the sustainable development of urban economies, and its role can be explained using theories of innovation, institutional economics, and sustainable development. Firstly, according to innovation theory, much of the driving force behind sustainable urban economic development comes from technological innovation. However, the inherent uncertainty and the demand for significant resource inputs, including capital investment, pose significant challenges [55]. Digital government may facilitate technological innovation and development by opening up data, providing financial support, and offering technical training [38]. Its emergence also brings about new business models and market opportunities, stimulating demand and investment in technological innovation by enterprises. Secondly, according to institutional economics theory, digital government makes governments more transparent and efficient, providing enterprises with a more stable and reliable institutional foundation, reducing uncertainty in economic operations, and facilitating long-term investment and planning. Lastly, sustainable development theory emphasizes the coordination and balance among social, economic, and environmental aspects. Digital government provides more information and data resources, enabling governments to more effectively monitor and manage various aspects of society, the economy, and the environment. This contributes to formulating more scientific and sustainable policies and plans, promoting the achievement of economic sustainable development goals in resource utilization, environmental protection, and social equity. Therefore, the following hypothesis is proposed:
H4. 
Digital governments facilitate urban economic sustainable development.

3.5. Digital Government and Urban Economic Sustainable Development: The Mediating Effects of Enterprise Digital Transformation

The promotion of enterprise digital transformation by digital government can drive technological innovation, reduce enterprise operating costs and risks, and thus promote sustainable urban economic development. First, the application of digital technology can expand the breadth of enterprise knowledge while weakening the boundaries of enterprises in the process of technological innovation, promoting enterprise technological innovation, and thereby enhancing the level of urban economic development. On the one hand, digital technology transforms information into coded forms that flow within enterprises, reducing the constraints on the spillover of industrial technology due to geographical division and geopolitical factors. On the other hand, enterprises conduct cooperative projects such as technological complementarity and exchange of human resources through digital platforms built by the government. This reduces the cost of collaborative search and knowledge acquisition [56], injecting new, diverse knowledge and innovative technologies into the sustainable development of urban economies. Second, the application of digital technology can reduce enterprise operating costs and risks. On the one hand, digital government promotes the automation and intelligence of enterprise operations through the digitization of urban governance, infrastructure, and public services, reducing reliance on labor and reducing enterprise operating costs [57]. On the other hand, the construction of digital platforms and the application of enterprise digital technology help enterprises collect market information in real time through data platform systems. Based on timely and accurate market information, enterprises make high-quality decisions, making investment and operational directions more precise and reducing trial-and-error costs and operational risks. Based on the above analysis, the following hypotheses are proposed:
H5. 
Digital governments facilitate urban economic sustainable development by improving enterprise digital transformation.

4. Materials and Methods

4.1. Research Sample and Data Source

In this study, the selected sample is representative, mainly in the following aspects: (1) the rationality of the time range selection, considering that the establishment of big data management bureaus in various provinces was concentrated from 2014 to 2021, selecting the 2012–2022 listed companies in the Shanghai and Shenzhen stock markets as the sample so that the sample period covers the changes before and after the establishment of big data management bureaus, which helps to examine the evolution of enterprise digitization. (2) The diversity of sample sources, with listed companies in the Shanghai and Shenzhen stock markets as the sample, covering enterprises from different industries and regions to ensure the diversity of the sample and help to comprehensively reflect the changes in enterprise digitization and the degree of sustainable urban economic development. (3) The prudence of sample processing, achieved by excluding financial, ST, and ST* listed companies; excluding samples with missing main research variables; and conducting Winsorization on all continuous variables. Various bias factors were considered in the sample processing process, improving the quality of the sample. (4) The reliability of data sources was ensured using authoritative data sources such as the China Stock Market and Accounting Research (CSMAR) database, China Information (CNINF), the National Bureau of Statistics, provincial statistical bureaus, and the Economy Prediction System (EPS) database, as well as manually querying corporate annual reports to obtain some uncovered indicators, ensuring the reliability and comprehensiveness of the data. Stata 17.0 software was used to clean, organize, and analyze the above data. A total of 36,188 company-year samples were initially formed.

4.2. Econometric Model

As shown in Figure 5, the policy pilot projects of the urban big data administration bureaus were implemented in multiple batches, exhibiting significant exogenous policy impact on enterprise digital transformation. This aligns with the conditions for the use of the multi-period DID method. To measure the impact of digital governments on enterprise digital transformation, this study constructs the following multi-period DID model:
D C G i , t = α + β D G o v i , t + γ C o n t r o l i , t + F i r m F E + Y e a r E F + I n d E F + ε i , t
In Model 1, the dependent variable D C G i , t represents the degree of digital transformation of enterprise i in year t; the independent variable D G o v i , t is the digital government, which is the treatment group when the province in which the enterprise i is located has set up an urban big data management bureau in year t; and it is the control group otherwise. FirmFE represents the fixed effect of the firm, YearEF represents the fixed effect of the year, IndEF represents the fixed effect of the industry, and ε represents the random error term. α represents the constant term. β and γ are model estimation parameters, and this study focuses on the parameter β. A significantly positive β indicates that the digital governments significantly facilitate enterprise digital transformation.

4.3. Definition of Variables

  • Dependent variables: The enterprise digital transformation is represented by DCG. According to the study of Wu et al. [4], text analysis was used to count 76 enterprise digital word frequencies in five dimensions, namely, artificial intelligence, blockchain, cloud computing, big data, and the use of digital technology, to measure enterprise digital transformation according to the ratio of the number of word frequencies reflecting the digital transformation of enterprises in the annual report to the total number of words in the annual report (DCG).
  • Independent variables: Digital government (DGov), identified by both the regional dimension and the temporal dimension, is the cross-multiplier of policy and treat. This study manually queried regarding the establishment of big data administration bureaus of China’s 31 provinces’, municipalities’, and autonomous regions’ governments, and matched the listed companies. If the sample company’s province sets up a big data administration bureau, it should be assigned to the experimental group, and its variable “Policy” takes the value of 1. Otherwise, it belongs to the control group, and its variable “Policy” takes the value of 0. In the year of the establishment of the urban big data administration bureau and the following years, the sample company’s variable “Treat” takes the value of 1; otherwise, it takes the value of 0.
  • Control variables: Drawing on the published literature [58,59], control variables were selected as follows. At the micro level, enterprise size (Size), financial leverage (Lev), return on assets (ROA), accounts receivable turnover ratio (Rec), inventory level (Inv), growth level (Grow), management shareholding level (SHARE), board size (BOARD), and shareholding concentration (Shrhfd) were selected in order to control the impact of differences in enterprise’s individual characteristics, development capability, financial performance, and equity structure on enterprise digital transformation. At the macro level, industrial structure (CS), fiscal deficit ratio (Deficit), and GDP per capita (PREGDP) were selected in order to control the impact of regional industrial structure, economic development level, and fiscal revenue on enterprise digital transformation. The specific meanings and measures of the variables in this study are listed in Table 1.

5. Results

5.1. Descriptive Statistics

Table 2 presents the descriptive statistics of the main variables. The mean value of enterprise digital transformation (DCG) was 1.074, and the standard deviation was 2.197, indicating that the degree of digital transformation of enterprises in the sample varied widely. The mean value of the digital government policy variable (DGov) was 0.582, indicating that 58.2% of the total sample of enterprises are located in regions where digital government construction has been completed. The characteristics of the control variables, such as the mean and variance, are similar to those in the existing literature.

