Abstract
Every year, large amounts of shrimp waste are disposed of in the environment, causing serious environmental problems. The prospect of recycling shrimp waste helps to reduce waste and protect the environment. In this study, three different shrimp species were used, including Pleoticus muellieri, Litopeneus vanamei, and Parapenaeus longirostris, separated into shells (PLMUS, LIVAS, PALOS) and tails (PLMUT, LIVAT, PALOT), and transformed into novel carbonaceous materials. Their adsorption properties were investigated using different chemical compounds (MB, MR, phenol, astaxanthin) in aqueous means. The materials were characterized through FTIR, BET, and SEM–EDS analyses. According to the results, the carbonaceous adsorbents presented high adsorption percentage of MB and astaxanthin (>90%), and low adsorption percentage of phenol and MR, owing to the different bonds that were formed between the functional groups of the organic substances and the corresponding groups on the surface of the materials. The results of the FTIR analysis show the presence of C=C groups from the aromatic rings of the adsorbed MB and MR at 1636 cm−1, the presence of O-H functional groups from the adsorbed phenols at 3330 cm−1, and the presence of C=C or C=O groups at 1730 cm−1 after the adsorption of astaxanthin. According to the BET analysis, the increase in the specific surface area follows the order: LIVAS > PLMUS > PALOT > PALOS > PLMUT > LIVAT. SEM–EDS analysis presented compact structures with the main elements of C (37–56%), O (25–35%), and Ca (12–23%) for all materials. Kinetic analysis showed that the experimental adsorption data of all the organic substances can be best described by the pseudo-second order model, indicating that chemisorption is the prevailing mechanism. Consequently, such methods promote the sustainable management and zero-waste fish farming practices, fostering the production of high-added value materials not only for decontamination purposes but also for the isolation of bioactive substances.
1. Introduction
The depletion of global resources is driven by the growth of the world’s population, which is projected to reach nine billion by 2050, generating more and more solid, liquid, and/or gaseous waste, including sewage, industrial, and municipal wastes [1,2]. According to the FAO’s annual report for 2014, the global supply of seafood amounted to 167 million tons, with an estimated trade value of 148 billion dollars. Seafood is an important source of nutrients for human consumption [3]. Shrimp are an important food source for human consumption, and shrimp processing generates 13 million tons of crustacean shell waste annually [4]. Depending on the shrimp species and processing method, different types of waste are generated, with most of it (45% to 60%) consisting of heads and hard shells, which are usually disposed of in the environment and cause environmental problems [4,5]. Shrimp waste is any unused raw material that ends up in the soil, in landfills, and in the sea via sewage, causing eutrophication and odors in the environment, and increasing gas emissions into the atmosphere, escalating the greenhouse effect [5,6].
There is an increasing interest in utilizing shrimp waste to develop new products and reduce landfill deposition. The chemical composition of shrimp comprises 15–20% chitin, 25–40% proteins, and 40–55% inorganic salts. Chitosan is a low-cost bio-adsorbent material used for adsorbing heavy metals and/or dye from industrial wastewater [4,7,8]. The first material found in abundance in nature is cellulose, followed by chitin. Chitin is essentially a biopolymeric material with special physico-chemical properties, e.g., it is ideally bio-compatible and biodegradable during its use. It is used in the food industry, agriculture, medicine, the pharmaceutical industry, the environment, and the energy sector. The processing of chitin produces chitosan, which is enriched with calcium carbonate. Calcium carbonate is used as a raw material in agriculture, construction, and the chemical industry [9,10].
Industrial agricultural and marine waste can be used for the adsorption of organic and inorganic pollutants and to convert them into high-added value adsorbents, e.g., biochar. This process is achieved by the physical pyrolysis method. Physical carbonization of the materials is achieved by combining pyrolysis processes with assisted N2 or Ar flow. Then, a physical or chemical activation process of the materials may follow, either with the insertion of the samples into a carbonization unit with a CO2 flow (physical activation), or by using strong acids, e.g., H3PO4, H2SO4, HNO3, or alkalis, such as KOH, NaOH, and/or salts, such as ZnCL2 (chemical activation process). The pyrolysis and activation process converts biochar into activated carbon [11,12]. The pyrolysis process can lead to products such as biochar, pyrolysis gas, and bio-oil. Biochar is a porous, carbonaceous material that is heated to 300–1000 °C in the absence of oxygen. Co-pyrolysis processes use two or more biomass admixtures to obtain materials with new, combined properties [13,14]. Biochars are cheap, renewable materials that contribute to the idea of sustainable development, compared to industrial-activated carbons. They have high adaptability in applications due to their specific surface area, porosity, and many active functional groups for wastewater catalysis [15]. Previous studies [16] have shown the adsorption of dyes, especially methylene blue, to carbonaceous adsorbents derived from shrimp wastes in a proportion of adsorbent to adsorbate equal to 1.0 g/L, indicating that adsorption in equilibrium is reached after 500 min and that the shells of Pleoticus muellieri present the highest methylene blue adsorption percentage. In the present study, carbonaceous materials were produced with a different thermal process and with the program temperature remaining at a period of 200, 400, and 600 °C to achieve better carbonization of the final materials. Moreover, the ratio of adsorbent to adsorbate (1.0 g/L) from the previous study was low since the adsorption reached equilibrium after multiple hours, so in the present study, we increased this ratio to 10.0 g/L, and we assessed the ability of carbonaceous adsorbents to adsorb other dyes (methyl red) and bioactive compounds (phenol, astaxanthin). Finally, we examined the carbonaceous adsorbents that were derived from three different shrimp waste types, inserting a Mediterranean shrimp, i.e., Parapenaeus longirostris, which is common in the Aegean Sea and produces a lot of waste in the Greek fish industry. Consequently, the present study examined the production of new adsorbents characterized by methods such as Fourier Transform Infrared Spectroscopy (FTIR), Scanning Electron Microscopy (SEM) with Energy Dispersive X-ray Spectroscopy (EDS), and Brunauer–Emmett–Teller (BET) analysis, along with their ability to adsorb different organic molecules, providing an overall picture of their capabilities.
Various methods have been used to remove organic and inorganic compounds from water sources, e.g., electrochemical treatment, precipitation, ion exchange, reverse osmosis, and evaporation. However, the adsorption process has attracted particular interest because it is easy to use, energy-efficient, and environmentally friendly [17]. The adsorption process catalyzes liquid and gaseous pollutants through chemical interactions between the adsorbate’s molecules and adsorbent surfaces i.e., the adhesion of the pollutants to the active surface of the adsorbent. This adhesion of molecules is distinguished by three categories, physisorption by weak Van der Waals forces, chemisorption by strong covalent binding forces, and more rarely, by electrostatic attraction. Rapid catalysis of pollutants by adsorbents is achieved when the structure of the produced biochar has a high active surface area and uniform porosity, as well as an ideal resistance to temperature and friction [18]. Low-production-cost adsorbents catalyze hazardous toxic pollutants, e.g., phytopharmaceuticals, antibiotics, hydrocarbons, herbicides, dyes, phenols, and proteins. Consequently, the adsorption process contributes to the reuse of water resources and is expected to alleviate the problem of water scarcity [19,20].
The pyrolysis process occurs at temperatures between 300, 500, and 900 °C in an inert atmosphere, e.g., under nitrogen or argon gas flow, to produce carbon [21,22]. Biomass pyrolysis consists of three main stages: moisture elimination and material drying as the first stage, consecutive minor devolatilization, and major degradation of the more unstable polymers as the second stage, and the decomposition of a high-stability structure as the third stage. Lignocellulosic materials can be degraded during carbonization as the temperature rises. Hemicellulose and lignin degradation occur between 200–350 °C, and 200–500 °C, respectively, and lignin is characterized by a slower decomposition rate, where its degradation occurs in a wider temperature range, more specifically between 150 °C and 900 °C [23]. During pyrolysis, the lignocellulosic biomass produces volatile compounds such as H2, CO2, CO, H2O, and CH4. The advantages of the process include clean, green production without any secondary waste disposals compared to chemical activation [22].
This study focused on the production of carbonaceous materials via the pyrolysis of commercial shrimp by-products from different shrimp species. The produced materials were tested for their adsorption ability using different anionic and cationic substances, such as dyes, phenols, and astaxanthin. The characterization of the materials before and after the adsorption process was investigated using Fourier Transform Infrared Spectroscopy (FTIR), Scanning Electron Microscopy (SEM) with Energy Dispersive X-ray Spectroscopy (EDS), and Brunauer–Emmett–Teller (BET) analysis. The experimental adsorption data of each compound were fitted to different adsorption kinetic models, i.e., pseudo-first order, pseudo-second order, Elovich, and intraparticle diffusion models.
2. Experimental
2.1. Sample Preparation and Pyrolysis Process
Commercially available shrimp of the species Pleoticus muellieri (PLMU), Litopeneus vanamei (LIVA), and Parapenaeus longirostris (PALO) were purchased from a local market on Lemnos Island in Myrina. The samples were separated into shells (PLMUS, LIVAS, PALOS) and tails (PLMUT, LIVAT, PALOT), then washed under running water, dried in the laboratory at 105 °C for 24 h, crushed in a laboratory blender, sieved up to 200 μm, and then stored in a shaded place at 20 °C. Each sample in powder form was placed in a ceramic crucible. The pyrolysis unit consists of the horizontal pyrolysis oven with a built-in quartz tube that forms the pyrolysis area, the central and remote unit, and the inert gas rheometer with a nitrogen gas cylinder. The ceramic crucibles were placed horizontally in the combustion chamber and the chamber was sealed. The nitrogen flow rate was equal to 520.1 mL/min as measured by the rheometer and inserted into the tube (Figure 1). Before the beginning of the thermal process, we inserted nitrogen gas for 10 min to remove the air from the chamber. The combustion program (PYROLOGISM 2.0 software) was set via the remote pyrolysis unit as detailed in Table 1. The PYROLOGISM 2.0 control and monitoring software helped continuously monitor the control temperature, the independent thermocouple (K type) inputs (typical accuracy ±0.2%), and the real-time graphical presentation of the executed program data. The thermal process lasted for 137 min. The samples remained at 850 °C for 30 min and then were physically cooled down by leaving them inside the furnace without heating to return to room temperature. The three-zone model of the reactor-type furnace RCT-AW1-O-1150 Thermansys, Thessaloniki, Greece, offers the best solution for many applications involving controlled atmosphere tubular reactors, heating up to 1100 °C. The nominal maximum power was equal to 5400 W. The carbonaceous materials were weighed before (W0) and after (W1) the carbonization process, and then stored in a shaded place at 20 °C. The percentage of weight loss can be calculated by the following equation:
Figure 1.
Diagram of the pyrolytic unit.
Table 1.
Pyrolysis program for the carbonization of shrimp waste.
