Enhancing Chub Mackerel Catch Per Unit Effort (CPUE) Standardization through High-Resolution Analysis of Korean Large Purse Seine Catch and Effort Using AIS Data
Abstract
1. Introduction
2. Materials and Methods
2.1. Study Area
2.2. Fishery Data
2.3. Estimation of Effective Fishing Effort from AIS Data
2.4. Environmental Datasets
2.5. Data Management and Exploration
2.6. GLM and GAM Model Building
γlon + σlat + αyear + βmonth + φ + interactions
s (longitude) + s (latitude) + year + month + interactions
3. Results
3.1. GLM and GAM Model Building
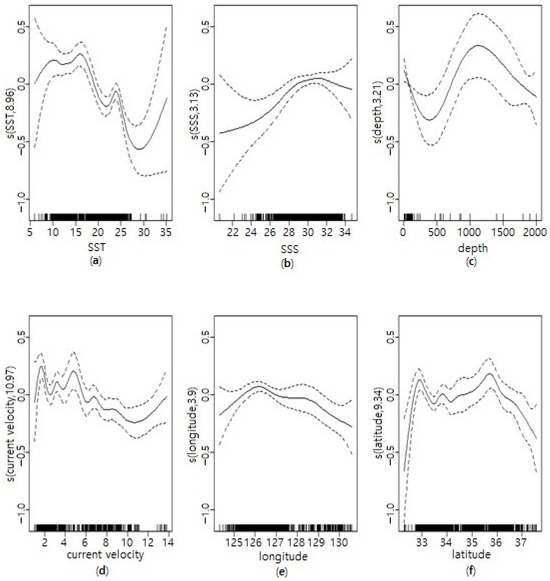
3.2. Effects of Environmental Variables on CPUE from GAM
3.3. Standardized CPUE
4. Discussion
5. Conclusions
Supplementary Materials
Author Contributions
Funding
Institutional Review Board Statement
Informed Consent Statement
Data Availability Statement
Conflicts of Interest
References
- Ryu, J.G.; Nam, J.; Gates, J.M. Limitations of the Korean conventional fisheries management regime and expanding Korean TAC system toward output control systems. Mar. Policy 2006, 30, 510–522. [Google Scholar] [CrossRef]
- Kim, H.; Kang, H.; Zhang, C.I.; Seo, Y.I. Risk-based fisheries assessment considering spatio-temporal component for Korean waters. Ocean Coast. Manag. 2020, 192, 105209. [Google Scholar] [CrossRef]
- Korea Fisheries Resources Agency. 2022. Available online: https://www.fira.or.kr/fira/fira_030601.jsp (accessed on 25 November 2022).
- Ministry of Oceans and Fisheries. Master Plan for Ocean and Fisheries Development (2021–2030). 2023. Available online: https://www.mof.go.kr/ (accessed on 4 March 2023).
