Next Article in Journal
Travel Plan Sharing and Regulation for Managing Traffic Bottleneck Based on Blockchain Technology
Next Article in Special Issue
Waste Plastic in Asphalt Mixtures via the Dry Method: A Bibliometric Analysis
Previous Article in Journal
Balancing Sustainability: An Analysis of Habitat for Humanity Affiliates in Mississippi
 
 
Font Type:
Arial Georgia Verdana
Font Size:
Aa Aa Aa
Line Spacing:
Column Width:
Background:
Study Protocol

Assessing the Ecological Cost of Material Flow in China’s Waste Paper Recycling System

College of Economics and Management, Beijing University of Technology, Beijing 100124, China
Sustainability 2024, 16(4), 1610; https://doi.org/10.3390/su16041610
Submission received: 8 December 2023 / Revised: 31 January 2024 / Accepted: 9 February 2024 / Published: 15 February 2024
(This article belongs to the Special Issue Critical Issue on Waste Management for Environmental Sustainability)

Abstract

This article introduces the concept of ecological costs associated with the waste paper recycling system. The costs associated with this process include resource consumption, waste emissions, ecological damage, and production processes. To analyze the ecological costs of deviations from the baseline material flow in a waste paper recycling system, a benchmark material flow diagram is constructed using the material flow analysis method. The diagram illustrates a fully closed one-way material flow of the recycling system, which is highly abstracted and simplified. The study analyzed the ecological costs of the benchmark material flow and the impact of deviations from it. The results suggest that the circulation of materials within and between processes increases the ecological cost of the waste paper recycling system. Furthermore, the release of materials from a process into the environment also contributes to its ecological impact. However, the introduction of external materials into the recycling system can reduce its ecological impact, particularly if these materials are recycled resources. The study emphasizes the significance of considering ecological costs in waste paper recycling systems to minimize their environmental impact.

1. Introduction

The depletion of China’s wood resources is a significant concern, particularly as the demand for wood in social development continues to rise. To tackle this issue, it is crucial to recycle waste paper, which is a valuable secondary resource often referred to as ‘urban forest’. Recycling waste paper to produce recycled paper has become a trend to ensure the security of national timber resources. In 2019, China recycled 52.44 million tons of waste paper, representing a 5.6% increase from 2018. The recovery and utilization rates were 49.0% and 58.3%, respectively, and the domestic waste paper recycling volume was increasing [1]. Currently, waste paper pulp accounts for 65% of China’s annual pulp consumption, making it the primary raw material for paper production. However, the recycling process presents environmental challenges and economic inefficiencies. Further research is necessary to determine the economic and environmental efficiency of the waste paper recycling process, as well as methods to improve its operational efficiency and achieve the dual goal of economic development and environmental protection.
Several studies have been conducted on the environmental impact of recycling waste paper. These studies primarily involve life cycle assessment, economic benefit assessment, and policy analysis.
In the context of life cycle assessment (LCA) for waste paper recycling, Arena U evaluated and compared the environmental performance of three alternatives available in Italy for the management of paper and cardboard packaging waste: landfill, recycling, and incineration for energy recovery. The results suggest that recycling may not always be the best environmental option. The authors recommend considering the use of paper in the context of international biofuel trade [2]. Finnveden conducted a life cycle assessment of recycling and incineration processes for packaging waste. The study found that the energy consumption of recycling is much lower than that of incineration [3]. Dahlbo et al. studied five alternatives for newspaper waste management using a life cycle impact assessment and social life cycle costing economic analysis. The integration of economic analysis with LCA steps improved the consistency of the SLCC. Furthermore, the economic analysis helped to establish the boundaries of the product system and aided in making decisions to avoid negative impacts [4]. Merrild provided clarification on the system boundaries for paper recycling and incineration in the LCA and summarized important process data [5]. Wang Q. et al. conducted a comprehensive analysis of the optimal level of paper recycling. The article presents a quantitative analysis of the marginal social benefits of paper recycling in China, using life cycle assessment and environmental impact assessment methods. The findings indicate that increasing the current level of paper recycling could improve the welfare of society as a whole [6]. Li Jigeng et al. conducted a life cycle cost assessment to compare and analyze a recycled paper industry based on domestically produced recycled paper and three alternatives: straw, imported deinked pulp, and imported wood pulp [7]. Sevigné-Itoiz et al. quantified greenhouse gas (GHG) emissions from the recycling process and aimed to provide a comprehensive assessment of GHG emissions resulting from increased material collection [8].
As part of their analysis of the economic benefits of waste paper recycling, Sderholm P and Berglund C conducted an econometric analysis to determine the main factors contributing to national differences in waste paper recycling and recovery rates. They argued that long-term economic factors, such as population density and the competitiveness of paper and board products on the global market, have a significant impact on waste paper recycling and recovery [9]. Additionally, Samakovlis E A presented a cost function for the Swedish paper industry. Short and long-run elasticities were calculated to examine the relationship between recovered paper and other inputs, including capital, labor, purchased pulp, fiber, fossil fuels, and electricity. The results indicate that waste paper and fossil fuels are substitutes, while waste paper and electricity are complements [10]. Lingxuan Liu et al. developed a cost-benefit model for the waste paper recycling system, studying the system as the object. The analysis evaluated the economic, environmental, and social costs and benefits of the waste paper recycling system. Suggestions were made to improve the policy formulation of the system [11]. Tabata T et al. proposed a model of the waste paper recycling system with cascade recycling and evaluated its effectiveness through the resource productivity and economic benefits of the model [12]. In 2017, Liu Manzhi et al. created a benchmark model for China’s waste paper recycling decision-making system. The study focused on the economic and environmental impact of non-standardized waste paper recycling on China’s domestic waste paper recycling system. The authors predicted the economic benefits and greenhouse gas emissions of the system after integrating and regulating non-standard recyclers [13].
In the analysis of waste paper recycling policy, Liu Ke analyzed the current situation and problems of the waste paper recycling industry in China. Proposed measures were suggested to improve the utilization rate of waste paper recycling, and a waste paper recycling system was introduced [14]. Schmidt JH et al. studied the disposal of waste paper in Denmark and compared the current situation with the situation in which more waste is recycled, incinerated, or landfilled [15]. Yamamura and Etsuo studied the characteristics of waste paper recycling systems in developing countries, adapting to policies based on model-based adaptive theory [16]. Chen Yong analyzed the impact of changes in the industrial environment on the waste paper industry and the dilemma faced by the waste paper recycling industry. Tong Yong argues that waste paper is a recyclable resource and its use is a mainstay of low-carbon development in the international paper industry. Accelerating the improvement of China’s waste paper recycling rate can reduce dependence on foreign resources and enhance the discourse power of Chinese enterprises in the international raw materials market. Additionally, it is an effective way to reduce pressure on the environment and resources and achieve low-carbon development in the paper industry [8]. In their analysis, Li Yanzhuo examined the waste paper recycling model for an e-commerce platform and discussed the customer base for waste paper recycling [17]. Li et al. compared the latest domestic and international waste paper classification standards and identified differences between them. They concluded that international waste paper classification is more detailed than China’s. This provides a technical basis for relevant parties to optimize management and trade programs [18]. Wang Siwen et al. summarised the current situation of waste paper recycling methods in China, analyzed the future policy development trend, and made relevant suggestions. These include attaching importance to macro-regulation and control, carrying out waste paper classification, actively promoting education and public awareness, and building a circular economy network [19]. In their article, Lan Shuo et al. provide an overview of the current state, basic processes, applications, and prospects of waste paper recycling [20].
Studies on waste paper recycling have mainly focused on analyzing resource consumption, environmental impact, and economic evaluation of the process. However, separating economic evaluation from the analysis of resource consumption and environmental impact makes it difficult to guide waste paper recycling and utilization enterprises toward achieving a balance between economic growth and environmental sustainability.
Waste paper recycling and utilization involves a series of interconnected processes. During the recycling process, materials are frequently introduced into the production process, and unqualified products or waste are recovered and discharged. As such, the input of resources, as well as the generation of waste, varies with the flow of materials within each production link. The flow of materials and energy in the process has a significant impact on the ecological load of the system. Therefore, this study focuses on the waste paper recycling system and aims to define the concept of ecological cost for waste paper recycling and utilization systems. It also constructs a basic material flow diagram and establishes an ecological cost accounting system based on the material flow analysis method. This accounting system reflects the environmental impact of the material flow between the waste paper recycling processes with ‘value’, and quantitatively analyses the ecological cost of the waste paper recycling system. Based on this, the study investigates the impact of material and energy flows within the waste paper recycling processes on ecological costs. It identifies the processes and flows that have the greatest impact on ecological costs. This will provide theoretical and practical support for reducing the ecological cost of the waste paper recycling system and achieving a win-win situation between the economy and the environment.

