Development and Testing of NDIR-Based Rapid Greenhouse Gas Detection Device for Dairy Farms
Abstract
1. Introduction
2. Materials and Methods
2.1. Non-Dispersive Infrared Spectroscopy
2.2. Algorithmic Principles
2.3. Device Development
2.3.1. Integral Devices
2.3.2. Greenhouse Gas Detection Devices
2.3.3. Gas Detection Module
2.4. Device Integration and Calibration Experiments
2.4.1. Device Integration
2.4.2. Experimental Platform Construction
- (1)
- Suspend data reading from the upper computer.
- (2)
- Save the data on the host computer, then clear the read data.
- (3)
- Turn on the upper computer to resume data reading while setting the gas distribution meter to pure nitrogen mode to purge the chamber.
- (4)
- Adjust the ratio of the gas under measurement and nitrogen concentration on the gas meter based on the desired concentration for the second measurement.
- (5)
- Repeat steps 1 and 2 once the upper computer readings have stabilized.
2.4.3. Zero Calibration
2.4.4. Methane Calibration
2.4.5. Nitrous Oxide Calibration
2.4.6. Carbon Dioxide Calibration
3. Results
3.1. Zero Calibration Results
3.2. Results of Cross-Interference Correction
- (1)
- Figure 11 illustrates the variations of ΔU(CO2/REF) and ΔU(N2O/REF) with respect to the CH4 concentration during the calibration process of CH4. The respective linear fitting equations are presented in Equations (12) and (13).
- (2)
- Figure 12 clearly illustrates the variations in ΔU(CH4/REF) and ΔU(CO2/REF) with respect to the N2O concentration during the calibration of N2O. The respective linear fitting equations are provided in Equations (14) and (15).
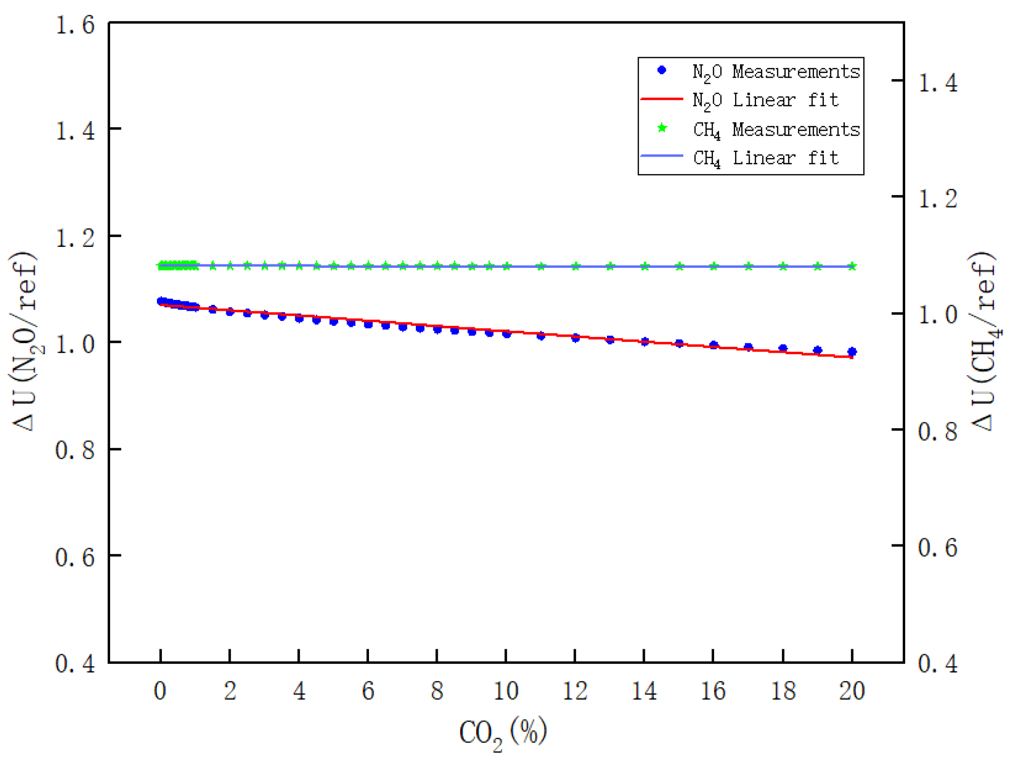
- (3)
- Figure 13 clearly illustrates the variations in ΔU(CH4/REF) and ΔU(N2O/REF) with respect to the CO2 concentration during the calibration of CO2. The respective linear fitting equations are provided in Equations (16) and (17).