5.2. Multiple Regression Analysis

5.2.1. Parallel Trend Test

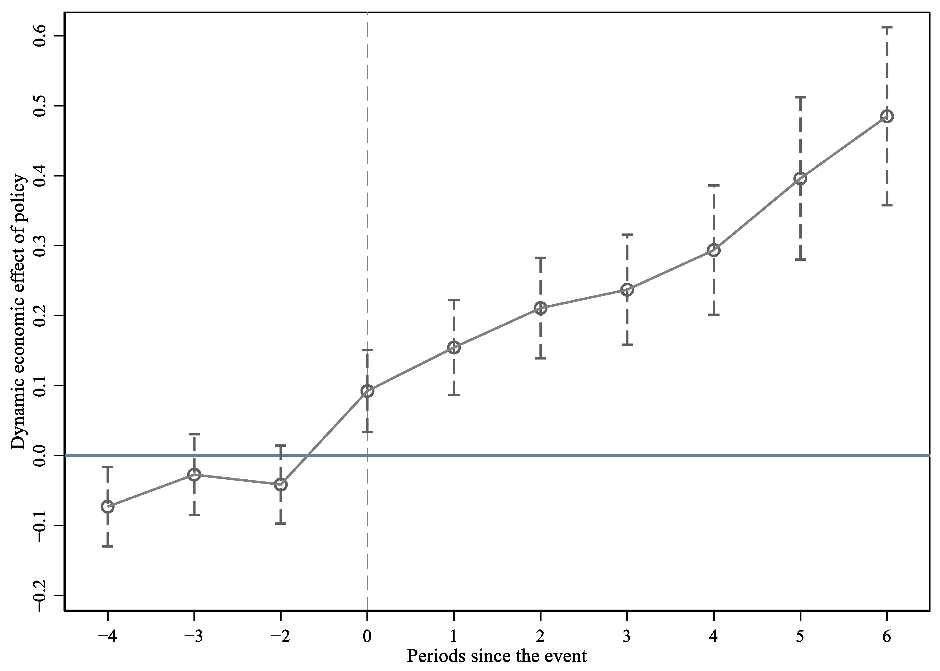
The parallel trend test is the basic premise of using the multi-period DID econometric model for testing research hypotheses. To ensure that the regression results are caused by the policy shock of “the establishment of the urban big data administration bureau”, referring to the research of Beck et al. [60], we constructed dummy variables for four years before and six years after the implementation of the policy to examine the dynamic effect of digital government on the level of enterprise digital transformation. As shown in Figure 6, in the two years and three years before the establishment of the urban big data administration bureau (−2 and −3), the β coefficients both intersect with y = 0 axes, indicating that there is no significant difference between the treatment and control groups. During the year of the policy and after (0 to 6 years), there was significant positive growth in the digital transformation of enterprises, which passed the parallel trend test. The above regression results indicate that digital government enhances the level of enterprise digital transformation, and the policy impact is highlighted during the policy year.

5.2.2. Benchmark Regression

Based on Model 1, a multi-period DID approach was conducted for Hypothesis H1. In order to reduce the endogeneity caused by missing variables, all empirical tests in this study adopted fixed-time, fixed-industry effect treatment, and cluster treatment at the enterprise level. As shown in columns (1) of Table 3, without adding control variables, the correlation coefficient between digital government (DGov) and enterprise digital transformation (DCG) was 0.086, which was significant at the level of 1%. After the addition of control variables, the correlation coefficients remained significant at the level of 1%. This finding suggests that digital government significantly improves the digital transformation process for businesses. Digital government reduces the cost of information search for enterprises [60], reduces information asymmetry, and improves information transparency. At the same time, digital government provides enterprises with a good environment for the application of digital technology, and promotes the digital transformation of enterprises from both institutional and environmental aspects. Hypothesis H1 is verified.

5.3. Endogeneity Test

5.3.1. Placebo Test

Unobservable random factors and omitted variables may lead to endogeneity in the baseline regression results. This study conducted a placebo test of the impact of digital government on the digital transformation of enterprises, with 1000 randomly selected experimental and control groups. Figure 7 depicts the distributions of the coefficients and p values of the core independent variables formed by the 1000 virtual regressions. The results show that the regression coefficients of digital government are concentrated near the value of 0, and the vast majority of the values are more than 10%, which indicates that the regression results are not significant. As shown in Figure 7, the regression coefficients of 0.087 (Table 3, Column 2) for digital government in the benchmark model are outliers in the estimated coefficients in the placebo test. Therefore, the benchmark regression results are not seriously biased due to random factors and omitted variables.

5.3.2. Multi-Period DID Propensity Score Matching Method (PSM-DID)

To reduce the interference of “selective bias” on the empirical results during sample processing, this study adopts the PSM-DID method to further validate the impact of digital government on the digital transformation of enterprises. Enterprise size, gearing ratio, management shareholding level, board size, and equity concentration serve as selected covariates for matching. The samples are matched using the 1:1 nearest-neighbor matching method with put-back. After matching, a total of 36,183 firm-year samples satisfy the common support hypothesis. The ATT values of DCG is 13.19, indicating that the treatment effect is significant at the 1% level. Table 4 presents the regression results for the new sample after propensity score matching using the multi-period DID model. The regression results in Columns (1) and (2) of Table 4 show that the correlation coefficients of digital government and digital transformation of enterprises were 0.086 and 0.087 before and after the addition of control variables. The correlation coefficients were both significant at the 1% level. The regression results and significance reported in Table 4 align consistently with the baseline regression findings in Table 3. The preceding analysis demonstrates that the empirical outcomes of this study remain unaffected by selection bias, affirming the robustness of the results.

5.3.3. Instrumental Variable (IV) Method

To alleviate the endogeneity problem caused by reverse causality, this study adopts the instrumental variable method. Drawing on Liu et al. [61], an economic–geographic nested matrix is used to calculate the geographic economic distance. The matrix data are derived from the geographical distance between the provincial capital where the company is registered and Beijing, as well as the disparity in gross domestic product (GDP) between that province and Beijing. Geo-economics suggests that spatial distance from the capital city has a significant impact on the level of political governance and the set-up of government institutions in the city. Historically, the closer a city is to the capital, the more political influence it has from the central government and the better its governance. Conversely, the farther a city is from the capital, the lower its level of governance. Therefore, it can be inferred that, in the context of the central government’s call to build a digital government, the closer the urban is to Beijing, the more inclined it is to build a digital government. The further away the urban is from the capital, the more it lags behind in building its digital government. The level of urban economic development largely affects the government’s governance system. The worse the level of economic development, the lower the level of digital government governance and construction. Geographic economic distance, as an instrumental variable, does not have a direct effect on the degree of digital transformation of enterprises, satisfying the requirements of relevance and exogeneity.
Our instrumental variable regression results are represented in Table 4. The K-P rk LM statistic was 643.603, which is significant at the 1% level, indicating that there was no under-identification. The K-P rk Wald F statistic was 701.787, which is much larger than 16.38, indicating that the instrumental variable was not weakly correlated.
The regression results for the initial stage are presented in column (3) of Table 4. These findings indicate a substantial inhibitory impact of the geographic economic distance (IV) on digital government (DGov) at the 1% significance level. The further away from the capital city and the worse the level of economic development of the urban, the lower the degree of its digital government construction. The second-stage regression results in column (4) show the coefficients of digital government (DGov) on the digital transformation of enterprises is 0.020 at the 1% level. The empirical results show that digital government can significantly and positively promote the digital transformation of enterprises, and the conclusions of the benchmark hypothesis of this study are reliable.