2. Establishing an Accounting Model for the Ecological Cost of a Waste Paper Recycling System

2.1. Defining the Research Boundary for the Ecological Cost of a Waste Paper Recycling System

After the end of life, there are three main ways in which paper is disposed of: recycling, incineration, and disposal. Figure 1 shows the primary flow of waste paper in China. Relevant studies suggest that incineration accounts for 18.75%, landfill accounts for 46.7%, recycling accounts for 31.44%, and other uses account for 3.11% [21].
The waste paper recycling system involves a series of processes to recycle paper that has reached the end of its useful life. This includes recycling, sorting, transportation, processing, and eventually producing recycled paper. In China, the waste paper recycling industry has a complex chain, which typically involves individual recyclers, waste recycling stations, waste paper baling stations, and recycling enterprises. The recyclers are the initial link in the recycling process and collect waste paper directly from communities and industrial parks. The waste paper recycling station receives supplies from retailers and sells them to the baling station when the supply is large enough. The baling station sorts and packs the waste paper using personnel and equipment and trades it to paper production plants or intermediaries. The downstream paper production plants are the end users of recycled paper.
Due to the detrimental effects of incineration and landfill processes on the environment, recycling waste paper to produce recycled paper is considered an important waste disposal solution for the future. In this regard, an ecological costing model has been established to assess the entire process of waste paper recycling, including sorting, baling, transportation, and production. The aim is to quantitatively analyze the ecological impact of the waste paper recycling process. It is important to note that this model only focuses on the ecological impact of waste paper recycling and production in China, as China has imposed restrictions on the import of waste paper. Therefore, the costs and environmental damage caused by the transportation of waste paper imported from abroad have not been taken into consideration.

2.2. Ecological Cost of Waste Paper Recycling System

In the face of severe resource and environmental problems, the ecological cost is proposed as a solution to address ecological and environmental issues that arise during economic development. It quantifies the ecological and environmental load of economic development. Scholars have previously discussed related issues such as life cycle assessment, ecological compensation mechanisms, approval of resource depletion and ecological degradation value, and environmental cost accounting.
Szargut et al. argue that the ecological cost refers to the total amount of nonrenewable energy consumed in the production of specific products [22]. Stanek et al. developed the Thermo-Ecological Cost, which measures the cumulative consumption of nonrenewable exergy, to assess the environmental and energy benefits of biomass energy conversion plants that use gasification technology and medium-scale recuperative gas turbines [23]. Giraçola et al. propose the production of biofuels from cooking oils as a possible solution to reduce ecological costs, particularly in the region of Campinas, using the theory of environmental cost accounting [24]. Tian developed an ecological cost evaluation model for air pollution during highway transportation, which considers pollution allocation theory and ecological cost structure data to calculate the total cost of ecological maintenance and assess the exhaust gas quantity that the atmosphere can tolerate [25]. Wang Qing et al. established a calculation model for the ecological footprint and ecological cost of mines to evaluate the interaction between production scenarios and environmental stress [26]. Finally, Zhang Chengxiang et al. developed evaluation models for the ecosystem service values, ecological costs, and net ecosystem service values of urban road green spaces, using prior research on ecosystem service values. They also conducted a case study on urban road afforestation engineering in Yongjia County to evaluate ecosystem service values and ecological costs of urban road green spaces under different management modes [27].
Research on ecological costs is still in its early stages, and there are varying definitions of ecological costs among researchers. Ecological cost research has mainly concentrated on manufacturing, energy production, mining, transportation, and greenfield planting, as these sectors are highly reliant on the ecological environment and have a significant environmental impact. The research primarily focuses on the environmental impact caused by the production and operation processes and is more focused on the accounting of environmental costs. In the economic system’s production process, the environmental impact of resource extraction is just as crucial as that of the production process. The limitation of existing studies on ecological costs is that they only focus on the environmental costs at the back end of production while ignoring the resource depletion costs caused by resource extraction and use at the front end of production.
Based on relevant studies and the purpose of our study, we have defined the ecological costs of the waste paper recycling system. Ecological cost refers to the comprehensive calculation of the actual production cost of the waste paper recycling system, as well as the economic valuation of the resource depletion and environmental impacts caused by the production. It is mainly composed of the internal and external costs of the waste paper recycling system. The internal cost represents the actual production cost, which includes Material Cost (M), Energy Cost (E), System Cost (S), and Waste Management Cost (W). These costs cover the expenses of resource acquisition, energy use, system costs for labor, operations, and the cost of waste disposal in the waste paper recycling system. The external cost, on the other hand, includes the costs of resource depletion and ecological damage. Resource depletion cost refers to the value of the quantity of physical resources reduced by the exploitation of resources in the process of resource extraction. Ecological damage cost refers to the monetary valuation of the adverse impact and damage of production activities on human society and ecosystems.
The ecological cost of the waste paper recycling system can have a significant impact on its economic performance and resource and environmental performance. The larger the ecological cost, the worse the performance of the recycling system. Therefore, it is essential to account for the internal and external costs of waste paper recycling separately and choose the appropriate calculation method accordingly.