- Ameerbakhsh, O.; Maharaj, S.; Hussain, A.; McAdam, B. A comparison of two methods of using a serious game for teaching marine ecology in a university setting. Int. J. Hum.-Comput. Stud. 2019, 127, 181–189. [Google Scholar] [CrossRef]
- Adibi, P.; Pranovi, F.; Raffaetà, A.; Russo, E.; Silvestri, C.; Simeoni, M.; Soares, A.; Matwin, S. Predicting Fishing Effort and Catch Using Semantic Trajectories and Machine Learning. In Multiple-Aspect Analysis of Semantic Trajectories. MASTER 2019; Lecture Notes in Computer Science; Tserpes, K., Renso, C., Matwin, S., Eds.; Springer: Cham, Switzerland, 2020; Volume 11889. [Google Scholar] [CrossRef]
- Murray, L.G.; Hinz, H.; Hold, N.; Kaiser, M.J. The effectiveness of using CPUE data derived from Vessel Monitoring Systems and fisheries logbooks to estimate scallop biomass. ICES J. Mar. Sci. 2013, 70, 1330–1340. [Google Scholar] [CrossRef]
- Gerritsen, H.; Lordan, C. Integrating vessel monitoring systems (VMS) data with daily catch data from logbooks to explore the spatial distribution of catch and effort at high resolution. ICES J. Mar. Sci. 2011, 68, 245–252. [Google Scholar] [CrossRef]
- Allen-Jacobson, L.M.; Jones, A.W.; Mercer, A.J.; Cadrin, S.X.; Galuardi, B.; Christel, D.; Silva, A.; Lipsky, J.; Haugen, J.B. Evaluating Potential Impacts of Offshore Wind Development on Fishing Operations by Com-paring Fine-and Coarse-Scale Fishery-Dependent Data. Mar. Coast. Fish. 2023, 15, e10233. [Google Scholar] [CrossRef]
- Owiredu, S.A.; Kim, K.-I. Spatio-Temporal Fish Catch Assessments Using Fishing Vessel Trajectories and Coastal Fish Landing Data from around Jeju Island. Sustainability 2021, 13, 13841. [Google Scholar] [CrossRef]
- Maunder, M.N.; Punt, A.E. Standardizing catch and effort data: A review of recent approaches. Fish. Res. 2004, 70, 141–159. [Google Scholar] [CrossRef]
- Brodziak, J.; Walsh, W.A. Model selection and multimodel inference for standardizing catch rates of by-catch species: A case study of oceanic whitetip shark in the Hawaii-based longline fishery. Can. J. Fish. Aquat. Sci. 2013, 70, 1723–1740. [Google Scholar] [CrossRef]
- Kim, D.H.; Kim, D.J.; Yoon, S.J.; Hwang, H.G.; Kim, E.O.; Son, S.G.; Kim, J.K. Development of the eggs, larvae and juveniles by artificially matured pacific mackerel, Scomber japonicus in the Korean waters. Korean J. Fish. Aquat. Sci. 2008, 41, 471–477. [Google Scholar] [CrossRef]
- Lee, D.; Son, S.; Kim, W.; Park, J.M.; Joo, H.; Lee, S.H. Spatio-temporal variability of the habitat suitability index for Chub mackerel (Scomber japonicus) in the East/Japan sea and the South Sea of South Korea. Remote Sens. 2018, 10, 938. [Google Scholar] [CrossRef]
- Kim, S.; Kang, S. Ecological variations and El Niño effects off the southern coast of the Korean Peninsula during the last three decades. Fish. Oceanogr. 2000, 9, 239–247. [Google Scholar] [CrossRef]
- Cha, H.; Choi, Y.; Park, J.; Kim, J.; Sohn, M. Maturation and spawning of the chub mackerel Scomber japonicus (Houttuyn, 1782) in Korean waters. J. Korean Soc. Fish. Res. 2002, 5, 24–33. [Google Scholar]
- KOSIS. Korean Statistical Information System. 2022. Available online: https://kosis.kr/statisticsList/ (accessed on 19 February 2023).
