Decoding Tianjin: How Does Urban Form Shape the Diurnal Cycle of Surface Temperature?
Abstract
1. Introduction
2. Materials and Methods
2.1. Study Area
2.2. Data Sources and Preprocessing
2.2.1. ECOSTRESS LST Data
2.2.2. Block Demarcation Methods
2.2.3. Data on Urban Landscape Indicators
2.3. GWR and MGWR Models
3. Results
3.1. Local Climatology and Spatial Distribution of Diurnal LSTs
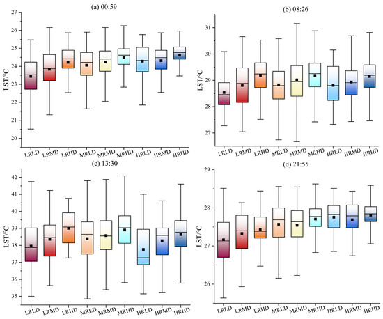
3.2. Diurnal Change Patterns of Urban LST in Different Blocks
3.3. Performance of GWR and MGWR Models
3.4. Spatial Heterogeneity in the Effects of Urban 2D and 3D Landscape Factors on Diurnal LST Across Block Types
3.5. Analysis of Regression Coefficients of Dominant Factors Affecting Diurnal LST in Different Block Types
4. Discussion
4.1. Block Scale, Urban Characterization Factors, and MGWR Model
4.2. Effect of Urban Characterization Factors on Diurnal LST in Different Blocks
4.3. Implications for Urban Planning
4.4. Limitations and Outlook
5. Conclusions
Author Contributions
Funding
Institutional Review Board Statement
Informed Consent Statement
Data Availability Statement
Acknowledgments
Conflicts of Interest
Abbreviations
| ECOSTRESS | Ecosystem Spaceborne Thermal Radiometer Experiment on Space Station |
| MNDWI | modified normalized difference water index |
| MDISI | normalized difference soil index |
| PLAND | percentage of landscape area |
| LST&E | land surface temperature and emissivity |
| MGWR | multi-scale geographic regression weighting model |
| CUHI | canopy urban heat island |
| SUHI | surface urban heat island |
| LULC | Land use/cover type |
| LRLD | low-rise low-density |
| LRMD | low-rise medium-density |
| LRHD | low-rise high-density |
| MRLD | mid-rise low-density |
| MRMD | mid-rise medium-density |
| MRHD | mid-rise high-density |
| HRLD | high-rise low-density |
| HRMD | high-rise medium-density |
| HRHD | high-rise High Density |
| NDBI | Normalized Difference Built-up Index |
| UDEM | urban elevation |
| Prec | precipitation |
| Wind | wind speed |
| NDVI | normalized difference vegetation index |
| Cohe | coherence |
| LST | land surface temperature |
| UHI | urban heat island |
| ISS | the International Space Station |
| SVF | sky view factor |
| GWR | geographic regression weighted models |
| TES | temperature and emissivity separation |
| LPI | largest patch index |
| VIF | the variance inflation factor |
| FAI | frontal area index |
| AHF | anthropogenic heat flux |
| POP | size of population |
| MAT | air temperature |
| GDP | gross domestic production |
| LSI | landscape shape index |
| NBH | normalized building height |
| FAR | floor area ratio |
| AT | air temperature |
| AI | aggregation index |
| ED | edge density |
| BD | building density |
| BH | building height |
| PW | percentage of water area |
| PI | percentage of impervious surface area |
| PB | percentage of building footprint area |
| PD | patch density |
| RD | road density |
| AH | the ratio of the total volume for buildings |
| AR | ratio of building maintenance area |
References
- Kohlhase, J.E. The new urban world 2050: Perspectives, prospects and problems. Reg. Sci. Policy Pract. 2013, 5, 153–165. [Google Scholar] [CrossRef]