2.3. Accounting Method of Ecological Cost of Waste Paper Recycling System

I use material flow analysis to examine the connection between material flow, value flow, and ecological cost in the waste paper recycling system. Based on this analysis, I present an accounting model for both the internal and external costs of the waste paper recycling system. Additionally, I provide an accounting model for the ecological costs of the same system.

2.3.1. The Relationship between Ecological Cost and Material Flow in Waste Paper Recycling System

The recycling system for waste paper relies on processes as its fundamental unit, and the ecological cost of each process is unique yet common. To illustrate the composition of ecological costs, let’s consider an example process, Pi. The figure below, Figure 2, demonstrates the breakdown of ecological costs.
In the process of recycling waste paper, the raw materials are put through a production process that consumes energy and manpower. This results in two outcomes: some of the raw materials are effectively used to produce products or semi-finished products, while the rest are transformed into unqualified products and waste.
The production process of process Pi includes four main internal costs: the cost of raw materials such as wood pulp, deinking agent, water, etc. (material costs); the cost of coal, fuel oil, electricity, and other energy consumption (energy costs); equipment maintenance costs, labor costs, depreciation costs, etc. (system costs); and the cost of subsequent disposal of waste generated by the process (waste disposal costs).
Apart from these internal costs, there are also external costs to consider. These include the value of resource depletion caused by the input of raw materials and energy (cost of resource depletion) and the value of environmental damage caused by the disposal of sub-standard products and waste (cost of environmental ecological damage).
Figure 2 shows that the internal and external costs in the waste paper recycling process are independent of each other, yet still interconnected. These costs are closely related to the value flow situation of the process. Value flow is a description of the change in the value of the material as it moves in a circular motion. The material flow acts as the carrier of the value flow, and value flow is the economic embodiment of the material flow. Value flow analysis provides data support for ecological cost accounting of the waste paper recycling system. In the waste paper recycling process, value acts as a bridge between material and ecological cost. Ecological cost is closely related to the material flow, including the resources and energy input, as well as the waste emission and recycling.
Material Flow Analysis (MFA) is a quantitative study that aims to understand the flow and quantity of materials, such as resources and energy, in an economic system. It helps to clarify the various materials flow in the waste paper recycling system and their interrelationships. Therefore, this paper uses the material flow analysis method to analyze how the flow of materials affects the ecological costs of waste paper recycling systems.

2.3.2. Accounting for the Internal Costs of the Waste Paper Recycling System

Based on Figure 2, the cost of materials, energy, and waste disposal are considered in the evaluation of input resources, energy, and waste disposal during the waste paper recycling process. The ecological cost of the system is also associated with the actual processing volume. The material flow analysis method is employed to determine the physical volume of each production process in the waste paper recycling system, which is then used to calculate the cost of each element.
Mao Jiansu has developed a value theory for economics that defines the value per unit weight of an element as its valence. He conducted a study on the value flow that occurs during the process of material circulation flow. In the waste paper recycling system, the valence of waste paper varies at different stages of the recycling system, as does the valence of consuming other resources, energy, and waste. Therefore, the cost of materials, energy, and waste disposal for each stage can be calculated by multiplying the weight of each material by its corresponding price and then adding them up separately.
M = j = 1 n m j · V j
E = h = 1 p e h · V h
W = l = 1 t m l · V l
where M is the material cost of the waste paper recycling system; E is the energy cost of the recycling system; W is the waste disposal cost of the recycling system; m is the weight of various materials; e is the various energy consumed in each stage of the recycling system; V is the price of various materials, energy, and wastes disposal in the recycling system; j, h, and l are the various types of raw material inputs, energy inputs, and waste for this waste paper recycling system respectively, in which j = 1, 2, … n, where h = 1, 2, … p, where l = 1, 2, … t.
It should be noted that the costs associated with a waste paper recycling system include not only material costs, energy costs, and waste disposal costs, but also system costs (S), which encompass equipment maintenance, depreciation, and labor during the production process. While system costs are not directly proportional to the weight of the material, they are closely linked to the amount of product generated by the recycling system.

2.3.3. Accounting for External Costs in the Waste Paper Recycling System

The LIME method [28], developed in Japan, is a part of the Life Cycle Assessment (LCA) and is suitable for the current state of the waste paper recycling industry in China. This paper uses the LIME method to calculate the environmental costs resulting from resource depletion and ecological degradation.
The cost of resource depletion and environmental damage of the waste paper recycling system is calculated using the LIME method as shown in Table 1.
Therefore, the external costs of a waste paper recycling system are the sum of the external costs of resource depletion and environmental damage caused by resources, energy consumption, and waste emissions, i.e.,
O = j = 1 n m j · K j + h = 1 p e h · K h + l = 1 t m l · V l  
where O is the external cost of this waste paper recycling system, m is the weight of various materials; e is the various energy consumed by this recycling system; K is the LIME coefficient corresponding to various substances; j, h, and l are also the various types of raw material inputs, energy inputs and waste for this waste paper recycling system respectively.

2.3.4. Accounting Models for Ecological Costs in Waste Paper Recycling Systems

The ecological cost of a waste paper recycling system is composed of both internal and external costs. This includes material costs, energy costs, system costs, waste disposal costs, and external costs. These costs can be seen in the equation below.
E C = M + E + S + W + O
It is important to consider all of these costs when evaluating the effectiveness and sustainability of a recycling system.
Substituting Equations (1)–(4) into Equation (5) gives the formula for calculating the ecological cost of the waste paper recycling system, namely
E C = j = 1 n m j · V j + h = 1 p e h · V h + W = l = 1 t m l · V l + S + j = 1 n m j · K j + h = 1 p e h · K h + l = 1 t m l · K l
The equation written above can be simplified in the following way:
E C = j = 1 n m j · V j + K j + h = 1 p e h · V h + K h + l = 1 t m l · V l + K l + S
Equation (6) is a model for calculating the ecological cost of a waste paper recycling system based on material (energy) amount, waste disposal amount, and their price and LIME coefficients.

