Numerical Simulations of Failure Mechanism for Silty Clay Slopes in Seasonally Frozen Ground
Abstract
1. Introduction
2. Finite Element Modeling of Slopes
2.1. Theoretical Governing Equations of Hydrothermal Coupling Research
2.1.1. Controlling Equations for the Seepage Field
2.1.2. Controlling Equations for the Temperature Field
2.2. Geometric Modeling and Meshing
2.3. Model Parameter
2.4. Validation of the Correctness of the Numerical Simulation Method
2.5. Boundary and Initial Conditions
3. Simulation Results and Analysis
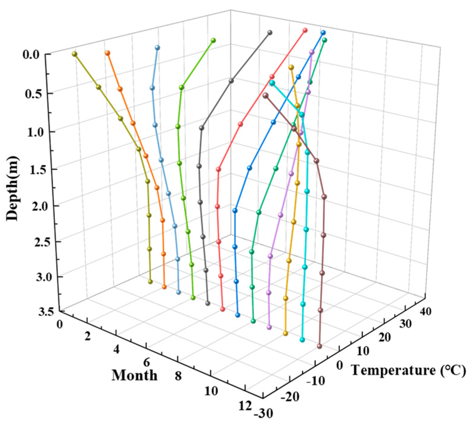
3.1. Temperature Variations under F–T Conditions
3.2. Moisture Variations under F–T Conditions
3.3. Stress Variations under F–T Conditions
3.4. Analysis of Shallow Melt–Slip Mechanisms on Slopes
4. Conclusions
- (1)
- Suibei Expressway’s slope’s initial freezing period was in the month of October. The initial period of thawing took place the month of February, with the temperature rising. In the thawing stage of the soil body, the F–T of the interface will gradually decrease. In the whole process of the slope soil being subjected to F–T, the external ambient temperature has a greater impact on the shallow soil layer of the slope, and a smaller impact on the deep soil layer.
- (2)
- In the spring thawing stage, the shallow soil layer of the slope starts to thaw, but the deep soil layer is not yet thawed, due to the low permeability coefficient of the low liquid limit powdery clay which will prevent the upper layer of water from migrating downward, so it will result in the accumulation of water in the shallow layer of the slope, which will lead to the thawing and sliding phenomenon of the slope.
- (3)
- In the seasonal freezing area of powdery clay road graben slopes, in the spring thaw period after destabilization a sliding surface will form, resulting in the phenomenon of thaw–slip slopes. The sliding surface is not the same as the traditional arc sliding surface because it is a straight-folding-line-type sliding surface. The plastic deformation area of the slope soil is also concentrated in the surface layer of the slope, and the slope melt–slip is actually the processes of the melting and sliding of the shallow slope.
Author Contributions
Funding
Data Availability Statement
Conflicts of Interest
References
- Zhu, Z.Y.; Ling, X.Z.; Wang, Z.Y.; Lu, Q.R.; Chen, S.J.; Zou, Z.Y.; Guo, Z.H. Experimental investigation of the dynamic behavior of frozen clay from the Beiluhe subgrade along the QTR. Cold Reg. Sci. Technol. 2011, 69, 91–97. [Google Scholar] [CrossRef]
- Tang, Y.Q.; Zhou, J.; Hong, J.; Yang, P.; Wang, J.X. Quantitative analysis of the microstructure of Shanghai muddy clay before and after freezing. Bull. Eng. Geol. Environ. 2012, 71, 309–316. [Google Scholar] [CrossRef]
- Ling, X.Z.; Zhang, F.; Li, Q.L.; An, L.S.; Wang, J.H. Dynamic shear modulus and damping ratio of frozen compacted sand subjected to freeze–thaw cycle under multi-stage cyclic loading. Soil Dyn. Earthq. Eng. 2015, 76, 111–121. [Google Scholar] [CrossRef]
- Lv, Y.; Wang, H.; Gu, C. Study of shear strength of silty clay under freeze-thaw cycle. In Proceedings of the International Conference on Advances in Civil Engineering, Energy Resources and Environment Engineering (ACCESE), Jilin, China, 28–30 June 2019; p. 330. [Google Scholar]
- Chen, H.; Guo, H.; Yuan, X.; Chen, Y.; Sun, C. Effect of Temperature on the Strength Characteristics of Unsaturated Silty Clay in Seasonal Frozen Region. KSCE J. Civ. Eng. 2020, 24, 2610–2620. [Google Scholar] [CrossRef]
- Hu, T.; Liu, D.; Wu, H. Experimental Testing and Numerical Modelling of Mechanical Behaviors of Silty Clay under Freezing-Thawing Cycles. Math. Probl. Eng. 2020, 2020, 1–13. [Google Scholar] [CrossRef]
- Chen, H.; Zhen, D. Quantitative Analysis of the Microstructures of Deep Silty Clay Subjected to Two Freezing–Thawing Cycles under Subway Vibration Loading. J. Cold Reg. Eng. 2021, 35, 452. [Google Scholar]
