Abstract
Air pollution is a growing concern in rural areas where agricultural production can be reduced by it. This article analyses data obtained as part of a research project. The aim of this study is to understand the influence of atmospheric pressure, air temperature, air relative humidity, longitude and latitude of the location, and indoor and outdoor environment on local rural workplace diversity of air pollutants such as carbon monoxide (CO) and suspended particulate matter (SPM), as well as the contribution of these variables to changes in such air pollutants. The focus is on four topics: motivation, innovation and creativity, leadership, and social responsibility. Furthermore, this study developed an artificial neural network (ANN) model to predict CO and SPM concentrations in the air based on data collected from the mentioned inputs. The related sensors were assembled on an Arduino Mega 2560 board to form a field-portable device to detect air pollutants and meteorological parameters. The sensors included an MQ7 sensor for CO concentration measurement, a Sharp GP2Y1010AU0F dust sensor for SPM concentration measurement, a DHT11 sensor for air temperature and air relative humidity measurement, and a BMP180 sensor for air pressure measurements. The longitude and latitude of the location were measured using a smartphone. Measurements were conducted from 20 December 2021 to 16 July 2022. Results showed that the overall average outdoor CO and SPM concentrations were 10.97 ppm and 231.14 μg/m3 air, respectively. The overall average indoor concentrations were 12.21 ppm and 233.91 μg/m3 air for CO and SPM, respectively. Results showed that the ANN model demonstrated acceptable performance in predicting CO and SPM in both the training and testing phases, exhibiting a coefficient of determination (R2) of 0.575, a root mean square error (RMSE) of 1.490 ppm, and a mean absolute error (MAE) of 0.994 ppm for CO concentrations when applying the testing dataset. For SPM concentrations, the R2, RMSE, and MAE using the test dataset were 0.497, 30.301 μg/m3 air, and 23.889 μg/m3 air, respectively. The most influential input variable was air pressure, with contribution rates of 22.88% and 22.82% in predicting CO and SPM concentrations, respectively. The acceptable performance of the developed ANN model provides potential advances in air quality management and agricultural planning, enabling a more accurate and informed decision-making process regarding air pollution. The results of short-term estimation of CO and SPM concentrations suggest that the accuracy of the ANN model needs to be improved through more comprehensive data collection or advanced machine learning algorithms to improve the prediction results of these two air pollutants. Moreover, as even lower cost devices can predict CO and SPM concentrations, this study could lead to the development some kind of virtual sensor, as other air pollutants can be estimated from measurements of particulate matters.
1. Introduction
Several adverse environmental impacts from agricultural practices, such as air pollution, are increasingly damaging to human and environmental health. Farmers and policymakers may find it beneficial to use appropriate technologies and methods to realistically assess the atmospheric impacts of air pollution and recommend ways to mitigate agriculture-related air emissions. These feedback mechanisms predict the transport and fate of pollutants and assess potential hazards based on observable effects, measured pollutant concentrations, and modeling [].
Air pollution remains a pressing public health issue in many countries, threatening both rural and urban populations. New analyses include the use of artificial neural networks (ANNs) as an effective alternative that can process complex multi-dimensional data, as well as the use of low-cost portable monitors that measure the amounts of air pollutants in both rural and urban environments. In rural areas, we can fill gaps in air pollution monitoring and demonstrate how this can be enhanced in future mitigation efforts to more optimally reduce health impacts. Additionally, exposure to high concentrations of a range of air pollutants can damage crops.