3. The Benchmark Material Flow of a Waste Paper Recycling System and Its Ecological Costs

To analyze the ecological cost impact of the material flow in the waste paper recycling system, we created a ‘benchmark material flow diagram’ for the system. This diagram follows the methodology outlined in literature [29] and includes the following characteristics: (1) the material flow direction is unidirectional, from upstream to downstream processes; (2) there is no material input or output in the middle of the system. This paper presents a benchmark material flow diagram that satisfies both conditions and uses 1 ton of recycled paper as the final product in the waste paper recycling system. The diagram is presented in Figure 3.
The waste paper recycling system is a complex process that involves various production stages. To make it easier to study, the process is simplified by selecting the five key recycling stages: recycling, sorting, pulping, deinking, and paper copying. Each box in Figure 3 represents a production stage, with numbers 1 to 5 indicating the above-mentioned five stages.
The arrow indicates the direction of the material flow, and above the arrow marks the materials output of each process ( j = 1 n m j = 1.0 t ) , m is the weight of the input material, and j represents the type of input material). In the benchmark material flow diagram for the waste paper recycling system, there is only input to process 1 and no material is output from the intermediate processes into the external environment or input from the external environment into the intermediate processes of the recycling system.
Then the material cost of the benchmark material flow is
M 0 = i = 1 5 j = 1 n m i j · V i j
where, I = 1, 2, …, 5 represents each production process in the waste paper recycling system respectively.
In a benchmark material flow diagram of a waste paper recycling system, energy is required for each process, either for transportation or production. Therefore, the energy costs must be calculated for each process and then added up to obtain the total energy cost of the waste paper recycling system. The energy cost of an individual process is determined by multiplying the energy consumed by that process by its price. Finally, the energy cost of the benchmark material flow can be calculated.
E 0 = i = 1 5 h = 1 p e 0 i , h · V i h
In the benchmark material flow diagram of the waste paper recycling system, whose external costs are caused by the depletion of resources and energy, its external costs are accounted for by multiplying the consumption of each resource and energy by the corresponding LIME factor, i.e.,
O 0 = i = 1 5 j = 1 n m i j · K i j + i = 1 5 h = 1 p e i h · K i h
Assuming that the system cost of each process in the waste paper recycling system is S0i, the system cost of this benchmark material flow is the sum of the system costs of the processes, which can be expressed as
E s 0 = i = 1 5 S 0 i
As the benchmark material flow of the waste paper recycling system has no waste discharge to the environment, it has a waste disposal cost of 0.
Then the ecological cost of the benchmark material flow of the waste paper recycling system, called the benchmark ecological cost, i.e.,
E C 0 = i = 1 5 j = 1 n m i j · V i j + K i j + i = 1 5 h = 1 p e 0 i , h · V i h + K i h + i = 1 5 S 0 i
Equation (11) represents the ecological cost of the benchmark material flow in the waste paper recycling system. It is utilized to compare the changes in the ecological cost of the waste paper recycling system under different material flow conditions.

4. Impact of Each Material Flow Deviating from the Benchmark Material Flow Diagram on Ecological Costs

It should be noted that the material flow illustrated in Figure 3, which serves as a benchmark, may not always be attainable in real-world waste paper recycling systems. It is common for deviations from this benchmark to occur. As a result, typical deviations in material flow from the benchmark are examined to assess their impact on ecological costs.
In this analysis, we will be focusing on the movement of materials within the waste paper recycling system. We will examine how materials move between different processes and also between the system and the external environment. We aim to identify any deviations from the standard material flow diagram and understand the impact of these deviations on the environment.

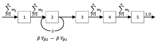
4.1. Unqualified Products or Waste within the Process Are Returned to the Input Side of the Process and Reprocessed

Suppose that some unqualified products or waste are produced in process 2 of Figure 3, while the output of qualified products produced in this process remains unchanged at the original quantity. As shown in Figure 4, the output of qualified products in process 2 remains s j = 1 n m j = 1.0 t , and the quantity of unqualified or waste produced is β t, which is returned to the input side of process 2 as raw material to participate in production, and the actual quantity of material involved in production in process 2 is ( j = 1 n m j + β ) t .
Since the material that is an unqualified product or waste in process 2 is returned from the output to the input of process 2, the material cost of process 2 is increased by the amount βVβ2βVβ1, which is the difference in the cost of material circulation within process 2. Then the material cost of this recycling system is
M = i = 1 5 j = 1 n m i j · V j + β V β 2 V β 1
Under constant production conditions, the energy consumption of the waste paper recycling system is directly proportional to the production quantity of the process. Therefore, the greater the quantity of raw materials involved in the production, the higher the energy consumption of the process. To facilitate this analysis, we assume that the energy consumption of the process is proportional to the number of raw materials produced. Therefore, the actual energy cost of process 2 is calculated as j = 1 n m j + β j = 1 n m j , and then multiplied by the energy cost of process 2 in the benchmark material flow. The energy cost of process 2 can then be expressed as follows:
E 2 = j = 1 n m j + β j = 1 n m j E 02 = j = 1 n m j + β j = 1 n m j h = 1 p e 02 , h · V 2 h
The energy cost of this recycling system can be expressed as
E = i = 1 5 h = 1 p e 0 i , h · V i h + β j = 1 n m j h = 1 p e 02 , h · V 2 h
Similar to the energy cost, the system cost of process 2 is
S 2 = j = 1 n m j + β j = 1 n m j S 02
Then, the cost of this recycling system is
S = i = 1 5 S 0 i + β j = 1 n m j S 02
Compared to the benchmark material flow, only the energy consumption of Process 2 increases for this production process, and only the external costs of Process 2 change. Equation (9) shows that the incremental external cost is related to the amount of energy consumed and the LIME factor for this energy, with the energy consumption of Process 2 becoming j = 1 n m j + β j = 1 n m j times that of the benchmark Process 2. Similar to accounting for energy costs, the external costs of this waste paper recycling system due to increased energy consumption can be calculated as.
O e = i = 1 5 j = 1 n e i j · K i j + β j = 1 n m j h = 1 p e 02 , h · K 2 h
Then, the external cost of this waste paper recycling system is
O = i = 1 5 j = 1 n m i j · K i j + i = 1 5 h = 1 p e 0 i , h · K i h + β j = 1 n m j h = 1 p e 02 , h · K 2 h
In this recycling system, no unqualified products or waste are allowed to leave, resulting in zero disposal costs for waste. To calculate the ecological cost of the waste paper recycling system, Equations (11)–(15) can be substituted into Equation (6) and collated.
E C = E C 0 + β V β 2 V β 1 + β j = 1 n m j h = 1 p e 02 , h · V 2 h + K 2 h + S 02
Equation (16) calculates the ecological cost when unqualified products or waste are returned to the input side of the process for reprocessing. Any increase in ecological costs compared to the benchmark ecological cost is then determined.
Δ E C = β V β 2 V β 1 + β j = 1 n m j h = 1 p e 02 , h · V 2 h + K 2 h + S 02
The cost of recycling materials depends on the type and weight of the material being recycled. When waste or unqualified products are returned and reprocessed, it can increase the cost of the process, and this increase is determined by the price difference of the recycled material before and after it is recycled, as well as the amount being recycled. The greater the price difference in the recycled material, the greater the increase in material cost. Additionally, the energy cost, system cost, and external cost of the process increase as waste and unqualified products are recovered, which ultimately increases the total ecological cost of the recycling system. Therefore, the larger the price difference between the material before and after recycling, and the greater the amount of recovered material, the larger the increase in ecological cost.

