Reducing Carbon Emissions from Coal-Fired Power Plants: An Analysis Using Evolutionary Game Theory
Abstract
1. Introduction
2. Literature Review
2.1. Current Status and Challenges of Energy Conservation and Emission Reduction in the Coal-Fired Power Industry
2.2. Game Studies Between Coal-Fired Power Enterprises and Governments
2.3. The Role of the Public in Energy Conservation and Emission Reduction
2.4. Deficiencies and Extensions in Tripartite Evolutionary Game Research
2.5. The Application of Evolutionary Game Theory in Energy Conservation and Emission Reduction
3. Model Construction
3.1. Problem Description
3.2. Model Assumptions
3.3. Construction of Replication Dynamic Equations
3.4. Analysis of System Equilibrium Points and Stability
4. Numerical Simulation
4.1. Case Selection and Parameters Allocation
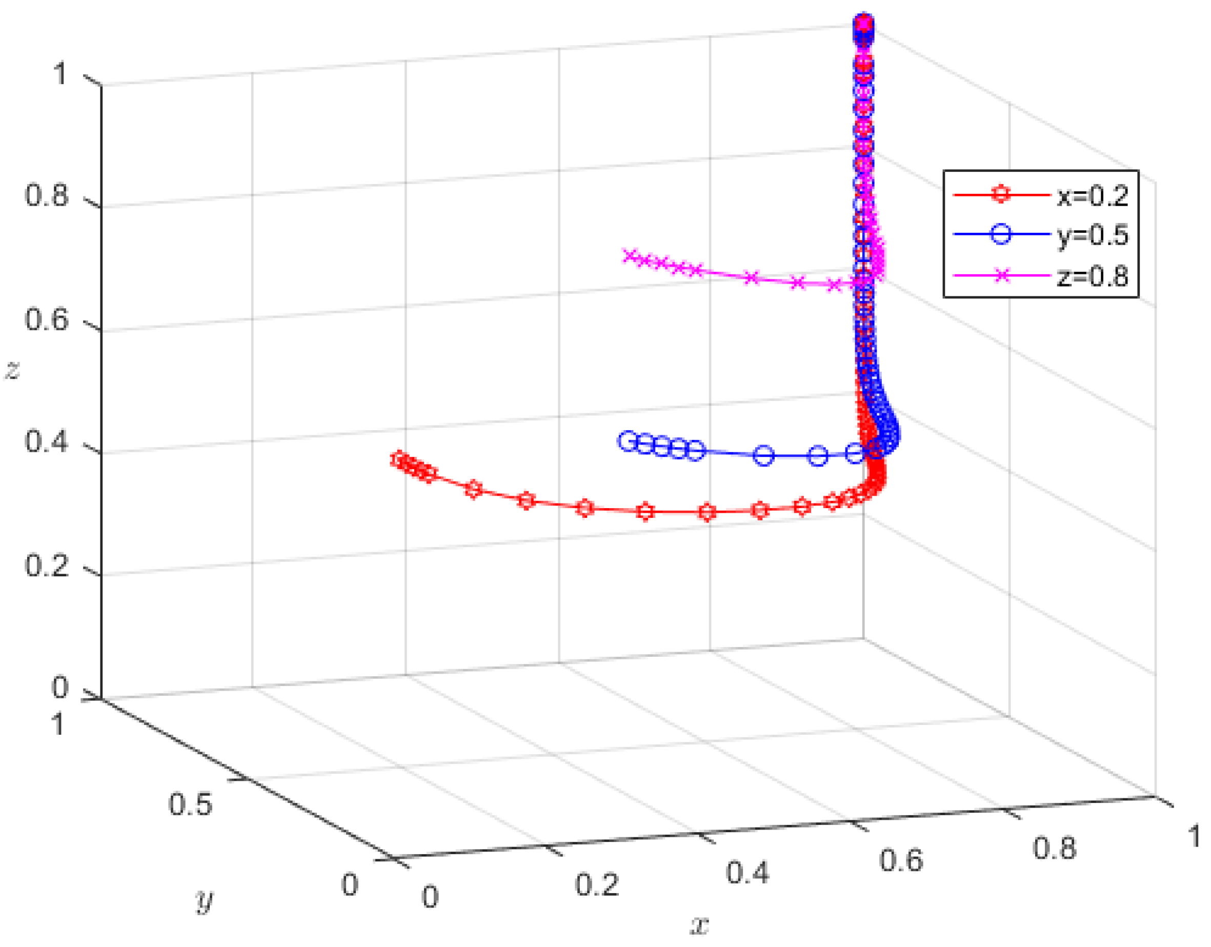
4.2. Simulation Analysis of Evolutionarily Stable Strategies for Jizhong Energy, the Public, and the Government
4.3. Simulation Analysis of Tripartite Evolutionary Stability in the Process of Energy Conservation and Emission Reduction
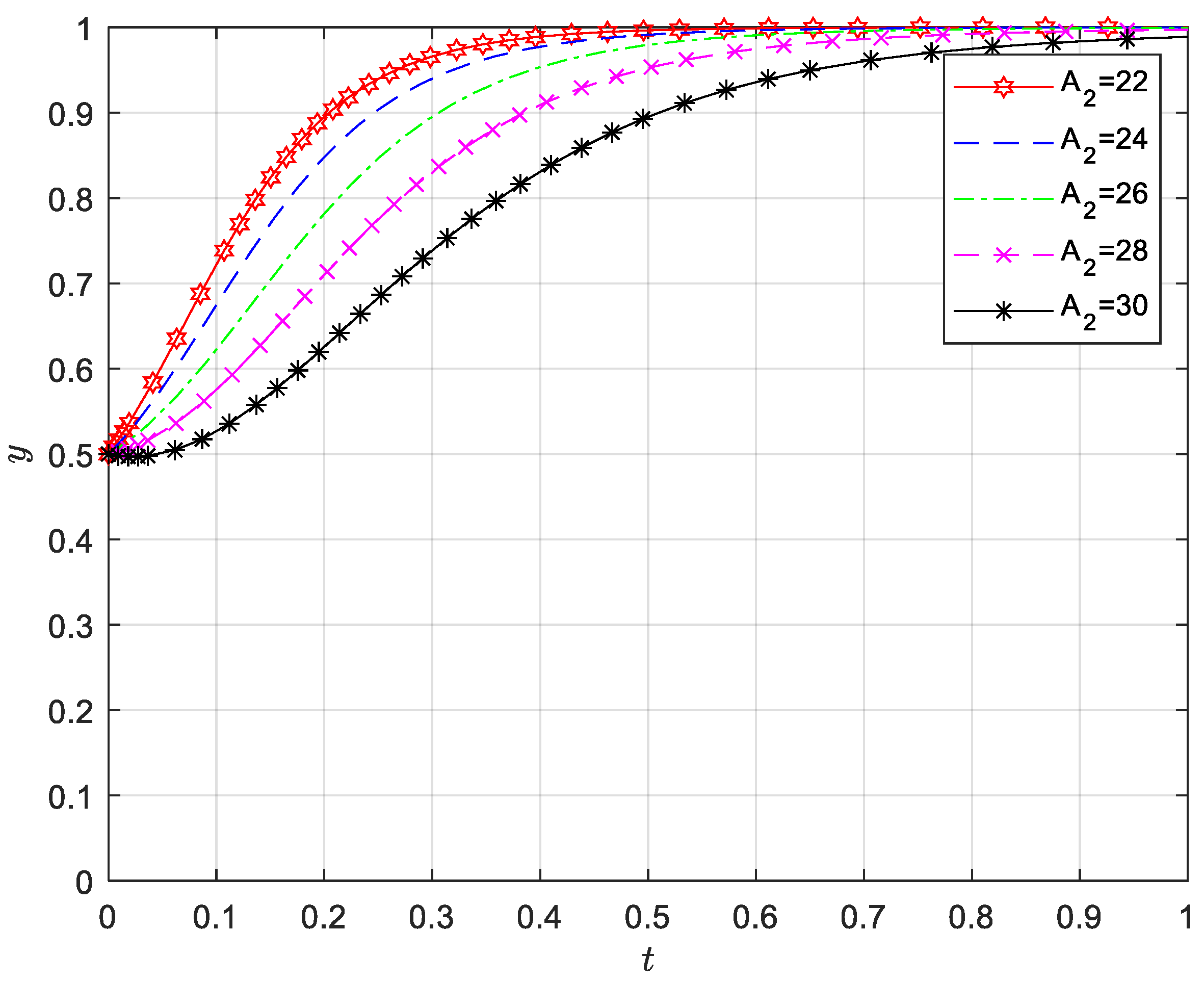
4.4. Sensitivity Analysis of Public Supervision Cost () on Public Strategic Choice
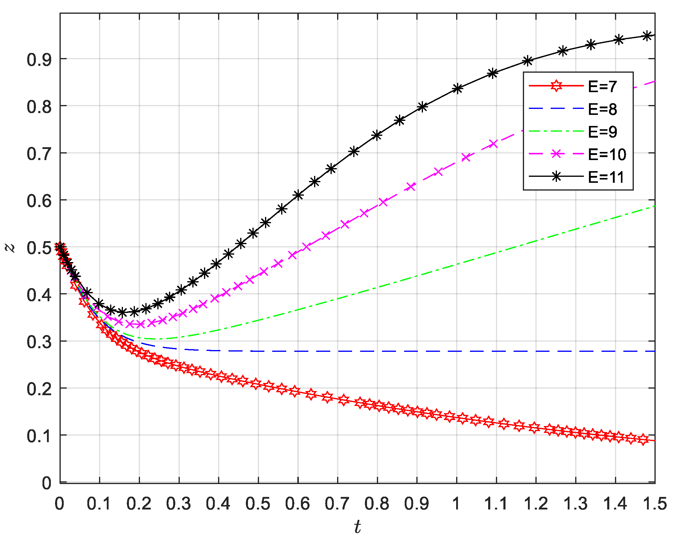
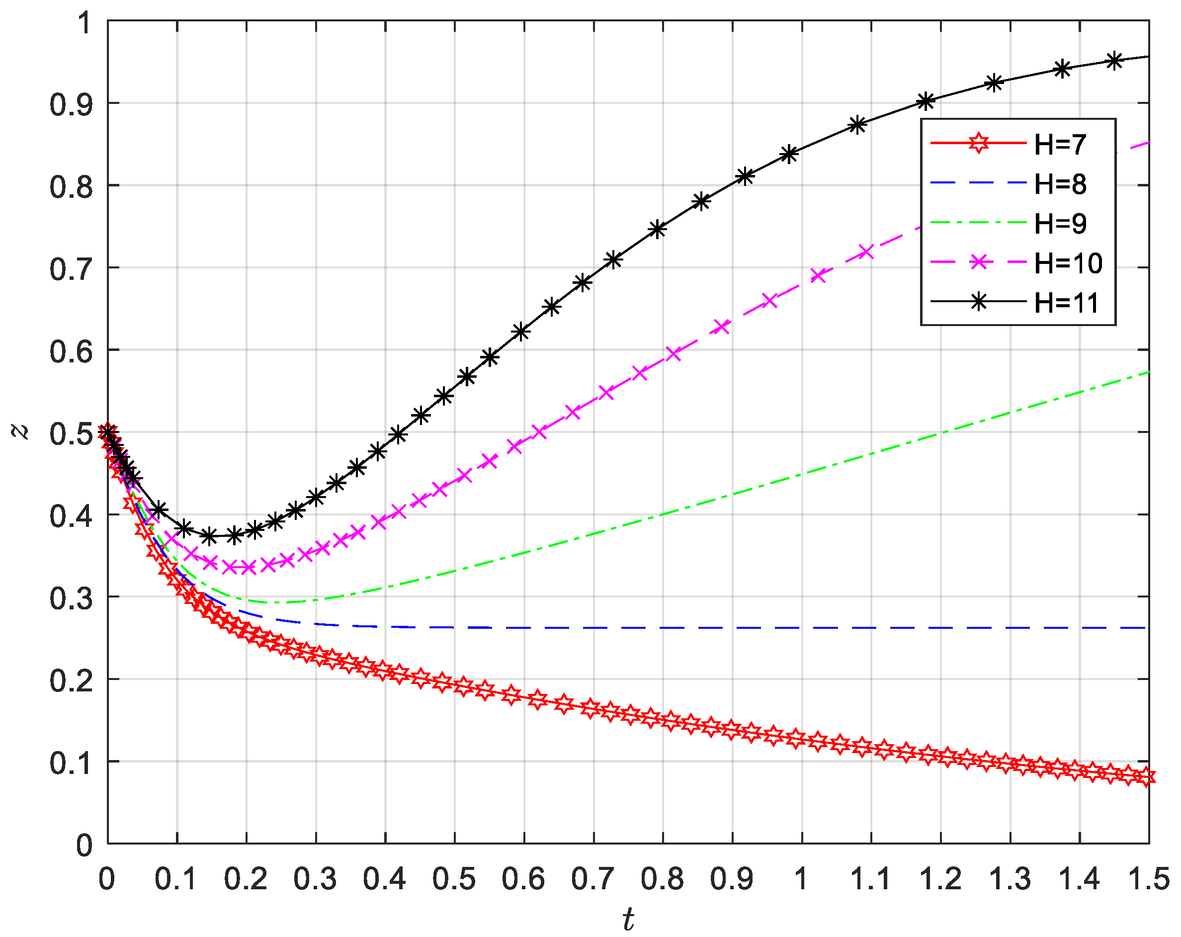
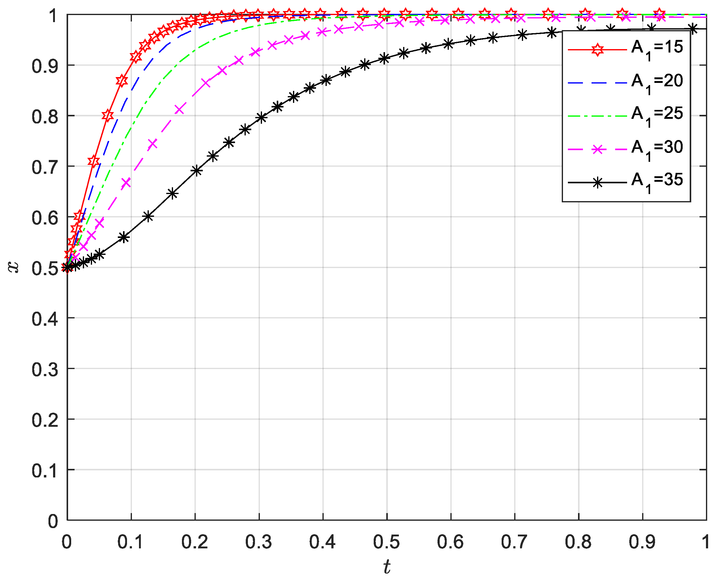
4.5. Sensitivity Analysis of Variations in Rewards (E) and Penalties (H) on the Strategic Choices of Jizhong Energy
4.6. Sensitivity Analysis of Variations in Government Regulation Costs () on Government Strategic Choices
5. Discussion
6. Conclusions, Suggestions, and Limitations
6.1. Conclusions
6.2. Suggestions
6.3. Limitations
Author Contributions
Funding
Institutional Review Board Statement
Informed Consent Statement
Data Availability Statement
Conflicts of Interest
References
- Huang, Y.; Wang, Y.; Peng, J.; Li, F.; Zhu, L.; Zhao, H.; Shi, R. Can China achieve its 2030 and 2060 CO2 commitments? Scenario analysis based on the integration of LEAP model with LMDI decomposition. Sci. Total Environ. 2023, 888, 164151. [Google Scholar] [CrossRef] [PubMed]