Research should therefore focus on tracking, simulating, and controlling air pollutants emitted by various agricultural activities. Air pollution is the result of one or more pollutants being present in the air for a long enough period of time and in high enough concentrations to be a nuisance or harmful to plants, animals, and humans []. Air pollution has many sources, including waste, vehicles, construction sites, and industrial activities such as manufacturing emissions []. Although air pollution is a well-known environmental problem that negatively affects many aspects of our society, its relationship with agriculture is more complex []. In addition, air pollution affects agricultural productivity, since pollutants interfere to some extent with the biochemical and physiological reactions of plants []. Additionally, when different types of particles fall on plants, they can stop the normal respiration and photosynthetic mechanisms of the leaves []. According to Aragon and Rud [], depending on the crop and the air pollutant, air pollution can reduce crop yields by 30–60%. Various studies have shown that air pollution has a significant impact on crop growth and yield. Crop yield mainly depends on environmental conditions, especially air quality [].
Carbon monoxide (CO) and suspended particulate matter (SPM) concentrations are different types or categories of air pollutants emitted by various sources or activities []. The most important sources of primary particles are industrial processes, road traffic, power plants, domestic combustion of coal, wood, etc., waste incineration, and road and construction dust generation []. Additionally, the largest sources of CO in outdoor air are cars, trucks, and other vehicles and machinery that burn fossil fuels []. Carbon monoxide is formed indoors by combustion (cooking and heating) and also enters the indoor environment through carbon monoxide permeation from outside air []. In developed countries, exhaust fumes from defective, improperly installed, poorly maintained, or poorly ventilated cooking and heating appliances that burn fossil fuels are the primary source of carbon monoxide pollution of indoor air []. Therefore, research on rural air quality is essential to determine baseline emissions of air pollutants, evaluate the impact of both CO and SPM concentrations in rural areas, simulate the dispersion of pollutants, and develop effective pollution control systems []. As a result, measures taken to curb the impact of air pollution will increase the effectiveness of measures to improve agricultural production and food security in many places []. We selected CO, an air pollutant, in our study because CO emissions from vehicles not only cause environmental pollution but also have adverse effects on human health []. Although CO is emitted from vehicles, furnaces, ovens, stoves, fireplaces, water heaters, portable generators, and charcoal grills, the main source of CO is vehicle exhaust gasses due to incomplete combustion of carbon-containing fuels []. Furthermore, we selected SPM concentrations as air pollutants because dust storms are an important meteorological phenomenon that affects air quality, public health, and visibility, especially in the deserts of Saudi Arabia [].
To determine the air quality, an Arduino board and associated air quality monitoring sensors such as MQ7, Sharp GP2Y1010AU0F, DHT11, and barometric BMP180 were used. These sensors were used to measure CO concentration, dust concentration, air temperature and relative humidity, and barometric pressure, respectively [,,,,,,,,,,,]. All these sensor readings generate real-time data that is displayed on an Android device or PC [].
Prediction of air pollutant parameters is of great importance in rural areas, as it directly affects both the management of agricultural economic activities and the health of residents []. Accurate prediction of air pollutant parameters in space and time is a challenging task in research and practice due to the influence of meteorological factors and the complexity and diversity of physical and chemical processes that affect the formation and transport of pollutants in the atmosphere []. Abdul Wahab et al. [] presented a statistical model capable of predicting CO concentrations as a function of 13 independent variables, including meteorological parameters such as wind speed, wind direction, air temperature, relative humidity, solar energy, and various air pollution parameters. The experiments were conducted in an urban environment. A mobile air pollution monitoring laboratory system was used for data collection. The statistical model was determined using a stepwise multiple regression modeling procedure. The results showed that nitrogen oxides had the greatest impact on the predicted CO concentrations with an accuracy of 91.3%. The derived statistical model was found to be statistically significant, and the model’s predictions agreed with the experimental observations.