4.2. Unqualified Products or Waste from the Downstream Process Are Returned to the Upstream Process and Reprocessed

The material cycle in the waste paper recycling system is not only limited to the internal processes, but it often happens that the unqualified products or waste products generated by the downstream processes are returned to the upstream processes and reprocessed as raw materials. As shown in Figure 5, the unqualified products or waste products generated by process 5 are returned to process 3 for reprocessing, and the actual materials involved in the production of processes 3, 4, and 5 all become ( j = 1 n m j + β 3 , j = 1 n m j + β 4 , j = 1 n m j + β 5 ) t. The final output of this waste paper recycling system is still 1.0 t.
The unqualified products or waste generated by process 5 are returned to process 3 as raw materials to continue participating in the production process, and the amount of recycling β can be seen as a reduction in the supply of raw materials on the input side. The changes in material costs for processes 3, 4, and 5 are
Δ M 3 = β 3 V β 3 β 2 V β 2
Δ M 4 = β 4 V β 4 β 3 V β 3
Δ M 5 = β 5 V β 5 β 4 V β 4
Then the amount of change in total material cost is
Δ M = Δ M 3 + Δ M 4 + Δ M 5 = β 5 V β 5 β 2 V β 2
The material cost of this recycling system is therefore
M = i = 1 5 j = 1 n m i j · V i j + β 5 V β 5 β 2 V β 2
The actual increase in the amount of material produced in processes 3, 4, and 5 is ( j = 1 n m j + β ) t . An accounting of the change in energy costs for processes 3, 4, and 5 is similar to Equation (13), and the energy costs for this waste paper recycling system can be expressed as follows.
E = i = 1 5 h = 1 p e 0 i , h · V i h + i = 3 5 β i j = 1 n m j i = 3 5 h = 1 p e 0 i , h · V i h
Similarly, the system cost is
S = i = 1 5 S 0 i + i = 3 5 β i j = 1 n m j i = 3 5 S 0 i
Similarly, the external cost is
O = i = 1 5 j = 1 n m i j · K i j + i = 1 5 h = 1 p e 0 i , h · K i h + β i = 3 5 β i j = 1 n m j i = 3 5 h = 1 p e 0 i , h · V i h
In this recycling system, no substandard waste products are leaving the system, so the waste disposal cost is zero.
It can be seen that the ecological cost of this waste paper recycling system is
E C = E C 0 + β 5 V β 5 β 2 V β 2 + i = 3 5 β i j = 1 n m j i = 3 5 h = 1 p e 0 i , i h · V i h + K i h + i = 3 5 S 0 i
Equation (19) is the ecological cost of returning the unqualified product or waste from process 5 to process 3 for reprocessing based on the benchmark material flow. Compared to the benchmark ecological cost, the amount of increase in its ecological cost is
Δ E C = β 5 V β 5 β 2 V β 2 + i = 3 5 β i j = 1 n m j i = 3 5 h = 1 p e 0 i , h · V i h + K i h + i = 3 5 S 0 i
It can be seen that the increase in its ecological cost is related to the amount and the price of the material returned, and also the unit process in which the return of the material occurs, the further back in the process the unqualified product or waste is returned upstream from downstream, i.e., the greater the span between processes, the greater the increment in its ecological costs.

4.3. Materials Input into the Intermediate Process of the Waste Paper Recycling System from Outside

Assume that the amount of qualified product for Process 4 is still j = 1 n m j , but that there is α4t (α4 < 1) of material input into the process from outside, as shown in Figure 6. The amount of material from process 1 to process 3 is reduced to ( j = 1 n m j α j ) t , with corresponding changes in material, energy, and system costs for processes 1 to 3. The amount of material involved in the production of process 4 is j = 1 n m j , which is consistent with the production of process 4 in the benchmark material stream. And the final output of the waste paper recycling system remains 1.0 t.
Similar to the analysis of Equation (18), the material cost of this waste paper recycling system is
M = i = 1 5 j = 1 n m i j · V i j α 1 · V α 1 + α 4 · V α 4
Similarly, using the analytical process of Equation (13), the energy cost of this waste paper recycling system is
E = i = 1 5 h = 1 p e 0 i , h · V i h i = 1 4 α i j = 1 n m j i = 1 4 e 0 i , h · V i h
Then the system cost is similar
S = i = 1 5 S 0 i i = 1 4 α i j = 1 n m j i = 1 4 S 0 i
Then the external cost is
O = i = 1 5 j = 1 n m i j · K i j + i = 1 5 h = 1 p e 0 i , h · K i h i = 1 4 α i j = 1 n m j i = 1 4 h = 1 p e 0 i , h · K i h α 1 · K α 1 + α 4 · K α 4
In this waste paper recycling system, there are no unqualified products and no waste to be output outside the recycling system, so waste disposal costs are zero.
Then, the ecological cost of this waste paper recycling system is
E C = E C 0 i = 1 4 α i j = 1 n m j i = 1 4 h = 1 p e 0 i , h · V i h + K i h + S 0 i α 1 · V α 1 + K α 1 + α 4 · V α 4 + K α 4
Equation (21) is the ecological cost of the recycling system when the material is input to process 4 from outside. Compared to the benchmark ecological cost, the increment of its ecological cost is
Δ E C = i = 1 4 α i j = 1 n m j i = 1 4 h = 1 p e 0 i , h · V i h + K i h + S 0 i α 1 · V α 1 + K α 1 + α 4 · V α 4 + K α 4
Based on Equation (22), it’s evident that introducing materials from outside into the intermediate process of the waste paper recycling system leads to a reduction in energy and system costs. However, the changes in the cost of materials and external factors are determined by the nature of the input materials. In a real waste paper recycling system, the materials introduced into the process from outside can be both natural and recycled resources. These two different resources have varying effects on the ecological cost of the waste paper recycling system.
(1)
Assume that the external material input to the process is a natural resource.
If the amount of natural resource input into process 4 from the outside is α4t, the price of this resource is Vαy, and the LIME coefficient is Kαy, then, in this case, its ecological cost can be found from Equation (21) as
E C = E C 0 i = 1 4 α i j = 1 n m j i = 1 4 h = 1 p e 0 i , h · V i h + K i h + S 0 i α 1 · V α 1 + K α 1 + α 4 · V α y + K α y
(2)
Assuming that the material input from outside is a recycled resource.
If the amount of recycled resource input into process 4 from the outside is α4t, its price is Vαr and the LIME coefficient is Kαr, then in this case its ecological cost can also be found from Equation (21) as
E C = E C 0 i = 1 4 α i j = 1 n m j i = 1 4 h = 1 p e 0 i , h · V i h + K i h + S 0 i α 1 · V α 1 + K α 1 + α 4 · V α r + K α r
Subtracting Equation (23) from Equation (24) gives the change in this ecological cost for two different types of resources from external inputs to process 4 as
E C y r = α 4 · V α y V α r + K α y K α r
It is crystal clear that the use of natural and recycled resources has different impacts on ecological costs. Both generate varying material and external costs. However, when it comes to material costs, recycled resources are a clear winner. Using recycled resources reduces processes like resource extraction, which in turn, brings down their market prices. This results in lower material costs for the production process that utilizes them. If VayVar in Equation (25) is negative, then it’s a no-brainer that the material cost of using recycled resources is lower than using natural resources.
But that’s not all. Recycled resources are also a better option when it comes to reducing the depletion of natural resources and minimizing environmental risks caused by waste. The external cost of recycled resources is negative, whereas the external cost of natural resources is positive due to the negative impact of extraction and processing on the environment. This means that in Equation (25), KayKar is positive, and the external cost of using recycled resources is lower than the external cost of using natural resources.
In conclusion, using recycled resources is more cost-effective and environment-friendly compared to using natural resources. By opting for recycled resources, we can not only reduce our ecological footprint but also minimize material and external costs.
Overall, it appears that the use of recycled resources reduces not only the material costs of the recycling process but also the external costs. Thus, increasing the use of recycled resources can effectively reduce the ecological costs of the waste paper recycling system as far as technology allows.