- Yang, B.; Yang, X.; Leung, L.R.; Zhong, S.; Qian, Y.; Zhao, C.; Chen, F.; Zhang, Y.; Qi, J. Modeling the Impacts of Urbanization on Summer Thermal Comfort: The Role of Urban Land Use and Anthropogenic Heat. J. Geophys. Res.-Atmos. 2019, 124, 6681–6697. [Google Scholar] [CrossRef]
- Tuholske, C.; Caylor, K.; Funk, C.; Verdin, A.; Sweeney, S.; Grace, K.; Peterson, P.; Evans, T. Global urban population exposure to extreme heat. Proc. Natl. Acad. Sci. USA 2021, 118, e2024792118. [Google Scholar] [CrossRef] [PubMed]
- Vahmani, P.; Jones, A.D.; Patricola, C.M. Interacting implications of climate change, population dynamics, and urban heat mitigation for future exposure to heat extremes. Environ. Res. Lett. 2019, 14, 084051. [Google Scholar] [CrossRef]
- Chapman, S.; Thatcher, M.; Salazar, A.; Watson, J.E.M.; McAlpine, C.A. The impact of climate change and urban growth on urban climate and heat stress in a subtropical city. Int. J. Climatol. 2019, 39, 3013–3030. [Google Scholar] [CrossRef]
- Liu, B.; Guo, X.; Jiang, J. How Urban Morphology Relates to the Urban Heat Island Effect: A Multi-Indicator Study. Sustainability 2023, 15, 10787. [Google Scholar] [CrossRef]
- Zhang, Y.; Zhang, J.; Zhang, X.; Zhou, D.; Gu, Z. Analyzing the Characteristics of UHI (Urban Heat Island) in Summer Daytime Based on Observations on 50 Sites in 11 LCZ (Local Climate Zone) Types in Xi’an, China. Sustainability 2021, 13, 83. [Google Scholar] [CrossRef]
- Sobrino, J.A.; Irakulis, I. A Methodology for Comparing the Surface Urban Heat Island in Selected Urban Agglomerations Around the World from Sentinel-3 SLSTR Data. Remote Sens. 2020, 12, 2052. [Google Scholar] [CrossRef]
- Shi, T.; Huang, Y.; Sun, D.; Lu, G.; Yang, Y. A New Method for Correcting Urbanization-Induced Bias in Surface Air Temperature Observations: Insights From Comparative Site-Relocation Data. Front. Environ. Sci. 2021, 9, 625418. [Google Scholar] [CrossRef]
- Ren, G.; Li, J.; Ren, Y.; Chu, Z.; Zhang, A.; Zhou, Y.; Zhang, L.; Zhang, Y.; Bian, T. An Integrated Procedure to Determine a Reference Station Network for Evaluating and Adjusting Urban Bias in Surface Air Temperature Data. J. Appl. Meteorol. Climatol. 2015, 54, 1248–1266. [Google Scholar] [CrossRef]
- Gerçek, D.; Güven, İ.T. Assessment of Mutual Variation of Near-Surface Air Temperature, Land Surface Temperature and Driving Urban Parameters at Urban Microscale. Sustainability 2023, 15, 15710. [Google Scholar] [CrossRef]
- Peterson, T.C. Examination of potential biases in air temperature caused by poor station locations. Bull. Am. Meteorol. Soc. 2006, 87, 1073–1080. [Google Scholar] [CrossRef]
- Hamdi, H.; Roupioz, L.; Corpetti, T.; Briottet, X. Evaluation of the Urban Weather Generator on the City of Toulouse (France). Appl. Sci. 2024, 14, 185. [Google Scholar] [CrossRef]
- Goldblatt, R.; Addas, A.; Crull, D.; Maghrabi, A.; Levin, G.G.; Rubinyi, S. Remotely Sensed Derived Land Surface Temperature (LST) as a Proxy for Air Temperature and Thermal Comfort at a Small Geographical Scale. Land 2021, 10, 410. [Google Scholar] [CrossRef]
- Bird, D.N.; Banzhaf, E.; Knopp, J.; Wu, W.; Jones, L. Combining Spatial and Temporal Data to Create a Fine-Resolution Daily Urban Air Temperature Product from Remote Sensing Land Surface Temperature (LST) Data. Atmosphere 2022, 13, 1152. [Google Scholar] [CrossRef]