5.4. Robustness Test

To enhance the reliability of the empirical findings, this study substitutes the dependent variables, replaces the independent variable, and introduces a one-period lag to the independent variables. This approach aims to assess the robustness of the fundamental empirical results pertaining to Hypothesis H1.

5.4.1. Replace the Dependent Variable

Referring to the research methods of Wu et al. [4] and Zhao [62], we adopted the natural logarithm of the frequency of terms reflecting digital transformation (LnDCG) to construct a measure of the degree of enterprise digital transformation. As presented in Table 5, Columns (1) and (2), the correlation coefficients of DGov and LnDCG were statistically significant at the 1% level, irrespective of the inclusion of the control variables. The regression results above suggest that digital government significantly contributes to the development of digital transformation in enterprises, thereby supporting the robustness of the benchmark regression results.

5.4.2. Replace the Independent Variable

We conducted the robustness test by changing the identification method of digital government. According to the National Development (2016) No. 55 issued by the State Council of China, whether a city is selected as a pilot city for the Information Benefits the People policy of the Internet Plus Government Services initiative is the judgement criterion. Policy shocks are identified by time and region dimensions, i.e., if the urban is selected for the “Information for the People” policy, Post takes the value of 1, and otherwise it takes the value of 0; if the observation time is 2016 or later, treat takes the value of 1, and otherwise it takes the value of 0. Accordingly, the new independent variable DGov2 (Post × Treat) is constructed. Table 5 presents the regression results for the alternative independent variable, digital government (DGov2), and its effect on enterprises’ digital transformation. Table 5, Columns (3) and (4), show that digital government can positively promote enterprises’ digital transformation, and this is significant at the 1% level. The above regression results reaffirm the robustness of the findings of the benchmark regression.

5.4.3. Dependent Variable Lagged by One Period

To make full use of the comprehensive information platform provided by the digital government, enterprises need some time to adjust their business form, technical foundation, and organizational structure. This may lead to a lag in the role of digital government in facilitating the digital transformation of enterprises. This study examines the relationship between enterprise digital transformation and digital government by dealing with the delay of one phase. Table 5, Columns (5) and (6), show that digital government can positively incentivize enterprise digital transformation and is significant at the 1% and 5% levels. The above regression results again validate Hypothesis H1, indicating the robustness of the benchmark regression results.

5.5. Mechanism Test

According to the above theoretical and mechanistic analyses, digital government promotes enterprise digital transformation mainly by enhancing the urban business environment and reducing information search costs. This study adopts the mediation effect model to empirically test how digital government affects enterprises’ digital transformation and draws on the study of Wen and Ye [63]. In this study, the following recursive model was constructed. M D i , t as an intermediary variable, represents the urban business environment (BE) or information search costs (IC).
M D i , t = α + β D G o v i , t + γ C o n t r o l i , t + F i r m F E + Y e a r F E + I n d F E + ε i , t
D C G i , t = α + β D G o v i , t + γ M D i , t + μ C o n t r o l i , t + F i r m F E + Y e a r F E + I n d F E + ε i , t

5.5.1. Mechanism Test: Urban Business Environment

Drawing on Yao and Wei’s study [64], considering the accessibility and continuity of data, a business environment index system was constructed by selecting four primary indicators (economic environment, market environment, infrastructure, and policy environment) and 15 secondary indicators. The business environment indicators were processed using a dimensionless method, and the entropy weight method was applied to calculate the weighted sum, resulting in a more objective measurement of the business environment variables (BE) for each province.
The mechanism path test was conducted according to Model (1) to Model (3). The results of the mechanism path test are presented in Table 6. The regression coefficient (BE) in Column (1) is 0.186 and demonstrates statistical significance at the 1% level. This indicates that digital government can substantially enhance the urban business environment. Regressions of the digital government (DGov) together with the mediating variable (BE) on digital transformation (DCG) were conducted, and the results are shown in Table 6, Columns (2). The regression coefficient of DGov to DCG is 0.084, and it is significant at the 1% level. The results of the validation, based on the 1000 bootstrap method of sampling and the calculation of the Sobel Z value, indicate that the mechanism test passed. The above regression results indicate that digital government enhances the degree of enterprise digital transformation by improving the urban business environment. In other words, the urban business environment plays a partially mediating role. Hypothesis H2 is verified.

5.5.2. Mechanism Test: Information Search Costs

The geographic proximity of an enterprise to the economic and political center significantly influences its information accessibility. Cities situated in unfavorable geographic locations pose more challenges to the digital transformation of enterprises within their jurisdictions compared to those in favorable locations. The farther a city is, the higher the cost of accessing external information becomes. The concept of “distance decay effect” [53] applies to the cost of information search, indicating a direct proportionality between information search cost and the geographic distance of the city. As the geographic distance increases, the likelihood of information loss, distortion, and attenuation during transmission rises, consequently escalating the overall cost of information search. Digital government, based on information technology, facilitates the transformation of information from traditional paper formats to digital forms. This transformation significantly reduces the costs associated with processing, storing, and transmitting vast amounts of information. Moreover, it enhances the geographical radius for enterprise information collection and improves utilization efficiency. This reduction in information collection barriers related to unfavorable geographic locations subsequently lowers the overall cost of enterprise information search. In alignment with Broekel et al.’s and Zhang et al.’s research [65,66], this paper adopts a geo-economic perspective to measure information search costs. The measurement is based on the distance from the provincial capital (where the enterprise is registered) to Beijing. Although the geographical distance of remote cities imposes high information search costs on enterprises located there, hindering their digital transformation, digital government policies can mitigate this disadvantage. Digital governments are beneficial in terms of reducing the impact of information search costs, thereby promoting the digital transformation of enterprises.
As the results in Columns (4) of Table 6 show, after regressing both the policy variable (DGov) and the mediating variable (IC) on the dependent variable (DCG), the regression coefficients of digital government and digital transformation of enterprises is 0.087 and is significant at the 1 percent level. The coefficient of the mediating variable (IC) is −0.090 and is significant at the 10 percent level. The above regression results illustrate that digital governments significantly enhance enterprise digital transformation by reducing the impact of information search costs. The results of the Sobel-Z test and 1000 rounds of sampling via the bootstrap method both indicate that Hypothesis H3 passed the test.

5.6. Heterogeneity Analysis

5.6.1. Regional Location: Distinguishing between Eastern, Central, and Western Cities

According to the geographical regions to which the cities belong, the sample was categorized into eastern, central, and western city groups. The results following regression using model (1) are presented in Table 7. Columns (1) to (3) reveal that the regression coefficients of digital government in the central and western city sample groups were significantly positive at the 5% level. Conversely, the regression coefficients in the eastern city sample group were not statistically significant.