4.4. Material Is Output from the Intermediate Processes of the Recycling System to the Outside Environment (No Recycling)

Assume that the material γ t is output from process 5 in Figure 3 to the external environment, it is dissipated to the environment and the amount of the final product of the waste paper recycling system remains at 1.0 t, as shown in Figure 7. Therefore, the total material output from process 5 is increased to ( 1 + γ 5 ) t . The amount of semi-finished products from each upstream process is also increased to i = 1 5 j = 1 n ( m i j + γ i ) t .
Similar to the analysis in Equation (18), the material cost of this recycling system is
M = i = 1 5 j = 1 n m i j · V i j + i = 1 5 γ i · V γ i
Similar to the analytical process of Equation (11), the energy cost of this recycling system is
E = i = 1 5 j = 1 n ( m i j + γ i ) j = 1 n m j i = 1 5 h = 1 p e 0 i , h · V i h
Similarly, the system cost is
S = i = 1 5 j = 1 n ( m i j + γ i ) j = 1 n m j i = 1 5 S 0 i
Since there are emissions of waste or unqualified products, the cost of dealing with the pollutants can be derived from Equation (3) as
W = γ 5 · V γ 5
The external cost of this recycling system comes from resources, energy consumption, and waste emissions, then the external cost can be derived from Equation (4) as
O = i = 1 5 j = 1 n m i j · K i j + i = 1 5 j = 1 n ( m i j + γ i ) j = 1 n m j i = 1 5 h = 1 p e 0 i , h · K i h + γ 1 · K γ 1 + γ 5 · K γ 5
Then the ecological cost of this waste paper recycling system is
E C = E C 0 + i = 1 5 γ i j = 1 n m j i = 1 5 h = 1 p e 0 i , h · V i h + K i h + S 0 i + γ 1 · V γ 1 + K γ 1 + γ 5 · V γ 5 + K γ 5
Equation (26) represents the ecological cost of the unqualified product or waste generated by process 5 when it is exported from the waste paper recycling system to the external environment. The increase in ecological cost is compared to the benchmark.
Δ E C = i = 1 5 γ i j = 1 n m j i = 1 5 h = 1 p e 0 i , h · V i h + K i h + S 0 i + γ 1 · V γ 1 + K γ 1 + γ 5 · V γ 5 + K γ 5
It’s clear that the ecological cost increases with the type and amount of material being released into the environment. When waste is released during the waste paper recycling process, it adds material cost to the recycling system, increases energy, system, and external costs for all processes before that stage, and generates costs for waste disposal. The higher the amount of material being released and its price, the greater the ecological cost. Additionally, the further back in the process the material leaves the recycling system, the higher the incremental ecological cost.

4.5. A Comparison of the Ecological Costs of Recycling and Discharging Unqualified Products or Waste

Upon analyzing the variations in ecological costs resulting from deviations in the benchmark material flow diagram, it was observed that both the circulation of materials between processes and their discharge to the outside will raise the ecological costs of the system. However, the degree of increase varies.
If you recycle the unqualified products or waste that were supposed to be discarded in process 5 instead of discharging them outside, and assuming that β is equal to γ in Equations (19) and (26), you can find the difference between Equations (19) and (26).
Δ E C = i = 1 2 γ i j = 1 n m j i = 1 2 h = 1 p e 0 i , h · V h + K h + S 0 i + γ 1 · V γ 1 + K γ 1 + γ 5 · K γ 5 + β 2 V β 2
It is clear that simply increasing the amount of recycling of unqualified products or waste between processes does not necessarily reduce the impact of the waste paper recycling system on the external environment. However, recycling unqualified products or waste between processes is still a more environmentally friendly option than discharging them directly into the environment. Moreover, the ecological cost of recycling unqualified products or waste between processes decreases as the span between recycling processes decreases. Therefore, the key method for reducing the ecological impact of the waste paper recycling system is to minimize resource consumption and the production of substandard products.

5. The Impact of Material Flows on Ecological Costs in a Real Waste Paper Recycling System

As previously mentioned, deviations from the standard material flow can occur in the waste paper recycling system, and multiple material flows can deviate simultaneously within the same system or process. To understand the relationship between material flow and ecological cost, we studied one waste paper recycling system and derived an equation that reflects the impact of multiple material flows on the ecological cost of the system.
The material flow of a waste paper recycling system is more complex than the benchmark. Each process presents five material flows or partial flows, as shown in Figure 8. The five material flows are defined as shown in Table 2.
Analyzing Equations (17), (20), (22) and (27) together reveals the relationship between the ecological cost of process i and these material flows.
E C i = E C 0 i + Δ E C i
Among them,
Δ E C i = β i V β i β i 1 V β ( i 1 ) + β i j = 1 n m j h = 1 p e 0 i , h · V i h + K i h + S 0 i + β i V β i β j V β j + i = j n β i j = 1 n m j i = j n h = 1 p e 0 i , h · V i h + K i h + i = j n S 0 i d = 1 i α i j = 1 n m j d = 1 i h = 1 p e 0 i , h · V i h + K i h + S 0 i α 1 · V α 1 + K α 1 + α i · V α i + K α i + i = 1 5 γ i j = 1 n m j i = 1 5 h = 1 p e 0 i , h · V i h + K i h + S 0 i + γ 1 · V γ 1 + K γ 1 + γ i · V γ i + K γ i
where ECoi is the benchmark ecological cost of process i; Vh is the price of raw materials or energy for the production of No. category h; Kh is the LIME coefficient of the production of raw material or energy of No. category h, S0i is the benchmark system cost of the process i.
Assuming that the waste paper recycling system consists of n processes, then the material flow of the actual waste paper recycling system will be constituted by connecting these processes end to end in sequence, as shown in Figure 9.
If the weight of recycled paper produced by the waste paper recycling system is Pn t, then the ecological cost of producing 1 ton of recycled paper is
E C = E C 0 + i = 1 n ( P i P n · Δ E C i )
After conducting a thorough analysis, it has been found that the ecological cost can be reduced by increasing the input of material from external sources, reducing the circulating material flow, and decreasing the emission material flow, to some extent. It has also been observed that the impact of the above three material flows, which occur in later processes, have a greater influence on the ecological cost. The choice of raw materials plays a vital role in determining the ecological costs as well. Therefore, it is highly recommended to use environmentally friendly and recycled resources as much as possible in the waste paper recycling system.