- Ejiagha, I.R.; Ahmed, M.R.; Hassan, Q.K.; Dewan, A.; Gupta, A.; Rangelova, E. Use of Remote Sensing in Comprehending the Influence of Urban Landscape’s Composition and Configuration on Land Surface Temperature at Neighbourhood Scale. Remote Sens. 2020, 12, 2508. [Google Scholar] [CrossRef]
- Dervisoglu, A. Investigation of the Efficiency of Satellite-Derived LST Data for Mapping the Meteorological Parameters in Istanbul. Atmosphere 2023, 14, 644. [Google Scholar] [CrossRef]
- Krehbiel, C.; Henebry, G.M. A Comparison of Multiple Datasets for Monitoring Thermal Time in Urban Areas over the US Upper Midwest. Remote Sens. 2016, 8, 297. [Google Scholar] [CrossRef]
- Liu, K.; Su, H.; Li, X.; Wang, W.; Yang, L.; Liang, H. Quantifying Spatial-Temporal Pattern of Urban Heat Island in Beijing: An Improved Assessment Using Land Surface Temperature (LST) Time Series Observations From LANDSAT, MODIS, and Chinese New Satellite GaoFen-1. IEEE J. Sel. Top. Appl. Earth Obs. Remote Sens. 2016, 9, 2028–2042. [Google Scholar] [CrossRef]
- Chakraborty, T.; Lee, X.; Ermida, S.; Zhan, W. On the land emissivity assumption and Landsat-derived surface urban heat islands: A global analysis. Remote Sens. Environ. 2021, 265, 112682. [Google Scholar] [CrossRef]
- Guha, S.; Govil, H.; Besoya, M. An investigation on seasonal variability between LST and NDWI in an urban environment using Landsat satellite data. Geomat. Nat. Hazards Risk 2020, 11, 1319–1345. [Google Scholar] [CrossRef]
- Li, C.; Zhang, N. Analysis of the Daytime Urban Heat Island Mechanism in East China. J. Geophys. Res.-Atmos. 2021, 126, e2020JD034066. [Google Scholar] [CrossRef]
- Sobstyl, J.M.; Emig, T.; Qomi, M.J.A.; Ulm, F.J.; Pellenq, R.J.M. Role of City Texture in Urban Heat Islands at Nighttime. Phys. Rev. Lett. 2018, 120, 108701. [Google Scholar] [CrossRef] [PubMed]
- Ding, W.; Liu, M.; Wu, Y.; Chen, H. How to expand the cooling capacity of blue and green spaces in peri-urban areas throughout the entire diurnal cycle: Evidence from an inland multilake city. J. Clean. Prod. 2024, 444, 141165. [Google Scholar] [CrossRef]
- Cha, J.; Carroll, B.; Rodriguez, J.; Maynard, K.; Romero, M. Thermal design and on-orbit performance of the ECOSTRESS instrument. In Proceedings of the Cryogenic Engineering Conference (CEC)/International Cryogenic Materials Conference (ICMC), Hartford, CT, USA, 21–25 July 2019. [Google Scholar]
- Fisher, J.; Lee, B.; Purdy, A. ECOSTRESS: NASA’s next generation mission to measure evapotranspiration from the international space station. Water Resour. Res. 2020, 56, e2019WR026058. [Google Scholar] [CrossRef]
- Meng, X.; Cheng, J.; Yao, B.; Guo, Y. Validation of the ECOSTRESS Land Surface Temperature Product Using Ground Measurements. IEEE Geosci. Remote Sens. Lett. 2022, 19, 3005305. [Google Scholar] [CrossRef]
- Johnson, W.R.; Hook, S.J.; Schmitigal, W.P.; Gullioud, R.; Logan, T.L.; Lum, K.T. ECOSTRESS End-to-End Radiometric Validation. In Proceedings of the IEEE Aerospace Conference, Big Sky, MT, USA, 2–9 March 2019. [Google Scholar]
- Wu, S.; Liao, E.J.I.C.S.E.; Science, E. The Analytical Investigation of Residential Areas Thermal Environment Under the Process of Urbanization. IOP Conf. Ser. Earth Environ. Sci. 2020, 567, 012029. [Google Scholar] [CrossRef]
- Sidiqui, P.; Tariq, M.A.U.R.; Ng, A.W.M. An Investigation to Identify the Effectiveness of Socioeconomic, Demographic, and Buildings’ Characteristics on Surface Urban Heat Island Patterns. Sustainability 2022, 14, 2777. [Google Scholar] [CrossRef]