5.6.2. Administrative Level: Distinguishing between Provincial Capitals and Non-Provincial Capitals

This study categorizes cities into provincial capital cities and non-provincial capital cities based on the criterion of their administrative level. According to the regression analysis by model (1) based on this categorization, as depicted in columns (4) to (5) of Table 7, digital government significantly influences the incentives for enterprise digital transformation in provincial capital cities at the 1% significance level. Conversely, there is no discernible effect on the digital transformation of enterprises in non-provincial capital cities.

5.6.3. Economic Development: Distinguishing Cities by GDP Level

This study categorizes the sample into two groups, delineating high and low economic development, based on the city’s median annual GDP. As illustrated in Columns (6) and (7) of Table 7, digital government has a noteworthy, positive facilitating effect on the digital transformation of enterprises observed at the 1% significance level in cities with low levels of economic development. Conversely, digital government exhibits no significant facilitating effect on the digital transformation of enterprises in cities with high levels of economic development.

6. Economic Consequences: Contribution to the Level of Urban Economic Sustainable Development

Enterprises are the core force of urban economic development. The promotion of enterprise digital transformation by digital governments can promote enterprise technological innovation and reduce enterprise operating costs and business risks, thereby enhancing the level of urban economic sustainable development. Drawing on Wen and Ye’s study [63], the following model was constructed:
E S D i , t = α + β D G o v i , t + γ C o n t r o l i , t + F i r m F E + Y e a r F E + I n d F E + ε i , t
E S D i , t = α + β D G o v i , t + γ D C G i , t + μ C o n t r o l i , t + F i r m F E + Y e a r F E + I n d F E + ε i , t
l n Y i , t = α l n K i , t + β l n L i , t + v i , t
In models (4) and (5), the dependent variable is the level of urban economic sustainable development (ESD), and the selection and definition of the other variables are the same as in model (1). Total factor productivity (TFP) indicators serve as representative measures of sustainable economic development due to their ability to gauge the efficiency of utilizing all inputs, including labor and capital, in the production process. Unlike conventional metrics such as GDP or labor productivity, which primarily focus on output per unit of input, TFP indicators assess how effectively all resources are combined to generate output. Sustainable economic development encompasses not only increases output, but also ensures efficient resource allocation to minimize waste and environmental harm. By capturing productivity gains achieved through technological advancements, innovation, and optimal resource allocation, TFP indicators offer a holistic evaluation of economic growth aligned with the principles of sustainability. As shown in model (6), the level of urban economic sustainable development (ESD) is measured by the total factor productivity calculated using the random effects (RE) method. Here, Y i t represents the real GDP, K i t represents the capital stock, L i t represents the labor force, and υ i t is the error term. Tests were conducted based on models (1), (4), and (5). The results in Table 8, Column (1), show that digital government significantly promotes the level of urban economic sustainable development at the 1% significance level. Hypothesis H4 is verified. Column (3) regresses the digital government (DGov) and intermediary variable (DCG) together on the level of urban economic sustainable development (ESD). The regression coefficient of DGov on ESD is significantly positive at the 1% level, indicating that digital government significantly promotes the level of sustainable urban economic development through enterprise digital transformation. This conclusion held true even after the Sobel-Z and bootstrap tests. Hypothesis H5 is verified.

7. Discussion

Building digital governments in cities can achieve a win–win situation, speeding up the process of enterprise digital transformation and contributing to the sustainable development of the urban economy. Our research results show that the effect of digital government policies stimulating enterprise digital transformation exhibits significant regional differences; the different regional locations, administrative levels, and economic development levels of the city all affect the effectiveness of the policy. Nevertheless, the improvement in the business environment and the reduction in information search costs brought about by digital government greatly promote enterprise digital transformation. Empirical results indicate that the business environment of cities and the information search costs resulting from their geographical locations significantly affect the degree of enterprise digital transformation. Digital government construction enhances the sustainable development momentum within cities in two aspects: firstly by improving the business environment, and secondly by reducing the information search costs brought about by the geographical distance of cities, both of which significantly promote enterprise digital transformation. Furthermore, enterprise digital transformation plays a significant role in promoting sustainable economic growth in cities. Economic growth is an important aspect of urban sustainable development, demonstrating that digital government construction promotes sustainable urban economic development.
From the perspective of improving the business environment and reducing information search costs, digital government is beneficial for enterprise digital transformation and the sustainable development of the urban economy. Digital government can improve the business environment in multiple ways, including enhancing government efficiency, integrating administrative services, reducing administrative burdens on enterprises, and optimizing market conditions through data sharing mechanisms. In terms of information search costs, digital government aggregates and improves the quality of information, reducing the information search costs for enterprises. This stimulates investment in digital technology by enterprises, promotes enterprise digital transformation, and enhances the quality of decision making and the profitability of enterprises. Overall, the improvement in government and enterprise efficiency, as well as the enhancement of urban administrative services and market conditions, all contribute to saving urban resources and improving the efficiency of urban resource allocation. The growth of digital technology applications in governments and enterprises plays a role in promoting enterprise digital transformation and advancing the sustainable development of the urban economy in various aspects.
From the perspective of the heterogeneous characteristics of cities, factors such as the regional location, administrative level, and economic development level of cities all influence the effectiveness of digital government in promoting enterprise digital transformation. In China, the digital infrastructure construction levels in the central and western regions significantly lag behind that in the eastern region. Empirical results indicate that the policy stimulus of digital government on enterprise digital transformation is more pronounced in the less developed central and western regions. The results of grouping cities based on GDP levels once again validated this conclusion, with the policy effects of digital government being more pronounced in economically underdeveloped cities with lower GDPs. Additionally, the policy effectiveness in provincial capital cities is more pronounced compared to non-provincial capital cities. This may be attributed to their role as provincial political, economic, and cultural centers, where urban management is often more mature and specialized. Furthermore, they possess richer research institutions, educational resources, and talent, leveraging these advantages in urban management and human resources to benefit digital government in driving enterprise digital transformation.
Enterprise digital transformation plays a crucial role in the sustainable development of urban economy. It fosters knowledge sharing and technological innovation, overcoming the limitations imposed by geographical factors on technology spillovers. Moreover, it reduces operational costs and business risks for enterprises while enhancing decision-making quality. Empirical results also validate the enhancement of total factor productivity in cities due to enterprise digital transformation. In summary, the application of digital technology not only drives the sustained and stable development of enterprises, but also promotes technological innovation, contributing to the sustainable growth of urban economy.
The possible marginal contributions of this article are as follows. (1) Previous studies on the factors influencing enterprise digital transformation have mainly focused on investor characteristics, asset allocation, corporate governance, etc. Few studies have explored how governments promote enterprise digital transformation. Those that have often examined government fiscal policies, infrastructure construction, and intellectual property protection, with few scholars researching digital government as a factor influencing enterprise digital transformation. This article innovatively adopts digital government as a research perspective to investigate its effect on enterprise digital transformation, thus expanding the research field. (2) Previous articles on digital government have mostly explained the value, elements, and paths of digital government transformation from a theoretical perspective. Existing empirical studies on digital government often use government digital development indices formed by subjective evaluation as proxies for measuring digital government, which tend to be subjective. In contrast to previous empirical studies, this article innovatively uses the establishment of the urban big data administration bureau as a proxy variable for digital government, reducing the subjectivity of indicator measurement and providing methods and experiences for subsequent academic research on the economic consequences of digital government. (3) This article innovatively identifies two mechanisms paths, business environment and information search costs, and explores the impact of urban heterogeneity on the effectiveness of digital government policies. It reports in-depth research on the inherent mechanisms and logic of digital government in promoting enterprise digital transformation, thereby opening the “black box” between digital government and enterprise digitalization transformation.