6. Conclusions

This paper aims to introduce the concept of ecological cost associated with a waste paper recycling system. It explores how the inflow and outflow of waste paper affects this cost. Unlike other studies, this paper presents a basic material flow diagram of the waste paper recycling and utilization system and examines the impact of various material flows on the ecological cost of this system. The research identifies key findings that shed light on this issue.
(1)
This paper presents a standard material flow diagram for a waste paper recycling system. The text examines the ecological costs associated with the standard flow and analyses how these costs change when deviations from the standard flow occur.
(2)
To reduce the ecological cost of the waste paper recycling system, it is important to introduce recycled materials into the intermediate process. The use of recycled materials is more beneficial and should be maximized within the technology limits. By doing so, we can minimize the input of materials from outside and optimize the overall recycling system.
(3)
Discharging unqualified products or waste increases the ecological cost of the waste paper recycling system. Therefore, waste management should be optimized to minimize the amount of unqualified products and waste generated. However, recycling unqualified products or waste within the process causes a lower incremental ecological cost compared to their discharge. Increasing the recycling of unqualified products or waste between processes can benefit the ecological environment.
(4)
The ecological cost of the waste paper recycling system varies depending on the position of the material in the process. If the material is further downstream, meaning it has been delayed in the process, the material cycle span increases, and so does its ecological cost.
The paper presents a material flow diagram and analysis that can be used for other waste recycling systems. By studying the impact of material flow on the ecological cost of waste paper recycling, we can provide targeted guidance for sustainable growth of the recycling industry. This text offers theoretical and practical guidance to achieve a mutually beneficial outcome for both the economy and the environment in waste recycling systems.

Funding

This research was funded by Key Project of Social Science Program of Beijing Municipal Education Commission grant number SZ201610005002 and the Study on the trend of substance metabolism and dematerialization measures in Beijing based on substance flow analysis was funded by Key Project of Social Science Program of Beijing Municipal Education Commission.

Conflicts of Interest

The authors declare no conflict of interest.