3.3. Measurement Results of Greenhouse Gas Detection Device Parameters
3.3.1. Relative Error Measurement Results
3.3.2. Repeatability Measurement Results
3.3.3. Stability Measurements
3.3.4. Response Time Measurement Results
3.4. Results of Greenhouse Gas Testing at Dairy Farm
4. Discussion
4.1. Comparison of Related Studies
4.2. Error Analysis
- (1)
- The concentration ranges of methane and nitrous oxide are very small, the configuration of gas concentrations is not guaranteed to be 100% accurate, and there may be some errors compared to the true concentrations. This is mainly due to the limitations of the existing technology, and there is a certain precision deviation in the gas distribution instrument storage itself.
- (2)
- The three-gas concentration models calibrated based on the least-squares method do not reach 100% accuracy. They also produce errors, mainly due to the limited number of samples, and all of them only use linear fitting to calculate the cross-interference coefficients between the channels.
- (3)
- The concentration of the configured standard gas is not continuous, but there is a gradient, so the limited number of samples may also contribute to the error.
- (4)
- Due to the limitations of the existing technology, the transmittance of the filter for the gas to be measured is not 100%, which leads to certain errors in the light intensity received by the detector, which in turn leads to errors in the electrical signal and the measurement results.
- (5)
- Errors are caused by external environmental disturbances during on-site testing and lack of professionalism in operation.
4.3. Farm Use
5. Conclusions
Author Contributions
Funding
Institutional Review Board Statement
Informed Consent Statement
Data Availability Statement
Conflicts of Interest
References
- Mikhaylov, A.; Moiseev, N.; Aleshin, K.; Burkhardt, T. Global climate change and greenhouse effect. Entrep. Sustain. Issues 2020, 7, 2897. [Google Scholar] [CrossRef] [PubMed]
- Gills, B.; Morgan, J. Global climate emergency: After COP24, climate science, urgency, and the threat to humanity. In Economics and Climate Emergency; Routledge: London, UK, 2022; pp. 253–270. [Google Scholar]
- Lacasta, N.S.; Dessai, S.; Kracht, E.; Vincent, K. Articulating a consensus: The EU’s position on climate change. In Europe and Global Climate Change: Politics, Foreign Policy and Regional Cooperation; Edward Elgar: Cheltenham, UK, 2007; pp. 211–231. [Google Scholar] [CrossRef]
- Liu, L.; Wang, X.; Wang, Z. Recent progress and emerging strategies for carbon peak and carbon neutrality in China. Greenh. Gases Sci. Technol. 2023, 17, 732–759. [Google Scholar] [CrossRef]
- Rivera, J.E.; Chará, J. CH4 and N2O emissions from cattle excreta: A review of main drivers and mitigation strategies in grazing systems. Front. Sustain. Food Syst. 2021, 5, 657936. [Google Scholar] [CrossRef]