- Wang, L.; Ma, S.; Liu, Y.; Li, J.; Sun, D.; Tian, Y. Climate-induced variation in a temperature suitability index of chub mackerel in the spawning season and its effect on the abundance. Front. Mar. Sci. 2022, 9, 996626. [Google Scholar] [CrossRef]
- Jung, K.M.; Kim, H.; Kang, S. A study of growth and age structure for chub mackerel, Scomber japonicus caught by a large purse seine in the Korean waters. Korean J. Ichthyol. 2021, 33, 64–73. [Google Scholar] [CrossRef]
- Na, H.; Kim, K.Y.; Chang, K.I.; Kim, K.; Yun, J.Y.; Minobe, S. Interannual variability of the Korea Strait Bottom Cold Water and its relationship with the upper water temperatures and atmospheric forcing in the Sea of Japan (East Sea). J. Geophys. Res. Ocean. 2010, 115, C09031. [Google Scholar] [CrossRef]
- Han, H.; Yang, C.; Jiang, B.; Shang, C.; Sun, Y.; Zhao, X.; Xiang, D.; Zhang, H.; Shi, Y. Construction of chub mackerel (Scomber japonicus) fishing ground prediction model in the northwestern Pacific Ocean based on deep learning and marine environmental variables. Mar. Pollut. Bull. 2023, 193, 115158. [Google Scholar] [CrossRef]
- Cho, Y.K.; Kim, K. Structure of the Korea Strait Bottom Cold Water and its seasonal variation in 1991. Cont. Shelf Res. 1998, 18, 791–804. [Google Scholar] [CrossRef]
- Watanabe, C.; Yatsu, A.; Watanabe, Y. Changes in Growth with Fluctuation of Chub Mackerel Abundance in the Pacific Waters off Central Japan from 1970 to 1997; PICES-GLOBEC International Program on Climate Change and Carrying Capacity; North Pacific Marine Science Organization (PICES): Sidney, BC, Canada, 2002; p. 60. [Google Scholar]
- Yukami, R.; Ohshimo, S.; Yoda, M.; Hiyama, Y. Estimation of the spawning grounds of chub mackerel Scomber japonicus and spotted mackerel Scomber australasicus in the East China Sea based on catch statistics and biometric data. Fish. Sci. 2009, 75, 167–174. [Google Scholar] [CrossRef]
- Kamimura, Y.; Takahashi, M.; Yamashita, N.; Watanabe, C.; Kawabata, A. Larval and juvenile growth of chub mackerel Scomber japonicus in relation to recruitment in the western North Pacific. Fish. Sci. 2015, 81, 505–513. [Google Scholar] [CrossRef]
- Lee, S.J.; Kim, J.B.; Han, S.H. Distribution of mackerel, Scomber japonicus eggs and larvae in the coast of Jeju Island, Korea in spring. J. Korean Soc. Fish. Ocean Technol. 2016, 52, 121–129. [Google Scholar] [CrossRef]
- Hwang, S.D.; Kim, J.Y.; Lee, T.W. Age, growth, and maturity of Chub Mackerel off Korea. N. Am. J. Fish. Manag. 2008, 28, 1414–1425. [Google Scholar] [CrossRef]
- Li, G.; Lu, Z.; Cao, Y.; Zou, L.; Chen, X. CPUE Estimation and Standardization Based on VMS: A Case Study for Squid-Jigging Fishery in the Equatorial of Eastern Pacific Ocean. Fishes 2023, 8, 2. [Google Scholar] [CrossRef]
- R Development Core Team. R: A Language and Environment for Statistical Computing; R Foundation for Statistical Computing: Vienna, Austria, 2023; Available online: http://www.R-project.org (accessed on 2 February 2023).
- Wood, S.; Wood, M.S. Package ‘mgcv’, R Package Version; 2015, Volume 1, p. 729.
- Zuur, A.F.; Ieno, E.N.; Smith, G.M. Analysing Ecological Data; Springer: New York, NY, USA, 2007; Volume 680. [Google Scholar] [CrossRef]