- Mushore, T.D.; Mutanga, O.; Odindi, J. Determining the Influence of Long Term Urban Growth on Surface Urban Heat Islands Using Local Climate Zones and Intensity Analysis Techniques. Remote Sens. 2022, 14, 2060. [Google Scholar] [CrossRef]
- Murayama, Y.; Wang, R. Editorial: Special Issue on Geographical Analysis and Modeling of Urban Heat Island Formation. Remote Sens. 2023, 15, 4474. [Google Scholar] [CrossRef]
- Tao, S.; Li, Y. Modeling Thermal Environment Responses to Terrain and Urbanization of Metropolis. J. Phys. Conf. Ser. 2021, 2173, 012023. [Google Scholar] [CrossRef]
- Morris, C.J.G.; Simmonds, I.; Plummer, N. Quantification of the influences of wind and cloud on the nocturnal urban heat island of a large city. J. Appl. Meteorol. 2001, 40, 169–182. [Google Scholar] [CrossRef]
- Qiao, Z.; Han, X.; Wu, C.; Liu, L.; Xu, X.; Sun, Z.; Sun, W.; Cao, Q.; Li, L. Scale Effects of the Relationships between 3D Building Morphology and Urban Heat Island: A Case Study of Provincial Capital Cities of Mainland China. Complexity 2020, 2020, 9326793. [Google Scholar] [CrossRef]
- Qiu, X.; Kil, S.H.; Jo, H.K.; Park, C.; Song, W.; Choi, Y.E. Cooling Effect of Urban Blue and Green Spaces: A Case Study of Changsha, China. Int. J. Environ. Res. Public Health 2023, 20, 2613. [Google Scholar] [CrossRef] [PubMed]
- Pritipadmaja; Garg, R.D.; Sharma, A.K. Assessing the Cooling Effect of Blue-Green Spaces: Implications for Urban Heat Island Mitigation. Water 2023, 15, 2983. [Google Scholar] [CrossRef]
- Wang, M.; Song, H.; Zhu, W.; Wang, Y. The Cooling Effects of Landscape Configurations of Green-Blue Spaces in Urban Waterfront Community. Atmosphere 2023, 14, 833. [Google Scholar] [CrossRef]
- Zhang, Y.; Wang, Y.; Ding, N.; Yang, X. Assessing the Contributions of Urban Green Space Indices and Spatial Structure in Mitigating Urban Thermal Environment. Remote Sens. 2023, 15, 2414. [Google Scholar] [CrossRef]
- Yao, X.; Zeng, X.; Zhu, Z.; Lan, Y.; Shen, Y.; Liu, Q.; Yang, F. Exploring the diurnal variations of the driving factors affecting block-based LST in a “Furnace city” using ECOSTRESS thermal imaging. Sustain. Cities Soc. 2023, 98, 104841. [Google Scholar] [CrossRef]
- Fan, J.Y.; Chen, X.G.; Xie, S.Q.; Zhang, Y.H. Study on the Response of the Summer Land Surface Temperature to Urban Morphology in Urumqi, China. Sustainability 2023, 15, 15255. [Google Scholar] [CrossRef]
- Liu, P.Y.; Wu, C.; Chen, M.M.; Ye, X.Y.; Peng, Y.F.; Li, S. A Spatiotemporal Analysis of the Effects of Urbanization’s Socio-Economic Factors on Landscape Patterns Considering Operational Scales. Sustainability 2020, 12, 2543. [Google Scholar] [CrossRef]
- Ezimand, K.; Azadbakht, M.; Aghighi, H. Analyzing the effects of 2D and 3D urban structures on LST changes using remotely sensed data. Sustain. Cities Soc. 2021, 74, 103216. [Google Scholar] [CrossRef]
- Tanoori, G.; Soltani, A.; Modiri, A. Machine Learning for Urban Heat Island (UHI) Analysis: Predicting Land Surface Temperature (LST) in Urban Environments. Urban Clim. 2024, 55, 101962. [Google Scholar] [CrossRef]
- Cao, S.; Weng, Q.; Lu, L. Distinctive roles of two- and three-dimensional urban structures in surface urban heat islands over the conterminous United States. Urban Clim. 2022, 44, 101230. [Google Scholar] [CrossRef]