- Wattiaux, M.; Uddin, M.; Letelier, P.; Jackson, R.; Larson, R. Invited Review: Emission and mitigation of greenhouse gases from dairy farms: The cow, the manure, and the field. Appl. Anim. Sci. 2019, 35, 238–254. [Google Scholar] [CrossRef]
- Joo, H.; Ndegwa, P.; Heber, A.; Ni, J.-Q.; Bogan, B.; Ramirez-Dorronsoro, J.; Cortus, E. Greenhouse gas emissions from naturally ventilated freestall dairy barns. Atmos. Environ. 2015, 102, 384–392. [Google Scholar] [CrossRef]
- Jia, L.; Cheng, P.; Yu, Y.; Chen, S.-H.; Wang, C.-X.; He, L.; Nie, H.-T.; Wang, J.-C.; Zhang, J.-C.; Fan, B.-G. Regeneration mechanism of a novel high-performance biochar mercury adsorbent directionally modified by multimetal multilayer loading. J. Environ. Manag. 2023, 326, 116790. [Google Scholar] [CrossRef]
- Barrancos, J.; Briz, S.; Nolasco, D.; Melián, G.; Padilla, G.; Padrón, E.; Fernández, I.; Pérez, N.; Hernández, P.A. A new method for estimating greenhouse gases and ammonia emissions from livestock buildings. Atmos. Environ. 2013, 74, 10–17. [Google Scholar] [CrossRef]
- D’Urso, P.R.; Arcidiacono, C. Effect of the milking frequency on the concentrations of ammonia and greenhouse gases within an open dairy barn in hot climate conditions. Sustainability 2021, 13, 9235. [Google Scholar] [CrossRef]
- Ngwabie, N.; Jeppsson, K.-H.; Nimmermark, S.; Swensson, C.; Gustafsson, G. Multi-location measurements of greenhouse gases and emission rates of methane and ammonia from a naturally-ventilated barn for dairy cows. Biosyst. Eng. 2009, 103, 68–77. [Google Scholar] [CrossRef]
- Dobrokhotov, V.; Larin, A. Multisensory gas chromatography for field analysis of complex gaseous mixtures. ChemEngineering 2019, 3, 13. [Google Scholar] [CrossRef]
- Saxena, P.; Shukla, P. A review on recent developments and advances in environmental gas sensors to monitor toxic gas pollutants. Environ. Prog. Sustain. Energy 2023, 42, e14126. [Google Scholar] [CrossRef]
- Xu, M.; Xu, Y.; Tao, J.; Wen, L.; Zheng, C.; Yu, Z.; He, S. Development of a compact NDIR CO2 gas sensor for harsh environments. Infrared Phys. Technol. 2024, 136, 105035. [Google Scholar] [CrossRef]
- Fu, L.; You, S.; Li, G.; Fan, Z. Enhancing methane sensing with NDIR technology: Current trends and future prospects. Rev. Anal. Chem. 2023, 42, 20230062. [Google Scholar] [CrossRef]
- Sun, Q.; Liu, T.; Yu, X.; Huang, M. Non-interference NDIR detection method for mixed gases based on differential elimination. Sens. Actuators B Chem. 2023, 390, 133901. [Google Scholar] [CrossRef]
- Qin, Z.; Huang, H.; Lin, K.; Tang, Y.; Tang, J. NDIR-based low-cost integrated three-component gas detection system. In Proceedings of the 2023 2nd International Symposium on Sensor Technology and Control (ISSTC), Baoding, China, 4–6 August 2023; pp. 63–68. [Google Scholar]
- Liang, J.-G.; Jiang, Y.; Wu, J.-K.; Wang, C.; von Gratowski, S.; Gu, X.; Pan, L. Multiplex-Gas Detection based on Non-Dispersive Infrared Technique: A Review. Sens. Actuators A Phys. 2023, 356, 114318. [Google Scholar] [CrossRef]