8. Conclusions

In this study, we investigated the impact of digital government on enterprise digital transformation and its effect on the sustainable development of the urban economy. The research findings are as follows. (1) Digital government significantly promotes enterprise digital transformation. Improving the urban business environment and reducing the information search costs brought by urban geographical location are the two paths through which it operates. (2) The promotional effect of digital government on enterprise digital transformation is more pronounced in the central and western regions, provincial capitals, and economically underdeveloped cities compared to the eastern regions, non-provincial capitals, and economically developed cities. (3) Digital government construction promotes the sustainable development of urban economies, and enterprise digital transformation plays an intermediary role.
Based on the research conclusions of this article, the following recommendations are proposed. (1) Governments should further improve database resources by breaking down data barriers and coordinating the integration of data resources. (2) Governments should promote administrative process reform through digital technology, clarify the digital responsibilities and organizational structure of government departments, make government processes transparent and open, and promote the coordination between government responsibilities and data governance. (3) Enterprises should actively build the production methods, business forms, technological foundations, and organizational structures needed for digital transformation and provide suitable digital operation carriers. (4) Governments should actively enhance the level of urban management, formulate policies to attract research institutions and talent, and better leverage the policy effects of digital government.
This research is not without limitations. Firstly, the measurement methods for digital government need further refinement. The existing literature has not established a unified standard for identifying digital government. In this study, a multi-period Difference-in-Differences (DID) method is employed to identify the impact of digital government on urban economic development. The use of this method for identifying digital government is objective and less influenced by subjective factors. The method distinguishes between the presence and absence of digital government construction but does not reflect the “high” and “low” differences in construction levels. In future research, the multi-period DID method can be combined with indicators of e-government development, data collection methods, and other approaches to more comprehensively depict digital government. Secondly, solely exploring the impact of digital government on urban sustainable development from an economic development perspective is not comprehensive enough. Urban sustainable development involves multiple aspects, such as economic, social, and environmental factors. While economic development is undoubtedly one aspect of urban sustainable development, social and environmental aspects are also crucial components of urban sustainable development. The impact of digital government policies on urban entrepreneurial vitality, urban technological innovation capabilities, urban carbon emissions, etc., are all topics worth delving into in future research.

Author Contributions

Conceptualization, H.L. and J.X.; methodology, H.L. and J.X.; validation, H.L.; writing—original draft preparation, H.L.; writing—review and editing, J.X. All authors have read and agreed to the published version of the manuscript.

Funding

This research was funded by the Natural Science Fund of Shandong Province, grant number ZR2022MG040. This research is also a milestone result of the Subject of Humanities and Social Sciences of Shandong Federation of Social Sciences, number 2023-ESDZ-106.

Institutional Review Board Statement

Not applicable.

Informed Consent Statement

Not applicable.

Data Availability Statement

The data presented in this study is available on request from the authors.

Acknowledgments

Thanks for the support from Shandong University of Finance and Economics and Shandong Agricultural University.

Conflicts of Interest

The authors declare no conflicts of interest.

