Sustainable Regional Straw Utilization: Collaborative Approaches and Network Optimization
Abstract
1. Introduction
2. Literature Review
3. Data Sources and Methodology
3.1. Data Sources
3.2. Methodology
- (1)
- Text mining approach
- (2)
- Association rule mining
- (3)
- Complex Network and Social Network Analysis Methods
4. Results
4.1. Analysis of Correlation Rules among Multiple Entities in Regional Straw Resource Utilization
4.2. Analysis of Regional Straw Resource Utilization’s Multi-Agent Complex Network and Network Characteristics
- (1)
- Average degree and average weighted degree
- (2)
- Average path length, clustering coefficient, and network model
- (3)
- Centrality analysis
- (4)
- Modularity
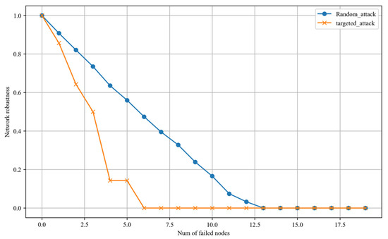
4.3. Robustness Analysis
5. Discussions and Conclusions
5.1. Construct of a Robust Regional Supply and Demand Market for Straw Resource Utilization
5.2. The Association Network among Agents Is a Small-World Network
5.3. Diverse Cooperative Models among Multiple Agents in Regional Straw Resource Utilization
Author Contributions
Funding
Institutional Review Board Statement
Informed Consent Statement
Data Availability Statement
Conflicts of Interest
References
- Honegger, M.; Michaelowa, A.; Roy, J. Potential implications of carbon dioxide removal for the sustainable development goals. Clim. Policy 2021, 21, 678–698. [Google Scholar] [CrossRef]
- Ritchie, H. Sector by Sector: Where Do Global Greenhouse Gas Emissions Come From? 2020. Available online: https://OurWorldInData.org (accessed on 20 December 2023).
- Hou, Q.D.; Ju, M.T. Frontiers and trend of straw biomass utilization technology. Environ. Prot. 2020, 48, 65–70. [Google Scholar]
- Mekonnen, M.M.; Romanelli, T.L.; Ray, C.; Hoekstra, A.Y.; Liska, A.J.; Neale, C.M. Water, energy, and carbon footprints of bioethanol from the US and Brazil. Environ. Sci. Technol. 2018, 52, 14508–14518. [Google Scholar] [CrossRef] [PubMed]
- Company, Z.C. 2024–2030 China Straw Industry Competition Pattern Analysis and Market Demand Outlook Report. 2022. Available online: https://www.chyxx.com/research/1161136.html (accessed on 11 November 2023).
- Singh, Y.; Sharma, S.; Kumar, U.; Sihag, P.; Balyan, P.; Singh, K.P.; Dhankher, O.P. Strategies for economic utilization of rice straw residues into value-added by-products and prevention of environmental pollution. Sci. Total Environ. 2024, 906, 167714. [Google Scholar] [CrossRef]
- Wang, S.; Yin, C.B.; Jiao, J.; Yang, X.M.; Shi, B.Y.; Richel, A. StrawFeed model: An integrated model of straw feedstock supply chain for bioenergy in China. Resour. Conserv. Recycl. 2022, 185, 106439. [Google Scholar] [CrossRef]
- Kwan, F.; Wu, Y.R.; Zhuo, S.H. Re-examination of the surplus agricultural labour in China. China Agric. Econ. Rev. 2013, 5, 197–212. [Google Scholar] [CrossRef][Green Version]
- Tan, B.; Wang, H.W.; Ma, C.; Wang, X.Q.; Zhou, J. Spatial and Temporal Measurement of the Interaction between the County Economy and Rural Transformation in Xinjiang, China. Sustainability 2021, 13, 5813. [Google Scholar] [CrossRef]
- Zhang, L.Y.; Wu, B. Farmer innovation system and government intervention: An empirical study of straw utilisation technology development and diffusion in China. J. Clean. Prod. 2018, 188, 698–707. [Google Scholar] [CrossRef]
- Li, H.T.; Miao, Z.; Zhang, B. Review and prospect of comprehensive straw utilization and government policy in China. Chin. J. Popul. Resour. Environ. 2022, 20, 402–406. [Google Scholar] [CrossRef]
- Quan, Y.; Yang, P.; Wu, S. The Factors Analysis about Comprehensive Utilization Effects of the Straws in the Huang-Huai Plain. In Proceedings of the International Conference on Energy, Environment and Sustainable Development (ICEESD 2011), Shanghai, China, 21–23 October 2011; Shanghai University of Electric Power: Shanghai, China, 2011; pp. 794–798. [Google Scholar]