- Wenjun, Z.; Qingzhi, W.; Jianhong, F.; Kejin, W.; Xiangqing, Z. Study of the Mechanical and Microscopic Properties of Modified Silty Clay under Freeze-Thaw Cycles. Geofluids 2022, 2022, 3–7. [Google Scholar] [CrossRef]
- Xu, W.; Wang, X. Effect of Freeze-Thaw Cycles on Mechanical Strength and Microstructure of Silty Clay in the Qinghai-Tibet Plateau. J. Cold Reg. Eng. 2022, 36, 04021018. [Google Scholar] [CrossRef]
- Song, C.; Qi, J.; Liu, F. Influence of F-T on the mechanical properties of loess in Lanzhou. Geotechnics 2008, 29, 1077–1080. [Google Scholar]
- Wang, X.; Yang, P.; Wang, H.; Dai, H. Experimental study on effects of freezing and thawing on mechanical properties of clay. J. Geotech. Eng. 2009, 31, 1768–1772. [Google Scholar]
- Qi, J.; Ma, W. Mechanical properties of permafrost and current research status. Geotechnics 2010, 31, 133–143. [Google Scholar]
- Chang, D.; Liu, J.; Li, X.; Yu, Q. Experimental study on the effect of freeze-thaw cycle on the mechanical properties of Qinghai-Tibetan silt sandy soil. J. Rock Mech. Eng. 2014, 33, 1496–1502. [Google Scholar]
- Zheng, Y.; Ma, W.; Bing, H. Experimental study on the effect of freeze-thaw cycle on soil structural properties and analysis of the influence mechanism. Geotechnics 2015, 36, 1282–1287+1294. [Google Scholar]
- Hu, T.; Liu, J.; Fang, J.; Chang, D.; Liu, D. Experimental study on the effect of cooling temperature on mechanical properties of pulverized clay under freeze-thaw cycle. J. Rock Mech. Eng. 2017, 36, 1757–1767. [Google Scholar]
- Rogers, N.W.; Selby, M.J. Mechanisms of shallow translational landsliding during summer rainstorms: North Island, New Zealand. Geogr. Ann. Ser. A Phys. Geogr. 1980, 62, 11–21. [Google Scholar] [CrossRef]
- Lim, T.T.; Rahardjo, H.; Chang, M.F.; Fredlund, D.G. Effect of rainfall on matric suctions in a residual soil slope. Can. Geotech. J. 1996, 33, 618–628. [Google Scholar] [CrossRef]
- Pasuto, A.; Silvano, S. Rainfall as a trigger of shallow mass movements. A case study in the Dolomites, Italy. Environ. Geol. 1998, 35, 184–189. [Google Scholar] [CrossRef]
- Eigenbrod, K.D.; Kaluza, D. Shallow slope failures in clays as a result of decreased evapotranspiration subsequent to forest clearing. Can. Geotech. J. 1999, 36, 111–118. [Google Scholar] [CrossRef]
- Shakoor, A.; Smithmyer, A.J. An analysis of storm-induced landslides in colluvial soils overlying mudrock sequences, southeastern Ohio, USA. Eng. Geol. 2005, 78, 257–274. [Google Scholar] [CrossRef]
- Gullà, G.; Niceforo, D.; Ferraina, G.; Aceto, I.; Antronico, L. Monitoring station of soil slips in a representative area of Calabria (Italy). In Proceedings of the IX International Symposium on Landslides, Rio De Janeiro, Brazil, 28 June–2 July 2004; Volume 28, pp. 591–596. [Google Scholar]
- Claessens, L.; Schoorl, J.M.; Veldkamp, A. Modelling the location of shallow landslides and their effects on landscape dynamics in large watersheds: An application for Northern New Zealand. Geomorphology 2007, 87, 16–27. [Google Scholar] [CrossRef]
- Dahal, R.K.; Hasegawa, S.; Nonomura, A.; Yamanaka, M.; Masuda, T.; Nishino, K. Failure characteristics of rainfall-induced shallow landslides in granitic terrains of Shikoku Island of Japan. Environ. Geol. 2009, 56, 1295–1310. [Google Scholar] [CrossRef]
- Van Asch TW, J.; Buma, J.; Van Beek, L.P.H. A view on some hydrological triggering systems in landslides. Geomorphology 1999, 30, 25–32. [Google Scholar] [CrossRef]
- Heilongjiang Cold Land Building Science Research Institute. JGJ 118-2011; Design specification for foundation of building in tundra area; China Construction Industry Press: Beijing, China, 2012. [Google Scholar]
- Xu, X.; Wang, J.; Zhang, L. Physics of Permafrost; Science Press: Beijing, China, 2001. [Google Scholar]