2.2. Characterization of the Adsorbents
The IR spectra were determined for the carbonized biomass before and after the adsorption of methylene blue (MB), methylene red (MR), phenols, and astaxanthin. An Agilent Cary 630 FTIR spectroscope equipped with an ATR accessory was used with Microlab Pharma 5.8 software. All measurements were performed on the same day at 25 °C. The spectra were measured in the range from 400 to 4000 cm−1. The diamond ATR sensor was cleaned with ethyl alcohol or acetone before each sample measurement.
The SEM–EDS studies of the adsorbents were performed in a JEOL JSM-IT500 Scanning Electron Microscopy (SEM), JEOL Ltd., Boston, MA, USA and simultaneously, elementary analysis was determined by Energy Dispersive X-ray Spectrometry (EDS) with the use of X-Act detector by Oxford Instruments, High Wicombe, UK. Detection limits of EDS are typically considered to be ≥1% for low atomic number elements (F to Be), and ≥0.1% (1000 ppm) for higher atomic number elements. Error ranged from ±2% to ±5% relative to the major components. The 108C Auto Carbon Coater is the available advanced sample coater for coating non-conductive specimens before SEM X-ray analysis.
The specific surface area and the porosity of the adsorbents were analyzed with a Tristar II plus surface area & porosity analyzer. The carrier gases were helium and nitrogen. Samples were weighed, placed in a sample container on the analyzer, and degassed individually for 24 h at 300 °C. They were then allowed to cool before being stored under nitrogen gas at a pressure of 5 mmHg for 24 h. Characterization in terms of specific surface area, pore volume, and pore diameter of the obtained materials was determined by N2 adsorption-desorption at −196 °C following the BET method. The pore size distribution was determined by using the Barrett–Joyner–Halenda (BJH) model [24]. The coefficient of variation (CV) of this method ranges from 0.06 to 0.18%.
2.3. Adsorption Experiments
Different aqueous solutions of methylene blue, methyl red, pure phenol, and astaxanthin (95% purity) were prepared in a concentration of 0.032 gL−1. The aqueous solutions were stored in a 1L borosilicate glass volumetric flask and kept in a shaded place at T = 20 °C. The carbonaceous materials (PLMUS, PLMUT, LIVAS, LIVAT, PALOS, PALOT) derived after the pyrolysis process in powder form, were mixed separately with each aqueous solution and placed in test tubes at a ratio of 10 g of adsorbent/L solution. More specifically, 0.15 g of each adsorbent was mixed with 15 mL of each aqueous solution. The samples were then stirred at 240 rpm. At different time intervals, an amount of the solution was centrifuged at 7000 rpm for 5 min, and the absorbance was measured using a UV-Vis—Shimadzu—UV-1900i spectrophotometer, Shimadzu Corporation, Kyoto, Japan (λ = 664 nm for MB, 431 nm for MR, 550 nm for astaxanthin, and 270 nm for phenols). The adsorbed amount (qt) of each adsorbate was determined from the difference between the initial quantity of adsorbate in the solution and the measured quantity of adsorbate in the solution at different time intervals according to the following equation:
where qt is the amount of adsorbate adsorbed per unit mass of adsorbent (mg−1), at time, t (min), Co is the initial concentration of adsorbate in the solution (mgL−1), Ct, the concentration of adsorbate in the solution at different time intervals (mgL−1), V is the volume of the adsorbate (L), and m is the mass of adsorbent (g). After the adsorption experiments, the materials were collected and stored to be characterized by the FTIR analysis. To investigate the effect of solutions pH on the adsorption capacity of carbonaceous materials, batch adsorption experiments were employed by using 0.15 g of each carbonaceous material to 15 mL of 0.032 g/L adsorbate with different pH values (pH = 3, 8, 10). The choice of appropriate pH values was determined by investigating the literature. According to Liu et al. [25], methylene blue adsorption on activated materials derived from shrimp is higher in basic compared to acidic conditions. Franciski et al. [26] indicated that the MB adsorption percentage on activated biochar derived from the solid wastes from the beer industry was high in pH with values between 6 and 10. The adsorption of methyl red [27,28] is based on chemisorption and is especially cited as the main mechanism for the adsorption of anionic dyes in acidic conditions (pH between 2 and 3). Moreover, Xie et al. [29] reported that the best pH values for phenol adsorption on commercial activated carbons are around 7.0 to 8.0. Finally, the adsorption of astaxanthin from commercial activated carbons was also investigated to be at a pH range from 6–8 [30].
2.4. Statistical Analysis
The experimental data and standard errors were analyzed using Microsoft Excel (Microsoft 365) and the statistical analysis (ANOVA with a post-hoc Tuckey’s honest significant difference test) was performed with help from the online Web Statistical Calculator [31]. When the p-value corresponding to the F-statistic of a one-way ANOVA is lower than 0.05, it suggests that one or more treatments are significantly different (indicated by different lowercase letters in the figures); otherwise, the treatments show insignificant differences (indicated by the same letters in the figures).
2.5. Kinetic Study
The kinetic study of the adsorption of methylene blue, methyl red, phenols, and astaxanthin on carbonaceous adsorbents was also investigated using five different models, namely pseudo-first order, pseudo-second order, Elovich, power, and intraparticle diffusion models. The equations of the five models are presented in Table 2.
Table 2.
Kinetic equations of five different models, i.e., pseudo-first order, pseudo-second order, Elovich, power, and intraparticle diffusion models.
3. Results
3.1. Pyrolysis Process and Characterization of the Materials Through FTIR, BET, and SEM–EDS Analysis
The recorded variation of temperature versus time in the three pyrolyzed zones is presented in Figure 2. The temperatures at which a thermostat has been set are observed in Figure 2. Three thermocouples measured the actual temperature at three zones (left, middle, and right side of the oven) versus time. The initial rate was 10 °C/min, while the program remained for 10 min at 200 °C, 400 °C, and 600 °C before the final temperature of 850 °C. According to Figure 2, the increase in temperature, as set by the thermostat, presents slow variations in the actual temperature measured by the thermocouples across the three different zones until 400 °C. At higher temperatures, there is an agreement between the theoretical and experimental temperature values, demonstrating excellent furnace performance until the end of the experiment at 850 °C. Consequently, all materials reached the desired temperature of 850 °C independently of their position. The choice of the final temperature (850 °C) and the remaining duration (30 min) in this temperature was the result of conducting other studies [21], and the fact that as mentioned in the introduction section, the integrated degradation of the lignocellulosic materials occurs between 800–900 °C.
Figure 2.
Temperatures of different parts of the pyrolyzed unit (left, middle, right position) compared to the set point temperature, versus time.
Moreover, the energy consumed at this stage was equal to 7511 kJ, and the three different control systems for each zone balanced the power to the heating elements to adapt for any end losses, resulting in prolonged and enhanced thermal uniformity in the furnace. Although carbonization is a simple process without impregnation and washing steps, it has a shorter processing time than chemical activation, and the high-temperature profile (up to 850 °C) corresponded to greater energy consumption and potentially higher operational cost.
At the end of the pyrolysis process, the percentage weight losses of the six different shrimp samples PLMUS, PLMUT, LIVAS, LIVAT, PALOS, and PALOT were calculated, and the results are presented in Figure 3. The percentage weight loss increased significantly for all the materials in the following order: PLMUT by 68.90%, PALOT by 64.10%, LIVAT by 63.40%, LIVAS by 62.80%, PALOS by 62.00%, and PLMUS by 59.00%. According to the statistical analysis (Tukey’s post-hoc test), the tail of Pleoticus muelleri had the significantly highest weight loss, while the shell of Pleoticus muelleri had the lowest. All the other materials (LIVAS, LIVAT, PALOS, PALOT) did not present significant differences.
Figure 3.
Weight loss percentage and Tukey’s post-hoc test of the shrimp after the carbonization process, where a,b,c the statistical letters provided to show the differences between the treatments.
The FTIR analysis of the carbonized materials is shown in Figure 4. The shells and tails of the shrimp species pyrolyzed at 850 °C show absorption bands at 669 cm−1 and 601 cm−1, indicating the presence of C=O bending vibrations [32], while the absorption bands at 711 and 713 cm−1 indicate the presence of out-of-plane hydroxyl stretching vibrations [17]. In addition, the absorption bands at 875 cm−1 indicate the presence of glycosidic bond stretching, C-O-C [17], while the absorption bands from 1020 to 1035 cm−1, as well as from 1080 to 1090 cm−1 correspond to C-O, C-C, and carbon skeleton stretching vibrations, respectively [32,33,34]. The absorption bands at 1400 cm−1 were amplified due to CH deformations [17].
Figure 4.
FTIR spectra of the carbonaceous adsorbents.
Most of the above absorption bands (Figure 4) were weak, indicating that the presence of many groups was difficult to identify due to their low concentration and proportion in comparison to the carbon elements and due to the spectrum background, which is caused by the absorption of the black color from the carbonaceous materials [35].
The results of the FTIR analysis after MB adsorption are shown in Figure 5. Comparing Figure 4 and Figure 5, new absorption bands are presented at 3246–3272 cm−1, corresponding to O-H stretching vibrations [36], at 1636 cm−1 indicating the presence of C=C stretching vibrations, characteristic peaks of MB aromatic rings [37], and at 1224 cm−1 caused by the stretching vibration of C-O (epoxy, hydroxyl, and carboxylic groups), C-N, and C-C [34]. Moreover, the absorption band at 870 cm−1, except for the presence of -C-O-C [17], may be attributed to N-H vibrations of MB molecules [38].
Figure 5.
FTIR spectra of carbonaceous adsorbents after MB adsorption.
The differences between the carbonized materials (Figure 4) and the carbonized materials after MR adsorption (Figure 6) show a range of absorption bands between 3242 and 3267 cm−1, which corresponded to O-H stretching vibrations and H-bonded vibrations [39], the absorption bands at 1632–1636 cm−1 are attributed to C=C stretching vibrations [39,40], and the peaks at 1216–1224 cm−1 correspond to C-N stretching vibrations [39].
Figure 6.
FTIR spectra of carbonaceous adsorbents after methyl red adsorption.
According to the FTIR analysis of the carbonaceous adsorbents after the adsorption of phenol (Figure 7), the broad absorption bands at 3304–3335 cm−1 belong to O–H stretching vibration of phenolic groups [41,42], the absorption bands at 1636 cm−1 are a result of C=C stretching vibrations [39,40], and the peaks at 594–598 cm−1 are attributed to C=O bending vibrations [32]. All the other absorption bands are also present in the carbonaceous adsorbents before phenol adsorption (Figure 4).
Figure 7.
FTIR spectra of carbonaceous adsorbents after the adsorption of phenol.
A comparison between the FTIR analysis of the adsorbed astaxanthin from carbonaceous adsorbents (Figure 8) and the initial materials (Figure 4) shows the presence of O-H stretching vibrations and H-bonded vibrations between 3246 and 3272 cm−1 [39], the identification of C=C stretching vibrations occurred at 1621–1641 cm−1 [39,40], and stretching vibrations of C-O are present at 1213–1224 cm−1 [43,44]. The positions of C=C shifted to 1733–1735 cm−1 with the carbonaceous adsorbents after carotenoid adsorption, which suggests they might participate in carotenoid complexation [44]. Other studies [43] indicated that the absorption bands at 1733-1735 cm−1 correspond to C=O stretching vibrations in the astaxanthin molecule.