- Guo, H.; Xu, S.; Wang, X.; Shu, W.; Chen, J.; Pan, C.; Guo, C. Driving mechanism of farmers’ utilization behaviors of straw resources—An empirical study in Jilin province, the main grain producing region in the northeast part of China. Sustainability 2021, 13, 2506. [Google Scholar] [CrossRef]
- Sereenonchai, S.; Arunrat, N. Farmers’ Perceptions, Insight Behavior and Communication Strategies for Rice Straw and Stubble Management in Thailand. Agronomy 2022, 12, 200. [Google Scholar] [CrossRef]
- Li, Y.; Qing, C.; Guo, S.; Deng, X.; Song, J.; Xu, D. Will farmers follow their peers in adopting straw returning? Evidence from rural Sichuan Province, China. Environ. Sci. Pollut. Res. 2022, 30, 21169–21185. [Google Scholar] [CrossRef] [PubMed]
- YP, J. The development and future measure of Chinese agricultural circular economy. Macroecon. Manag. 2022, 8, 50–56+81. [Google Scholar]
- Shen, X.X.; Duan, P.; Peng, C. Theory logic, subject behavior logic and long-term mechanism of straw recycling. Chin. J. Agric. Resour. Reg. Plan. 2021, 43, 120–128. [Google Scholar]
- Kaur, D.; Bhardwaj, N.K.; Lohchab, R.K. Prospects of rice straw as a raw material for paper making. Waste Manag. 2017, 60, 127–139. [Google Scholar] [CrossRef]
- Sun, J.C.; Hou, J.H. Coexistence Possibility of Biomass Industries. In Proceedings of the 20th International Conference on Multiple Criteria Decision Making, Chengdu, China, 21–26 June 2009; University of Electronic Science and Technology of China: Chengdu, China, 2009; pp. 689–691. [Google Scholar]
- Del Valle, T.M.; Zhu, J.A.; Jiang, P. Drivers of straw management in rural households: Options for the development of the bioenergy sector in China. Energy Sustain. Dev. 2022, 71, 341–351. [Google Scholar] [CrossRef]
- Bentsen, N.S.; Nilsson, D.; Larsen, S. Agricultural residues for energy-A case study on the influence of resource availability, economy and policy on the use of straw for energy in Denmark and Sweden. Biomass Bioenergy 2018, 108, 278–288. [Google Scholar] [CrossRef]
- Wang, S.; Gao, C.Y.; Bi, Y.Y.; Wang, Y.J.; Zhao, L.; Shao, J.M. Research on policy guarantee of crop straw comprehensive utilization—Based on text analysis of Implementation Plan of Crop Straw Comprehensive Utilization Project in 61 counties of 24 provinces. Agric. Resour. Reg. China 2022, 43, 64–74. [Google Scholar]
- Wang, J.; Yu, A.N.; Huo, J.G.; Fang, C.S. Research on industry development and financial support policy of straw resource utilization. Econ. Vert. Horiz. 2017, 10, 75–80. [Google Scholar]
- Xie, J.; Shao, J.M.; Sun, N.; Wang, H.Y.; Wang, Y.J.; Bi, Y.Y.; Gao, C.Y. Experience of comprehensive utilization of crop straw in Japan. Agric. Resour. Reg. China 2022, 43, 116–125. [Google Scholar]
- Wang, X.; Chang, Z.Z.; Wang, X.H. Straw supply chain logistics network system research overview and some thoughts. J. Agric. Resour. Environ. 2016, 33, 10–16. [Google Scholar]
- Wu, J.J.; Zhang, J.; Yi, W.M.; Cai, H.Z.; Su, Z.P.; Li, Y. Economic analysis of different straw supply modes in China. Energy 2021, 237, 121594. [Google Scholar] [CrossRef]
- Yu, W.L.; Xia, X.M.; Dong, H.G.; Dou, Y.M.; Li, S.L. Comprehensive utilization policies of crop straw at home and abroad and its implications for Xinjiang. Xinjiang Agric. Reclam. Technol. 2023, 46, 70–71. [Google Scholar]
- Wei, Y.Y. Research on the application of agricultural machinery in the comprehensive utilization of corn stalk. Agric. Mach. 2023, 5, 53–55+57. [Google Scholar]