- Zhao, C.; Ju, S.; Xue, Y.; Ren, T.; Ji, Y.; Chen, X. China’s energy transitions for carbon neutrality: Challenges and opportunities. Carbon Neutrality 2022, 1, 7. [Google Scholar] [CrossRef]
- Yang, L.; Wang, S.; Zhang, Z.; Lin, K.; Zheng, M. Current development status, policy support and promotion path of China’s green hydrogen industries under the target of carbon emission peaking and carbon neutrality. Sustainability 2023, 15, 10118. [Google Scholar] [CrossRef]
- Liu, L.; Zong, H.; Zhao, E.; Chen, C.; Wang, J. Can China realize its carbon emission reduction goal in 2020: From the perspective of thermal power development. Appl. Energy 2014, 124, 199–212. [Google Scholar] [CrossRef]
- Zhang, H.; Zhang, X.; Yuan, J. Coal power in China: A multi-level perspective review. Wiley Interdiscip. Rev. Energy Environ. 2020, 9, e386. [Google Scholar] [CrossRef]
- Liu, S.; Lin, Z.; Jiang, Y.; Zhang, T.; Yang, L.; Tan, W.; Lu, F. Modelling and discussion on emission reduction transformation path of China’s electric power industry under “double carbon” goal. Heliyon 2022, 8, e10497. [Google Scholar] [CrossRef] [PubMed]
- Fang, T.; Fang, D.; Yu, B. Carbon emission efficiency of thermal power generation in China: Empirical evidence from the micro-perspective of power plants. Energy Policy 2022, 165, 112955. [Google Scholar] [CrossRef]
- Liu, K.; Wang, S.; Wu, Q.; Wang, L.; Ma, Q.; Zhang, L.; Li, G.; Tian, H.; Duan, L.; Hao, J. A highly resolved mercury emission inventory of Chinese coal-fired power plants. Environ. Sci. Technol. 2018, 52, 2400–2408. [Google Scholar] [CrossRef]
- Li, S.; Dong, C.; Yang, L.; Gao, X.; Wei, W.; Zhao, M.; Xia, W. Research on evolutionary game strategy selection and simulation research of carbon emission reduction of government and enterprises under the “dual carbon” goal. Sustainability 2022, 14, 12647. [Google Scholar] [CrossRef]
- Di, K.; Chen, W.; Zhang, X.; Shi, Q.; Cai, Q.; Li, D.; Liu, C.; Di, Z. Regional unevenness and synergy of carbon emission reduction in China’s green low-carbon circular economy. J. Clean. Prod. 2023, 420, 138436. [Google Scholar] [CrossRef]