Figure 8.
FTIR spectra of carbonaceous adsorbents after the adsorption of astaxanthin.
The basic characteristics of the pore structure of all adsorbents are outlined in Table 3. Comparing the specific surface area (Sbet) of the materials, it seems that the increase in the Sbet follows the order: LIVAS > PLMUS > PALOT > PALOS > PLMUT > LIVAT. Comparing the carbonaceous adsorbents of the same origin, it seems that the shells and tails of Parapenaeus longirostris (PALO) and Pleoticus muellieri (PLMU) present similar specific surface areas while the shells and tails of Litopeneus vanamei (LIVA) present different values of Sbet. Moreover, according to the adsorption average pore diameter values (daver.p.d., dBJH, aver.p.d), the PLMU shells and tails presented the highest diameter values while LIVA had the lowest. Furthermore, carbonaceous adsorbents derived from shells presented higher total pore volume compared to tails for all shrimp species. Table 3 shows that the minimum total pore volume occurred with the LIVAT materials, and the maximum total pore volume appeared in PLMUS.
Table 3.
Characteristics of pore structure, i.e., SBET: specific surface area, Vtot: total pore volume, daver.p.d.: adsorption average pore diameter, and dBJH, aver.p.d.: BJH adsorption average pore diameter.
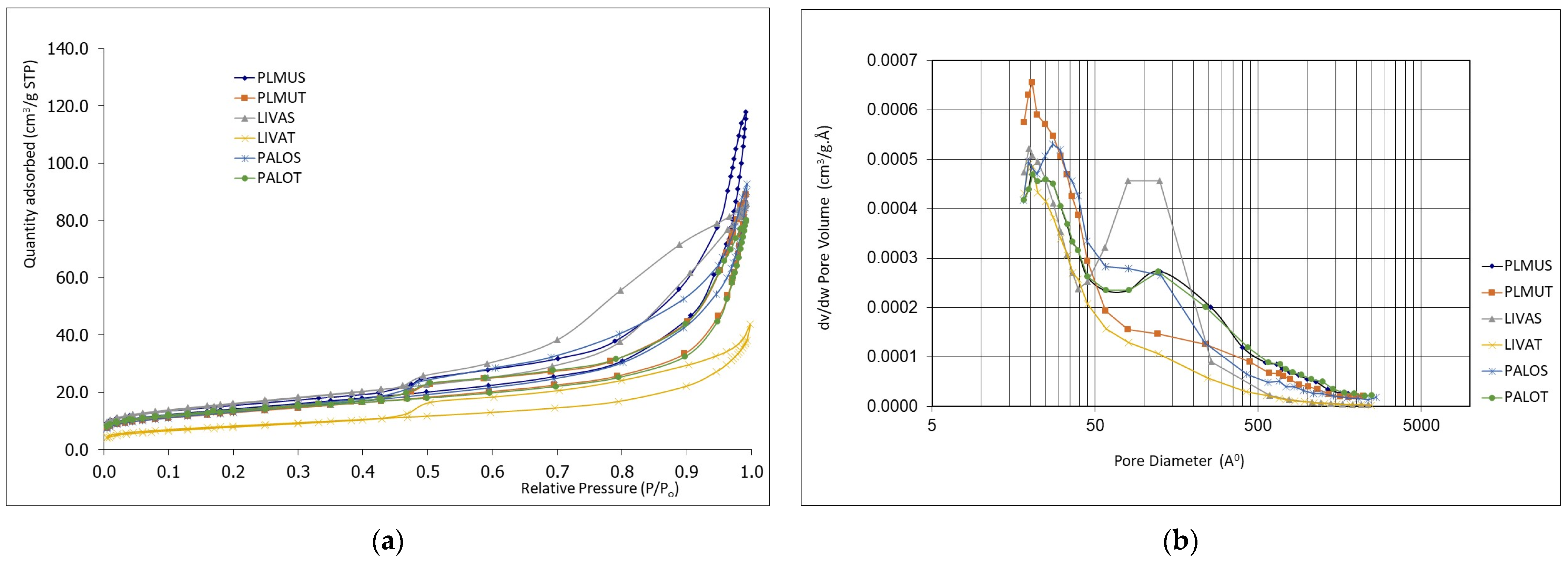
Following the classification adopted by the International Union of Pure and Applied Chemistry (IUPAC) [45], adsorbent pores are classified into three groups: micropore (diameter < 2 nm), mesopore (2–50 nm), and macropore (>50 nm). The average adsorption pore width, according to the BET and BJH methods, demonstrates that all materials mainly exhibit a pore diameter in the range of 9.0–16.5 nm, in which the pore sizes become predominantly mesoporous. The porous features of the adsorbents were analyzed using nitrogen (N2) isothermal adsorption/desorption measurements and pore size distributions (Figure 9). All samples exhibited a type IV isotherm with a hysteresis loop, indicating mesopore structures. The type H3 hysteresis loops are characteristic of a mesoporous material with slit-shaped pores or wedge-shaped pores according to IUPAC classification [46], and monolayer formation begins at low pressure, and multilayer formation occurs at medium pressure [47].
Figure 9.
(a) The N2 adsorption−–desorption isotherm and (b) the pore size distribution (PSD) based on the BJH method of the prepared samples.
Scanning electron microscopy with EDS analysis was used to assess the six different materials (Figure 10). SEM images are included in two magnifications, i.e., 500× and 100× for the carbonaceous materials. The materials presented compact structures in the higher magnifications which are related to the surface texture and porosity. The materials PALOT, LIVAS, and PLMUT adopted a more sponge-like appearance, with some heterogeneity in the particle sizes.

Figure 10.
SEM images of the different shrimp species after the carbonization process in two magnifications, 500× and 100×, where different letters refer to the different species, e.g., (a) PLMUS, (b) PLMUT, (c) LIVAS, (d) LIVAT, (e) PALOS, and (f) PALOT (the first column is 500× and the second column is 100×).
The increase in the ratio of C/O for all the materials follows the order: PALOT < PLMUS < PLMUT < PALOS < LIVAS < LIVAT. Shrimp and crab are good sources of minerals and are especially high in phosphorus, calcium, potassium, sodium, and magnesium, according to the literature [48]. Based on the EDS analysis (Table 4), the main elements are carbon from 37 up to 56%, oxygen from 25 to 35%, and Ca from 12 to 23%, for all materials. Other elements include K, CL, Na, Mg, and P. For the carbonized adsorbents, LIVAS and LIVAT materials appear to have a higher concentration of carbon and a lower concentration of oxygen compared to the rest of the materials. According to Yu et al., 2021 [49], the hierarchical porous biochar, produced by the shrimp shells, presented high graphitization and consequently, indicated the presence of high micro- and mesoporous structures. High graphitization is a significant factor for better adsorption capacity. Shrimp shell impurities, such as Ca, Na, Mg, P, and Cl, served as inherent pore-template, which might condense and grow as nuclei to larger sizes, thus endowing biochar with equally distributed meso- and micropores. Comparing Table 3 and Table 4, it seems that materials with high values of total pore volume present high ratios of C/O, as seen with the LIVAS material, while the PALOT material appears to have a lower total pore volume and consequently, a lower ratio of C/O than LIVAS. Finally, although the PALOS, PLMUS, and PLMUT materials show a lower ratio of C/O than LIVAS, they have a higher total pore volume due to a higher weight percentage of the other elements (Ca, P, Mg, K, Na, CL) that act as nuclei, creating more pores to carbon.
Table 4.
EDS analysis (w./w.) of the carbonaceous modified materials.
3.2. Influence of pH on the Adsorption Process of MB, MR, Phenol, and Astaxanthin onto Carbonaceous Materials
The influence of pH is an important parameter for the acceleration or deceleration of the adsorption process since it acts on the adsorbate and adsorbent surface, and affects the binding ability of the carbonaceous materials with MB, MR, phenols, and astaxanthin.
The relationship between solution pH and the adsorption capacity of the samples is presented in Figure 11. According to Figure 11a, the adsorption capacities of all samples concerning MB dye decreased at the lowest pH of 3.0. When solution pH values increased, the adsorption capacities increased and reached the maximum adsorption percentage values of 94.13, and 94.18%, for PLMUS and PLMUT, respectively, at a pH of 8.0, and 99.06, 98.78, 85.29, and 82.99%, for LIVAS, LIVAT, PALOS and PALOT at a pH of 10.0, respectively. However, when pH was increased to values higher than 7.0, the adsorption capacity of the adsorbent continued to slightly increase. According to Figure 11b, the maximum adsorption percentage of MR is presented in an acidic pH (3.0) for all the carbonized materials. According to Figure 11c, the carbonaceous materials presented the highest adsorption of phenol at a pH of 8.0 (slightly alkaline), with values between 31.72 and 46.89%. Finally, the adsorption of astaxanthin (Figure 11d) presented the highest adsorption at a pH of 8.0 for all the examined carbonaceous adsorbents, with values that ranged from 77.2 to 95.5%. Moreover, the Tukey’s post-hoc tests indicated a significant adsorption percentage of phenol and astaxanthin at pH 8, methylene blue at pH 8 and 10, and methyl red at pH 3.
Figure 11.
Adsorption percentage and Tukey’s post-hoc test for organic compounds ((a) MB, (b) MR, (c) phenol, and (d) astaxanthin) on carbonaceous materials at different pH values, where a,b,c the statistical letters provided to show the differences between the treatments.
3.3. Adsorption and Kinetic Analysis of MB, MR, Phenol and Astaxanthin onto Carbonaceous Materials
Figure 12a and Figure 13a show the results of MB’s adsorption tests and the statistical analysis according to Tukey’s post-hoc tests. Each point depicted in the above figures, i.e., Bi, represents the corresponding point of MB adsorption on each carbonaceous adsorbent. The results show that the carbonaceous material obtained from the tail of the shrimp species Litopeneus vanamei (LIVAT) has a high MB adsorption percentage in equilibrium equal to 97.50%, while the corresponding low percentage for the carbonaceous material obtained from the shell of the shrimp species Parapenaeus longirostris (PALOS) was equal to 79.80%. All other carbonaceous materials achieved medium MB adsorption percentage mean values in equilibrium: LIVAS 95.29%, PLMUT 94.18%, PLMUS 94.14%, and PALOT 85.31%. According to the statistical analysis of Figure 12a, the adsorption percentage of MB dye on carbonaceous adsorbents LIVAT, LIVAS, PLMUT, and PLMUS presents no significant difference. Moreover, the MB adsorption percentage of the above materials shows a highly significant difference with the corresponding MB adsorption on PALOT and PALOS materials. According to Figure 13a, the adsorption of MB on LIVAT reaches equilibrium (3.12 mg MB/g of carbon) after 30 min, and the dye adsorption on PALOS reaches equilibrium (2.55 mg MB/g of carbon) after 120 min. All the other carbonaceous materials present intermediate MB adsorption mean values in equilibrium. The statistical analysis shows the same results as shown in Figure 12a.