- Bhattacharyya, P.; Bisen, J.; Bhaduri, D.; Priyadarsini, S.; Munda, S.; Chakraborti, M.; Adak, T.; Panneerselvam, P.; Mukherjee, A.K.; Swain, S.L.; et al. Turn the wheel from waste to wealth: Economic and environmental gain of sustainable rice straw management practices over field burning in reference to India. Sci. Total Environ. 2021, 775, 145896. [Google Scholar] [CrossRef]
- Zheng, W.W.; Shen, G.Y. Research on comprehensive utilization system of crop straw with multi-subject cooperation—Based on typical cases in rice-wheat rotation region. Agric. Resour. Reg. China 2022, 43, 173–179. [Google Scholar]
- Yu, F.G.; Yang, G. Current situation, predicament and countermeasures of crop straw resource utilization. Soc. Sci. 2018, 2, 33–39. [Google Scholar]
- Liu, T.; Su, S.W. Study on the behavior of government, enterprises and farmers in straw industry from the perspective of tripartite game. J. Anhui Agric. Sci. 2016, 44, 238–241. [Google Scholar]
- Zhang, J.J.; Liu, H.D.; Sun, L.C.; Zhang, Q. Synergistic mechanism of green straw processing considering the limitation of gov- ernment incentive under double broken window effect. J. Chongqing Univ. Technol. Soc. Sci. 2019, 33, 7–22. [Google Scholar]
- Wang, D.J.; Li, Y.; Liu, L.S.; Liu, C.Y.; Jia, S.Q.; Dong, Q.H. Construction analysis and profit distribution of straw lumping service Station based on evolutionary game theory. Sci. Technol. Ind. 2021, 21, 28–37. [Google Scholar]
- Wang, Z.F.; Hou, T.J.; Wang, Z.H. Revenue Coordination of Straw Power Generation Supply Chain Under Carbon Trading Environment. Waste Biomass Valorization 2022, 14, 1769–1785. [Google Scholar] [CrossRef]
- Wen, W.; Zhang, Q. A design of straw acquisition mode for China’s straw power plant based on supply chain coordination. Renew. Energy 2015, 76, 369–374. [Google Scholar] [CrossRef]
- Wang, S.J.; Cai, R. Economic analysis of farmer straw resource disposal behavior. China’s Popul. Resour. Environ. 2014, 24, 162–167. [Google Scholar]
- Guerrero, G.; Langa, J.A.; Suárez, A. Attracting Complex Networks. In Proceedings of the Training School on Complex Networks and Dynamics, Madrid, Spain, 12–14 February 2014; National University of Distance Education, Faculty of Economics: Madrid, Spain, 2014; pp. 309–327. [Google Scholar]
- Kuikka, V. Subsystem Cooperation in Complex Networks—Case Brain Network. In Proceedings of the 11th International Conference on Complex Networks (CompleNet), Exeter, UK, 31 March–3 April 2020; University of Exeter: Exeter, UK, 2020; pp. 156–169. [Google Scholar]
- Akilan, A. Text Mining: Challenges and Future Directions. In Proceedings of the 2nd International Conference on Electronics and Communication Systems (ICECS), Coimbatore, India, 26–27 February 2015; pp. 1679–1683. [Google Scholar]
- Feldman, R.; Sanger, J. The Text Mining Handbook; Cambridge University Press: Cambridge, UK, 2007. [Google Scholar]
- Zhang, Y.; Chen, M.D.; Liu, L.Z. A Review on Text Mining. In Proceedings of the 6th IEEE International Conference on Software Engineering and Service Science (ICSESS), Beijing, China, 23–25 September 2015; China Hall of Science and Technology: Beijing, China, 2015; pp. 681–685. [Google Scholar]
- Drury, B.; Roche, M. A survey of the applications of text mining for agriculture. Comput. Electron. Agric. 2019, 163, 104864. [Google Scholar] [CrossRef]
- Puri, B.; Cambow, R. A review on the role of IoT, ai, and blockchain in agriculture & crop diseases detection using a text mining approach. ING Solidar. 2023, 19, 1–30. [Google Scholar]
- Mane, R.V.; Ghorpade, V.R. Predicting Student Admission decisions by Association Rule Mining with Pattern Growth Approach. In Proceedings of the International Conference on Electrical, Electronics, Communication, Computer and Optimization Techniques (ICEECCOT), Mysuru, India, 9–10 December 2016; pp. 202–207. [Google Scholar]