References

  1. Omar, A.; Weerakkody, V.; Daowd, A. Studying transformational government: A review of the existing methodological approaches and future outlook. Gov. Inf. Q. 2020, 37, 101458. [Google Scholar] [CrossRef]
  2. Lee-Geiller, S.; Lee, T.D. Using government websites to enhance democratic E-governance: A conceptual model for evaluation. Gov. Inf. Q. 2019, 36, 208–225. [Google Scholar] [CrossRef]
  3. Upadhyay, P.; Kumar, A.; Dwivedi, Y.K.; Adlakha, A. Continual usage intention of platform-based governance services: A study from an emerging economy. Gov. Inf. Q. 2021, 39, 101651. [Google Scholar] [CrossRef]
  4. Wu, F.; Hu, H.Z.; Lin, H.Y.; Ren, X.Y. Enterprise digital transformation and capital market performance: Empirical evidence from stock liquidity. J. Manag. World 2021, 37, 130–144+110. [Google Scholar] [CrossRef]
  5. Clarke, A. Digital government units: What are they, and what do they mean for digital era public management renewal? Int. Public Manag. J. 2020, 23, 358–379. [Google Scholar] [CrossRef]
  6. Zhu, Y.; Yu, D. Can government digitalization promote firm productivity? Evidence from Chinese listed firms. Appl. Econ. 2023, 27, 1–14. [Google Scholar] [CrossRef]
  7. Tan, B.; Pan, S.; Lu, X.; Huang, L. The role of is capabilities in the development of multi-sided platforms: The digital ecosystem strategy of Alibaba.com. J. Assoc. Inf. Syst. 2015, 16, 248–280. [Google Scholar] [CrossRef]
  8. Li, Z.; Ouyang, X.; Du, K.; Zhao, Y. Does government transparency contribute to improved eco-efficiency performance? An empirical study of 262 cities in China. Energy Policy 2017, 110, 79–89. [Google Scholar] [CrossRef]
  9. Acemoglu, D.; Restrepo, P. Secular Stagnation? The effect of aging on economic growth in the age of automation. Am. Econ. Rev. 2017, 107, 174–179. [Google Scholar] [CrossRef]
  10. Koch, M.; Manuylov, I.; Smolka, M. Robots and firms. Econ. J. 2021, 131, 2553–2584. [Google Scholar] [CrossRef]
  11. Zhou, Q.; Ge, E.; Chen, X.; Xu, X. Digital government leads to economic development: Mechanism and evidence. J. Manag. Sci. China 2023, 40, 49–68. [Google Scholar] [CrossRef]
  12. Halpern, N.; Mwesiumo, D.; Suausanchez, P.; Budd, T. Ready for digital transformation? The effect of organisational readiness, innovation, airport size and ownership on digital change at airports. J. Air Transp. Manag. 2021, 90, 101949. [Google Scholar] [CrossRef] [PubMed]
  13. Zhang, Y.; Wang, J. Research on influencing factors and path of digital transformation of manufacturing enterprises. Kybernetes 2023, 53, 752–762. [Google Scholar] [CrossRef]
  14. Verhoef, P.C.; Broekhuizen, T.; Bart, Y.; Bhattacharya, A.; Dong, J.Q.; Fabian, N.; Haenlein, M. Digital transformation: A multidisciplinary reflection and research agenda. J. Bus. Res. 2021, 122, 889–901. [Google Scholar] [CrossRef]
  15. Khin, S.; Ho, T.C.F. Digital technology, digital capability and organizational performance. Int. J. Innov. Sci. 2019, 11, 177–195. [Google Scholar] [CrossRef]
  16. Luo, X.; Yu, S.C. Relationship between external environment, internal conditions, and digital transformation from the perspective of synergetics. Discret. Dyn. Nat. Soc. 2022, 32, 1–12. [Google Scholar] [CrossRef]
  17. Wang, Y.; Su, X. Driving factors of digital transformation for manufacturing enterprises: A multi-case study from China. Int. J. Technol. Manag. 2021, 87, 229–253. [Google Scholar] [CrossRef]
  18. Lichtenthaler, U. Shared value innovation: Linking competitiveness and societal goals in the context of digital transformation. Int. J. Innov. Technol. Manag. 2017, 14, 1750018. [Google Scholar] [CrossRef]
  19. Jin, X.; Pan, X. Government attention, market competition and firm digital transformation. Sustainability 2023, 15, 9057. [Google Scholar] [CrossRef]
  20. Wang, S.; Sun, X.; Zhong, S. Exploring the multiple paths to improve the construction level of digital government: Qualitative comparative analysis based on the WSR framework. Sustainability 2023, 15, 9891. [Google Scholar] [CrossRef]
  21. Gil-Garcia, J.R.; Flores-Zúiga, M. Towards a comprehensive understanding of digital government success: Integrating implementation and adoption factors. Gov. Inf. Q. 2020, 37, 101518. [Google Scholar] [CrossRef]
  22. Wilson, C.; Mergel, I. Overcoming barriers to digital government: Mapping the strategies of digital champions. Gov. Inf. Q. 2022, 39, 101681. [Google Scholar] [CrossRef]
  23. Gil-Garcia, J.R.; Pardo, T.A. E-government success factors: Mapping practical tools to theoretical foundations. Gov. Inf. Q. 2005, 22, 187–216. [Google Scholar] [CrossRef]
  24. Zhao, S.; Teng, L.; Arkorful, V.E.; Hu, H. Impacts of digital government on regional eco-innovation: Moderating role of dual environmental regulations. Technol. Forecast. Soc. Chang. 2023, 196, 122842. [Google Scholar] [CrossRef]
  25. Li, E.; Chen, Q.; Zhang, X.; Zhang, C. Digital government development, local governments’ attention distribution and enterprise total factor productivity: Evidence from China. Sustainability 2023, 15, 2472. [Google Scholar] [CrossRef]
  26. Twizeyimana, J.D.; Andersson, A. The public value of E-Government—A literature review. Gov. Inf. Q. 2019, 36, 167–178. [Google Scholar] [CrossRef]
  27. Lee, J.; Kim, B.; Park, S.J.; Park, S.; Oh, K. Proposing a value-based digital government model: Toward broadening sustainability and public participation. Sustainability 2018, 10, 3078. [Google Scholar] [CrossRef]
  28. Keegan, K. Corruption and digital authoritarianism: Political drivers of e-government adoption in Central Asia. Democratization 2023, 31, 23–46. [Google Scholar] [CrossRef]
  29. Wang, X.X.; Huang, H.G.; Xia, Y.F. E-governance construction and enterprise innovation. Financ. Econ. 2021, 65, 118–132. [Google Scholar]
  30. Liu, H.; Shi, Y.; Yang, X.; Zhang, W. The role of business environment and digital government in mitigating supply chain vulnerability—Evidence from the COVID-19 shock. Sustainability 2023, 15, 2323. [Google Scholar] [CrossRef]
  31. Wang, X.; Li, Y.; Tian, L.; Hou, Y. Government digital initiatives and firm digital innovation: Evidence from China. Technovation 2023, 119, 102545. [Google Scholar] [CrossRef]
  32. Shi, B.Z.; You, A.N. Digital government and international trade. Financ. Trade Econ. 2021, 42, 145–160. [Google Scholar] [CrossRef]
  33. Srivastava, S.K.; Panigrahi, P.K. The impact of e-government and e-business on economic performance: A comparative study of developing and developed countries. J. Contemp. Issues Bus. Gov. 2016, 22, 36. [Google Scholar] [CrossRef]
  34. Malik, A.; Majeed, M.T.; Luni, T. Panel data analysis of e-government and growth performance in the presence of trade. Pak. J. Econ. Stud. 2019, 2, 23–50. [Google Scholar]
  35. Madsen, C.Ø.; Lindgren, I.; Melin, U. The accidental caseworker—How digital self-service influences citizens’ administrative burden. Gov. Inf. Q. 2022, 39, 101653. [Google Scholar] [CrossRef]
  36. Belanger, F.; Carter, L. The impact of the digital divide on E-government use. Commun. ACM 2009, 52, 132–135. [Google Scholar] [CrossRef]
  37. Zhao, Y.P.; Fan, B. Effect of an agency’s resources on the implementation of open government data. Inf. Manag. 2021, 58, 103465. [Google Scholar] [CrossRef]
  38. Peng, Y. The value creation role of open government data: The perspective of firm’s total factor productivity. J. Quant. Tech. Econ. 2023, 40, 50–70. [Google Scholar] [CrossRef]
  39. Aart, K. How large is the government spending multiplier? Evidence from world bank lending. Q. J. Econ. 2012, 127, 829–887. [Google Scholar] [CrossRef]