There are various new techniques involving modern software computing strategies, and many studies have proven that modern techniques such as ANNs, fuzzy logic, genetic programming, genetic algorithms, and support vector machines are suitable for prediction purposes. In response to this research, several studies have been carried out to predict air pollutant parameters using ANNs [,]. ANNs do not require prior assumptions for model calibration, nor the need to distinguish the relative importance of different input measurements []. In addition, ANNs are popular due to their ability to handle complex and high-dimensional data, making them an important part of modern artificial intelligence and deep learning applications []. Moreover, the strong ability of ANN models to predict ambiguous data and the successful application of this approach in various fields suggest the idea of implementing ANNs to predict air pollutant parameters based on meteorological or other data. Studies have shown that ANN methods perform better than regression models in estimating complex nonlinear systems [], such as the relationship between air pollutant parameters and meteorological variables [,]. Air pressure, air temperature, and air relative humidity have a significant effect on air pollutant parameters, and this effect varies depending on the time and location of the measurement [,].
In the past decade, many researchers have used ANN techniques to predict known air pollutant concentrations, such as particulate matter with a diameter of 2.5 μm (PM2.5) []. To estimate carbon dioxide concentrations in traffic, Azeez et al. [] used an ANN model. Six predictive factors were used: the number of motorcycles, heavy vehicles, and passenger cars, temperature, wind speed, and a digital land surface model. Traffic CO concentrations were measured four times a day at 15 min intervals on weekdays and weekends. The validation accuracy of the constructed ANN model was 80.6%. They found that the created ANN model is a potentially useful tool for CO simulation in crowded places. Asrari and Rock [] used an ANN model to predict the concentrations of CO and particulate matter less than 10 μm in diameter (PM10) based on input variables such as air temperature, wind speed, air relative humidity, precipitation, and cloud cover. The correlation coefficients between the actual concentrations of CO and PM10 and the values predicted by the ANN model were 0.909 and 0.854, respectively. Air pollutant parameters vary significantly depending on the season, time of day, length of period, weather, and climate change effects []. Each air pollutant interacts differently with climatic conditions and human behavior, so trends also vary for different types of air pollutants. With improved knowledge of air pollution patterns and trends, policy changes and measures can be better adapted to changing periods of worse air quality [].
This study is novel in three respects: (i) from a methodological point of view, we tested the suitability of ANN method to describe the characteristics of air pollutants such as atmospheric CO and SPM concentrations in an unstructured dataset; (ii) we used a method to evaluate the influence of input variables on the final prediction; (iii) we focused on measuring the levels of each concentration in some previously unstudied rural areas. Thus, the main objective of this study was to develop a wearable device based on an Arduino board and its associated sensors to monitor CO and SPM concentrations in the air and to detect air pollutants and meteorological parameters in some rural areas of Saudi Arabia. The second objective was to develop an ANN model to predict CO and SPM concentrations using the collected data on the air pressure, air temperature, air relative humidity, longitude, and latitude of a location. Furthermore, this study seeks to find the highest importance of explanatory variables (inputs) in relation to dependent variables (explained to find outputs). This study also provides a low-cost, low-power, and reliable portable air quality monitoring device. Ease of installation and use are also key factors. Moreover, the ability to predict CO and SPM concentrations using quantifiable features is highlighted by the ANN model. Our motivations behind developing the ANN model to predict CO and SPM concentrations are due to an exhaustive literature review on air pollution forecasting techniques []. It was found that ANN models can precisely predict air pollution at different locations and climatic conditions as they admit more input variables than empirical models, improving their reliability. The findings of this study could provide new perspectives for society and researchers for future research on air pollution prediction. Moreover, it can be claimed that ANN-based predictions are more accurate than a combination of linear regression models []. The suggested method also shows how important meteorological variables that are necessary to accurately reflect the temporal change in air pollution concentrations for a specific scenario may be identified using ANN modeling techniques.