Figure 12.
Adsorption percentage and Tukey’s post-hoc test of different compounds, i.e., (a) MB, (b) MR, (c) phenol, (d) astaxanthin on the carbonized shrimp wastes at an adsorbent to adsorbate ratio equal to 10/1 g/L, where Bi, i = 1 to 6, representing the points corresponding to MB, R i, i = 1 to 6, representing the points corresponding to MR, Pi, i = 1 to 6, representing the points corresponding to phenol, and A i, i = 1 to 6, representing the points corresponding to astaxanthin, a,b,c,d are the statistical letters provided to show the differences between the treatments.
Figure 13.
Adsorbed amount and Tukey’s post-hoc test for the different compounds, i.e., (a) MB, (b) MR, (c) phenol, (d) astaxanthin per gram of adsorbent at an adsorbent to adsorbate ratio equal to 10/1 g/L, where Bi, i = 1 to 6, representing the points corresponding to MB, Ri, i = 1 to 6, representing the points corresponding to MR, Pi, i = 1 to 6, representing the points corresponding to phenol, and Ai, i = 1 to 6, representing the points associated with astaxanthin, a,b,c,d are the statistical letters provided to show the differences between the treatments.
The adsorption percentage of methyl red (MR) on carbonaceous materials (PLMUS, PLMUT, LIVAS, LIVAT, PALOS, PALOT) and the statistical analysis is presented in Figure 12b. Each point depicted in Figure 12b, i.e., Ri, represents the corresponding point of the MR adsorption percentage on each carbonaceous adsorbent. The results show that the MR adsorption percentage on carbonaceous adsorbents follows the order: PLMUS, PALOS > PLMUT > LIVAS, PALOT > LIVAT, indicating that there is no significant difference between the MR adsorption percentage on PLMUS and PALOS and between LIVAS and PALOT, respectively. The results have shown that the carbonaceous materials obtained from the shell of the shrimp species Pleoticus muellieri (PLMUS) and Parapenaeus longirostris (PALOS) have the highest adsorption percentage, 56.98 and 55.09%, respectively compared to the carbonaceous material obtained from the shell of the shrimp species Litopeneus vanamei (LIVAT) 11.34%. All other carbonaceous materials achieved medium MR adsorption values: PLMUT 48.62%, LIVAS 36.14%, and PALOT 33.64%. The adsorption means values of MR versus each carbonaceous material and the statistical analysis appeared in Figure 13b. It is clear that MR adsorption reaches equilibrium after 120 min (1.82 and 1.76 mg MR/g carbon derived from PLMUS and PALOS, respectively) while the equilibrium adsorption value of LIVAT is equal to 0.44 mg MR/g of carbon after the same duration as previously. The other carbonaceous materials present different MR adsorption values in mg MR/g carbon: PLMUT (1.56), LIVAS (1.16), and PALOT (1.08). The statistical analysis shows the same results as Figure 12b.
The phenol adsorption percentage of the carbonized materials and the phenol adsorption values per gram of the adsorbent with their statistical analysis are shown in Figure 12c and Figure 13c. Each point depicted in Figure 12c and Figure 13c, i.e., Pi, represents a corresponding point of phenol adsorption on each carbonaceous adsorbent. The shrimp species Parapenaeus longirostris (PALO) has the highest phenol adsorption percentage in equilibrium, (46.89% for PALOS and 43.25% for PALOT), compared to all the other carbonaceous materials. The adsorption percentage of phenol on carbonaceous materials follows the decreasing order: PALOS, PALOT > LIVAS ≥ PLMUT, PLMUS ≥ LIVAT. Figure 13c indicates the amount of phenols adsorbed per gram of adsorbent versus time. It seems that PALOS and PALOT reached equilibrium (1.50 mg/g for PALOS and 1.38 mg/g for PALOT) after 120 min. The statistical analysis applied in Figure 13c shows the same results as the one applied in Figure 12c.
Figure 12d and Figure 13d show the adsorption experiments of astaxanthin (AS) and their statistical analysis on the different shrimp species. Each point depicted in Figure 12d and Figure 13d, i.e., Ai, represents the corresponding point of AS adsorption on each carbonaceous adsorbent. According to the astaxanthin adsorption percentages on the different materials (Figure 12d), the maximum AS adsorption in equilibrium is observed from pyrolyzed carbons derived from PALO (99.70%) and PLMUS (99.67%) while the rest of the materials present lower mean values of AS adsorption in equilibrium. The statistical analysis has shown that AS adsorption percentage in equilibrium on PLMUT, LIVAS, and LIVAT presented no significant difference. According to Figure 13d, the highest amount of AS adsorbed per gram of adsorbent shows 3.19 and 3.18 mg of AS adsorbed per g of PALO and PLMUS, respectively. The statistical analysis applied in Figure 13d shows the same results as the one applied in Figure 12d.
Comparing the total pore volume and the specific surface area (Table 3), it seems that the lowest total pore volume (6.47 × 10−2 cm3/g) corresponded to the lowest specific surface area (29.69 m2/g) and vice versa, indicating that the LIVAT sample should present the lowest adsorption percentage of the organic substances as physical adsorption was the prevailing mechanism, i.e., the entrapment of organic molecules to the macro-, meso-, and micropores of the carbons. LIVAT presents the lowest percentage of MR, phenol, and astaxanthin according to Figure 13b–d. On the contrary, PLMUS presents the highest total pore volume (18.22 × 10−2) and one of the highest specific surface areas (51.08 m2/g), indicating that it should absorb the maximum adsorption percentage of organic molecules as concluded by Figure 13a,b,d for MB, MR, and astaxanthin. According to pore-size distribution (Figure 9b), it seems that a majority of the pores in the PLMUT and LIVAT materials appear to have diameters between 20.5 and 20.7 Å, respectively, and the PLMUS and PALOT materials have the maximum pore volume with diameters between 24.6 and 24.9 Å, respectively. Finally, the PALOS and LIVAS materials present the highest pore volumes with larger pore diameters, i.e., 27.5 Å for PALOS, and 19.6 to 79.5 Å for LIVAS. LIVAS materials appear to have larger pore diameters around 80 Å in comparison to other carbonaceous adsorbents, which are conferred as good attributes for adsorbing large-sized dye molecules, such as methylene blue with molecule dimensions of 17.0 × 7.6 × 3.3 Å [50], in comparison to phenol with molecule dimensions of 5.7 × 4.3 Å [51] (Figure 13a,c). According to Lorenc-Grabowska, 2016 [51] the preferential adsorption of phenol occurs in pores smaller than 14Å, explaining the high phenol adsorption percentage on PALOS and PALOT materials with lower pore diameters.
Kinetic models were used in this study to obtain the necessary parameters for designing an efficient treatment for the adsorption of different organic molecules from aqueous means. The kinetic models that were fitted to the experimental data were: pseudo-first order (POF), pseudo-second order (POS), Elovich model (EM), intraparticle diffusion (ID), and power model (PM). The equations of the models are presented in Table 2. The POF model relates the adsorption rate to the vacant adsorption sites on the adsorbent. This process is diffusion-dependent because it uses a physical process to remove organic compounds from aqueous solutions. It involves van der Waals forces and/or mechanical adhesion [52]. The POS equation is based on the adsorption capacity of the solid phase [14]. The adsorption process takes longer to fill the adsorption sites and the adsorption rate is affected by the interaction of the adsorption sites on the adsorbent surface with the adsorbent substance throughout the process. A chemical compound has a similar structure to an adsorbate–adsorbent complex, but in most chemisorption processes, the bonds formed between the adsorbate and adsorbent are weaker than the bonds formed in a typical chemical compound [53]. Chemisorption is successful when the pseudo-second order equation outputs data with its correlation captured by a non-linear relationship [54]. It involves ionic, covalent, and/or hydrogen bonds between adsorbate molecules and adsorbent [52]. EM models describe the process of chemical adsorption and are often applied to adsorbents with heterogeneous surfaces [55]. The PM model is a modified linear form of the Freundlich equation [56]. Weber and Morris [57,58] introduced a model (ID) to describe the intraparticle diffusion process as the rate-controlling step of the adsorption process. This model is only reasonable under certain conditions: (a) concentrations inside adsorbent particles are at a low level and (b) considering only the term with the square root of time is only reasonable at low values of time, i.e., beginning of the batch adsorption process [59]. The fitness of each model was judged from either the comparison of the theoretical (qe,theor.) and experimental (qe,exp) adsorption equilibrium values of each organic molecule on carbons and/or their correlation coefficient factor (R2). The kinetic parameters after fitting the curves to the experimental data for MB adsorption on carbonaceous adsorbents are presented in Table 5. The POS model best describes the experimental data since the correlation coefficient factor is near unity and the theoretical (qe,theor.) and experimental (qe,exp) adsorption equilibrium data are close. All the other models presented lower correlation coefficient factors than POS indicating their inability to describe well the experimental data. Consequently, it is suggested that MB adsorption by carbons was mainly affected by chemical adsorption.
Table 5.
Kinetic parameters of four applied models to the adsorption of methylene blue onto carbonaceous materials derived from shrimp wastes.
Table 6 indicates the kinetic parameters after applying the kinetic models to the experimental data for MR adsorption on carbons. The POS model best describes the experimental data according to the correlation coefficient values (R2) and the theoretical adsorption equilibrium values of ΜR on carbons derived from models. Therefore, the adsorption mechanism of MR on carbons is achieved by chemisorption. The EM, POF, and ID models present correlation coefficient factors lower than unity showing their inappropriateness to describe MR uptake on carbons.
Table 6.
Kinetic parameters of four applied models to the adsorption of methyl red onto carbonaceous materials derived from shrimp wastes.
Table 7 and Table 8 present the kinetic parameters of phenol and astaxanthin adsorption on carbons after applying the five kinetic models. Comparing the correlation coefficient values (R2) of the EM, POF, ID, and POS models, the final model (POS) best describes the experimental adsorption data of phenol and astaxanthin on carbons. Therefore, the adsorption mechanism of phenol and astaxanthin on carbons is achieved by chemisorption.
Table 7.
Kinetic parameters of four applied models to the adsorption of phenol onto carbonaceous materials derived from shrimp wastes.
Table 8.
Kinetic parameters of four applied models to the adsorption of astaxanthin onto carbonaceous materials derived from shrimp wastes.
4. Discussion
The scope of the present study was the production and characterization of carbonaceous adsorbents from shrimp wastes of different origins and their ability to adsorb organic compounds acting either as water purification filters (dye removal) or as bioactive substance accumulators (phenol, astaxanthin). The production process took place in a fully controlled tube by inserting N2 gas, resulting in carbonaceous materials with compact structures consisting of carbon, oxygen, and calcium as described by EDS analysis, and different functional groups, as described by FTIR analysis. These functional groups form bonds with the functional groups of the organic substances, leading to maximum absorptions in astaxanthin and MB (>90%), and low absorptions in MR and phenols.