- Spencer, T.; Colombier, M.; Sartor, O.; Garg, A.; Tiwari, V.; Burton, J.; Caetano, T.; Green, F.; Teng, F.; Wiseman, J. The 1.5 C target and coal sector transition: At the limits of societal feasibility. Clim. Policy 2018, 18, 335–351. [Google Scholar] [CrossRef]
- Cheng, Q.; Yang, J. Allocation and evolution of government attention in China’s electric power industry: An analysis based on policy text. Sustainability 2023, 15, 12479. [Google Scholar] [CrossRef]
- Liu, P.; Wu, J. Study on the diffusion of CCUS technology under carbon trading mechanism: Based on the perspective of tripartite evolutionary game among thermal power enterprises, government and public. J. Clean. Prod. 2024, 438, 140730. [Google Scholar]
- Wei, K.H. Information flow and its significance in coherently integrated policymaking for promoting energy efficiency. Environ. Sci. Technol. 2007, 41, 3047–3054. [Google Scholar]
- Tu, Z.; Hu, T.; Shen, R. Evaluating public participation impact on environmental protection and ecological efficiency in China: Evidence from PITI disclosure. China Econ. Rev. 2019, 55, 111–123. [Google Scholar] [CrossRef]
- Andrews, R.N.L.; Johnson, E. Energy use, behavioral change, and business organizations: Reviewing recent findings and proposing a future research agenda. Energy Res. Soc. Sci. 2016, 11, 195–208. [Google Scholar] [CrossRef]
- Xiong, Y.; Kong, D.; Song, G. Research hotspots and development trends of green coal mining: Exploring the path to sustainable development of coal mines. Resour. Policy 2024, 92, 105039. [Google Scholar] [CrossRef]
- Wu, X.; Xu, C.; Ma, T.; Xu, J.; Zhang, C. Carbon emission of China’s power industry: Driving factors and emission reduction path. Environ. Sci. Pollut. Res. 2022, 29, 78345–78360. [Google Scholar] [CrossRef]
- Meng, X.C.; Seong, Y.H.; Lee, M.K. Research characteristics and development trend of global low-carbon power—Based on bibliometric analysis of 1983–2021. Energies 2021, 14, 4983. [Google Scholar] [CrossRef]