2. Materials and Methods
2.1. Sites of the Experimental Activities
Table S1 in Supplementary Materials shows the volume of data recorded using the developed portable device and the characteristics of the experimental sites in the selected regions, including different rural environments with different agricultural activities. The agricultural activities were located in Saudi Arabia and coded by different codes from A1 to A29. These agricultural activities were conducted in different regions of Saudi Arabia, namely Al-Taif, Al-Khalj, Al-Zulfi, Shaqra, and Riyadh. Saudi Arabia is located at 24 degrees 55 min north latitude and 46 degrees 14 min east longitude and Saudi Arabia’s climate is characteristically semi-arid to arid; as a result, air pollutants remain airborne longer []. Table S2 in Supplementary Materials provides the measurement locations (indoor or outdoor environment), the date and time of measurement, the longitude and latitude of the location, and the start and end times of the measurements. The locations of the agricultural activities are shown on the map of Saudi Arabia as illustrated in Figure 1.

Figure 1.
Locations of the agricultural activities on the map of Saudi Arabia.
2.2. Components of the Field-Portable Device and Characteristics of the Sensors
The field-portable device developed to monitor air pollutants and meteorological parameters consisted of several components (Figure 2).

Figure 2.
The components of the developed field-portable device.
The main components were the relevant sensors such as an MQ7 sensor for measuring CO concentration, a DHT11 sensor for measuring air temperature and air relative humidity, and a GP2Y1010AU0F sensor for measuring SPM concentration in the air. In addition, a BMP180 sensor was used to measure the air pressure. Furthermore, the control part of the portable device consisted of an Arduino Mega 2560 microcontroller. The Arduino microcontroller acted as the brain of the system and performed the mathematical calculations required to compare the analog signals from the sensors with the preset values. The Arduino Mega 2560 offers a variety of features, but the most important ones for a measurement system are the 16 MHz crystal oscillator, the available USB port, the large number of digital input/output and analog input pins, and the storage capacity []. The Arduino Mega 2560 was used to collect data from the dust sensor and the MQ7 sensor to measure both SPM concentration (μg/m3 air) and CO concentration (ppm). Measurements
A liquid crystal display was used to display the status and functions of the portable device, as well as the measurements. The Arduino Mega 2560 and all the sensors were assembled in a plastic box as well as the necessary hardware. All the sensors were placed on the Arduino board. The housing of the portable device was made of plastic and was screwed tightly together. Therefore, since the components were assembled as compactly as possible, it was lightweight, portable and easy to use. So, the user can carry it anywhere and place it anywhere, indoors or outdoors.
The activities in the countryside were carried out both indoors and outdoors. The data were collected in real time. All sensors (MQ7, DHT11, BMP180, and GP2Y1010AU0F) were used without modification. A smartphone was used to measure the longitude and latitude of the location. were conducted in indoor and outdoor environments in selected rural environments in Saudi Arabia from 20 December 2021, to 16 July 2022.
The MQ7 sensor was used to detect CO levels, which is the main cause of air pollution and the development of several serious diseases [,]. The MQ7 sensor operates in a temperature range of −20 to 50 °C. It requires less than 150 mA of current at a nominal voltage of 5 V []. The DHT11 sensor was used to measure air temperature and humidity, two very important parameters for assessing air quality. The DHT11 sensor is known for its low cost and very high accuracy and acts as a digital temperature and humidity sensor [,]. The air temperature measurements range from 0 to 50 °C and the humidity measurements range from 20 to 90%. Airborne solids called fine particulate matter (PM) are among the air pollutants of greatest concern to the public due to their adverse health effects [,,]. One of the least expensive PM sensors currently on the market is the Sharp GP2Y1010AU0F PM sensor []. There is no set particle size range that the Sharp GP2Y1010AU0F dust sensor can detect []. According to the Sharp dust sensor datasheet, the maximum concentration of suspended solids that can be measured in the air is 0.5 mg/m3 air (500 μg/m3 air). Sharp GP2Y1010 dust sensors are increasingly being used in distributed sensor networks and for personal monitoring of exposure to particulate matter []. The Sharp GP2Y1010AU0F sensor offers a good price and easy-to-use solution []. For this study, we used the Sharp dust sensor “GP2Y1010AU0F” as is.