Pyrolysis of the samples (PLMUS, PLMUT, LIVAS, LIVAT, PALOS, PALOT) at 850 °C under continuous nitrogen flow led to the production of adsorbents. FTIR spectra of the carbonaceous materials indicated the presence of N-H and -C-O- functional groups at the absorption bands 3730 cm−1 and 1020–1035 cm−1. Similar functional groups are presented in another study [60] related to the production of chitosan from shrimp shells. The results indicate the presence of -N-H functional groups at 3856 cm−1. Another study [61] showed the production of chitin from squid and prawn wastes, and the FTIR spectra presented -C-O- functional groups, approximately at the absorption band of 1000 cm−1. According to Arunachalam, 2021 [38], the biosorption of MB from chitosan extracted from Fenneropenaeus indicus shrimp shell waste was examined. The results show the presence of MB functional groups at 1640 cm−1. The research of Enenebeaku et al. [39] investigated the preparation of potato peel powder as adsorbent for MR removal. According to the FTIR study, it was concluded the presence of -C=C stretching vibrations at 1647.25 cm−1, O-H stretching vibrations at 3421.13 cm−1, and C-O stretching vibrations at 1023.28 cm−1. Additionally, it was concluded that the saturated adsorbents of plant or animal origin form bonds of the aromatic ring -C=C of MR in the absorption band between 1614–1653 cm−1. In the study conducted by Ibrahim et al., 2022 [62], the production of nano-chitosan from shrimp shell waste was used for phenol removal from refinery effluents. The results of the study indicate the presence of -N-H and hydroxyl bonds at 3600-3000 cm−1. Daffalla et al., 2010 [63] produced adsorbents from rice husks for phenol adsorption. The results indicate the presence of –OH functional groups between 3382 and 3423 cm−1. Tian et al., 2022 [44], examined the preparation of activated carbon from camellia shells for the adsorption of carotenoids from camellia oil. FTIR analysis indicated the presence of -C=C stretching vibrations at 1734 cm−1, the 1500–1100 cm−1 bands were the absorption peaks of C-O-C, C-H, C-OH, stretching vibrations, and the 1039 cm−1 band corresponded to C-O stretching vibrations.
The BET analysis is particularly used to determine the specific surface area of solid materials, while the SEM analysis utilizes electron microscopy techniques to scan and map the surface area of materials with high resolution [13,14]. The research of Mahmoud et al., 2021 [13] focuses on the preparation of adsorption materials from a combination of N-doped graphene oxide hydrogel with shrimp shells for the adsorption of Cr(VI). The characterization of the specific surface area of the produced adsorbents was performed using BET analysis. The results of the analysis show that the prepared materials have a high specific surface area, ranging from 398.05–138.64 m2/g. The research of Liu et al. 2011 [14] focuses on the production of adsorbents by pyrolysis processes at 400–800 °C from a mixture of shrimp shells with corn straw. The characterization of the materials produced was carried out using SEM analysis. The analysis results indicate that pyrolysis of the samples at 500 °C began to produce a low porous surface while increasing the temperature to 800 °C produced a rich porous surface and a complex structure. Studies have shown that the surface area and total pore volume have an important impact on carbon adsorption behavior and capacity [64]. Torres-Pérez et al. 2012 [65] developed two new activated carbons by direct activation with steam from beet pulp and peanut hulls. The two carbons have similar BET surface areas but differ in their porosities, where the first was a mesoporous material and the second a microporous material. The first material, which was derived from beet pulp, presented 10 times higher adsorption of tetracycline compared to the second one. The study emphasizes the role of pore structure in exerting an influence on adsorption capacity and adsorption rate. Another study [49] produced a hierarchical porous biochar from shrimp shells that exhibited good adsorption capacity and fast adsorptive equilibrium (≤10 min) towards three typical aromatic organics. The biochar material presented macro-, meso- and micropores, demonstrating a hierarchical character and two to three times higher adsorption capacity than other materials, proving the significance of the pore structure.
The mechanisms of adsorption of MB and MR dye onto shrimp waste carbonaceous materials were assessed in the pH range between 3 and 10. At low pH in aqueous solution, the aqueous medium ionized to deposit H3O+ at carbonaceous material surface active sites to positively charge the surface. This cationic charge on the surface of the carbonaceous adsorbents prevented MB dye molecules with the same charge from approaching the surface of the adsorbent due to electrostatic repulsion and hence, low dye uptake was experienced (Figure 11a). On the contrary, the anionic charge of MR dye can easily react with the cationic surface of carbonaceous adsorbents (Figure 11b) at low pH values. As the pH increased, the protonation of active sites at the surface of carbonaceous adsorbents relaxed and the percentage removal of MB dye from aqueous solution, and dye uptake, increased (Figure 11a). When the dye solution’s pH was alkaline, the carbonaceous surface acquired a negative charge, thereby resulting in increased adsorption of MB or a decrease in MR dye due to an increase in the electrostatic attraction between the positively charged MB dye and negatively charged adsorbent or the decrease in the electrostatic attraction between the negatively charged MR dye and negatively charged adsorbent (Figure 11a,b). This electrostatic interaction between the cationic MB dye molecules and anionic carbonaceous adsorbents especially in the LIVA and PALO active sites developed due to the resurfacing of –OH–, –CO–, and –NH– functional groups as pH value increased [52]. At a pH above 7, the existence of OH− on the adsorbent surface created competition between the molecules of the ionic dye and decreased the retention of MR [66]. Some authors have highlighted the MB removal performance with pH ~ 7.0 and under basic conditions [67].
Concerning phenol uptake, under acidic conditions there were many positive charges on the surface of the carbonaceous adsorbents. Further, the phenolic compounds were in non-ionized forms and the surface groups were either neutral or positively charged. The adsorption of water and phenol was competitive and the adsorbability of phenol was low (Figure 11c). At pH >8, the decrease in phenol adsorption may have resulted from two reasons. First, the negative charges on the surface of carbonaceous adsorbents increased with pH and phenol changed from a molecular state to an ionic state, which made the repulsion force between phenol ions and carbonaceous adsorbents significant. Second, phenolate anions were more soluble in the aqueous solution, and stronger adsorbate–water bonds must be broken before adsorption occurs [29].
The increase in the surface basicity of the activated carbon due to the fixation of surface oxygen groups of basic character promoted the formation of an electron donor–acceptor complex. Surface oxygen groups are located at π-electron-rich regions providing the formation of the mentioned complexes with the carbonyl groups of astaxanthin. These Lewis basic centers predominate on the surface of adsorbents with low oxygen content. During the adsorption of astaxanthin on activated carbon, these regions act as a donor and astaxanthin as an acceptor (Figure 11d).
As summarized in Figure 12a and Figure 13a, the adsorption percentage of MB on carbonaceous materials such as PLMU and LIVA, presents no significant differences, and these materials achieved the maximum adsorption capacity of MB in equilibrium. Several studies present proverbial results, e.g., the research of Liu et al. 2012 [68] led to the preparation of carbonaceous materials from wheat straw and examined their adsorption abilities to MB. The adsorbents were prepared by pyrolysis at 550 °C and the material that showed the highest adsorption of MB corresponded to 12.03 mg/g. According to Liu et al.’s, 2018 [25] research, activated carbons are produced from shrimp shells by chemical activation processes with H3PO4. The material that showed the highest adsorption of MB dye corresponded to 826 mg/g. According to the above results, it is concluded that the type of material, and the physical (pyrolysis temperature range, time of pyrolysis) or chemical activation method (type of reagent) used influences the adsorption of MB.
As summarized in Figure 12b and Figure 13b, the PALOS and PLMUS materials exhibited the maximum adsorption capacity of MR in equilibrium corresponding to 55.09 and 56.98%, which is equivalent to 1.76 and 1.82 mg/g of carbon, respectively. The research of Açıkel et al., 2017 [27] showed the preparation of chitin and chitosan from shrimp shells, with intending to adsorb a mixed aqueous solution with MR-Cu(II). The adsorbent prepared from chitin showed a maximum adsorption percentage of the binary mixture of MR and Cu(II) equal to 41.0% while the adsorbent prepared from chitosan showed a maximum percentage of the binary mixture of MR and Cu(II) equal to 46.4%. The research of Bouzid et al., 2023 [69] refers to the preparation of activated carbon from rosemary roots for MR adsorption. The adsorbents were prepared by chemical activation with H3PO4 and pyrolysis at 550 °C. The material that achieved the highest absorption of MR corresponded to 154.53 mg/g. According to the aforementioned literature, it can be concluded that all adsorbent materials are capable of adsorbing MR and possibly also MR-Cu(II), however, the maximum adsorption efficiency is determined by pyrolyzed and chemically activated materials, followed by the material consisting of chitin and chitosan from shrimp shells, and finally, the pyrolyzed material.
Figure 12c and Figure 13c have shown that the maximum adsorption capacity of phenol in equilibrium was achieved by the PALO materials, corresponding to 43.25% for PALOT and 46.89% for PALOS, respectively. Another study [62] has shown the production of nano-chitosan from waste shrimp shells for the adsorption of phenol from refinery effluents. The material with the highest percentage of phenolic compounds from refinery effluents corresponded to 97.22%. Researchers [70] have discussed that the production of chitosan from crab shells has shown a maximum adsorption percentage of the phenol solution equal to 59.3 mg/g. In agreement with the above results, it can be concluded that all adsorbents are capable of adsorbing phenolic compounds, but that the presence of chitosan significantly alters the performance of phenol adsorption.
The maximum adsorption capacity of astaxanthin in equilibrium was achieved on the PALO and PLMUS materials, corresponding to 99.70% for PALO and 99.67% for PLMUS, respectively (Figure 12d and Figure 13d). Casella et al. 2020 [30] used the commercial activated carbon DARCO G60 for the adsorption of astaxanthin from macroalgae of the species Haematococcus lacustris, showing that the highest adsorption of astaxanthin was equal to 23.9 mg/g. A study by Stepnowski et al., 2004 [71] assessed the production of adsorbents from Sebastes marinus shell waste for the adsorption of astaxanthin. The material that showed the highest adsorption of astaxanthin corresponded to 362 mg/g. In agreement with the previously mentioned materials, it is concluded that all adsorbents are capable of adsorbing astaxanthin, however, the different compositions of the materials combined with the methods of processing the materials, produce adsorbents with different yields when the materials are saturated.