- Fu, L.P.; Wang, X.Q.; Zhao, H.; Li, M.N. Interactions among safety risks in metro deep foundation pit projects: An association rule mining-based modeling framework. Reliab. Eng. Syst. Safety 2022, 221, 108381. [Google Scholar] [CrossRef]
- Chen, W.; Wang, L.Y.; Yang, J.; Zhou, H.D.; Yang, D.H. Research on the network model of tower crane accidents based on association rules. J. Saf. Environ. 2023, 23, 1161–1168. [Google Scholar]
- Albert, R.; Barabási, A.L. Statistical mechanics of complex networks. Rev. Mod. Phys. 2002, 74, 47–97. [Google Scholar] [CrossRef]
- Mei, S.; Zarrabi, N.; Lees, M.; Sloot, P.M.A. Complex agent networks: An emerging approach for modeling complex systems. Appl. Soft Comput. 2015, 37, 311–321. [Google Scholar] [CrossRef]
- Comellas, F.; Sampels, M. Deterministic small-world networks. Phys. A-Stat. Mech. Appl. 2002, 309, 231–235. [Google Scholar] [CrossRef]
- Newman, M.E.J.; Watts, D.J.; Strogatz, S.H. Random graph models of social networks. Proc. Natl. Acad. Sci. USA 2002, 99, 2566–2572. [Google Scholar] [CrossRef] [PubMed]
- Gillieatt, S.; Fernandes, C.; Fielding, A.; Hendrick, A.; Martin, R.; Matthews, S. Social Network Analysis and Social Work Inquiry. Aust. Soc. Work 2015, 68, 338–351. [Google Scholar] [CrossRef]
- Can, U.; Alatas, B. A new direction in social network analysis: Online social network analysis problems and applications. Phys. A-Stat. Mech. Its Appl. 2019, 535, 122372. [Google Scholar] [CrossRef]
- Ströele, V.; Campos, F.; David, J.M.N.; Braga, R.; Abdalla, A.; Lancellotta, P.I.; Zimbrao, G.; Souza, J. Data Abstraction and Centrality Measures to Scientific Social Network Analysis. In Proceedings of the IEEE 21st International Conference on Computer Supported Cooperative Work in Design (CSCWD), Wellington, New Zealand, 26–28 April 2017; 2017; pp. 281–286. [Google Scholar]
- Brandes, U. A faster algorithm for betweenness centrality. J. Math. Sociol. 2001, 25, 163–177. [Google Scholar] [CrossRef]
- Liang, M.X.; Liu, F.Z.; Gao, C.; Zhang, Z.L. Robustness Analysis of the Complex Network. In Proceedings of the 6th IEEE Data Driven Control and Learning Systems Conference (DDCLS), Chongqing, China, 26–27 May 2017; 2017; pp. 638–643. [Google Scholar]
- Zou, Z.Y.; Xiao, Y.; Gao, J.Z. Robustness analysis of urban transit network based on complex networks theory. Kybernetes 2013, 42, 383–399. [Google Scholar] [CrossRef]
- Seglah, P.A.; Wang, Y.J.; Wang, H.Y.; Bi, Y.Y. Estimation and Efficient Utilization of Straw Resources in Ghana. Sustainability 2019, 11, 4172. [Google Scholar] [CrossRef]
- Buendía-Martínez, I.; Côté, A. Territorial Rural Development and Cooperatives: An Analysis from Public Policies. Cuad. Desarro. Rural 2014, 11, 35–54. [Google Scholar]
- Song, Y.C.; Qi, G.B.; Zhang, Y.Y.; Vernooy, R. Farmer cooperatives in China: Diverse pathways to sustainable rural development. Int. J. Agric. Sustain. 2014, 12, 95–108. [Google Scholar] [CrossRef]
- Zhou, Y.F.; Liu, M. The Function Analysis of Informationization in New Rural Cooperatives Medical Service Management. In Proceedings of the 3rd IFIP TC 12 International Conference of Computer and Computing Technologies in Agriculture, Beijing, China, 14–17 October 2009; China Agr Univ, EU China Ctr Informat & Commun Technol: Beijing, China, 2009; pp. 305–311. [Google Scholar]
- Liu, J.Z.; Yang, M.W.; Zhang, Z.Y. Can rural cooperatives reduce poverty vulnerability of smallholder households? Evidence from rural Western China. Front. Sustain. Food Syst. 2023, 7, 1222455. [Google Scholar] [CrossRef]
- Newman, M.E.J.; Watts, D.J. Renormalization group analysis of the small-world network model. Phys. Lett. A 1999, 263, 341–346. [Google Scholar] [CrossRef]