  40. Pan, W.Q.; Fan, Q.Q. Impact of optimal fiscal production expenditure on economic growth and social welfare. J. Manag. Sci. China 2019, 22, 1–19. [Google Scholar]
  41. Fernald, J.G. Roads to prosperity? Assessing the link between public capital and productivity. Am. Econ. Rev. 1999, 89, 619–638. [Google Scholar] [CrossRef]
  42. Donaldson, D. Railroads of the raj: Estimating the impact of transportation infrastructure. Am. Econ. Rev. 2018, 108, 899–934. [Google Scholar] [CrossRef]
  43. Barro, R.J.; Sala-i-Martin, X. Convergence. J. Polit. Econ. 1992, 100, 223–251. [Google Scholar] [CrossRef]
  44. Liu, Q.; Liu, J.; Gong, C. Digital transformation and corporate innovation: A factor input perspective. Manag. Decis. Econ. 2023, 44, 2159–2174. [Google Scholar] [CrossRef]
  45. Sun, W.Z.; Mao, N.; Lan, F.; Wang, L. Policy empowerment, digital ecosystem and enterprise digital transformation: A quasi natural experiment based on the national big data comprehensive experimental zone. China Ind. Econ. 2023, 41, 117–135. [Google Scholar] [CrossRef]
  46. Ouyang, Z.H.; Zhang, J. Integrating information resources and public information data center. Appl. Mech. Mater. 2013, 263–266, 1934–1943. [Google Scholar] [CrossRef]
  47. Li, X.; Ding, Y. Holistic governance for sustainable public services: Reshaping government–enterprise relationships in China’s digital government context. Int. J. Environ. Res. Public Health 2020, 17, 1778. [Google Scholar] [CrossRef] [PubMed]
  48. Bontempo, P.C.; Junior, F.H.; Hamza, K.M. Countries’ governance and competitiveness: Business environment mediating effect. RAUSP Manag. J. 2021, 57, 49–64. [Google Scholar] [CrossRef]
  49. Zhang, W.; Chu, J.; Zhang, T.; Wang, Y. Identifying the factors influencing enterprise digital transformation intention: An empirical study based on net effects and joint effects. Bus. Process Manag. J. 2023, 29, 2107–2128. [Google Scholar] [CrossRef]
  50. Prantl, S. The impact of firm entry regulation on long-living entrants. Small Bus. Econ. 2010, 39, 61–76. [Google Scholar] [CrossRef]
  51. Sestino, A.; Prete, M.I.; Piper, L.; Guido, G. Internet of Things and Big Data as enablers for business digitalization strategies. Technovation 2020, 98, 102173. [Google Scholar] [CrossRef]
  52. Schmidt, C.G.; Wagner, S.M. Blockchain and supply chain relations: A transaction cost theory perspective. J. Purch. Supply Manag. 2019, 25, 100552. [Google Scholar] [CrossRef]
  53. Dellarocas, C. The digitization of word-of-mouth: Promise and challenge of online feedback mechanisms. Manag. Sci. 2003, 49, 1407–1424. [Google Scholar] [CrossRef]
  54. Goldfarb, A.; Tucker, C. Digital economics. J. Econ. Lit. 2019, 57, 3–43. [Google Scholar] [CrossRef]
  55. Bhattacharya, U.; Hsu, P.; Tian, X.; Xu, Y. What affects innovation more: Policy or policy uncertainty. J. Financ. Quant. Anal. 2017, 52, 1869–1901. [Google Scholar] [CrossRef]
  56. Hong, Y.; Ren, B. Connotation and approach of deep integration of the digital economy and the real economy. China Ind. Econ. 2023, 2, 5–16. [Google Scholar] [CrossRef]
  57. Xiao, J.; Tan, Z.; Han, J. The power of big data: The impact of urban digital transformation on green total factor productivity. Systems 2024, 12, 4. [Google Scholar] [CrossRef]
  58. Cai, F.Y.; Huang, X.R. Government data openness, enterprise digital transformation and corporate innovation. Stat. Decis. 2022, 38, 175–179. [Google Scholar] [CrossRef]
  59. Huang, Y.S. Can tax incentives promote the digital transformation of enterprises? Cont. Financ. Econ. 2023, 44, 144–156. [Google Scholar] [CrossRef]
  60. Beck, T.; Levine, R.; Levkov, A. Big bad banks? The winners and losers from bank deregulation in the United States. J. Financ. 2010, 65, 1637–1667. [Google Scholar] [CrossRef]
  61. Liu, Y.G.; Zheng, Q.; Cai, G.L. Do non-state-owned shareholders improve the internal control quality in SOEs? Account. Res. 2016, 11, 61–68+96. [Google Scholar]
  62. Zhao, C.Y. Digital development and servitization: Empirical evidence from listed manufacturing companies. Nankai Bus. Rev. 2021, 24, 149–163. [Google Scholar]
  63. Wen, Z.; Ye, B. Analyses of mediating effects: The development of methods and models. Adv. Psychol. Sci. 2014, 22, 731–745. [Google Scholar] [CrossRef]
  64. Yao, S.; Wei, K. Economic growth in the presence of FDI: The perspective of newly industrialising economies. J. Comp. Econ. 2007, 35, 211–234. [Google Scholar] [CrossRef]
  65. Broekel, T.; Boschma, R. Knowledge networks in the Dutch aviation industry: The proximity paradox. J. Econ. Geogr. 2011, 12, 409–433. [Google Scholar] [CrossRef]
  66. Zhang, M.; Liu, Y.S.; Wang, X.; He, X. Geographically proximate to tax bureau: Facilitate tax avoidance or collection? Manag. World 2018, 34, 150–164. [Google Scholar] [CrossRef]
Figure 1. The trend of digital technology application in enterprises from 2012 to 2022.
Figure 1. The trend of digital technology application in enterprises from 2012 to 2022.
Sustainability 16 02667 g001
Figure 2. The research framework.
Figure 2. The research framework.
Sustainability 16 02667 g002
Figure 3. Theoretical analysis of the impact of digital government on enterprise digital transformation.
Figure 3. Theoretical analysis of the impact of digital government on enterprise digital transformation.
Sustainability 16 02667 g003
Figure 4. Theoretical analysis of the impact of digital government on urban economic sustainable development.
Figure 4. Theoretical analysis of the impact of digital government on urban economic sustainable development.
Sustainability 16 02667 g004
Figure 5. Cities that have established big data administration bureaus (local big data administration bureau established according to data compiled from official provincial government websites: Guangdong, 2014; Zhejiang, 2015; Guizhou, 2016; Jiangxi, Chongqing, and Inner Mongolia, 2017; Shanghai, Beijing, Fujian, Shandong, Tianjin, Anhui, Henan, Hebei, Guangxi, Jilin, and Liaoning, 2018; Jiangsu, Hubei, Hainan, Heilongjiang, Yunnan, Sichuan, and Shanxi, 2019; Shaanxi and Gansu, 2021; Hunan and Tibet, 2022).
Figure 5. Cities that have established big data administration bureaus (local big data administration bureau established according to data compiled from official provincial government websites: Guangdong, 2014; Zhejiang, 2015; Guizhou, 2016; Jiangxi, Chongqing, and Inner Mongolia, 2017; Shanghai, Beijing, Fujian, Shandong, Tianjin, Anhui, Henan, Hebei, Guangxi, Jilin, and Liaoning, 2018; Jiangsu, Hubei, Hainan, Heilongjiang, Yunnan, Sichuan, and Shanxi, 2019; Shaanxi and Gansu, 2021; Hunan and Tibet, 2022).
Sustainability 16 02667 g005
Figure 6. Parallel trend test (The solid line represents the year-by-year estimated coefficient β from model 1, and the dashed line represents the upper and lower 95% confidence interval for β).
Figure 6. Parallel trend test (The solid line represents the year-by-year estimated coefficient β from model 1, and the dashed line represents the upper and lower 95% confidence interval for β).
Sustainability 16 02667 g006
Figure 7. Placebo test (the vertical solid line represents the estimated value of β coefficient value in the benchmark regression, with a value of 0.087. The dashed horizontal line is the criterion for testing whether the placebo regression result is significant, and this criterion has a p-value of 0.1; and the vertical dashed line represents the estimated coefficient, with a value of 0).