The PLMUS, PLMUT, LIVAS, LIVAT, PALOS, and PALOT adsorbents were produced by the pyrolysis processes under continuous nitrogen flow at 850 °C. The materials were analyzed for their adsorption capacity for the following compounds: MB, MR, phenol, and astaxanthin. The kinetic study was performed based on the following kinetic models: pseudo-first order, pseudo-second order, Elovich, power, and the intraparticle diffusion model. The data in Table 5, Table 6, Table 7 and Table 8 present the kinetic parameters of the applied models. A comparison of all kinetic parameters showed that the pseudo-second order model achieved the highest R2 values, from which it can be concluded that the adsorption mechanism is caused by chemisorption. Comparing, the kinetic behavior of the adsorption mechanism of MB from similar studies [26], it seems that the adsorption experimental data of MB from carbonaceous adsorbents, prepared by the pyrolysis of barley malt waste at 500–850 °C, and then the activation process with CO2, have shown that they fitted well to the pseudo-second order kinetic model, which in turn represents a chemisorption mechanism. The research of Wang et al., 2023 [15] referred to the production of activated carbon from shrimp shells for the adsorption of MB. The adsorbents were prepared by pyrolysis processes at 350–650 °C, followed by chemical activation with HCl. The results of the kinetic study attribute the adsorption mechanism to the pseudo-second order kinetic model. From the above kinetic results, it can be concluded that the pyrolysis process at 350–850 °C in combination with physical and/or chemical activation produces adsorbents in which the adsorption mechanism of MB is achieved by chemisorption.
The adsorption mechanism of MR dye onto carbonaceous adsorbents has been studied elsewhere [72]. The study focused on the production of carbonaceous materials from cocoa waste to be used as a means for MR adsorption. The adsorbents were produced via pyrolysis at 400 °C. The results of the kinetic study attribute the adsorption mechanism to the pseudo-second order kinetic model, which in turn represents a chemisorption mechanism. Similar results are presented elsewhere [73], with the preparation of carbons from shrimp exoskeletons for the adsorption of Reactive Red 120 (RR120). The results of the kinetic study assign the adsorption mechanism to the pseudo-second order kinetic model. From the above kinetic results, it can be concluded that the adsorption mechanism of red pigments such as MR and/or Reactive Red 120 (RR120) occur by chemisorption, regardless of the type of organic substance used to prepare the adsorbents.
Studies concerning the adsorption mechanism of phenols and its derivatives have also been reported to other studies. Zafar et al., 2022 [74] reported the preparation of activated carbon from a mixture of shrimp shells with cellulose for the adsorption of bisphenol A (BPA). The adsorbents were produced by chemical activation processes with NaHCO3 and Fe3O4. The results of the kinetic study attribute the adsorption mechanism to the pseudo-second order kinetic model. Moreover, another study [75] examined the preparation of composite activated carbons from a mixture of shrimp shell with rice husks for the adsorption of p-nitrophenol. The adsorbents were produced by pyrolysis at 850 °C and then chemically activated with KOH. The results of the kinetic study assign the adsorption mechanism to the pseudo-second order kinetic model. From the above kinetic results, it can be concluded that the produced adsorbents are capable of adsorbing various types of organic substances such as bisphenol A (BPA) and p-nitrophenol, while the adsorption mechanism of phenolic compounds can be achieved by chemisorption.
The adsorption mechanism and kinetic analysis of carotenoids were also examined [76]. The research assessed the preparation of new materials from raw kaolinite for the adsorption of carotenoids from carrots. The adsorbents were produced by chemical activation processes with HCl. The application of different kinetic models led to the conclusion that the adsorption experimental data fitted well to the pseudo-second order kinetic model. Another study [77] highlighted the use of synthetic silicon materials as adsorbents for the adsorption of β-carotene. The pseudo-second order kinetic model best described the experimental adsorption data of β-carotene on synthetic silicon materials. From the above kinetic results, it has been concluded that the adsorption mechanism of carotenoids occurs through chemisorption.
The chemical structure of MB consists of aromatic rings with S+ and N+(CH3)2 (electron donors) functional groups. MR molecules present aromatic rings that contain N=N, COOH (electron acceptors), and N+(CH3)2 (electron donors) functional groups [78]. The phenol molecules involve a phenol aromatic ring that acts as an electron acceptor [29,79]. Depending on the chemical structure of the carotenoids, they are divided into carotenes and xanthophylls. Carotenes contain carbon–hydrogen bonds, while xanthophylls contain carbon–hydrogen, carbon–oxygen bonds, and/or a combination of both. Astaxanthin is a carotenoid bioactive substance that belongs to the class of xanthophylls. Carotenoids are antioxidants that donate electrons to noxious radicals [80]. Consequently, the presence of hydroxyl groups (electron donor) and carbonyl groups (electron-withdrawing group) in each ionone ring explains some of the chemical properties of astaxanthin, such as the ability to be esterified, a polar nature, and a high antioxidant capacity [81]. The functional groups of the materials were described by the FTIR and RAMAN analysis, showing that the carbonaceous adsorbents led to a high adsorption percentage of MB and astaxanthin due to the presence of electron donors, and a low adsorption percentage of MR and phenols due to the presence of electron acceptors. These functional groups are responsible for electron donor–acceptor interactions between the functional groups of the adsorbates and each carbonaceous material [82], e.g., the phenol adsorption onto activated carbon occurring through the formation of a donor–acceptor complex between the electron donor groups at the activated carbon surface, and the aromatic ring of the phenol that acts as the acceptor [29]. Consequently, the prepared carbonaceous adsorbents have a low percentage of electron donor groups on their surface compared to electron acceptor groups, explaining the differences in the adsorption behavior of the adsorbate.
5. Conclusions
Shrimp by-products, e.g., shells and tails, can be converted into carbonaceous materials via pyrolysis under an inert atmosphere. The percentage weight loss increased significantly for all the materials according to the order: PLMUT > PALOT > LIVAT, LIVAS, PALOS, PLMUS. FTIR spectra show the presence of C=C groups on the aromatic rings of the adsorbed MB and MR at 1636 cm−1, the presence of O-H functional groups of the adsorbed phenols at 3330 cm−1, and the presence of C=C or C=O groups at 1730 cm−1 after the adsorption of astaxanthin. According to the BET analysis, the increase in the specific surface area follows the order: LIVAS > PLMUS > PALOT > PALOS > PLMUT > LIVAT. The SEM–EDS analysis showed compact structures with the main elements of carbon (37–56%), oxygen (25–35%), and Ca (12–23%) for all materials. pH analysis indicated that carbonaceous materials adsorb the maximum percentage of MB, phenol, and astaxanthin at basic conditions while the maximum adsorption of MR takes place at acidic conditions. Kinetic analysis has shown that the experimental adsorption data of all the organic substances (dyes, phenol, and astaxanthin) can best described by the pseudo-second order model indicating that chemisorption is the prevailing mechanism. The differences in the adsorption process of the carbonaceous materials derived from shrimp shells and tails with the organic substances, e.g., MB, MR, phenol, astaxanthin (maximum absorptions in astaxanthin and MB (>90%) and low absorptions in MR and phenols) occurred due to the different functional groups that form bonds with the carbons. One more benefit is the investment incentives to produce innovative carbonaceous materials for profit while contributing to the sustainability of fisheries and aquacultures, through the circular economy.
Author Contributions
Z.I. conceived the original idea, supervised the project, and wrote the manuscript with support from I.F. I.F. contributed to the initial article research, methodology, data analysis, and contributed to the interpretation of the Discussion Section. Z.I., G.K., D.S. and C.A. contributed to the final writing and corrections. All authors have read and agreed to the published version of the manuscript.
Funding
This research received no external funding.
Institutional Review Board Statement
This work does not contain any studies with human participants or animals. Consent to Participate: All authors provided informed consent to participate in this research study. Consent for Publication: The authors transfer to the journal the publication rights and guarantee that this contribution is original. All the authors mutually agree to its submission.
Informed Consent Statement
Not applicable.
Data Availability Statement
Data are contained within the article.
Conflicts of Interest
The authors declare no conflicts of interest.
References
- Kannan, S.; Gariepy, Y.; Raghavan, G.S.V. Conventional hydrothermal carbonization of shrimp waste. Energy Fuels 2018, 32, 3532–3542. [Google Scholar] [CrossRef]
- Huang, S.; Ding, Y.; Li, Y.; Han, X.; Xing, B.; Wang, S. Nitrogen and Sulfur Co-doped Hierarchical Porous Biochar Derived from the Pyrolysis of Mantis Shrimp Shell for Supercapacitor Electrodes. Energy Fuels 2021, 35, 1557–1566. [Google Scholar] [CrossRef]
