Spatial Distribution, Risk Assessment and Source Analysis of Heavy Metals in the Sediments of Jinmucuo Lake, Southern Tibetan Plateau
Abstract
1. Introduction
2. Materials and Methods
2.1. Study Area
2.2. Sample Collection and Laboratory Analysis
2.3. Assessment of Sediment Contamination and Data Analysis
2.3.1. Risk Assessment Methods for Heavy Metals in Surface Sediments
- (1)
- Igeo method
- (2)
- RI method
2.3.2. Data Analysis
3. Results and Discussion
3.1. Spatial Distribution Characteristics of Heavy Metals
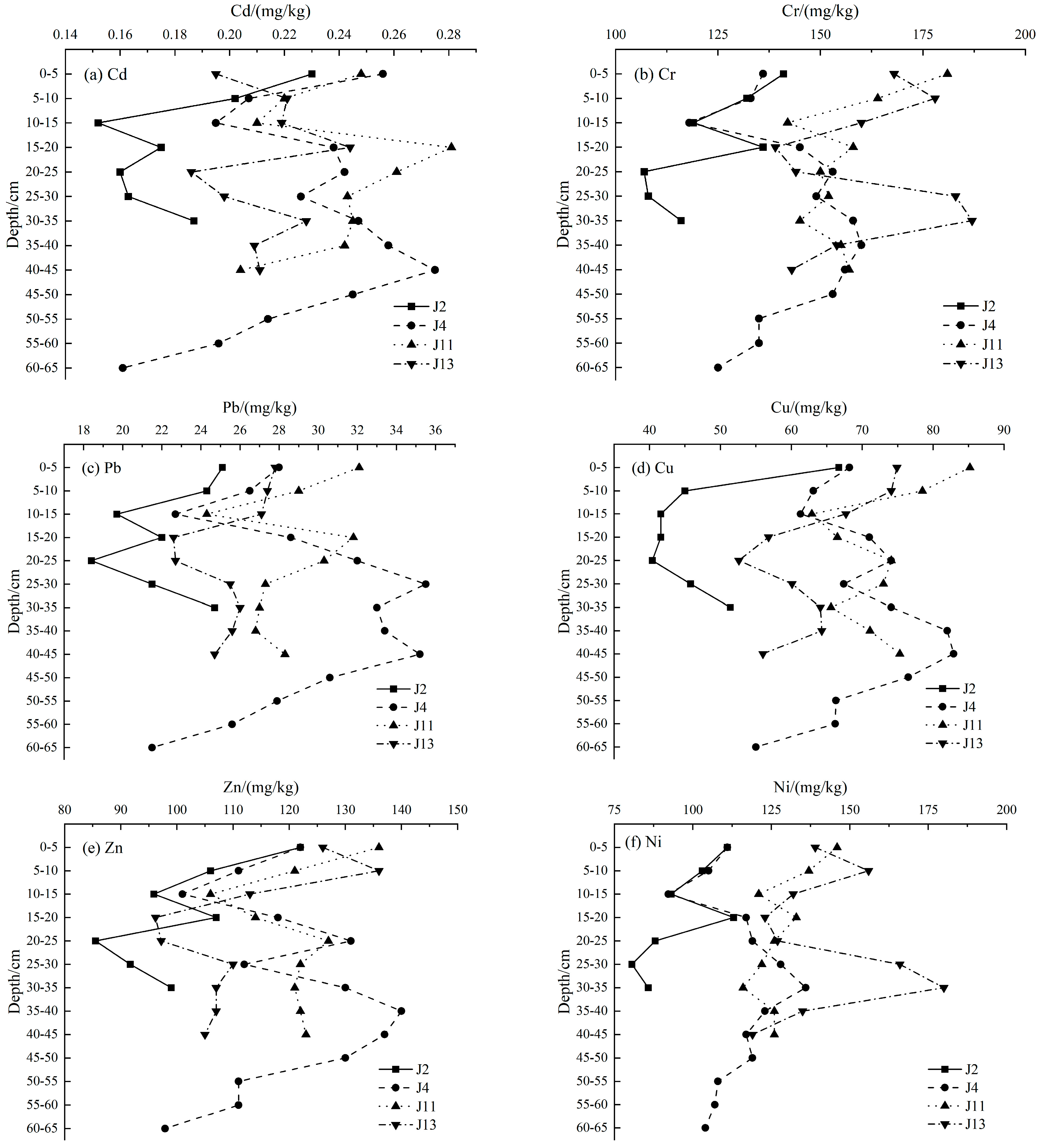
3.2. Vertical Distribution Characteristics of Heavy Metals
3.3. Risk Assessment of Heavy Metal Pollution in Surface Sediments
3.3.1. Evaluation of the Heavy Metal Geoaccumulation Index in Jinmucuo Lake Sediments
3.3.2. Evaluation of Potential Ecological Risk Index of Heavy Metals in Jinmucuo Lake Sediments
3.4. Source Analysis of Heavy Metals via Multivariate Statistics
3.4.1. Pearson Correlation Analysis
3.4.2. Cluster Analysis
3.4.3. Traceability Analysis
4. Conclusions
Author Contributions
Funding
Institutional Review Board Statement
Informed Consent Statement
Data Availability Statement
Conflicts of Interest
References
- Qin, B.; Zhang, Y.; Zhu, G.; Gao, G. Eutrophication control of large shallow lakes in China. Sci. Total Environ. 2023, 881, 163494. [Google Scholar] [CrossRef]
- Lv, A.; Zhang, C. Analysis of the Characteristics and driving forces of changes in lake water volume in inland arid basins in China. Water 2022, 14, 3141. [Google Scholar] [CrossRef]
- Tighe, M.; Knaub, C.; Sisk, M.; Ngai, M.; Lieberman, M.; Peaslee, G.; Beidinger, H. Validation of a screening kit to identify environmental lead hazards. Environ. Res. 2020, 181, 108892. [Google Scholar] [CrossRef]
- Zeng, L.; Zhou, F.; Zhang, X.; Qin, J.; Li, H. Distribution of heavy metals in soils and vegetables and health risk assessment in the vicinity of three contaminated sites in Guangdong Province, China. Hum. Ecol. Risk Assess. 2018, 24, 1901–1915. [Google Scholar] [CrossRef]
- Tu, L.; Jarosch, K.A.; Schneider, T.; Grosjean, M. Phosphorus fractions in sediments and their relevance for historical lake eutrophication in the Ponte Tresa basin (Lake Lugano, Switzerland) since 1959. Sci. Total Environ. 2019, 685, 806–817. [Google Scholar] [CrossRef]
- Geng, N.; Bai, Y.; Pan, S. Research on heavy metal release with suspended sediment in Taihu Lake under hydrodynamic condition. Environ. Sci. Pollut. Res. 2022, 29, 28588–28597. [Google Scholar] [CrossRef]
- Li, W.; Sun, Z.; Chen, X.; Yang, X.; Li, J.; Li, T. Evaluation and source of heavy metal pollution in surface soils in typical alpine agricultural areas of Qinghai Province. Rock Miner. Anal. 2023, 42, 598–615. [Google Scholar] [CrossRef]