- Xu, S.P.; Zhao, Q.; Yin, K.; He, G.J.; Zhang, Z.M.; Wang, G.Z.; Wen, M.P.; Zhang, N. Spatial Downscaling of Land Surface Temperature Based on a Multi-Factor Geographically Weighted Machine Learning Model. Remote Sens. 2021, 13, 1186. [Google Scholar] [CrossRef]
- Mehrotra, S.; Bardha, R.; Ramamritham, K. Urban form as policy variable for climate-sensitive area planning under heterogeneity: A geographically weighted regression approach. Area Dev. Policy 2020, 5, 167–188. [Google Scholar] [CrossRef]
- Yin, S.S.; Liu, J.T.; Han, Z.L. Relationship between urban morphology and land surface temperature-A case study of Nanjing City. PLoS ONE 2022, 17, e0260205. [Google Scholar] [CrossRef] [PubMed]
- Yang, F.; Yousefpour, R.; Zhang, Y.; Wang, H. The assessment of cooling capacity of blue-green spaces in rapidly developing cities: A case study of Tianjin’s central urban area. Sustain. Cities Soc. 2023, 99, 104918. [Google Scholar] [CrossRef]
- Liang, J.; Bai, Y.; Gao, Z.; Yang, X.; Li, L.; Zhang, C.; Qiao, F. A Study on the Dynamic Relationship between Landscape Information and Heat Island Intensity of Urban Growth Patterns—A Case of Five Cities in the Beijing–Tianjin–Hebei City Cluster. Sustainability 2022, 14, 14099. [Google Scholar] [CrossRef]
- Chang, Y.; Xiao, J.; Li, X.; Middel, A.; He, S. Exploring diurnal thermal variations in urban local climate zones with ECOSTRESS land surface temperature data. Remote Sens. Environ. 2021, 263, 112544. [Google Scholar] [CrossRef]
- Lin, Z.; Xu, H.; Yao, X.; Yang, C.; Ye, D. How does urban thermal environmental factors impact diurnal cycle of land surface temperature? A multi-dimensional and multi-granularity perspective. Sustain. Cities Soc. 2024, 101, 105190. [Google Scholar] [CrossRef]
- Zhao, X.; Liu, J.; Bu, Y. Quantitative Analysis of Spatial Heterogeneity and Driving Forces of the Thermal Environment in Urban Built-up Areas: A Case Study in Xi’an, China. Sustainability 2021, 13, 1870. [Google Scholar] [CrossRef]
- Wu, W.-B.; Ma, J.; Banzhaf, E.; Meadows, M.E.; Yu, Z.-W.; Guo, F.-X.; Sengupta, D.; Cai, X.-X.; Zhao, B. A first Chinese building height estimate at 10 m resolution (CNBH-10 m) using multi-source earth observations and machine learning. Remote Sens. Environ. 2023, 291, 113578. [Google Scholar] [CrossRef]
- AlDousari, A.E.; Kafy, A.A.; Saha, M.; Fattah, M.A.; Almulhim, A.I.; Al Rakib, A.; Jahir, D.M.; Rahaman, Z.A.; Bakshi, A.; Shahrier, M.; et al. Modelling the impacts of land use/land cover changing pattern on urban thermal characteristics in Kuwait. Sustain. Cities Soc. 2022, 86, 104107. [Google Scholar] [CrossRef]
- Liu, Y.; Wang, Z.P.; Liu, X.; Zhang, B.L. Complexity of the relationship between 2D/3D urban morphology and the land surface temperature: A multiscale perspective. Environ. Sci. Pollut. Res. 2021, 28, 66804–66818. [Google Scholar] [CrossRef]
- Han, D.; Cai, H.; Wang, F.; Wang, M.; Xu, X.; Qiao, Z.; An, H.; Liu, Y.; Jia, K.; Sun, Z.; et al. Understanding the role of urban features in land surface temperature at the block scale: A diurnal cycle perspective. Sustain. Cities Soc. 2024, 111, 105588. [Google Scholar] [CrossRef]
- Han, D.; An, H.; Cai, H.; Wang, F.; Xu, X.; Qiao, Z.; Jia, K.; Sun, Z.; An, Y. How do 2D/3D urban landscapes impact diurnal land surface temperature: Insights from block scale and machine learning algorithms. Sustain. Cities Soc. 2023, 99, 104933. [Google Scholar] [CrossRef]