- de Hoyos-Vazquez, F.; Carreno-de Leon, M.; Serrano-Nunez, E.; Flores-Alamo, N.; Ríos, M.S. Development of a novel non-dispersive infrared multi sensor for measurement of gases in sediments. Sens. Actuators B Chem. 2019, 288, 486–492. [Google Scholar] [CrossRef]
- Xie, J.; Zhang, Y.L.; Yuan, Y.F. Research of Weak Signal Processing Circuit Based on Non-Dispersive Infrared Automobile Exhaust Sensor. In Proceedings of the Applied Mechanics and Materials, Guangzhou, China, 13–14 April 2013; pp. 163–167. [Google Scholar]
- Tan, Q.; Tang, L.; Yang, M.; Xue, C.; Zhang, W.; Liu, J.; Xiong, J. Three-gas detection system with IR optical sensor based on NDIR technology. Opt. Lasers Eng. 2015, 74, 103–108. [Google Scholar] [CrossRef]
- Wang, H.; Wang, J.; Ma, X.; Chen, W.; Chen, D.; Li, Q. Note: A NDIR instrument for multicomponent gas detection using the galvanometer modulation. Rev. Sci. Instrum. 2017, 88, 116103. [Google Scholar] [CrossRef]
- Dong, M.; Zheng, C.; Miao, S.; Zhang, Y.; Du, Q.; Wang, Y.; Tittel, F.K. Development and measurements of a mid-infrared multi-gas sensor system for CO, CO2 and CH4 detection. Sensors 2017, 17, 2221. [Google Scholar] [CrossRef]
- Xu, M.; Peng, B.; Zhu, X.; Guo, Y.J.S. Multi-Gas Detection System Based on Non-Dispersive Infrared (NDIR) Spectral Technology. Sensors 2022, 22, 836. [Google Scholar] [CrossRef]
- Wu, W.; Zhang, G.; Kai, P. Ammonia and methane emissions from two naturally ventilated dairy cattle buildings and the influence of climatic factors on ammonia emissions. Atmos. Environ. 2012, 61, 232–243. [Google Scholar] [CrossRef]
- Ngwabie, N.; Jeppsson, K.-H.; Gustafsson, G.; Nimmermark, S. Effects of animal activity and air temperature on methane and ammonia emissions from a naturally ventilated building for dairy cows. Atmos. Environ. 2011, 45, 6760–6768. [Google Scholar] [CrossRef]
- Ngwabie, N.M.; Vanderzaag, A.; Jayasundara, S.; Wagner-Riddle, C. Measurements of emission factors from a naturally ventilated commercial barn for dairy cows in a cold climate. Biosyst. Eng. 2014, 127, 103–114. [Google Scholar] [CrossRef]
- Li, G.-L.; Yan, Z.; Song, N.; Dong, M.; Ye, W.-L.; Zheng, C.-T.; Wang, Y.-D. Design and Performances of a Carbon Monoxide Sensor Using Mid-Infrared Absorption Spectroscopy Technique at 4.6 µm. Spectrosc. Lett. 2015, 48, 454–461. [Google Scholar] [CrossRef]
- Wong, J.Y.; Anderson, R.L. Non-Dispersive Infrared Gas Measurement; Lulu.com: Morrisville, NC, USA, 2012. [Google Scholar]
- Crawley, L.H. Application of Non-Dispersive Infrared (NDIR) Spectroscopy to the Measurement of Atmospheric Trace Gases. Gp General Practitioner. Master’s Thesis, University of Canterbury, Christchurch, New Zealand, 2008. [Google Scholar] [CrossRef]
- Stutz, J.; Platt, U. Improving long-path differential optical absorption spectroscopy with a quartz-fiber mode mixer. Appl. Opt. 1997, 36, 1105–1115. [Google Scholar] [CrossRef]