- Xu, D.; Fu, R.; Wang, J.; Shi, Y.; Guo, X. Chemical stabilization remediation for heavy metals in contaminated soils on the latest decade: Available stabilizing materials and associated evaluation methods—A critical review. J. Clean. Prod. 2021, 321, 128730. [Google Scholar] [CrossRef]
- Yuan, X.; Xue, N.; Han, Z. A meta-analysis of heavy metals pollution in farmland and urban soils in China over the past 20 years. J. Environ. Sci. 2021, 101, 217–226. [Google Scholar] [CrossRef]
- Zhu, F.; Zheng, Y.; Zhang, B.; Dai, Y. A critical review on the electrospun nanofibrous membranes for the adsorption of heavy metals in water treatment. J. Hazard. Mater. 2021, 401, 123608. [Google Scholar] [CrossRef]
- Xie, T.; Luo, D.; Yang, R. Vertical distribution pattern and ecological risk assessment of heavy metals in a sediment core from Pumoyum Co, Tibet. Environ. Sci. 2014, 35, 4135–4142. (In Chinese) [Google Scholar] [CrossRef]
- Chen, Q.; Wu, L.; Zhou, C.; Liu, G.; Yao, L. A study of environmental pollution and risk of heavy metals in the bottom water and sediment of the Chaohu Lake, China. Environ. Sci. Pollut. Res. 2024, 31, 19658–19673. [Google Scholar] [CrossRef]
- Dippong, T.; Senila, M.; Cadar, O.; Resz, M. Assessment of the heavy metal pollution degree and potential health risk implications in lakes and fish from northern Romania. J. Environ. Chem. Eng. 2024, 12, 112217. [Google Scholar] [CrossRef]
- Muratkhanov, D.; Mirlas, V.; Anker, Y.; Miroshnichenko, O.; Smolyar, V.; Rakhimov, T.; Sotnikov, Y.; Rakhimova, V. Heavy metal groundwater transport mitigation from an ore enrichment plant tailing at Kazakhstan’s Balkhash Lake. Sustainability 2024, 16, 6816. [Google Scholar] [CrossRef]
- Søndergaard, M.; Jensen, J.P.; Jeppesen, E. Role of sediment and internal loading of phosphorus in shallow lakes. Hydrobiologia 2003, 506, 135–145. [Google Scholar] [CrossRef]
- Mort, H.P.; Slomp, C.P.; Gustafsson, B.G.; Andersen, T.J. Phosphorus recycling and burial in Baltic Sea sediments with contrasting redox conditions. Geochim. Cosmochim. Acta 2010, 74, 1350–1362. [Google Scholar] [CrossRef]
- Bi, S.; Yang, Y.; Xu, C.; Zhang, Y.; Zhang, X.; Zhang, X. Distribution of heavy metals and environmental assessment of surface sediment of typical estuaries in eastern China. Mar. Pollut. Bull. 2017, 121, 357–366. [Google Scholar] [CrossRef] [PubMed]
- Li, Y.; Cheng, X.; Liu, K.; Yu, Y.; Zhou, Y. A new method for identifying potential hazardous areas of heavy metal pollution in sediments. Water Res. 2022, 224, 119065. [Google Scholar] [CrossRef]
- Mookan, V.; Machakalai, R.; Srinivasan, S.; Sigamani, S.; Kolandhasamy, P.; Gnanamoorthy, P.; Moovendhan, M.; Srinivasan, R.; Hatamleh, A.; Ai-Dosary, M. Assessment of metal contaminants along the Bay of Bengal—Multivariate pollution indices. Mar. Pollut. Bull. 2023, 192, 115008. [Google Scholar] [CrossRef]