- Chen, C.; Liu, W. Advances and future trends in research on carbon emissions reduction in China from the perspective of bibliometrics. PLoS ONE 2023, 18, e0288661. [Google Scholar] [CrossRef]
- Al-Shetwi, A.Q. Sustainable development of renewable energy integrated power sector: Trends, environmental impacts, and recent challenges. Sci. Total Environ. 2022, 822, 153645. [Google Scholar] [CrossRef] [PubMed]
- Zhang, H.; Zhang, X.; Yuan, J. Transition of China’s power sector consistent with Paris Agreement into 2050: Pathways and challenges. Renew. Sustain. Energy Rev. 2020, 132, 110102. [Google Scholar] [CrossRef]
- Guo, B.; Li, Y.; Wang, X. Steady-state analysis of social responsibility strategy of coal power enterprises from the perspective of game theory. Heliyon 2024, 10, e23124. [Google Scholar] [CrossRef]
- Wang, Y.; Mao, J.; Chen, F.; Wang, D. Uncovering the dynamics and uncertainties of substituting coal power with renewable energy resources. Renew. Energy 2022, 193, 669–686. [Google Scholar] [CrossRef]
- Xu, L.; Huang, F.; Du, J.; Wang, D. Decisions in power supply chain with emission reduction effort of coal-fired power plant under the power market reform. Sustainability 2020, 12, 6582. [Google Scholar] [CrossRef]
- Kou, J.; Sun, F.; Li, W.; Jin, J. Could China declare a “coal phase-out”? An evolutionary game and empirical analysis involving the government, enterprises, and the public. Energies 2022, 15, 531. [Google Scholar] [CrossRef]
- Liu, H.; Zhang, Z.; Chen, Z.M.; Dou, D. The impact of China’s electricity price deregulation on coal and power industries: Two-stage game modeling. Energy Policy 2019, 134, 110957. [Google Scholar] [CrossRef]
- Zhang, M.; Lv, T.; Zhao, Y.; Pan, J. Effectiveness of clean development policies on coal-fired power generation: An empirical study in China. Environ. Sci. Pollut. Res. 2020, 27, 14654–14667. [Google Scholar] [CrossRef]