- Wang, Q.; Wang, X.A.; Meng, Y.; Zhou, Y.; Wang, H.T. Exploring the impact of urban features on the spatial variation of land surface temperature within the diurnal cycle. Sustain. Cities Soc. 2023, 91, 104432. [Google Scholar] [CrossRef]
- Zhao, J.; Guo, F.; Zhang, H.C.; Dong, J. Mechanisms of non-stationary influence of urban form on the diurnal thermal environment based on machine learning and MGWR analysis. Sustain. Cities Soc. 2024, 101, 105194. [Google Scholar] [CrossRef]
- Chang, Y.; Xiao, J.; Li, X.; Weng, Q. Monitoring diurnal dynamics of surface urban heat island for urban agglomerations using ECOSTRESS land surface temperature observations. Sustain. Cities Soc. 2023, 98, 104833. [Google Scholar] [CrossRef]
- Oshan, T.M.; Li, Z.Q.; Kang, W.; Wolf, L.J.; Fotheringham, A.S. MGWR: A Python Implementation of Multiscale Geographically Weighted Regression for Investigating Process Spatial Heterogeneity and Scale. Isprs Int. J. Geo-Inf. 2019, 8, 269. [Google Scholar] [CrossRef]
- Yamada, C.; Takagi, N.J. Observations of vertical air temperature of urban and Suburban area in Nagano City. J. Environ. Eng. (Trans. AIJ) 2008, 73, 1355–1360. [Google Scholar] [CrossRef][Green Version]









| Date | Time (GMT + 8) | Wind Direction | T | RRR | H | Tn | Tx | Impact of Weather Conditions on LST |
|---|---|---|---|---|---|---|---|---|
| 1 May 2023 | 08:26 | south wind | 18.5 | no rainfall | >2500 m, or no clouds | 10.6 | 23.8 | Consistent favorable weather conditions for obtaining LST data |
| 30 September 2023 | 13:30 | north wind | 24.8 | no rainfall | >2500 m, or no clouds | 14.2 | 26.5 | |
| 8 May 2024 | 21:55 | southwest wind | 24.3 | no rainfall | >2500 m, or no clouds | 11.7 | 29.6 | |
| 22 May 2022 | 00:59 | southwest wind | 23.2 | no rainfall | >2500 m, or no clouds | 18.0 | 35.0 |
| Classifications | BD(%) | BH(m) |
|---|---|---|
| LRLD | BD < 0.15 | BH < 10 |
| LRMD | 0.15 ≤ BF < 0.25 | BH < 10 |
| LRHD | BF ≥ 0.25 | BH < 10 |
| MRLD | BD < 0.15 | 10 ≤ BH < 25 |
| MRMD | 0.15 ≤ BF < 0.25 | 10 ≤ BH < 25 |
| MRHD | BF ≥ 0.25 | 10 ≤ BH < 25 |
| HRLD | BD < 0.15 | BH ≥ 25 |
| HRMD | 0.15 ≤ BF < 0.25 | BH ≥ 25 |
| HRHD | BF ≥ 0.25 | BH ≥ 25 |
| Typology | Norm | Unit | Formula | Reference | |
|---|---|---|---|---|---|
| 2D | Landscape components | Percentage of water area (PW) | % | , where denotes the size of patch type (class) in each block, denotes the total area of each block . | [52] |
| Percentage of impervious surface area (PI) | |||||
| Percentage of building footprint area (PB) | |||||
| Landscape patterns | Vegetation aggregation (AI_v) | % | , where denotes the number of like adjacencies (joins) between pixels of patch type (class) based on the single-count method. denotes the maximum number of like adjacencies (joins) between pixels of patch type (class) i (see below) based on the single-count method. | (C3)Aggregation Index (https://fragstats.org/index.php/fragstats-metrics/patch-based-metrics/aggregation-metrics/c3-aggregation-index (accessed on 17 October 2024)) | |
| Water aggregation (AI_w) | |||||
| Bareland aggregation (AI_ba) | |||||