- De Los Rios, P.; Petermann, T. Existence, cost and robustness of spatial small-world networks. Int. J. Bifurc. Chaos 2007, 17, 2331–2342. [Google Scholar] [CrossRef]
- Chen, H.; Wang, H.Y.; Li, Y.Q. Research on Government Regulations, Cognition and Farmers’ Willingness of Straw-to-Field. Sustainability 2023, 15, 9823. [Google Scholar] [CrossRef]
- Bai, W.; Yan, L.; Zhang, L.; Ye, L. Practice, pathways, and performance for resource utilization of crop straw: A case study of Xinyang City in China. Environ. Sci. Pollut. Res. 2023, 30, 10812–10829. [Google Scholar] [CrossRef] [PubMed]










| Government | Company | Farmer | Research Institution | Broker | Bank | Media | Rural Cooperative | Community Resident | Consumer |
|---|---|---|---|---|---|---|---|---|---|
| 0 | 0 | 0 | 0 | 0 | 0 | 0 | 0 | 0 | 0 |
| 0 | 0 | 0 | 0 | 0 | 0 | 0 | 0 | 0 | 0 |
| 0 | 0 | 0 | 0 | 0 | 0 | 0 | 0 | 0 | 0 |
| 1 | 0 | 0 | 0 | 0 | 0 | 0 | 0 | 0 | 0 |
| 0 | 0 | 1 | 0 | 0 | 0 | 0 | 0 | 0 | 0 |
| 0 | 0 | 0 | 0 | 0 | 0 | 0 | 0 | 0 | 0 |
| 0 | 1 | 1 | 0 | 0 | 0 | 0 | 1 | 0 | 0 |
| 0 | 0 | 1 | 0 | 0 | 0 | 0 | 1 | 0 | 0 |
| Antecedents | Consequents | Support | Confidence | Lift |
|---|---|---|---|---|
| Government, Rural Cooperative | Farmer, Company | 0.1174 | 0.5921 | 2.0728 |
| Government, Farmer, Company | Rural Cooperative | 0.1174 | 0.6231 | 1.7836 |
| Farmer, Company | Rural Cooperative | 0.1750 | 0.6128 | 1.7541 |
| Rural Cooperative | Farmer, Company | 0.1750 | 0.5010 | 1.7541 |
| Rural Cooperative, Company | Government, Farmer | 0.1174 | 0.5219 | 1.7527 |
| Government, Farmer, Rural Cooperative | Company | 0.1174 | 0.7347 | 1.6442 |
| Government, Rural Cooperative | Company | 0.1428 | 0.7198 | 1.6109 |
| Government, Rural Cooperative, Company | Farmer | 0.1174 | 0.8225 | 1.6085 |
| Government, Rural Cooperative | Farmer | 0.1598 | 0.8058 | 1.5759 |
| Government, Farmer | Rural Cooperative | 0.1598 | 0.5367 | 1.5365 |
| Associated Node | Degree Centrality | Closeness Centrality | Betweenness Centrality |
|---|---|---|---|
| Company | 7 | 0.684 | 20.167 |
| Farmer | 7 | 0.684 | 20.167 |
| Government | 7 | 0.684 | 20.167 |
| Rural Cooperative | 7 | 0.684 | 20.167 |
| Company, Farmer | 3 | 0.52 | 1.333 |
| Government, Farmer | 3 | 0.52 | 1.333 |
| Rural Cooperative, Company | 3 | 0.52 | 1.333 |
| Rural Cooperative, Government | 3 | 0.52 | 1.333 |
Disclaimer/Publisher’s Note: The statements, opinions and data contained in all publications are solely those of the individual author(s) and contributor(s) and not of MDPI and/or the editor(s). MDPI and/or the editor(s) disclaim responsibility for any injury to people or property resulting from any ideas, methods, instructions or products referred to in the content. |
© 2024 by the authors. Licensee MDPI, Basel, Switzerland. This article is an open access article distributed under the terms and conditions of the Creative Commons Attribution (CC BY) license (https://creativecommons.org/licenses/by/4.0/).
Share and Cite
Tao, J.; Bai, W.; Peng, R.; Wu, Z. Sustainable Regional Straw Utilization: Collaborative Approaches and Network Optimization. Sustainability 2024, 16, 1557. https://doi.org/10.3390/su16041557
Tao J, Bai W, Peng R, Wu Z. Sustainable Regional Straw Utilization: Collaborative Approaches and Network Optimization. Sustainability. 2024; 16(4):1557. https://doi.org/10.3390/su16041557
Chicago/Turabian StyleTao, Jing, Wuliyasu Bai, Rongsheng Peng, and Ziying Wu. 2024. "Sustainable Regional Straw Utilization: Collaborative Approaches and Network Optimization" Sustainability 16, no. 4: 1557. https://doi.org/10.3390/su16041557
APA StyleTao, J., Bai, W., Peng, R., & Wu, Z. (2024). Sustainable Regional Straw Utilization: Collaborative Approaches and Network Optimization. Sustainability, 16(4), 1557. https://doi.org/10.3390/su16041557