- Xie, L.; Zhou, Z.; Hui, S. Does environmental regulation improve the structure of power generation technology? Evidence from China’s pilot policy on the carbon emissions trading market (CETM). Technol. Forecast. Soc. Chang. 2022, 176, 121428. [Google Scholar] [CrossRef]
- Liu, F.; Wei, Y.; Du, Y.; Lv, T. Mechanism and Influencing Factors of Low-Carbon Coal Power Transition under China’s Carbon Trading Scheme: An Evolutionary Game Analysis. Int. J. Environ. Res. Public Health 2022, 20, 463. [Google Scholar] [CrossRef]
- Kabeyi MJ, B.; Olanrewaju, O.A. Sustainable energy transition for renewable and low carbon grid electricity generation and supply. Front. Energy Res. 2022, 9, 743114. [Google Scholar] [CrossRef]
- Fang, Y.; Chen, L.; Mei, S.; Wei, W.; Huang, S.; Liu, F. Coal or electricity? An evolutionary game approach to investigate fuel choices of urban heat supply systems. Energy 2019, 181, 107–122. [Google Scholar] [CrossRef]
- Spence, D.B. Coal-Fired Power in a Restructured Electricity Market. Duke Envtl. L. Pol’y F. 2004, 15, 187. [Google Scholar]
- Zhang, H. China’s ownership policies in the coal sector: Effectiveness of capacity regulation and prospect for climate change mitigation. J. Energy Nat. Resour. Law 2022, 40, 251–274. [Google Scholar] [CrossRef]
- Yuan, J.; Lei, Q.; Xiong, M.; Guo, J.; Hu, Z. The prospective of coal power in China: Will it reach a plateau in the coming decade? Energy Policy 2016, 98, 495–504. [Google Scholar] [CrossRef]
- Zhao, T.; Liu, Z. A novel analysis of carbon capture and storage (CCS) technology adoption: An evolutionary game model between stakeholders. Energy 2019, 189, 116352. [Google Scholar] [CrossRef]
- Wang, Z.; Wang, Q.; Chen, B.; Wang, Y. Evolutionary game analysis on behavioral strategies of multiple stakeholders in E-waste recycling industry. Resour. Conserv. Recycl. 2020, 155, 104618. [Google Scholar] [CrossRef]
- Wang, S.; Li, Y.; Jia, J. How to promote sustainable adoption of residential distributed photovoltaic generation in China? An employment of incentive and punitive policies. Mitig. Adapt. Strateg. Glob. Change 2022, 27, 16. [Google Scholar] [CrossRef]