- Björck, Å. Least squares methods. Handb. Numer. Anal. 1990, 1, 465–652. [Google Scholar] [CrossRef]


















| Target Gas | Central Wavelength (nm) | Half-Power Bandwidth (nm) |
|---|---|---|
| CH4 | 3300 | 160 |
| CO2 | 4260 | 180 |
| N2O | 4530 | 85 |
| Reference | 3910 | 90 |
| System Parameter | K0(CH4) | K0(CO2) | K0(N2O) |
|---|---|---|---|
| Values | 1.0785 | 0.9895 | 1.0818 |
| Cr (ppm) | Cm (ppm) | δ | ||||||
|---|---|---|---|---|---|---|---|---|
| CH4 | CO2 | N2O | CH4 | CO2 | N2O | CH4 | CO2 | N2O |
| 20 | 5000 | 300 | 19.93 | 5040.92 | 295.95 | −0.07% | 0.02% | −0.81% |
| 20 | 10,000 | 80 | 19.93 | 10,466.17 | 78.39 | −0.07% | 0.23% | −0.32% |
| 20 | 20,000 | 200 | 19.89 | 19,199.95 | 197.30 | −0.11% | −0.40% | −0.54% |
| 40 | 5000 | 80 | 40.51 | 5041.22 | 78.42 | 0.51% | 0.02% | −0.32% |
| 40 | 10,000 | 200 | 40.67 | 10,513.45 | 197.41 | 0.67% | 0.26% | −0.52% |
| 40 | 20,000 | 300 | 40.77 | 19,199.20 | 295.98 | 0.77% | −0.40% | −0.80% |
| 60 | 5000 | 200 | 59.66 | 5041.51 | 197.38 | −0.34% | 0.02% | −0.52% |
| 60 | 10,000 | 300 | 59.92 | 10,502.15 | 296.08 | −0.08% | 0.25% | −0.78% |
| 60 | 20,000 | 80 | 60.09 | 19,203.54 | 78.40 | 0.09% | −0.40% | −0.32% |
| Gas | Cr | Cm (ppm) | σ | Cv | |||||
|---|---|---|---|---|---|---|---|---|---|
| CH4 (ppm) | 20.00 | 19.80 | 19.82 | 19.83 | 19.84 | 19.88 | 19.90 | 0.0778 | 0.39% |
| 19.92 | 19.90 | 19.96 | 20.02 | 20.03 | |||||
| CO2 (ppm) | 10,000.00 | 10,514.66 | 10,514.66 | 10,516.83 | 10,517.20 | 10,516.29 | 10,516.25 | 0.8360 | 0.01% |
| 10,516.49 | 10,516.62 | 10,516.29 | 10,516.62 | 10,516.85 | |||||
| N2O (ppm) | 160.00 | 158.08 | 158.10 | 158.12 | 158.12 | 158.12 | 158.12 | 0.0189 | 0.01% |
| 158.12 | 158.14 | 158.14 | 158.14 | 158.14 | |||||
| Gas | Cr | Cm | σ | Cv | |||||
|---|---|---|---|---|---|---|---|---|---|
| CH4 (ppm) | 50.00 | 49.90 | 49.93 | 49.96 | 50.01 | 50.05 | 50.07 | 0.1040 | 0.21% |
| 50.11 | 50.17 | 50.18 | 50.18 | 50.16 | |||||
| CO2 (ppm) | 20,000.00 | 19,204.09 | 19,204.68 | 19,206.57 | 19,206.57 | 19,209.88 | 19,208.55 | 2.6670 | 0.01% |
| 19,209.95 | 19,209.95 | 19,210.80 | 19,211.98 | 19,210.98 | |||||
| N2O (ppm) | 100.00 | 96.87 | 96.87 | 96.88 | 96.89 | 96.90 | 96.90 | 0.0247 | 0.03% |
| 96.90 | 96.90 | 96.92 | 96.93 | 96.95 | |||||
| Gas | Cr | Cm | σ | Cv | |||||
|---|---|---|---|---|---|---|---|---|---|
| CH4 (ppm) | 70.00 | 70.08 | 70.00 | 70.04 | 70.09 | 70.11 | 70.10 | 0.0474 | 0.07% |
| 70.09 | 70.15 | 70.15 | 70.14 | 70.14 | |||||
| CO2 (ppm) | 5000.00 | 5038.84 | 5038.95 | 5034.49 | 5034.49 | 5034.72 | 5035.89 | 1.6514 | 0.03% |
| 5034.72 | 5034.92 | 5035.41 | 5035.41 | 5036.96 | |||||
| N2O (ppm) | 60.00 | 60.13 | 60.13 | 60.13 | 60.13 | 60.14 | 60.13 | 0.0112 | 0.02% |
| 60.14 | 60.12 | 60.11 | 60.11 | 60.11 | |||||
| Gas | Cr | Cm | δs | ||||||||||
|---|---|---|---|---|---|---|---|---|---|---|---|---|---|
| 2 h | 4 h | 6 h | 8 h | 10 h | 12 h | 14 h | 16 h | 18 h | 20 h | ||||