Figure 7. Placebo test (the vertical solid line represents the estimated value of β coefficient value in the benchmark regression, with a value of 0.087. The dashed horizontal line is the criterion for testing whether the placebo regression result is significant, and this criterion has a p-value of 0.1; and the vertical dashed line represents the estimated coefficient, with a value of 0).
Sustainability 16 02667 g007
Table 1. Definition of Variables.
Table 1. Definition of Variables.
Variable TypeVariable NameVariable CodeVariable Definition
Dependent variableEnterprise digital transformationDCG76 words of enterprise digital transformation based on five dimensions as a proportion of the total number of words
Independent variableDigital governmentDGovThe cross-multiplier between policy and treat, judged by whether or not an urban big data administration bureau has been set up
Control variableEnterprise sizeSizeNatural logarithm of total enterprise assets
Financial leverageLevTotal liabilities as a percentage of total assets
Return on assetsROANet profit as a percentage of total assets
Accounts receivable turnover ratioRecNet accounts receivable as a percentage of total assets
Inventory levelInvNet inventory as a percentage of total assets
Growth levelGrowGrowth in operating income as a percentage of operating income for the previous period
Management shareholding levelSHARENatural logarithm of the number of shares held by management
Board sizeBOARDNatural logarithm of the number of board members
Shareholding concentrationShrhfdHerfindahl Index of the percentage of shares held by the first largest shareholder
Industrial structureCSThe ratio of value added of secondary and tertiary industries to GDP
Fiscal deficit ratioDeficit(Fiscal expenditure—Fiscal revenue)/GDP
GDP per capitaPREGDPRegional GDP divided by regional resident population
Table 2. Descriptive statistics.
Table 2. Descriptive statistics.
VariablesMeanSdMinMax
DCG1.0742.197013.01
DGov0.5820.49301
Size22.191.27719.6626.24
Lev0.4130.2010.05600.940
ROA0.04300.0670−0.2790.237
Rec0.1250.10200.473
Inv0.1370.12300.681
Grow0.1630.402−0.5922.710
SHARE11.556.905019.83
BOARD2.3750.2251.7922.944
Shrhfd0.1380.1130.007000.552
CS0.9390.04500.7740.998
Deficit0.07500.06500.01500.342
PREGDP11.260.45610.2612.16
Table 3. Benchmark regression: digital government for enterprise digital transformation.
Table 3. Benchmark regression: digital government for enterprise digital transformation.
Variables(1)(2)
DCGDCG
DGov0.086 ***0.087 ***
(0.023)(0.023)
Size 0.353 ***
(0.020)
Lev −0.186 **
(0.077)
ROA −0.820 ***
(0.154)
Rec 0.261
(0.172)
Inv 0.034
(0.117)
Grow 0.024
(0.017)
SHARE 0.002
(0.002)
BOARD 0.082 **
(0.035)
Shrhfd −0.836 ***
(0.133)
CS −5.038 ***
(1.274)
Deficit 0.980
(0.657)
PREGDP 0.460 **
(0.192)
FirmFEYesYes
YearFEYesYes
IndFEYesYes
N35,90435,904
Adj. R20.78890.7933
Note: ** and *** represent significance at the levels of 5% and 1% respectively, and the T value after standard error processing is shown in brackets.
Table 4. Endogeneity test.
Table 4. Endogeneity test.
VariablesPSM-DIDIV Approach
(1)(2)(3)(4)
First StageSecond Stage
DCGDCGDGovDCG
DGov0.086 ***0.087 *** 0.020 ***
(0.023)(0.023) (0.227)
IV −1.532 ***
(0.057)
ControlYesYesYesYes
Firm/Year/Ind FENoYesYesYes
N35,89935,89935,89135,891
Adj. R2/Centered R20.78870.7931-−0.0517
K-P rk LM--643.603 *** (0.000)643.603 *** (0.000)
K-P rk Wald F--701.787 (16.38)720.279 (16.38)
Note: *** represent significance at the level of 1%, and the T value after standard error processing is shown in brackets.
Table 5. Robustness test.
Table 5. Robustness test.
VariablesReplace Dependent VariableReplace Independent VariableIndependent Variable Lagged by One Period
(1)(2)(3)(4)(5)(6)
LnDCGLnDCGDCGDCGLDCGLDCG
DGov0.053 ***0.051 *** 0.056 **0.067 ***
(0.015)(0.015) (0.025)(0.025)
DGov2 0.247 ***0.212 ***
(0.028)(0.028)
ControlNoYesNoYesNoYes
Firm/Year/Ind FEYesYesYesYesYesYes
N35,90435,90435,90435,90430,27430,274
Adj. R20.77930.78590.78940.79360.77970.7841
Note: ** and *** represent significance at the levels of 5% and 1% respectively, and the T value after standard error processing is shown in brackets.
Table 6. Mechanism test: regional business environment.
Table 6. Mechanism test: regional business environment.
VariablesRegional Business EnvironmentInformation Search Costs
(1)(2)(3)(4)
BEDCGICDCG
DGov0.186 ***0.084 ***0.007 ***0.087 ***
(0.024)(0.023)(0.002)(0.023)
BE 0.015 ***
(0.005)
IC −0.090 *
(0.051)
ControlYesYesYesYes
Firm/Year/Ind FEYesYesYesYes
N35,90435,90435,90435,904
Adj. R20.95750.79340.98670.8207
Sobel-Z2.811 ***−1.982 **
Bootstrap (indirect impact) [0.0027024, 0.009156][−0.0010811, −0.0002017]
Note: *, **, *** represent significant at the levels of 10%, 5% and 1% respectively, and the T value after standard error processing is shown in brackets.
Table 7. Heterogeneity analysis.
Table 7. Heterogeneity analysis.
VariablesUrban Area LocationUrban Administrative LevelUrban Economic Development
(1)(2)(3)(4)(5)(6)(7)
East CitiesCentral CitiesWestern CitiesProvincial CapitalsNon-Provincial CapitalsHigh-GDP CitiesLow-GDP Cities
DGov0.0390.093 **0.138 **0.095 ***0.0700.0510.127 ***
(0.030)(0.041)(0.056)(0.024)(0.080)(0.057)(0.024)
ControlYesYesYesYesYesYesYes
Stkcd/Year/Indcd FEYesYesYesYesYesYesYes
N24,4875887388427,434847013,34422,481
Adj. R20.79590.75440.77390.77190.82030.81740.7546
Note: ** and *** represent significance at the levels of 5% and 1% respectively, and the T value after standard error processing is shown in brackets.
Table 8. Economic consequences: the level of economic sustainable development of cities.
Table 8. Economic consequences: the level of economic sustainable development of cities.
Variables(1)(2)(3)
ESDDCG_AESD
DGov0.0167 ***0.0866 ***0.0166 ***
(0.0015)(0.0228)(0.0015)
DCG_A 0.0012 ***
(0.0004)
ControlYesYesYes
Stkcd/Year/Indcd EFYesYesYes
N35,90435,90435,904
Adj. R20.74430.79330.7444
Sobel-Z3.812 ***
Bootstrap (indirect impact)[0.0000578, 0.0001282]
Note: *** represent significance at the level of 1%, and the T value after standard error processing is shown in brackets.
Disclaimer/Publisher’s Note: The statements, opinions and data contained in all publications are solely those of the individual author(s) and contributor(s) and not of MDPI and/or the editor(s). MDPI and/or the editor(s) disclaim responsibility for any injury to people or property resulting from any ideas, methods, instructions or products referred to in the content.

Share and Cite

MDPI and ACS Style

Li, H.; Xu, J. Impact of Digital Government on Digital Transformation of Enterprises from the Perspective of Urban Economic Sustainable Development. Sustainability 2024, 16, 2667. https://doi.org/10.3390/su16072667

AMA Style

Li H, Xu J. Impact of Digital Government on Digital Transformation of Enterprises from the Perspective of Urban Economic Sustainable Development. Sustainability. 2024; 16(7):2667. https://doi.org/10.3390/su16072667

Chicago/Turabian Style

Li, Hui, and Jiaqiang Xu. 2024. "Impact of Digital Government on Digital Transformation of Enterprises from the Perspective of Urban Economic Sustainable Development" Sustainability 16, no. 7: 2667. https://doi.org/10.3390/su16072667

APA Style

Li, H., & Xu, J. (2024). Impact of Digital Government on Digital Transformation of Enterprises from the Perspective of Urban Economic Sustainable Development. Sustainability, 16(7), 2667. https://doi.org/10.3390/su16072667

Note that from the first issue of 2016, this journal uses article numbers instead of page numbers. See further details here.

Article Metrics

Back to TopTop