- He, J.; Li, Y.; Li, H.; Tong, H.; Yuan, Z.; Yang, X.; Huang, W. Application of game theory in integrated energy system systems: A review. IEEE Access 2020, 8, 93380–93397. [Google Scholar] [CrossRef]
- Wang, B.; Deng, K.; He, L.; Sun, Z. Behaviours of multi-stakeholders under China’s renewable portfolio standards: A game theory-based analysis. Energy Eng. J. Assoc. Energy Eng 2021, 118, 1333–1351. [Google Scholar] [CrossRef]
- Chen, X.; Cao, J.; Kumar, S. Government regulation and enterprise decision in China remanufacturing industry: Evidence from evolutionary game theory. Energy Ecol. Environ. 2021, 6, 148–159. [Google Scholar] [CrossRef] [PubMed]
- Kang, K.; Zhao, Y.; Zhang, J.; Qiang, C. Evolutionary game theoretic analysis on low-carbon strategy for supply chain enterprises. J. Clean. Prod. 2019, 230, 981–994. [Google Scholar] [CrossRef]
- Liu, Z.; Qian, Q.; Hu, B.; Shang, W.-L.; Li, L.; Zhao, Y.; Zhao, Z.; Han, C. Government regulation to promote coordinated emission reduction among enterprises in the green supply chain based on evolutionary game analysis. Resour. Conserv. Recycl. 2022, 182, 106290. [Google Scholar] [CrossRef]
- Wang, G.; Chao, Y.; Cao, Y.; Jiang, T.; Han, W.; Chen, Z. A comprehensive review of research works based on evolutionary game theory for sustainable energy development. Energy Rep. 2022, 8, 114–136. [Google Scholar] [CrossRef]
- Jiang, K.; You, D.; Merrill, R.; Li, Z. Implementation of a multi-agent environmental regulation strategy under Chinese fiscal decentralization: An evolutionary game theoretical approach. J. Clean. Prod. 2019, 214, 902–915. [Google Scholar] [CrossRef]
- Jiang, B.; Wang, X.; Xue, H.; Li, J.; Gong, Y. An evolutionary game model analysis on emission control areas in China. Mar. Policy 2020, 118, 104010. [Google Scholar] [CrossRef]
- Fan, K.; Hui, E.C. Evolutionary game theory analysis for understanding the decision-making mechanisms of governments and developers on green building incentives. Build. Environ. 2020, 179, 106972. [Google Scholar] [CrossRef]