| Vegetation largest patch index (LPI_v) | % | , where denotes the area (m2) of patch , and denotes the total landscape area (m2). | (C3)Largest Patch Index (https://fragstats.org/index.php/fragstats-metrics/patch-based-metrics/area-and-edge-metrics/c3-largest-patch-index (accessed on 11 September 2024)) | ||
| Water largest patch index (LPI_w) | |||||
| Largest patch index of impervious surface (LPI_i) | |||||
| Largest patch index of building footprint (LPI_bu) | |||||
| Bareland largest patch index (LPI_ba) | |||||
| Edge density of water (ED_w) | m/ha | , where denotes the total length (m) of edge in landscape, and denotes the total landscape area (m2). | (L4)Edge Density (https://fragstats.org/index.php/fragstats-metrics/patch-based-metrics/area-and-edge-metrics/l4-edge-density (accessed on 11 September 2024)) | ||
| Edge density of impervious surfaces (ED_i) | |||||
| Bareland edge density (ED_ba) | |||||
| socio-economic factors | Size of population(POP) | N | |||
| Anthropogenic heat flux (AHF) | W/m2 | ||||
| 3D | Meteorological factor | Frontal area index (FAI) | - | , where denotes the projected area of a building in a particular wind direction, and the area of the calculation unit. | [56] |
| Urban canyon parameters data | Building height (BH) | m | , where the height of building , and denotes the footprint of building . | [40] | |
| Sky view factor (SVF) | - | , where denotes the number of azimuthal directions sampled, denotes the height angle of the shade in the direction , and denotes the horizontal angle of the occlusion in the direction. | [57] | ||
| Time | LRLD | LRMD | LRHD | MRLD | MRMD | MRHD | HRLD | HRMD | HRHD |
|---|---|---|---|---|---|---|---|---|---|
| 00:59 | 0.559 | 0.779 | 0.586 | 0.671 | 0.706 | 0.733 | 0.628 | 0.738 | 0.730 |
| 08:26 | 0.563 | 0.663 | 0.792 | 0.681 | 0.662 | 0.716 | 0.528 | 0.589 | 0.669 |
| 13:30 | 0.522 | 0.512 | 0.696 | 0.505 | 0.687 | 0.670 | 0.536 | 0.599 | 0.610 |
| 21:55 | 0.617 | 0.554 | 0.501 | 0.526 | 0.648 | 0.592 | 0.587 | 0.745 | 0.652 |
| Study Area | Climate | Basic Research Units | Observation Time | Landscape Type | LST Data | Research Methods | Block Types | LST Characteristics | Dominant Factors Influencing LST (SUHI) |
|---|---|---|---|---|---|---|---|---|---|
| Fuzhou [40] | subtropical monsoon climate | blocks | 02:12 07:04 10:18 19:32 | BD, NDVI, NDISI, MNDWI, BH, SVF, FAR, FAI | ECOSTRESS LST | Pearson’s correlation and stepwise regression analysis | LRLD LRMD LRHD MRLD MRMD MRHD HRLD HRMD HRHD | LST(10:18) > LST(19:32) > LST(07:04) > LST(02:12) | LRLD: MNDWI (+) (02:12), NDISI(+) (07:04), NDISI (+) (10:18), FAI(+) (19:32) MRMD: MNDWI(+) (02:12), NDVI(-) (07:04), NDVI(−) (10:18), FAI(−) (19:32) HRHD: MNDWI(+) (02:12), NDVI(−) (07:04), FAR(−) (10:18), NDVI(−) (19:32) |
| Fuzhou [52] | subtropical monsoon climate | grids(90, 150, 270, 390, 570 m) | 02:12 07:04 10:18 17:35 | PI, PB, PV, PW, PD, ED, Cohe, LPI, RD, AHF, PopS, BH, NBH, SVF | ECOSTRESS LST | RF | - | LST(10:18) > LST(17:35) > LST(07:04) > LST(02:12) | 270m:PW(02:12), LPI_BGS(07:04), LPI_B(10:18), PI(17:35) |
| Beijing [57] | temperate monsoon climate | blocks | 10:42 14:13 22:32 03:00 07:20 19:06 | PLAND, LPI, AI, BD, BH, TD, TH, SVF | ECOSTRESS LST | BRT | - | Basically LST (natural geography) < LST (artificial surface) | BD(10:42), TD(14:13), BH(22:32), BH(03:09), BH(07:20), SVF(19:06) |