- Zuur, A.F.; Ieno, E.N.; Elphick, C.S. A protocol for data exploration to avoid common statistical problems. Methods Ecol. Evol. 2010, 1, 3–14. [Google Scholar] [CrossRef]
- Marra, G.; Wood, S.N. Practical variable selection for generalized additive models. Comput. Statis-Tics Data Anal. 2011, 55, 2372–2387. [Google Scholar] [CrossRef]
- Wood, S.N. Low-rank scale-invariant tensor product smooths for generalized additive mixed models. Biometrics 2006, 62, 1025–1036. [Google Scholar] [CrossRef]
- Burnham, K.P.; Anderson, D.R. Multimodel inference: Understanding AIC and BIC in model selection. Sociol. Methods Res. 2002, 33, 261–304. [Google Scholar] [CrossRef]
- Shi, Y.; Zhang, X.; Yang, S.; Dai, Y.; Cui, X.; Wu, Y.; Zhang, S.; Fan, W.; Han, H.; Zhang, H.; et al. Construction of CPUE standardization model and its simulation testing for chub mackerel (Scomber japonicus) in the Northwest Pacific Ocean. Ecol. Indic. 2023, 155, 111022. [Google Scholar] [CrossRef]
- O’Brien, R.M. A caution regarding rules of thumb for variance inflation factors. Qual. Quant. 2007, 41, 673–690. [Google Scholar] [CrossRef]
- Joseph, J. Management of tropical tunas in the eastern Pacific Ocean. Trans. Am. Fish. Soc. 1970, 99, 629–648. [Google Scholar] [CrossRef]
- Maunder, M.N.; Sibert, J.R.; Fonteneau, A.; Hampton, J.; Kleiber, P.; Harley, S.J. Interpreting catch per unit effort data to assess the status of individual stocks and communities. ICES J. Mar. Sci. 2006, 63, 1373–1385. [Google Scholar] [CrossRef]
- Li, G.; Chen, X.J.; Tian, S.Q. CPUE standardization of chub mackerel (Scomber japonicus) for Chinese large lighting purse seine fishery in the East China Sea and Yellow Sea. JFC 2009, 33, 1050–1059. [Google Scholar] [CrossRef]
- Fan, X.; Tang, F.; Cui, X.; Yang, S.; Zhu, W.; Huang, L. Habitat suitability index for chub mackerel (Scomber japonicus) in the Northwest Pacific Ocean. Haiyang Xuebao 2020, 42, 34–43. [Google Scholar] [CrossRef]
- Wu, S.; Chen, X.; Liu, Z. Establishment of forecasting model of the abundance index for chub mackerel (Scomber japonicus) in the northwest Pacific Ocean based on GAM. Haiyang Xuebao 2019, 41, 36–42. [Google Scholar] [CrossRef]
- Yu, W.; Guo, A.; Zhang, Y.; Chen, X.; Qian, W.; Li, Y. Climate-induced habitat suitability variations of chub mackerel Scomber japonicus in the East China Sea. Fish. Res. 2018, 207, 63–73. [Google Scholar] [CrossRef]
- Kurota, T.; Yoda, M.; Suzuki, K.; Takegaki, S.; Sassa, C.; Takahashi, M. Stock assessment and evaluation for Tsushima current stock of chub mackerel (fiscal year 2017/2018). In Marine Fisheries Stock Assessment and Evalu-Ation for Japanese Waters (Fiscal Year 2017/2018); Fisheries Agency and Fisheries Research Agency of Japan: Tokyo, Japan, 2018; pp. 201–237. [Google Scholar]
- Go, S.; Lee, K.; Jung, S. A temperature-dependent growth equation for larval chub mackerel (Scomber japonicus). Ocean Sci. J. 2020, 55, 157–164. [Google Scholar] [CrossRef]
- Gilbert, C.S.; Gentleman, W.C.; Johnson, C.L.; DiBacco, C.; Pringle, J.M.; Chen, C. Modelling dispersal of sea scallop (Placopecten magellanicus) larvae on Georges Bank: The influence of depth-distribution, planktonic duration and spawning seasonality. Prog. Oceanogr. 2010, 87, 37–48. [Google Scholar] [CrossRef]