- Cui, Y.; Yang, Z.; Shi, W.; Ling, X.; Tu, Z. Experimental study on one-dimensional soil column modeling of unsaturated expansive soil under freeze-thaw cycle. J. Xi’an Univ. Archit. Technol. 2021, 53, 393–403. [Google Scholar]
- Zhang, Y. Study on the Stability of High-speed Railway Roadbed in Deep Seasonal Freezing Soil Area. Ph.D. Thesis, Beijing Jiaotong University, Beijing, China, 2015; p. 193. [Google Scholar]
- Lin, B. Research on Mechanical Properties of Freeze-Thaw Clay and Permanent Deformation of Roadbed in Seasonal Freezing Zone; Harbin Institute of Technology: Harbin, China, 2019; p. 214. [Google Scholar]













| First Author/Year of Publication | Research Area | Type of Landslide |
|---|---|---|
| Rogers 1980 | North island | Slide |
| Lim 1996 | - | Earth flow |
| Pasuto 1998 | Veneto | Soil slip |
| Eigenbrod 1999 | Ontario | Shallow translational and rotational |
| Shakoora 2005 | Ohio | Shallow translational and rotational |
| Gullà 2004 | Calabria | Soil slip |
| Claessens 2007 | North island | Earth flow |
| Dahal 2009 | Shikoku island | Shallow landslides |
| van Asch 2009 | Emilia-Romagna | Soil slip |
| Parameter | Notation | Numerical Value |
|---|---|---|
| Specific heat capacity of liquid water | cl | 4.18 kJ/(kg·K) |
| Specific heat capacity of ice | ci | 2.09 kJ/(kg·K) |
| Thermal conductivity of water | λl | 0.58 W/(m·K) |
| Thermal conductivity of ice | λi | 2.32 W/(m·K) |
| Latent heat of ice–water phase transition | L | 334.5 kJ/kg |
| Density of ice | ρi | 900 kg/m3 |
| Density of water | ρl | 1000 kg/m3 |
| Soil density | ρs | 1550 kg/m3 |
| VG model parameters | n | 4.2 |
| VG model parameters | m | 0.76 |
| VG model parameters | a0 | 0.02 |
| Ice content factor | a | 0.5 |
| Pore ice impedance factor | w | 5 |
| Saturated volumetric water content of soil | θm | 0.45 |
| Soil residual volumetric water content | θn | 0.04 |
| Saturated coefficient of permeability of soil | ks | 1 × 10−7 m/s |
| Specific heat capacity of frozen soil skeleton | csf | 0.53 kJ/(kg·K) |
| Specific heat capacity of the soil melting skeleton | csu | 0.76 kJ/(kg·K) |
| Thermal conductivity of soil skeleton | λs | 1.95 W/(m·K) |
| Freezing temperature of the soil | Tf | −0.54 [°C] |
| Young’s modulus of soil | E | 25 [MPa] |
| Poisson’s ratio of soil | υ | 0.3 |
Disclaimer/Publisher’s Note: The statements, opinions and data contained in all publications are solely those of the individual author(s) and contributor(s) and not of MDPI and/or the editor(s). MDPI and/or the editor(s) disclaim responsibility for any injury to people or property resulting from any ideas, methods, instructions or products referred to in the content. |
© 2024 by the authors. Licensee MDPI, Basel, Switzerland. This article is an open access article distributed under the terms and conditions of the Creative Commons Attribution (CC BY) license (https://creativecommons.org/licenses/by/4.0/).
Share and Cite
Ma, Z.; Lin, C.; Zhao, H.; Yin, K.; Feng, D.; Zhang, F.; Guan, C. Numerical Simulations of Failure Mechanism for Silty Clay Slopes in Seasonally Frozen Ground. Sustainability 2024, 16, 1623. https://doi.org/10.3390/su16041623
Ma Z, Lin C, Zhao H, Yin K, Feng D, Zhang F, Guan C. Numerical Simulations of Failure Mechanism for Silty Clay Slopes in Seasonally Frozen Ground. Sustainability. 2024; 16(4):1623. https://doi.org/10.3390/su16041623
Chicago/Turabian StyleMa, Zhimin, Chuang Lin, Han Zhao, Ke Yin, Decheng Feng, Feng Zhang, and Cong Guan. 2024. "Numerical Simulations of Failure Mechanism for Silty Clay Slopes in Seasonally Frozen Ground" Sustainability 16, no. 4: 1623. https://doi.org/10.3390/su16041623
APA StyleMa, Z., Lin, C., Zhao, H., Yin, K., Feng, D., Zhang, F., & Guan, C. (2024). Numerical Simulations of Failure Mechanism for Silty Clay Slopes in Seasonally Frozen Ground. Sustainability, 16(4), 1623. https://doi.org/10.3390/su16041623