- Wang, J.; Tang, J.; Rasco, B.; Sablani, S.S.; Ovissipour, M.; Qu, Z. Kinetics of Quality Changes of Shrimp (Litopenaeus setiferus) During Pasteurization. Food Bioprocess Technol. 2018, 11, 1027–1038. [Google Scholar] [CrossRef]
- Chau, T.L.; Vu, T.P.; Le, H.T.; Van Phan, D.; Nguyen, C.X.; Luong, T.D.; Le, P.T.A.; Dang, N.T.T.; Nguyen, L.V.; Cuong, N.D. Sustainable carbon-based nanostructures with optoelectronic performance inspired by crustacean shells towards biomimetic pyrolysis and hydrothermal liquid crystal transfer. Opt. Mater. 2021, 116, 111100. [Google Scholar] [CrossRef]
- Yuan, G.; Li, W.; Pan, Y.; Wang, C.; Chen, H. Shrimp shell wastes: Optimization of peptide hydrolysis and peptide inhibition of α-amylase. Food Biosci. 2018, 25, 52–60. [Google Scholar] [CrossRef]
- Saha, S.; Islam, M.T.; Calhoun, J.; Reza, T. Effect of hydrothermal carbonization on fuel and combustion properties of shrimp shell waste. Energies 2023, 16, 5534. [Google Scholar] [CrossRef]
- Núñez-Gómez, D.; Rodrigues, C.; Lapolli, F.R.; Lobo-Recio, M.A. Physicochemical Characterization of White Shrimp (Litopenaeus vannamei) Waste as a Low-Cost Chitinous Biomaterial. J. Polym. Environ. 2020, 29, 576–587. [Google Scholar] [CrossRef]
- Zhang, Q.; Deng, S.; Yu, G.; Huang, J. Removal of perfluorooctane sulfonate from aqueous solution by crosslinked chitosan beads: Sorption kinetics and uptake mechanism. Bioresour. Technol. 2011, 102, 2265–2271. [Google Scholar] [CrossRef]
- Triunfo, C.; Tsirtsidou, K.; Vanhoutte, K.; Mucaria, A.; Montroni, D.; Fermani, S.; Falini, G.; Robbens, J. Tunable Dye Adsorbing Materials from Crab and Shrimp Waste Shells for Water Remediation. Mater. Today Commun. 2024, 40, 109441. [Google Scholar] [CrossRef]
- Li, J.; Song, R.; Zou, X.; Wei, R.; Wang, J. Simultaneous Preparation of Chitin and Flavor Protein Hydrolysates from the By-Products of Shrimp Processing by One-Step Fermentation with Lactobacillus fermuntum. Molecules 2023, 28, 3761. [Google Scholar] [CrossRef]
- Das, O.; Sarmah, A.K. Mechanism of waste biomass pyrolysis: Effect of physical and chemical pre-treatments. Sci. Total Environ. 2015, 537, 323–334. [Google Scholar] [CrossRef] [PubMed]
- Zubrik, A.; Matik, M.; Hredzák, S.; Lovás, M.; Danková, Z.; Kováčová, M.; Briančin, J. Preparation of chemically activated carbon from waste biomass by single-stage and two-stage pyrolysis. J. Clean. Prod. 2017, 143, 643–653. [Google Scholar] [CrossRef]
- Mahmoud, M.E.; Mohamed, A.K.; Salam, M.A. Self-decoration of N-doped graphene oxide 3-D hydrogel onto magnetic shrimp shell biochar for enhanced removal of hexavalent chromium. J. Hazard. Mater. 2021, 408, 124951. [Google Scholar] [CrossRef] [PubMed]
- Liu, J.; Yang, X.; Liu, H.; Jia, X.; Bao, Y. Mixed biochar obtained by the co-pyrolysis of shrimp shell with corn straw: Co-pyrolysis characteristics and its adsorption capability. Chemosphere 2021, 282, 131116. [Google Scholar] [CrossRef]
- Wang, M.; Yan, J.; Xu, Y.; Zhou, X.; Diao, Y.; Wang, H.; Bian, J.; Liu, C.; Quan, G. Mechanochemical modified nitrogen-rich biochar derived from shrimp shell: Dominant mechanism in pyridinic-N for aquatic methylene blue removal. J. Environ. Manag. 2023, 329, 117049. [Google Scholar] [CrossRef]
- Fotodimas, I.; Zapantioti, A.; Ioannou, Z.; Sarris, D.; Kanlis, G. Production and characterization of carbonaceous materials derived from shrimp by-products. In Proceedings of the 11th International Conference on Sustainable Solid Waste Management, Rhodes, Greece, 19–22 June 2024. [Google Scholar]
- Rojas, J.; Suarez, D.; Moreno, A.; Silva-Agredo, J.; Torres-Palma, R.A. Kinetics, Isotherms and Thermodynamic Modeling of Liquid Phase Adsorption of Crystal Violet Dye onto Shrimp-Waste in Its Raw, Pyrolyzed Material and Activated Charcoals. Appl. Sci. 2019, 9, 5337. [Google Scholar] [CrossRef]
- Pourhakkak, P.; Taghizadeh, M.; Taghizadeh, A.; Ghaedi, M. Adsorbent. Interface Sci. Technol. 2021, 33, 71–210. [Google Scholar] [CrossRef]
- Ewis, D.; Ba-Abbad, M.M.; Benamor, A.; El-Naas, M.H. Adsorption of organic water pollutants by clays and clay minerals composites: A comprehensive review. Appl. Clay Sci. 2022, 229, 106686. [Google Scholar] [CrossRef]
- Yu, F.; Bai, X.; Liang, M.; Ma, J. Recent progress on metal-organic framework-derived porous carbon and its composite for pollutant adsorption from liquid phase. Chem. Eng. J. 2021, 405, 126960. [Google Scholar] [CrossRef]
- Mishra, R.K.; Singh, B.; Acharya, B. A comprehensive review on activated carbon from pyrolysis of lignocellulosic biomass: An application for energy and the environment. Carbon Resour. Convers. 2024, 7, 100228. [Google Scholar] [CrossRef]
- Gao, Y.; Yue, Q.; Gao, B.; Li, A. Insight into activated carbon from different kinds of chemical activating agents: A review. Sci. Total Environ. 2020, 746, 141094. [Google Scholar] [CrossRef] [PubMed]
- Gkaliouri, C.M.; Ioannou, Z.; Rigopoulos, N.; Sarris, D. Sustainable Management of Agro-Food Wastes Derived from the Olive Mill and Sugar Industry and Clinoptilolite to Produce Novel Adsorptive Materials. Sustainability 2024, 16, 9204. [Google Scholar] [CrossRef]
- Saka, C. BET, TG–DTG, FT-IR, SEM, iodine number analysis and preparation of activated carbon from acorn shell by chemical activation with ZnCl2. J. Anal. Appl. Pyrolysis 2012, 95, 21–24. [Google Scholar] [CrossRef]
- Liu, X.; He, C.; Yu, X.; Bai, Y.; Ye, L.; Wang, B.; Zhang, L. Net-like porous activated carbon materials from shrimp shell by solution-processed carbonization and H3PO4 activation for methylene blue adsorption. Powder Technol. 2018, 326, 181–189. [Google Scholar] [CrossRef]
- Franciski, M.A.; Peres, E.C.; Godinho, M.; Perondi, D.; Foletto, E.L.; Collazzo, G.C.; Dotto, G.L. Development of CO2 activated biochar from solid wastes of a beer industry and its application for methylene blue adsorption. Waste Manag. 2018, 78, 630–638. [Google Scholar] [CrossRef]
- Açıkel, Y.S.; Göze, B. Removal of Methyl Red, a cationic dye, Acid Blue 113, an anionic dye, from wastewaters using chitin and chitosan: Influence of copper ions. Desalination Water Treat. 2017, 73, 289–290. [Google Scholar] [CrossRef]
- Yet, Z.R.; Abdul Rahim, M.Z. Removal of methyl red from aqueous solution by adsorption on treated banana pseudostem fibers using response surface method (RSM). Malays. J. Anal. Sci. 2014, 18, 592–603. [Google Scholar]
- Xie, B.; Qin, J.; Wang, S.; Li, X.; Sun, H.; Chen, W. Adsorption of Phenol on Commercial Activated Carbons: Modelling and Interpretation. Int. J. Environ. Res. Public Health 2020, 17, 789. [Google Scholar] [CrossRef]
- Casella, P.; Musmarra, D.; Dimatteo, S.; Chianese, S.; Karatza, D.; Mehariya, S.; Molino, A. Purification of Astaxanthin from Microalgae by Using Commercial Activated Carbon. Chem. Eng. Trans. 2020, 79, 295–300. [Google Scholar] [CrossRef]
- One-Way ANOVA (ANalysis of VAriance) with Post-Hoc Tukey HSD (Honestly Significant Difference) Test Calculator for Comparing Multiple Treatments, 2016, Navendu Vasavada. Available online: https://astatsa.com/OneWay_Anova_with_TukeyHSD/ (accessed on 18 November 2024).
- Chen, Y.; Wang, L.; Zhao, M.; Ma, H.; Chen, D.; Zhang, Y.; Zhou, J. Comparative study on the pyrolysis behaviors of pine cone and pretreated pine cone by using TGA–FTIR and Pyrolysis GC/MS. ACS Omega 2021, 6, 3490–3498. [Google Scholar] [CrossRef]
- Kolhe, P.; Kannan, R.M. Improvement in Ductility of Chitosan through Blending and Copolymerization with PEG: FTIR Investigation of Molecular Interactions. Biomacromolecules 2002, 4, 173–180. [Google Scholar] [CrossRef] [PubMed]
- Yin, W.; Zhao, C.; Xu, J. Enhanced adsorption of Cd (II) from aqueous solution by a shrimp bran modified Typha orientalis biochar. Environ. Sci. Pollut. Res. 2019, 26, 37092–37100. [Google Scholar] [CrossRef] [PubMed]
- Ioannou, Z.; Simitzis, J. Adsorption kinetics of phenol and 3-nitrophenol from aqueous solutions on conventional and novel carbons. J. Hazard. Mater. 2009, 171, 954–964. [Google Scholar] [CrossRef]
- Rupiasih, N.N.; Sumadiyasa, M.; Suyanto, H.; Windari, P. Utilization of shrimp skin waste (Sea lobster) as raw material for the membrane filtration. J. Phys. Conf. Ser. 2017, 846, 012003. [Google Scholar] [CrossRef]
- Alshehri, A.A.; Malik, M.A. Biogenic fabrication of ZnO nanoparticles using Trigonella foenum-graecum (Fenugreek) for proficient photocatalytic degradation of methylene blue under UV irradiation. J. Mater. Sci. Mater. Electron. 2019, 30, 16156–16173. [Google Scholar] [CrossRef]
- Arunachalam, K.D. Bio-adsorption of methylene blue dye using chitosan-extracted from Fenneropenaeus indicus shrimp shell waste. J. Aquac. Mar. Biol. 2021, 10, 146–150. [Google Scholar] [CrossRef]
- Enenebeaku, C.K.; Okorocha, N.J.; Enenebeaku, U.E.; Ukaga, I.C. Adsorption and Equilibrium Studies on the Removal of Methyl Red from Aqueous Solution Using White Potato Peel Powder. Int. Lett. Chem. Phys. Astron. 2017, 72, 52–64. [Google Scholar] [CrossRef]
- Yang, T.; Lua, A.C. Characteristics of activated carbons prepared from pistachio-nut shells by physical activation. J. Colloid Interface Sci. 2003, 267, 408–417. [Google Scholar] [CrossRef]
- Balu, P.; Asharani, I.V.; Thirumalai, D. Catalytic degradation of hazardous textile dyes by iron oxide nanoparticles prepared from Raphanus sativus leaves’ extract: A greener approach. J. Mater. Sci. Mater. Electron. 2020, 31, 10669–10676. [Google Scholar] [CrossRef]
- Rahmani, A.; Nazemi, F.; Barjasteh-Askari, F.; Davoudi, M. Preparation, Characterization, and application of silica aerogel for adsorption of phenol: An In-Depth Isotherm Study. Health Scope 2018, 7, e15115. [Google Scholar] [CrossRef]