Barometric pressure changes are generally regular and depend on the season, altitude, and local weather conditions [,,]. The BMP180 sensor (from Bosch Sensortec, Kusterdingen, Germany) measures the absolute pressure of the surrounding air. The BMP180 sensor has a measurement range of 300–1100 hPa and an accuracy of up to 0.02 hPa (hectopascals). The manufacturer provides a datasheet and a library to help with the integration of the BMP180 sensor [].
We converted the electrical signals into environmental measurements for all sensors using the calibration equations recommended by the product manufacturers []. This method was used by [], who reported successful implementation of a device consisting of an Arduino. The carbon monoxide sensor, ozone sensor, and Sharp particle dust sensor were not calibrated or rigorously tested in the laboratory prior to measurements. In this study, arithmetic mean and standard deviation were used to represent samples of measured variables.
2.3. Building the Artificial Neural Network Model
The human nervous system serves as a model for the architecture of ANNs [,]. They consist of a network made up of a large number of parallel simple units called neurons. These networks usually consist of three layers: an input layer, one or more hidden layers, and an output layer [,]. ANNs learn from the examples provided by them by establishing connections between input and target variables []. This procedure results in the update of synaptic weights of connections between nodes. The training process is repeated until the validation error is within an acceptable range []. The structure (also called architecture) of a neural network can change during the course of learning []. Information can only move from input to output in feedforward neural networks, also called static neural networks; there is no memory or feedback []. Feedforward neural networks are typically simple networks that connect inputs and outputs. Multilayer perceptions use a feedforward neural network architecture and are more widely used in various applications []. According to Crone and Kourentzes [], its greatest strength is its nonlinear solution to situations with insufficient features. The architecture of a feedforward neural network with a single hidden layer is shown in Figure 3. In Figure 3, the input layer (black) consists of N nodes (X1(t), X2(t), …, XN(t)), which represent the number of measured data points used as input variables for the neural network. The hidden layer has M nodes (red) and the output layer has only one node (green), which creates the predictor variables, where t represents the sampling step. The output of the hidden layer is calculated as follows []:
where k = 1, 2, …., N, I = 1, 2, …., M, hi(t) is the output of the hidden layer node at step t, Wk,i is the connection parameter, i.e., synaptic weight, between the kth node in the input layer and the ith node in the hidden layer, bi is the bias value of the ith node in the hidden layer, and f is the activation function (sigmoid) used at each node in the hidden layer in this study.

Figure 3.
The architecture of a feedforward neural network architecture with a single hidden layer [].
The evaluation of predictor variables in the output layer is expressed as follows []:
where i = 1,2,…., M, y(t) is the predictor variable at step t in the output layer, Wi,y is the synaptic weight corresponding to i and connecting the nodes in the hidden layer to standalone nodes in the output layer, by is the bias of the output node, and g is the activation function of the output node (sigmoid in this study). Then, the general relationship between the input and the output can be expressed in the ANN model as shown in Equation (3) [,].
To determine the optimal number of hidden nodes in the ANN architecture of the three-layer neural network developed in this study, we used a trial-and-error method. A typical feedforward neural network was used in this study, which features supervised training, i.e., it is trained using only forward information. A multi-layer perceptron module using commercial software (Qnet v2000 for Windows) developed by Vesta Services Company [] makes it easy for developers to find the optimal ANN model. The procedure for building and testing an ANN model using Qnet v2000 can be found in Al-Sager et al. []. The multi-layer neural network of the perceptron module was trained using a standard backpropagation learning algorithm, with weights and biases updated in the direction that minimized the error function. Normalization was performed across the input and output of the dataset to avoid hidden biases in the algorithm concerning the higher values of the dataset []. Data normalization is the scaling of data in equal proportions so that it falls into a specific range of intervals; in this study, the range was between 0.15 and 0.85 and was achieved by the software Qnet v2000. Nonetheless, normalization introduces crucial new units of measurement for the variables under consideration []. Creating a group of features that are all on the same scale is another goal of normalizing inputs. On the other hand, with neural networks, the inputs into each layer contribute to the improvement of the model’s performance because the output of one layer becomes the input of the subsequent layer. However, because the activations are dynamic, normalizing the inputs to intermediate layers is a little trickier than normalizing the inputs to the model as a whole [].