- Bigelow, K.A.; Boggs, C.H.; He, X.I. Environmental effects on swordfish and blue shark catch rates in the US North Pacific longline fishery. Fish. Oceanogr. 1999, 8, 178–198. [Google Scholar] [CrossRef]
- Hong, J.B.; Kim, D.Y.; Kim, D.H. Stock Assessment of Chub Mackerel (Scomber japonicus) in the Northwest Pacific Ocean Based on Catch and Resilience Data. Sustainability 2022, 15, 358. [Google Scholar] [CrossRef]
- Li, G.; Chen, X.; Lei, L.; Guan, W. Distribution of hotspots of chub mackerel based on remote-sensing data in coastal waters of China. Int. J. Remote Sens. 2014, 35, 4399–4421. [Google Scholar] [CrossRef]
- Hiyama, Y.; Yoda, M.; Ohshimo, S. Stock size fluctuations in chub mackerel (Scomber japonicus) in the East China Sea and the Japan/East Sea. Fish. Oceanogr. 2002, 11, 347–353. [Google Scholar] [CrossRef]
- Takasuka, A.; Oozeki, Y.; Kubota, H. Multi-species regime shifts reflected in spawning temperature optima of small pelagic fish in the western North Pacific. Mar. Ecol. Prog. Ser. 2008, 360, 211–217. [Google Scholar] [CrossRef]
- Jung, H.K.; Rahman, S.M.; Kang, C.K.; Park, S.Y.; Lee, S.H.; Park, H.J.; Kim, H.W.; Lee, C.I. The influence of climate regime shifts on the marine environment and ecosystems in the East Asian Marginal Seas and their mechanisms. Deep Sea Res. Part II Top. Stud. Oceanogr. 2017, 143, 110–120. [Google Scholar] [CrossRef]
- Ichikawa, H.; Beardsley, R.C. The current system in the Yellow and East China Seas. J. Ocean. Raphy 2002, 58, 77–92. [Google Scholar] [CrossRef]
- Lin, K.; Guo, B.; Tang, Y. An analysis on observational surface current in the Yellow Sea and the East China Sea. In Proceedings of the 11th PAMS/JECSS Workshop, Cheju, Republic of Korea, 11–13 April 2001; pp. 67–71. [Google Scholar]
- Chen, X.; Li, G.; Feng, B.; Tian, S. Habitat suitability index of Chub mackerel (Scomber japonicus) from July to September in the East China Sea. J. Oceanogr. 2009, 65, 93–102. [Google Scholar] [CrossRef]
- Yoon, S.J.; Kim, D.H.; Baeck, G.W.; Kim, J.W. Feeding habits of chub mackerel (Scomber japonicus) in the South Sea of Korea. J. Korean Fish. Soc. 2008, 41, 26–31. [Google Scholar] [CrossRef]
- Scheuerell, M.D.; Schindler, D.E. Diel vertical migration by juvenile sockeye salmon: Empirical evidence for the antipredation window. Ecology 2003, 84, 1713–1720. [Google Scholar] [CrossRef]
- Ohshimo, S.; Tanaka, H.; Nishiuchi, K.; Yasuda, T. Trophic positions and predator–prey mass ratio of the pelagic food web in the East China Sea and Sea of Japan. Mar. Freshw. Res. 2015, 67, 1692–1699. [Google Scholar] [CrossRef]
- Beardsley, R.C.; Limeburner, R.; Yu, H.; Cannon, G.A. Discharge of the Changjiang into the East China sea. Cont. Shelf Res. 1985, 4, 57–76. [Google Scholar] [CrossRef]
- Sogawa, S.; Sugisaki, H.; Saito, H.; Okazaki, Y.; Ono, T.; Shimode, S.; Kikuchi, T. Seasonal and regional change in vertical distribution and diel vertical migration of four euphausiid species (Euphausia pacifica, Thysa-noessa inspinata, T. longipes, and Tessarabrachion oculatum) in the northwestern Pacific. Deep. Sea Res. Part I Oceanogr. Res. Pap. 2016, 109, 1–9. [Google Scholar] [CrossRef]