| CH4 (ppm) | 50.00 | 50.21 | 50.22 | 50.25 | 50.26 | 50.24 | 50.21 | 50.13 | 50.10 | 50.06 | 50.04 | 50.17 | 0.26% |
| CO2 (ppm) | 20,000.00 | 19,211.49 | 19,211.49 | 19,210.93 | 19,210.77 | 19,210.77 | 19,209.64 | 19,209.14 | 19,209.14 | 19,208.87 | 19,208.87 | 19,210.11 | −0.40% |
| N2O (ppm) | 100.00 | 96.97 | 96.99 | 97.00 | 97.02 | 97.03 | 97.04 | 97.05 | 97.06 | 97.08 | 97.09 | 97.03 | −0.61% |
| Target Gas | The Range of Concentration | Accuracy (%) | Response Time (s) | Application Scenarios | Reference |
|---|---|---|---|---|---|
| CH4 | 0~100 ppm | 0.81 | 10 | dairy farm | This work |
| CO2 | 0~20% | ||||
| N2O | 0~500 ppm | ||||
| CH4 | 0~5% | - | - | All | [21] |
| CO2 | 0~4.8% | ||||
| CO | 0~4.45% | ||||
| C3H8 | 0~5000 ppm | 3.5 | 11 | automobile exhaust gases | [24] |
| CO2 | 0~20% | ||||
| CO | 0~14% | ||||
| CO2 | 0~5000 ppm | - | 8 | All | [16] |
| CH4 | 0~3000 ppm | ||||
| CO2 | 0~100% | 0.255 | - | Sediment pollution | [19] |
| CH4 | 1.15 |
| Detection Technology | Target Gas | Detection Method | Reference |
|---|---|---|---|
| NDIR | CH4 | Movable | This work |
| CO2 | |||
| N2O | |||
| OP-FTIR | CH4 | Fixed | [9] |
| CO2 | |||
| N2O | |||
| Photoacoustic spectroscopy | CH4 | Fixed | [10] |
| CO2 | |||
| N2O | |||
| Photoacoustic spectroscopy | CH4 | Fixed | [7] |
| CO2 | |||
| N2O | |||
| Photoacoustic spectroscopy | CH4 | Fixed | [11] |
| CO2 | |||
| N2O |
Disclaimer/Publisher’s Note: The statements, opinions and data contained in all publications are solely those of the individual author(s) and contributor(s) and not of MDPI and/or the editor(s). MDPI and/or the editor(s) disclaim responsibility for any injury to people or property resulting from any ideas, methods, instructions or products referred to in the content. |
© 2024 by the authors. Licensee MDPI, Basel, Switzerland. This article is an open access article distributed under the terms and conditions of the Creative Commons Attribution (CC BY) license (https://creativecommons.org/licenses/by/4.0/).
Share and Cite
Li, Q.; He, Y.; Zhao, K.; Ji, J.; Li, H.; Bewley, J.M. Development and Testing of NDIR-Based Rapid Greenhouse Gas Detection Device for Dairy Farms. Sustainability 2024, 16, 2131. https://doi.org/10.3390/su16052131
Li Q, He Y, Zhao K, Ji J, Li H, Bewley JM. Development and Testing of NDIR-Based Rapid Greenhouse Gas Detection Device for Dairy Farms. Sustainability. 2024; 16(5):2131. https://doi.org/10.3390/su16052131
Chicago/Turabian StyleLi, Qianwen, Yongkang He, Kaixuan Zhao, Jiangtao Ji, Hongzhen Li, and Jeffrey M. Bewley. 2024. "Development and Testing of NDIR-Based Rapid Greenhouse Gas Detection Device for Dairy Farms" Sustainability 16, no. 5: 2131. https://doi.org/10.3390/su16052131
APA StyleLi, Q., He, Y., Zhao, K., Ji, J., Li, H., & Bewley, J. M. (2024). Development and Testing of NDIR-Based Rapid Greenhouse Gas Detection Device for Dairy Farms. Sustainability, 16(5), 2131. https://doi.org/10.3390/su16052131