Qnet v2000 was instructed to randomly select the number of patterns for testing purposes. Once the predictions were completed, the software reverse-scaled the data to normalize it. The structure of the data used to create the ANN model developed to predict CO and SPM concentrations is shown in Table 1.

Table 1.
Data structure for creating an ANN model, developed to predict CO and SPM concentrations.
As shown in Table 1, the categorical indoor/outdoor environment variable was assigned to be 0 or 1. Difference coding may be helpful for a categorical value that describes ordinal properties []. However, we chose the area’s latitude and longitude, which indicate the geospatial coordinates, as they contain highly significant information. Choosing the best location for monitoring stations is a crucial step in creating efficient air quality monitoring programs []. In another study, Neelamegam [] used general attributes like country, city, latitude, longitude, date time, date, month, year, and meteorological attributes like air temperature, air humidity, air pressure, and wind speed as inputs to predict air quality attributes.
Two datasets were used, one for training with 1074 samples and the other for testing with 250 samples. The training dataset was used to tune the model, determine its weights and biases, and build the ANN model. The test dataset was used to validate the performance of the calibrated ANN model.
The activation function is a portion of the ANN model that transforms an input into a positive output. The activation function is employed to activate and deactivate neurons. Consequently, the ANN is mostly determined by the weight and input-output of the activation function. There are several activation functions employed in ANN models, including the binary sigmoid function (0, 1) and bipolar sigmoid function (−1, 1) []. In this study, different ANN architectures were tested, including different factors such as the number of hidden layers, the number of neurons in each hidden layer, and the type of activation function, as described in Al-Sager et al. []. The ANN procedure of Qnet v2000 software was adopted to determine the optimal ANN model for predicting CO and SPM concentrations. The number of hidden layers was one layer. The input layer of the ANN contained seven nodes for the independent variables (indoor environment, outdoor environment, air pressure, air temperature, air relative humidity, location latitude, and location longitude). The optimal hidden layer contained 30 nodes. The output layer contained two neurons for the dependent variables of CO concentration and SPM concentration. The activation function applied in the hidden layer was a sigmoid function. The final block diagram of the applied ANN model consists of a hidden layer containing 30 neurons, 7 neurons in the input layer, and 2 neurons in the output layer (Figure 4). Using a trial-and-error method, we obtained the best ANN prediction model structure, which was (7-30-2) with a sigmoid activation function (0,1). The training process was completed after 300000 iterations, covering a training error of 0.08549 and a test error of 0.09319. There were 270 network connections. The learning rate was 0.001409 and the momentum coefficient was 0.8.

Figure 4.
The developed ANN model (7-30-2).