| Coal-Fired Power Enterprise | Government | |||
|---|---|---|---|---|
| supervised | energy saving and emission reduction | | ||
| The public | No energy saving or emission reduction | |||
| non-supervised | energy saving and emission reduction | |||
| no energy saving or emission reduction | ||||
| Equilibrium Points | Eigenvalue 1 | Eigenvalue 2 | Eigenvalue 3 | Eigenvalue Symbol | Stability |
|---|---|---|---|---|---|
| () | unstable | ||||
| () | unstable | ||||
| () | ESS | ||||
| (+) | unstable | ||||
| () | unstable | ||||
| () | unstable | ||||
| (+) | unstable | ||||
| () | ESS |
Disclaimer/Publisher’s Note: The statements, opinions and data contained in all publications are solely those of the individual author(s) and contributor(s) and not of MDPI and/or the editor(s). MDPI and/or the editor(s) disclaim responsibility for any injury to people or property resulting from any ideas, methods, instructions or products referred to in the content. |
© 2024 by the authors. Licensee MDPI, Basel, Switzerland. This article is an open access article distributed under the terms and conditions of the Creative Commons Attribution (CC BY) license (https://creativecommons.org/licenses/by/4.0/).
Share and Cite
Gao, J.; Tan, Q.; Cui, B. Reducing Carbon Emissions from Coal-Fired Power Plants: An Analysis Using Evolutionary Game Theory. Sustainability 2024, 16, 10550. https://doi.org/10.3390/su162310550
Gao J, Tan Q, Cui B. Reducing Carbon Emissions from Coal-Fired Power Plants: An Analysis Using Evolutionary Game Theory. Sustainability. 2024; 16(23):10550. https://doi.org/10.3390/su162310550
Chicago/Turabian StyleGao, Jie, Qingmei Tan, and Bo Cui. 2024. "Reducing Carbon Emissions from Coal-Fired Power Plants: An Analysis Using Evolutionary Game Theory" Sustainability 16, no. 23: 10550. https://doi.org/10.3390/su162310550
APA StyleGao, J., Tan, Q., & Cui, B. (2024). Reducing Carbon Emissions from Coal-Fired Power Plants: An Analysis Using Evolutionary Game Theory. Sustainability, 16(23), 10550. https://doi.org/10.3390/su162310550