- Yang, A.; Xing, W.; Wang, X.; Hu, J.; Liu, X.; Li, J. Source and risk assessment of heavy metals in surface sediments of rivers, lakes and their surrounding soils in central Tibet. China Environ. Sci. 2020, 40, 4557–4567. (In Chinese) [Google Scholar] [CrossRef]
- Muller, G. Index of Geoaccumulation in Sediments of the Rhine River. GeoJournal 1969, 2, 109–118. [Google Scholar]
- Liao, X.; Li, Y.; Miranda-Avilés, R.; Puy-Alquiza, M.; Bian, J.; Anguiano, J.; Muñoz, A.; Datta, S.; Zha, X.; Liu, J.; et al. Assessments of pollution status and human health risk of potentially toxic elements in primary crops and agricultural soils in Guanajuato, Mexico. Water Air Soil Pollut. 2023, 234, 670. [Google Scholar] [CrossRef]
- Hakanson, L. An ecological risk index for aquatic pollution control. A sedimentological approach. Water Res. 1980, 14, 975–1001. [Google Scholar] [CrossRef]
- Zhang, H.; Tang, D.; He, J.; Yang, X.; Feng, Z.; Fu, Y.; Yuan, X.; Chang, X.; Teng, D.; Liu, F.; et al. Assessment of heavy metal contamination in the surface sediments, seawater and organisms of the Pearl River Estuary, South China Sea. Sci. Total Environ. 2024, 950, 175266. [Google Scholar] [CrossRef] [PubMed]
- Tang, S.; Long, Y.; Li, J.; Wen, X.; Chen, H.; Zhang, Y.; Chen, J. Current state, sources, and potential risk of heavy metals in sediments of typical inner lakes in the Dongting Lake Area. Process Saf. Environ. Prot. 2024, 190, 1290–1300. [Google Scholar] [CrossRef]
- Liu, B.; Luo, J.; Jiang, S.; Wang, Y.; Li, Y.; Zhang, X.; Zhou, S. Geochemical fractionation, bioavailability, and potential risk of heavy metals in sediments of the largest influent river into Chaohu Lake, China. Environ. Pollut. 2021, 290, 118018. [Google Scholar] [CrossRef]
- Pan, X.; Gu, W.; Li, H.; Hu, Y.; Zhang, W.; Lin, L. Carbon, Nitrogen, and Phosphorus in Sediments of Honghu Lake:Spatial Distribution and Pollution Evaluation. J. Yangtze River Sci. Res. Inst. 2021, 38, 41–46. (In Chinese) [Google Scholar] [CrossRef]
- Pan, H.; Lu, X.; Lei, K. A comprehensive analysis of heavy metals in urban road dust of Xi’an, China: Contamination, source apportionment and spatial distribution. Sci. Total Environ. 2017, 609, 1361–1369. [Google Scholar] [CrossRef]
- Feng, X.; Chen, J.; Fu, X.; Hu, H.; Li, P.; Qiu, G.; Yan, H.; Yin, R.; Zhang, H.; Zhu, W. Progresses on environmental geochemistry of mercury. Bull. Mineral. Petrol. Geochem. 2013, 32, 503–530. (In Chinese) [Google Scholar]
- Yang, H.; Battarbee, R.; Turner, S.; Rose, N.; Derwent, R.; Wu, G.; Yang, R. Historical reconstruction of mercury pollution across the Tibetan Plateau using lake sediments. Environ. Sci. Technol. 2010, 44, 2918–2924. [Google Scholar] [CrossRef]