2.4. Determining the Relative Contributions of Each Input Variable to the Output
Many scientific disciplines use techniques to measure the importance of variables in ANN models. Using these techniques, the “black box” ANN model is opened and information about the relative importance of explanatory factors is revealed. However, usually, the best single ANN model is used to calculate the contributions of independent input variables. Several scientific publications have shown that using a single ANN model architecture can lead to misleading results []. Sensitivity analysis aims to adjust the model’s input variables and evaluate the corresponding change in the model output. This approach is very useful in identifying weaknesses in the model []. As a result, the sensitivity analysis explained the relative contribution of each input variable to the output. The relative relevance of each input variable is how much it contributes to predicting the dependent variable. The literature is rich in techniques for determining the relative relevance of input factors. However, in this study, we utilized the methodology of Qnet v2000 to determine the contribution of each input variable to predicting the dependent variable, which is called the relative importance of that variable. The details are shown in Al-Dosary et al. []
2.5. Evaluation of the ANN Model Performance
Our study investigates the potential of the developed ANN model to predict CO and SPM concentrations using Equations (4) and (5). The root means square error (RMSE) and mean absolute error (MAE) were calculated as follows [,]:
where is the predicted value, is the observed value, and Nt is the total number of data points in the test and training datasets. Both the root means square error (RMSE) and the mean absolute error (MAE) are regularly employed in model evaluation studies. The root means squared error is the square root of the mean squared error. Mathematically, it measures the standard deviation of the error. RMSE is often used in regression and model estimation where a numerical prediction is required. RMSE is also easy to explain since it is measured in the same units as the predictor variables. Because RMSE is easy to understand, it is often used to compare the performance of different models. That is, when there are multiple models and algorithms, the lowest RMSE value indicates the most accurate one. Mean Absolute Error (MAE) is a commonly used metric because it measures the average size of the error in a set of forecasts without considering direction. It measures the accuracy of continuous variables. In addition, we used the statistical goodness of fit of the coefficient of determination (R2). A well-trained ANN model was used to generate a large R2.
3. Results and Discussion
3.1. Weather Variables Analysis
Since measurements were taken at different locations, as shown in Table S2 in Supplementary Materials, we present an example curve for sheep raising (code A1), which represents the indoor environment, to illustrate the behavior of meteorological variables via the developed portable device, which measures air relative humidity, air temperature, and air pressure as shown in Figures S1–S3 in Supplementary Materials. However, for other rural activities, the values of the overall mean, overall minimum, overall maximum, and standard deviation of these variables are given in Table S3 in Supplementary Materials. The air relative humidity varied between approximately 9% and 57% in all measurements (indoor environment), and the air temperature varied between approximately 20.60 °C and 47.90 °C in all measurements (indoor environment). Furthermore, the air pressure varied between approximately 837.78 hPa and 963.87 hPa in all measurements (indoor environment). The latitude ranged from 21.30° N to 26.18° N and the longitude ranged from 40.42° E to 47.20° E. For the outdoor environment, Table S3 in Supplementary Materials shows that the air relative humidity varied between approximately 11.00% and 45% for all measurements, and the air temperature varied between approximately 22.80 °C and 41.60 °C for all measurements. In addition, in all measurements (outdoor environment), the air pressure varied between approximately 795.47 hPa and 962.99 hPa. The latitude range was between 21.12° N and 25.40° E, and the longitude range was between 40.32° E and 47.19° E. In the urban area of Riyadh, Saudi Arabia, in the 2019 season, the daily average air temperature and air relative humidity varied between approximately 14 °C and 40 °C, and between 6% and 61%, respectively; in the 2020 season, these values ranged between approximately 18 °C and 39 °C, and between 6% and 64%, respectively []. The measurement periods in the study by Alharbi et al. [] were as follows: in the period from April 2020 to June 2020, the period from March 2020 to June 2020, and the period from March 2019 to June 2019.
3.2. Analysis of Carbone Monoxide Concentrations
Since measurements were performed at different locations, we presented an example curve for sheep breeding activity (code A1) to illustrate the behavior of CO concentration in indoor and outdoor environments by the developed portable device, as shown in Figure S4 in Supplementary Materials. For the other activities, we classified the measurements into indoor and outdoor environments, and the values of the overall mean, overall minimum, overall maximum, and standard deviation of CO concentration are presented in Table S4 in Supplementary Materials.