References

  1. Ministry of Commerce, People’s Republic Of China. Report on the Development of China’s Recycling Industry. 2020. Available online: https://baijiahao.baidu.com/s?id=1708234717514531492&wfr=spider&for=pc (accessed on 26 October 2023).
  2. Arena, U.; Mastellone, M.L.; Perugini, F.; Clift, R. Clift Environmental Assessment of Paper Waste Management Options by Means of LCA Methodology. Ind. Eng. Chem. Res. 2004, 43, 5702–5714. [Google Scholar] [CrossRef]
  3. Finnveden, G.; Johansson, J.; Lind, P.; Moberg, Å. Life cycle assessment of energy from solid waste—Part 1: General methodology and results. J. Clean. Prod. 2005, 13, 213–229. [Google Scholar] [CrossRef]
  4. Dahlbo, H.; Ollikainen, M.; Peltola, S.; Myllymaa, T.; Melanen, M. Combining ecological and economic assessment of options for newspaper waste management. Resour. Conserv. Recycl. 2007, 51, 42–63. [Google Scholar] [CrossRef]
  5. Merrild, H.; Damgaard, A.; Christensen, T.H. Life cycle assessment of waste paper management: The importance of technology data and system boundaries in assessing recycling and incineration. Resour. Conserv. Recycl. 2008, 52, 1391–1398. [Google Scholar] [CrossRef]
  6. Wang, Q.; Wang, Q.; Pan, G. A Study on Optimal Level of Paper Recycling in China. Ecol. Econ. 2012, 127–131+149. [Google Scholar]
  7. Li, J.; Mei, M.; Han, Y.; Hong, M.; Man, Y. Life cycle cost assessment of recycled paper manufacture in China. J. Clean. Prod. 2020, 252, 119868. [Google Scholar] [CrossRef]
  8. Yong, T. Domestic waste paper recycling and comprehensive utilization of the status quo and policy system construction. Chin. Pap. Ind. 2012, 33, 16–19. [Google Scholar]
  9. Berglund, C.; Söderholm, P. An Econometric Analysis of Global Waste Paper Recovery and Utilization. Environ. Resour. Econ. 2003, 26, 429–456. [Google Scholar] [CrossRef]
  10. Samakovlis, E. The Relationship between Waste Paper and Other Inputs in the Swedish Paper Industry. Environ. Resour. Econ. 2003, 25, 191–212. [Google Scholar] [CrossRef]
  11. Liu, L.X.; Bi, J.; Yuan, Z.; Zhang, B. Cost-benefit model and policy analysis of waste paper recycling system in China. Xitong Gongcheng Lilun Yu Shijian/Syst. Eng. Theory Pract. 2009, 29, 76–82. [Google Scholar]
  12. Tabata, T.; Tujioka, S.; Morisugi, M.; Imura, H. Study on the Evaluation of Cascade Recycle by Effective Resource Utilization and Cost Efficiency. Environ. Syst. Res. 2003, 31, 297–306. [Google Scholar] [CrossRef][Green Version]
  13. Liu, M.; Tan, S.; Zhang, M.; He, G.; Chen, Z.; Fu, Z.; Luan, C. Waste paper recycling decision system based on material flow analysis and life cycle assessment: A case study of waste paper recycling from China. J. Environ. Manag. 2020, 255, 109859. [Google Scholar] [CrossRef] [PubMed]
  14. Ke, L. Current situation and outlook of the waste paper recycling system in China. Renew. Resour. Circ. Econ. 2013, 6, 24–27. [Google Scholar]
  15. Schmidt, J.H.; Holm, P.; Merrild, A.; Christensen, P. Life cycle assessment of the waste hierarchy—A Danish case study on waste paper. Waste Manag. 2007, 27, 1519–1530. [Google Scholar] [CrossRef] [PubMed]
  16. Yamamura, E. Analysis on Wastepaper Recycling System of Developing Countries Arising from Model Reference Adaptive Theory. In Proceedings of the Symposium on Global Environment, Milan, Italy, 1–12 December 2003; pp. 17–22. [Google Scholar]
  17. Li, Y. Research on Ecommerce Based Waste Paper Recycling Supply Chain and Its Customer Management. Master’s Thesis, Tianjin University of Finance and Economics, Tianjin, China, 2015. [Google Scholar]
  18. Li, G.; Yan, P.; Hu, Z.; Zhao, B.; Zhang, H. Comparison and Analysis of Classification Standards of Paper for Recycling at Home and Abroad. China Pulp. Pap. 2019, 38, 68–72. [Google Scholar]
  19. Wang, S.; Ren, Q. An overview of the current situation of waste paper recycling in China under the circular economy. Econ. Res. Guide 2019, 398, 136–137. [Google Scholar]
  20. Lan, S.; Zang, L.; Li, Z. Current situation and outlook of waste paper recycling. Pap. Equip. Mater. 2020, 49, 61–62. [Google Scholar]
  21. Chen, S.; Yang, X.; Li, Y.; Cao, L.; Yue, W. Life-cycle GHG Emissions of Paper in China. J. Beijing Inst. Technol. 2014, 40, 944–949. [Google Scholar]
  22. Szargut, J.; Zibik, A.; Stanek, W. Depletion of the non-renewable natural exergy resources as a measure of the ecological cost. Energy Convers. Manag. 2002, 43, 1149–1163. [Google Scholar] [CrossRef]
  23. Stanek, W.; Czarnowska, L.; Kalina, J. Application of life cycle thermo-ecological cost methodology for evaluation of biomass integrated gasification gas turbine based cogeneration. Appl. Therm. Eng. 2014, 70, 1007–1017. [Google Scholar] [CrossRef]
  24. Giraçol, J.; Passarini, K.C.; Da Silva Filho, S.C.; Calarge, F.A.; Tambourgi, E.B.; Curvelo Santana, J.C. Reduction in ecological cost through biofuel production from cooking oils: An ecological solution for the city of Campinas, Brazil. J. Clean. Prod. 2011, 19, 1324–1329. [Google Scholar] [CrossRef]
  25. Zehao, T. Ecological Cost Evaluation Model Analysis of Air Pollution in Highway Transportation. Environ. Sci. Manag. 2019, 44, 180–184. [Google Scholar]
  26. Wang, Q.; Xu, X.; Gu, X.; Liu, J. Production Scheduling Optimization of Open Pit Coal Mines Considering the Ecological Costs. Met. Mine 2015, 3, 23–27. [Google Scholar]
  27. Zhang, C.; Sun, J.; Wang, W.; Zhang, Z. Ecosystem service values and ecological costs of urban road green space in Yongjia County under different management modes. Resour. Sci. 2017, 39, 522–532. [Google Scholar]
  28. Xiao, X.; Zhou, Z.; Li, X. On the Environmental Cost Innovation —The Study of Fusion between Internal Resource Flow Cost and External Impairment Cost. Acc. Econ. Res. 2008, 5, 39–46. [Google Scholar]
  29. Dai, T.; Lu, Z. Impact of iron flow on iron resource efficiency in the steel production process. Acta Metall. Sin. 2004, 40, 1127–1132. [Google Scholar]
Figure 1. Main Flows of Waste Paper in China.
Figure 1. Main Flows of Waste Paper in China.
Sustainability 16 01610 g001
Figure 2. Ecological cost components of process Pi in waste paper recycling systems.
Figure 2. Ecological cost components of process Pi in waste paper recycling systems.
Sustainability 16 01610 g002
Figure 3. Benchmark material flow diagram for waste paper recycling system. Note: The number 1 in the figure represents the recovery process; the number 2 represents the sorting process; the number 3 represents the pulping process; the number 4 represents the deinking process; and the number 5 represents the paper copying process.
Figure 3. Benchmark material flow diagram for waste paper recycling system. Note: The number 1 in the figure represents the recovery process; the number 2 represents the sorting process; the number 3 represents the pulping process; the number 4 represents the deinking process; and the number 5 represents the paper copying process.
Sustainability 16 01610 g003
Figure 4. Material circulation within the process 2.
Figure 4. Material circulation within the process 2.
Sustainability 16 01610 g004
Figure 5. Material flow of material circulation between processes.
Figure 5. Material flow of material circulation between processes.
Sustainability 16 01610 g005
Figure 6. Material flow diagram of material input into process 4 from outside.
Figure 6. Material flow diagram of material input into process 4 from outside.
Sustainability 16 01610 g006
Figure 7. Material output from process 5 to the outside.
Figure 7. Material output from process 5 to the outside.
Sustainability 16 01610 g007
Figure 8. Material flow of process i in an actual waste paper recycling system.
Figure 8. Material flow of process i in an actual waste paper recycling system.
Sustainability 16 01610 g008
Figure 9. Material flow diagram of the actual waste paper recycling system.
Figure 9. Material flow diagram of the actual waste paper recycling system.
Sustainability 16 01610 g009
Table 1. Steps for calculating the cost of resource depletion and environmental damage in waste paper recycling systems.
Table 1. Steps for calculating the cost of resource depletion and environmental damage in waste paper recycling systems.
Calculation StepContent
1Record the resource consumption and pollutant generation of each process in the waste paper recycling system using standardized units. For LIME, weight is measured in kilograms, gas in cubic meters, and electricity in kilowatt-hours.
2Calculate the LIME coefficient values for each unit of resources and pollutants using the table provided for LIME coefficient calculation.
3The ecological damage cost is calculated by multiplying the resource consumption (waste volume) by the LIME coefficient.
Table 2. The five material flows are defined.
Table 2. The five material flows are defined.
NumberItemsClarification
1The input of material flowThe product of process I − 1 is input to process i as raw material, and the weight of its material flow is Pi−1, t.
2The material flow is input from the outside environmentThe material is input from the outside environment into the process i as raw material. The weight of its material flow is αi t.
3Output of material flow into the outside environmentThe various wastes discharged into the outside environment from process i. The weight of its material flow is γi, t.
4Circular material flowThe unqualified products or waste products produced by the i process or the downstream process, are returned to this process or the upstream process for recycling as raw materials, and the actual weight of its material flow is βi, t.
5The material flow is output into the next processThe process i outputs qualified product into process I + 1, which is the material flow of Pi, its weight is Pi, t.
Disclaimer/Publisher’s Note: The statements, opinions and data contained in all publications are solely those of the individual author(s) and contributor(s) and not of MDPI and/or the editor(s). MDPI and/or the editor(s) disclaim responsibility for any injury to people or property resulting from any ideas, methods, instructions or products referred to in the content.

Share and Cite

MDPI and ACS Style

Dai, T. Assessing the Ecological Cost of Material Flow in China’s Waste Paper Recycling System. Sustainability 2024, 16, 1610. https://doi.org/10.3390/su16041610

AMA Style

Dai T. Assessing the Ecological Cost of Material Flow in China’s Waste Paper Recycling System. Sustainability. 2024; 16(4):1610. https://doi.org/10.3390/su16041610

Chicago/Turabian Style

Dai, Tiejun. 2024. "Assessing the Ecological Cost of Material Flow in China’s Waste Paper Recycling System" Sustainability 16, no. 4: 1610. https://doi.org/10.3390/su16041610

APA Style

Dai, T. (2024). Assessing the Ecological Cost of Material Flow in China’s Waste Paper Recycling System. Sustainability, 16(4), 1610. https://doi.org/10.3390/su16041610

Note that from the first issue of 2016, this journal uses article numbers instead of page numbers. See further details here.

Article Metrics

Back to TopTop