- Nakatsuka, S.; Kawabata, A.; Takasuka, A.; Kubota, H.; Okamura, H.; Oozeki, Y. Estimating gastric evacuation rate and daily ration of chub mackerel and spotted mackerel in the Kuroshio-Oyashio transition and Oyashio regions. Bull. Jpn. Soc. Fish. Oceanogr. 2010, 74, 105–117. [Google Scholar]
- Kodama, T.; Wagawa, T.; Ohshimo, S.; Morimoto, H.; Iguchi, N.; Fukudome, K.I.; Goto, T.; Takahashi, M.; Yasuda, T. Improvement in recruitment of Japanese sardine with delays of the spring phytoplankton bloom in the Sea of Japan. Fish. Oceanogr. 2018, 27, 289–301. [Google Scholar] [CrossRef]
- Okiyama, M. Early life history of the gonostomatid fish, Maurolicus muelleri (Gmelin), in the Japan Sea. Bull. Jpn. Sea Reg. Fish. Res. Lab. 1971, 23, 21–53. [Google Scholar]
- Fujino, T.; Miyashita, K.; Aoki, I.; Masuda, S.; Uji, R.; Shimura, T. Acoustic identification of scattering layer by Maurolicus japonicus around the Oki Islands, Sea of Japan. Nippon. Suisan Gakkaishi 2005, 71, 947–956. [Google Scholar] [CrossRef][Green Version]
- Furuichi, S.; Yasuda, T.; Kurota, H.; Yoda, M.; Suzuki, K.; Takahashi, M.; Fukuwaka, M.A. Disentangling the effects of climate and density-dependent factors on spatiotemporal dynamics of Japanese sardine spawn-ing. Mar. Ecol. Prog. Ser. 2020, 633, 157–168. [Google Scholar] [CrossRef]
- Yasuda, T.; Yukami, R.; Ohshimo, S. Fishing ground hotspots reveal long-term variation in chub mackerel Scomber japonicus habitat in the East China Sea. Mar. Ecol. Prog. Ser. 2014, 501, 239–250. [Google Scholar] [CrossRef]
- Kim, S.; Zhang, C.I.; Kim, J.Y.; Oh, J.H.; Kang, S.; Lee, J.B. Climate variability and its effects on major fisheries in Korea. Ocean. Sci. J. 2007, 42, 179–192. [Google Scholar] [CrossRef]
- Gong, Y.; Suh, Y.; Seong, K.; Han, I. Climate Change and Marine Ecosystem; Academy Books Press: Seoul, Republic of Korea, 2010; pp. 181–186. [Google Scholar]
- Jung, S.; Pang, I.C.; Lee, J.H.; Choi, I.; Cha, H.K. Latitudinal shifts in the distribution of exploited fishes in Korean waters during the last 30 years: A consequence of climate change. Rev. Fish Biol. Fish. 2014, 24, 443–462. [Google Scholar] [CrossRef]
- Bigelow, K.; Maunder, M.; Hinton, M. Comparison of deterministic and statistical habitat-based models to estimate effective longline effort and standardized CPUE for bigeye and yellowfin tuna. In Proceedings of the 16th meeting of the Standing Committee on Tuna and Billfish, Mooloolaba, Australia, 9–16 July 2003. 16p. [Google Scholar]
- Yatsu, A.; Watanabe, T.; Ishida, M.; Sugisaki, H.; Jacobson, L.D. Environmental effects on recruitment and productivity of Japanese sardine Sardinops melanostictus and chub mackerel Scomber japonicus with recommendations for management. Fish. Oceanogr. 2005, 14, 263–278. [Google Scholar] [CrossRef]






| Explanatory Variable | Deviance Explained (%) | AIC | R2 | p-Value |
|---|---|---|---|---|
| Year | 3.37 | 37,274 | 0.03 | <0.01 |
| Month | 31.59 | 36,433 | 0.32 | <0.01 |
| SST | 38.7 | 23,315 | 0.39 | <0.01 |
| SSS | 39.8 | 23,288 | 0.4 | <0.01 |
| Depth | 40.21 | 23,032 | 0.4 | <0.01 |
| Current velocity | 41.1 | 22,995 | 0.41 | <0.01 |