| Beijing [58] | temperate monsoon climate | blocks | 10:42 14:13 22:32 03:09 | PLAND, LSI, AI, BD, BH, SVF, FAI | ECOSTRESS LST | RF BRT | LRB MRB HRB | (10:42)MRB > HRB > LRB (14:13)MRB > LRB > HRB (22:32)HRB > MRB > LRB (03:09)HRB > MRB > LRB | LRB:PLAD_v(10:42), PLAND_v(14:13), PLAND_i(22:32), FAI(03:09) MRB: PLAD_v(10:42), PLAND_v(14:13), BH(22:32), BH(03:09) HRB:BD(10:42), BD(14:13), FAI(22:32), LSI_i(03:09) |
| Beijing [59] | temperate monsoon climate | grids | 06:10 10:42 14:13 17:14 19:52 22:57 00:59 04:04 | PV, PW, BD, ED, PD, BH, SVF, POID, Albedo | ECOSTRESS LST | ANN GBM MARS MLR RF | - | BD(+) (10:42), PV(−) (14:13 to 17:14), POID(+) (19:52 to 22:57), Albedo(−) (00:59 to 06:10) | |
| Dalian [60] | temperate monsoon climate | blocks | day night | NDVI, NDBI, BD, FAR, AH, URL, SVF, AR | Landsat 8 LST | MGWR | built-up types, non-built-up types | LST is higher during the day than at night in all divisions except LCZG | LST-Daytime: SVF(−), FAR(−), AH(−), NDVI(−), POI(+), NL(+), DFC(+), NDBI(+), BD(+) LST−Nighttime: SVF(−), BD(−), AH(−), NDVI(−), NDBI(−), DFC(+), POI(+), NL(+), BD(+) |
| the Guanzhong region [61] | humid sub tropical (Cwa) and semi-arid (BSk) climate | pixel | 10:22 11:50 14:13 14:30 16:23 16:42 16:55 17:32 23:44 23:57 04:25 06:25 | MAT, Prec, Urban size, Srad, Wind, POP, UDEM, GDP, PI, NDVI | ECOSTRESS LST Landsat ASTER MODIS | Pearson’s correlation | - | Higher LST in urban areas (especially Xi’an and Xianyang urban areas), lower LST in vegetated areas | Night SUHI: NDVI(−), UDEM(−), Prec(−), Wind(−), PI(+), MAT(+) |
| Tianjin (our study) | temperate monsoon climate | blocks | 00:59 08:26 13:30 21:55 | PB, PI, PW, AI, LPI, ED, BH, SVF, AHF, POP, FAI | ECOSTRESS LST | MGWR | LRLD LRMD LRHD MRLD MRMDMRHD HRLD HRMD HRHD | LST(13:30) > LST(08:26) > LST(21:55) > LST(00:59) | LRLD: FAI(±)(00:59), AHF(+)(08:26), AHF(+)(13:30), PB(−)(21:55) MRMD: POP(+)(00:59), POP(+)(08:26), POP(+)(13:30), POP(+)(21:55) HRHD: POP(±)(00:59), ED_ba(−)(08:26), POP(±)(13:30), PW(+)(21:55) |
Disclaimer/Publisher’s Note: The statements, opinions and data contained in all publications are solely those of the individual author(s) and contributor(s) and not of MDPI and/or the editor(s). MDPI and/or the editor(s) disclaim responsibility for any injury to people or property resulting from any ideas, methods, instructions or products referred to in the content. |
© 2024 by the authors. Licensee MDPI, Basel, Switzerland. This article is an open access article distributed under the terms and conditions of the Creative Commons Attribution (CC BY) license (https://creativecommons.org/licenses/by/4.0/).
Share and Cite
Wei, T.; Li, W.; Tang, J. Decoding Tianjin: How Does Urban Form Shape the Diurnal Cycle of Surface Temperature? Sustainability 2024, 16, 10241. https://doi.org/10.3390/su162310241
Wei T, Li W, Tang J. Decoding Tianjin: How Does Urban Form Shape the Diurnal Cycle of Surface Temperature? Sustainability. 2024; 16(23):10241. https://doi.org/10.3390/su162310241
Chicago/Turabian StyleWei, Ting, Wei Li, and Juan Tang. 2024. "Decoding Tianjin: How Does Urban Form Shape the Diurnal Cycle of Surface Temperature?" Sustainability 16, no. 23: 10241. https://doi.org/10.3390/su162310241
APA StyleWei, T., Li, W., & Tang, J. (2024). Decoding Tianjin: How Does Urban Form Shape the Diurnal Cycle of Surface Temperature? Sustainability, 16(23), 10241. https://doi.org/10.3390/su162310241