- Bai, J.; Wang, J.; Li, C.; Kang, S.; Chen, P. Study on soil element background values of the hoh xil area in North Tibet. Environ. Sicience 2014, 35, 1498–1501. (In Chinese) [Google Scholar]
- Gopinathan, P.; Santosh, M.; Dileepkumar, V.; Subramani, T.; Reddy, R.; Masto, R.; Maity, S. Geochemical, mineralogical and toxicological characteristics of coal fly ash and its environmental impacts. Chemosphere 2022, 307, 135710. [Google Scholar] [CrossRef] [PubMed]
- Wang, D.; Wang, L.; Fan, C.; Sun, D.; Chen, D. Preliminary Study on Heavy Metal Pollution in Sediments and Suspended Particulate Matter in Urban Reach of a River Basin in Guizhou. Environ. Monit. China 2023, 39, 159–169. (In Chinese) [Google Scholar] [CrossRef]
- Railsback, L.B. An earth scientist’s periodic table of the elements and their ions. Geology 2003, 117, 737–740. [Google Scholar] [CrossRef]
- Li, C.; Kang, S.; Chen, P.; Zhang, Q.; Mi, J.; Gao, S.; Sillanpää, M. Geothermal spring causes arsenic contamination in river waters of the southern Tibetan Plateau, China. Environ. Earth Sci. 2014, 71, 4143–4148. [Google Scholar] [CrossRef]
- Nakagawa, R. Estimation of mercury emissions from geothermal activity in Japan. Chemosphere 1999, 38, 1867–1871. [Google Scholar] [CrossRef]
- Gionfriddo, C.; Stott, M.; Power, J.; Ogorek, J.; Krabbenhoft, D.; Wick, R.; Holt, K.; Chen, L.; Thomas, B.; Banfield, J.; et al. Genome-resolved metagenomics and detailed geochemical speciation analyses yield new insights into microbial mercury cycling in geothermal springs. Appl. Environ. Microbiol. 2020, 86, 15. [Google Scholar] [CrossRef] [PubMed]
- Tian, H.; Wang, Y.; Xue, Z.; Qu, Y.; Chai, F.; Hao, J. Atmospheric emissions estimation of Hg, As, and Se from coal-fired power plants in China, 2007. Sci. Total Environ. 2011, 409, 3078–3081. [Google Scholar] [CrossRef]
- Sheng, J.; Wang, X.; Gong, P.; Tian, L. Heavy metals of the Tibetan top soils Level, source, spatial distribution, temporal variation and risk assessment. Environ. Sci. Pollut. Res. 2012, 19, 3362–3370. [Google Scholar] [CrossRef]
- Zhang, H.; Wang, Z.; Zhang, Y.; Ding, M.; Li, L. Identification of traffic-related metals and the effects of different environments on their enrichment in roadside soils along the Qinghai-Tibet highway. Sci. Total Environ. 2015, 521, 160–172. [Google Scholar] [CrossRef]








| [21] | [23] | RI [23] | |||
|---|---|---|---|---|---|
| Index | Pollution Levels | Index | Risk Levels | Index | Risk Levels |
| <0 | Unpolluted | <40 | Weak risk | <150 | Weak risk |
| 0~1 | Unpolluted to moderately polluted | 40~80 | Medium risk | 150~300 | Medium risk |
| 1~2 | Moderately polluted | 80~160 | Strong risk | 300~600 | Strong risk |