| Longitude | 42.44 | 22,961 | 0.42 | <0.01 |
| Latitude | 42.64 | 22,958 | 0.43 | <0.01 |
| Month: SST | 46.52 | 22,850 | 0.47 | <0.01 |
| Month: SSS | 46.52 | 22,852 | 0.47 | 0.85 |
| Month: Longitude | 46.53 | 22,854 | 0.47 | 0.62 |
| Month: Latitude | 47.65 | 22,823 | 0.48 | <0.01 |
| SST: Longitude | 48.25 | 22,807 | 0.48 | <0.01 |
| SST: Latitude | 48.33 | 22,807 | 0.48 | 0.11 |
| SST: Depth | 48.33 | 22,809 | 0.48 | 0.74 |
| SST: SSS | 48.57 | 22,803 | 0.49 | <0.01 |
| Explanatory Variable | Deviance Explained (%) | AIC | R2 | p-Value |
|---|---|---|---|---|
| Year | 6.81 | 37,190 | 0.07 | <0.01 |
| Month | 44.8 | 35,916 | 0.45 | <0.01 |
| SST | 50.6 | 23,001 | 0.5 | <0.01 |
| SSS | 52.5 | 22,952 | 0.52 | <0.01 |
| Depth | 53.5 | 22,688 | 0.53 | <0.01 |
| Current velocity | 54.3 | 22,658 | 0.53 | <0.01 |
| Longitude | 54.7 | 22,654 | 0.54 | 0.02 |
| Latitude | 54.9 | 22,653 | 0.54 | 0.05 |
| Month: SST | 61 | 22,440 | 0.6 | <0.01 |
| Month: SSS | 67.2 | 22,196 | 0.66 | <0.01 |
| Month: Longitude | 68.9 | 22,138 | 0.68 | <0.01 |
| Month: Latitude | 69.5 | 22,128 | 0.68 | <0.01 |
| SST: Longitude | 69.8 | 22,121 | 0.68 | <0.01 |
| SST: Latitude | 69.8 | 22,123 | 0.68 | 0.56 |
| SST: Depth | 69.9 | 22,121 | 0.68 | 0.03 |
| SST: SSS | 69.9 | 22,122 | 0.68 | 0.55 |
Disclaimer/Publisher’s Note: The statements, opinions and data contained in all publications are solely those of the individual author(s) and contributor(s) and not of MDPI and/or the editor(s). MDPI and/or the editor(s) disclaim responsibility for any injury to people or property resulting from any ideas, methods, instructions or products referred to in the content. |
© 2024 by the authors. Licensee MDPI, Basel, Switzerland. This article is an open access article distributed under the terms and conditions of the Creative Commons Attribution (CC BY) license (https://creativecommons.org/licenses/by/4.0/).
Share and Cite
Owiredu, S.A.; Onyango, S.O.; Song, E.-A.; Kim, K.-I.; Kim, B.-Y.; Lee, K.-H. Enhancing Chub Mackerel Catch Per Unit Effort (CPUE) Standardization through High-Resolution Analysis of Korean Large Purse Seine Catch and Effort Using AIS Data. Sustainability 2024, 16, 1307. https://doi.org/10.3390/su16031307
Owiredu SA, Onyango SO, Song E-A, Kim K-I, Kim B-Y, Lee K-H. Enhancing Chub Mackerel Catch Per Unit Effort (CPUE) Standardization through High-Resolution Analysis of Korean Large Purse Seine Catch and Effort Using AIS Data. Sustainability. 2024; 16(3):1307. https://doi.org/10.3390/su16031307
Chicago/Turabian StyleOwiredu, Solomon Amoah, Shem Otoi Onyango, Eun-A Song, Kwang-Il Kim, Byung-Yeob Kim, and Kyoung-Hoon Lee. 2024. "Enhancing Chub Mackerel Catch Per Unit Effort (CPUE) Standardization through High-Resolution Analysis of Korean Large Purse Seine Catch and Effort Using AIS Data" Sustainability 16, no. 3: 1307. https://doi.org/10.3390/su16031307
APA StyleOwiredu, S. A., Onyango, S. O., Song, E.-A., Kim, K.-I., Kim, B.-Y., & Lee, K.-H. (2024). Enhancing Chub Mackerel Catch Per Unit Effort (CPUE) Standardization through High-Resolution Analysis of Korean Large Purse Seine Catch and Effort Using AIS Data. Sustainability, 16(3), 1307. https://doi.org/10.3390/su16031307