- Bose, V.B.S.C.; Balaganesan, V.; Govindaraj, G.; Veerichetty, V. Cellular antioxidant and cytotoxic activity of astaxanthin and ellagic acid on UV irradiated skin melanoma cells and gel formulation. Mater. Today Proc. 2023, in press. [CrossRef]
- Tian, R.; Liu, Y.; Cao, D.; Gai, L.; Du, N.; Yin, J.; Hu, D.; Lu, H.; Li, W.; Li, K. Preparation of highly efficient p-doped porous camellia shell-based activated carbon and its adsorption of carotenoids in camellia oil. Front. Nutr. 2022, 9, 1058025 . [Google Scholar] [CrossRef] [PubMed]
- Everett, D.; Haynes, J. Model studies of capillary condensation. I. Cylindrical pore model with zero contact angle. J. Colloid Interface Sci. 1972, 38, 125–137. [Google Scholar] [CrossRef]
- Xu, L.; Zhang, J.; Ding, J.; Liu, T.; Shi, G.; Li, X.; Dang, W.; Cheng, Y.; Guo, R. Pore Structure and Fractal Characteristics of Different Shale Lithofacies in the Dalong Formation in the Western Area of the Lower Yangtze Platform. Minerals 2020, 10, 72. [Google Scholar] [CrossRef]
- Taher, T.; Maulana, S.; Mawaddah, N.; Munandar, A.; Rianjanu, A.; Lesbani, A. Low-temperature hydrothermal carbonization of activated carbon microsphere derived from microcrystalline cellulose as carbon dioxide (CO2) adsorbent. Mater. Today Sustain. 2023, 23, 100464. [Google Scholar] [CrossRef]
- Erdem, M.E. Mineral and trace element contents of warty crab (Eriphia verrucosa) and brown shrimp (Crangon crangon). Istanb. Univ. J. Fish. Aquat. Sci. 2015, 30, 26–31. [Google Scholar] [CrossRef]
- Yu, J.; Feng, H.; Tang, L.; Pang, Y.; Wang, J.; Zou, J.; Xie, Q.; Liu, Y.; Feng, C.; Wang, J. Insight into the key factors in fast adsorption of organic pollutants by hierarchical porous biochar. J. Hazard. Mater 2021, 403, 123610. [Google Scholar] [CrossRef]
- Fernández-Pérez, A.; Marbán, G. Visible Light Spectroscopic Analysis of Methylene Blue in Water; What Comes after Dimer? ACS Omega 2020, 5, 29801–29815. [Google Scholar] [CrossRef]
- Lorenc-Grabowska, E. Effect of micropore size distribution on phenol adsorption on steam activated carbons. Adsorption 2016, 22, 599–607. [Google Scholar] [CrossRef]
- Jabar, J.M.; Odusote, Y.A.; Ayinde, Y.T.; Yılmaz, M. African almond (Terminalia catappa L) leaves biochar prepared through pyrolysis using H3PO4 as chemical activator for sequestration of methylene blue dye. Results Eng. 2022, 14, 100385. [Google Scholar] [CrossRef]
- Králik, M. Adsorption, chemisorption, and catalysis. Chem. Pap. 2014, 68, 1625–1638 . [Google Scholar] [CrossRef]
- Ho, Y.; Ofomaja, A. Pseudo-second-order model for lead ion sorption from aqueous solutions onto palm kernel fiber. J. Hazard. Mater. 2006, 129, 137–142. [Google Scholar] [CrossRef] [PubMed]
- Yang, Z.; Hou, J.; Miao, L.; Wu, J. Comparison of adsorption behavior studies of methylene blue by microalga residue and its biochars produced at different pyrolytic temperatures. Environ. Sci. Pollut. Res. Int. 2021, 28, 14028–14040. [Google Scholar] [CrossRef] [PubMed]
- Ho, Y.S.; McKay, G. Application of kinetic models to the sorption of copper(II) on to peat. Adsorpt. Sci. Technol. 2002, 20, 797–815. [Google Scholar] [CrossRef]
- Weber, W.J.; Morris, J.C. Kinetics of adsorption on carbon from solution. J. Sanit. Eng. Div. 1963, 89, 31–59. [Google Scholar] [CrossRef]
- Wang, J.; Guo, X. Adsorption kinetic models: Physical meanings, applications, and solving methods. J. Hazard. Mater. 2020, 390, 122156. [Google Scholar] [CrossRef]
- Wang, Y.; Wang, C.; Huang, X.; Zhang, Q.; Wang, T.; Guo, X. Guideline for modeling solid-liquid adsorption: Kinetics, isotherm, fixed bed, and thermodynamics. Chemosphere 2024, 349, 140736. [Google Scholar] [CrossRef]
- Phuong, D.; Thao, N.; Loc, N. Preparing Shrimp Shell-Derived Chitosan with Rice Husk-Derived Biochar for Efficient Safranin O Removal from Aqueous Solution. J. Ecol. Eng. 2023, 24, 248–259. [Google Scholar] [CrossRef]
- Brandão, A.T.S.C.; Costa, R.; State, S.; Potorac, P.; Dias, C.; Vázquez, J.A.; Valcarcel, J.; Silva, A.F.; Enachescu, M.; Pereira, C.M. Chitins from Seafood Waste as Sustainable Porous Carbon Precursors for the Development of Eco-Friendly Supercapacitors. Materials 2023, 16, 2332. [Google Scholar] [CrossRef]
- Ibrahim, A.A.; Jimoh, A.; Yahya, M.D.; Auta, M. Extraction of Nano-Chitosan from Waste White Shrimp Shells for the Removal of Phenol from Refinery Wastewater: Optimization of Chitosan Synthesis and Phenol Adsorption. 2022. [Google Scholar]
- Daffalla, S.; Mukhtar, H.; Shaharun, M.S. Characterization of Adsorbent Developed from Rice Husk: Effect of Surface Functional Group on Phenol Adsorption. J. Appl. Sci. 2010, 10, 1060–1067. [Google Scholar] [CrossRef]
- Wang, G.; Yong, X.; Luo, L.; Yan, S.; Wong, J.W.C.; Zhou, J. Structure-performance correlation of high surface area and hierarchical porous biochars as chloramphenicol adsorbents. Sep. Purif. Technol. 2022, 296, 121374. [Google Scholar] [CrossRef]
- Torres-Pérez, J.; Gérente, C.; Andrès, Y. Sustainable activated carbons from agricultural residues dedicated to antibiotic removal by adsorption. Chin. J. Chem. Eng. 2012, 20, 524–529. [Google Scholar] [CrossRef]
- Khalfaoui, A.; Bouchareb, E.M.; Derbal, K.; Boukhaloua, S.; Chahbouni, B.; Bouchareb, R. Uptake of methyl red dye from aqueous solution using activated carbons prepared from Moringa Oleifera shells. Clean. Chem. Eng. 2022, 4, 100069. [Google Scholar] [CrossRef]
- Maia, L.S.; Duizit, L.D.; Pinhatio, F.R.; Mulinari, D.R. Valuation of banana peel waste for producing activated carbon via NaOH and pyrolysis for methylene blue removal. Carbon Lett. 2021, 31, 749–762. [Google Scholar] [CrossRef]
- Liu, Y.; Zhao, X.; Li, J.; Ma, D.; Han, R. Characterization of bio-char from pyrolysis of wheat straw and its evaluation on methylene blue adsorption. Desalination Water Treat. 2012, 46, 115–123. [Google Scholar] [CrossRef]
- Bouzid, T.; Grich, A.; Naboulsi, A.; Regti, A.; Tahiri, A.A.; Himri, M.E.; Haddad, M.E. Adsorption of Methyl Red on porous activated carbon from agriculture waste: Characterization and response surface methodology optimization. Inorg. Chem. Commun. 2023, 158, 111544. [Google Scholar] [CrossRef]
- Francis, A.O.; Zaini, M.A.A.; Zakaria, Z.A.; Muhammad, I.M.; Abdulsalam, S.; El-Nafaty, U.A. Equilibrium and kinetics of phenol adsorption by crab shell chitosan. Part. Sci. Technol. 2020, 39, 415–426. [Google Scholar] [CrossRef]
- Stepnowski, P.; Ólafsson, G.; Helgason, H.; Jastorff, B. Recovery of astaxanthin from seafood wastewater utilizing fish scales waste. Chemosphere 2004, 54, 413–417. [Google Scholar] [CrossRef]
- Kouadio, D.L.; Dalogo, K.A.P.; Vroh, B.T.P.; Diarra, M.; Dongui, B.K.; Mamadou, K.; Traore, K.S. Experimental study of the adsorption of methyl red on coal from the shell of the Cocoa Pod. Environ. Eng. Manag. J. 2021, 20, 1193–1201. [Google Scholar] [CrossRef]
- Niero, G.; Corrêa, A.X.; Wagner, T.M.; Corrêa, R.A.; Almerindo, G.I.; Rodrigues, C.A.; Radetski, C.M. Shrimp exoskeleton and mussel shell wastes as adsorbent material to remove reactive turquoise blue 15 (RTB15) and reactive red 120 (RR120) dyes from textile wastewaters. J. Solid Waste Technol. Manag. 2020, 46, 213–222. [Google Scholar] [CrossRef]
- Zafar, F.F.; Marrakchi, F.; Barati, B.; Yuan, C.; Cao, B.; Wang, S. Highly efficient adsorption of bisphenol A using NaHCO3/CO2 activated carbon composite derived from shrimp shell@cellulose. Environ. Sci. Pollut. Res. 2022, 29, 68724–68734. [Google Scholar] [CrossRef] [PubMed]
- Qin, Y.; Luo, J.; Zhao, Y.; Yao, C.; Li, Y.; An, Q.; Xiao, Z.; Zhai, S. Dual-wastes derived biochar with tailored surface features for highly efficient p-nitrophenol adsorption. J. Clean. Prod. 2022, 353, 131571. [Google Scholar] [CrossRef]
- Ngomo, O.; Dongo, E.; Sieliechi, J. Physico-Chemical Study of the Adsorption of Carotenoids from Carrots on Raw and Modified Kaolinites. Adv. Chem. Eng. Sci. 2023, 13, 132–148. [Google Scholar] [CrossRef]
- Ahmad, A.; Chan, C.; Shukor, S.A.; Mashitah, M. Adsorption kinetics and thermodynamics of β-carotene on silica-based adsorbent. Chem. Eng. J. 2009, 148, 378–384. [Google Scholar] [CrossRef]
- Ioannou, Z.; Karasavvidis, C.; Dimirkou, A.; Antoniadis, A. Adsorption of methylene blue and methyl red dyes from aqueous solutions onto modified zeolites. Water Sci. Technol. 2013, 67, 1129–1136. [Google Scholar] [CrossRef]
- Dąbrowski, A.; Podkościelny, P.; Hubicki, Z.; Barczak, M. Adsorption of phenolic compounds by activated carbon—A critical review. Chemosphere 2005, 58, 1049–1070. [Google Scholar] [CrossRef]
- Zeeshan, M.; Sliwka, H.-S.; Partali, V.; Martínez, A. Electron uptake by classical electron donators: Astaxanthin and carotenoid aldehydes. Tetrahedron Lett. 2012, 53, 4522–4525. [Google Scholar] [CrossRef]
- Seabra, L.M.J.; Pedrosa, L.F.C. Astaxanthin: Structural and functional aspects. Rev. De Nutr. 2010, 23, 1041–1050. [Google Scholar] [CrossRef]
- Simitzis, J.; Ioannou, Z. Activated Carbonaceous Materials Based on Thermosetting Binder Precursors. In Activated Carbon: Classifications, Properties and Applications; Kwiatkowski, J.F., Ed.; Nova Publishing Inc.: Hauppauge, NY, USA, 2011; pp. 377–392. Available online: https://www.amazon.com/Activated-Carbon-Classifications-Applications-Engineering/dp/1612096840 (accessed on 18 November 2024).
Disclaimer/Publisher’s Note: The statements, opinions and data contained in all publications are solely those of the individual author(s) and contributor(s) and not of MDPI and/or the editor(s). MDPI and/or the editor(s) disclaim responsibility for any injury to people or property resulting from any ideas, methods, instructions or products referred to in the content. |
© 2024 by the authors. Licensee MDPI, Basel, Switzerland. This article is an open access article distributed under the terms and conditions of the Creative Commons Attribution (CC BY) license (https://creativecommons.org/licenses/by/4.0/).