| 2~3 | Moderately to strongly polluted | 160~320 | Highly strong risk | 600~4400 | Highly strong risk |
| 3~4 | Strongly polluted | >320 | Extremely strong risk | >4400 | Extremely strong risk |
| 4~5 | Strongly to extremely polluted | - | - | - | - |
| >5 | Extremely polluted | - | - | - | - |
| Elements | Cd | Cr | Pb | Cu | Ni | As | Hg |
|---|---|---|---|---|---|---|---|
| [23] | 30 | 2 | 5 | 5 | 5 | 10 | 40 |
| Cd mg/kg | Cr mg/kg | Pb mg/kg | Cu mg/kg | Zn mg/kg | Ni mg/kg | As mg/kg | Hg mg/kg | |
|---|---|---|---|---|---|---|---|---|
| Maximum | 0.26 | 394 | 32.10 | 85.20 | 136 | 495 | 24.30 | 0.30 |
| Minimum | 0.14 | 93 | 18.00 | 38.40 | 83 | 67 | 12.00 | 0.07 |
| Mean | 0.20 | 169 | 26.34 | 65.60 | 116 | 154 | 20.38 | 0.19 |
| Std. Deviation | 0.03 | 76.38 | 3.99 | 12.90 | 14.00 | 113.83 | 2.97 | 0.06 |
| CV/% | 16.23 | 45.27 | 15.15 | 19.66 | 12.05 | 74.00 | 14.60 | 32.08 |
| Tibetan soil background values | 0.074 | 68.0 | 27.6 | 19.6 | 70.7 | 27.8 | 16.2 | 0.021 |
| Brahmaputra River Basin soil background values | 0.078 | 71.3 | 30.0 | 26.0 | 79.4 | 31.6 | 20.2 | 0.028 |
Disclaimer/Publisher’s Note: The statements, opinions and data contained in all publications are solely those of the individual author(s) and contributor(s) and not of MDPI and/or the editor(s). MDPI and/or the editor(s) disclaim responsibility for any injury to people or property resulting from any ideas, methods, instructions or products referred to in the content. |
© 2024 by the authors. Licensee MDPI, Basel, Switzerland. This article is an open access article distributed under the terms and conditions of the Creative Commons Attribution (CC BY) license (https://creativecommons.org/licenses/by/4.0/).
Share and Cite
Li, Y.; Wang, Y.; Ye, C.; Xie, Z.; Li, C. Spatial Distribution, Risk Assessment and Source Analysis of Heavy Metals in the Sediments of Jinmucuo Lake, Southern Tibetan Plateau. Sustainability 2024, 16, 10592. https://doi.org/10.3390/su162310592
Li Y, Wang Y, Ye C, Xie Z, Li C. Spatial Distribution, Risk Assessment and Source Analysis of Heavy Metals in the Sediments of Jinmucuo Lake, Southern Tibetan Plateau. Sustainability. 2024; 16(23):10592. https://doi.org/10.3390/su162310592
Chicago/Turabian StyleLi, Yurong, Yang Wang, Chun Ye, Zijian Xie, and Chunhua Li. 2024. "Spatial Distribution, Risk Assessment and Source Analysis of Heavy Metals in the Sediments of Jinmucuo Lake, Southern Tibetan Plateau" Sustainability 16, no. 23: 10592. https://doi.org/10.3390/su162310592
APA StyleLi, Y., Wang, Y., Ye, C., Xie, Z., & Li, C. (2024). Spatial Distribution, Risk Assessment and Source Analysis of Heavy Metals in the Sediments of Jinmucuo Lake, Southern Tibetan Plateau. Sustainability, 16(23), 10592. https://doi.org/10.3390/su162310592