Figure S4 in Supplementary Materials shows the relationship between the observed CO concentration values and the measurement time, performed with the developed portable device in the air during sheep breeding activity (code A1). However, the sheep breeding activity was performed inside the enclosure, i.e., the measurements were performed in an indoor environment. The measurements were taken from 8:19:28 a.m. to 8:51:28 a.m. on 20 December 2021. As shown in Figure S4 in Supplementary Materials, the CO concentration was approximately 15.52 ppm at the beginning of the measurements, but then fluctuated, reaching a concentration value of 11.07 ppm at the end of the measurements. However, the average CO concentration was 13.81 ± 2.16 ppm. Various factors, such as outdoor CO concentrations, meteorological factors, and human activities, can affect the fluctuation of indoor CO concentrations []. The annual average outdoor CO concentration around the world is approximately 0.12 ppm in the Northern Hemisphere and 0.04 ppm in the Southern Hemisphere. However, outdoor CO concentrations vary with the seasons, with seasonal maxima occurring at the end of winter in both hemispheres and minima being observed at the end of summer []. Variations in meteorological factors such as air temperature, air relative humidity, air pressure, and wind speed throughout the year affect the diffusion of CO and its decay through photochemical reactions over several months []. The primary source of outdoor CO concentrations is vehicle exhaust []. In addition, cars, trucks, and other machinery that burn fossil fuels are major sources of CO concentrations in outdoor air [].
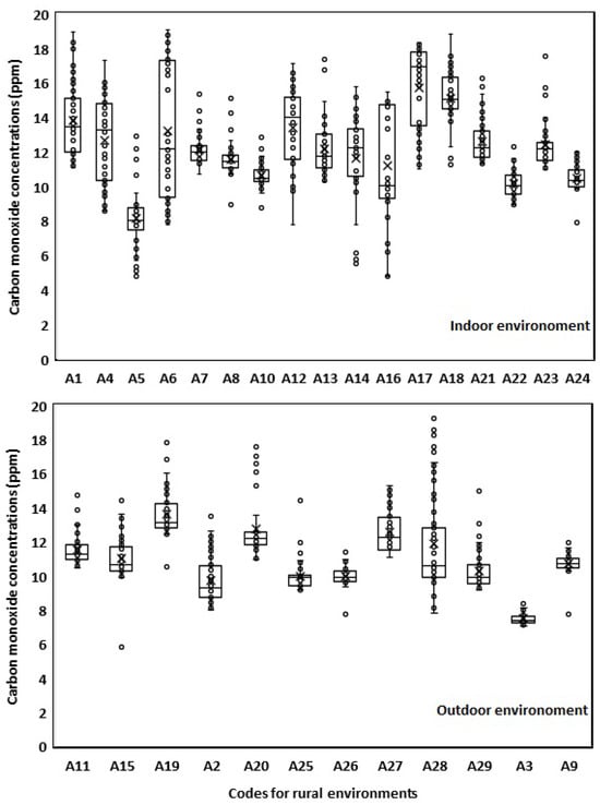
A box plot was created [,] (Figure 5). In general, the interquartile ranges of indoor and outdoor CO concentrations in this study were higher at some locations than at others (Figure 4). Some locations, such as the fish hatchery activity (code A5) and the seed greenhouse activity (code A16), saw a significant decrease in indoor CO concentrations over the study period. Also, as shown in Figure 5, some sheep farming activities (code A1) and the fish tanks for fattening activity (code A6) had higher maximum outliers in CO concentrations compared to other activities, but they were generally not nearly comparable across all activities.

Figure 5.
The box plot of observed indoor and outdoor carbon monoxide concentrations for different rural environments.
3.3. Analysis of SPM Concentrations
In our study, we present a low-cost indoor and outdoor dust sensor system based on the Arduino hardware platform and the Sharp GP2Y1010AU0F dust sensor. As measurements were performed at different locations, we presented an example sheep breeding activity curve (code A1) to illustrate the behavior of indoor and outdoor SPM measurements with the developed portable device, as shown in Figure S5 in Supplementary Materials. However, for other activities, the overall mean, overall minimum, overall maximum, and standard deviation values of SPM concentration for indoor and outdoor measurements are presented in Table S5 in Supplementary Materials. Figure S5 in Supplementary Materials shows the relationship between the observed SPM concentration values and the measurement time, performed with the developed portable device in the air atmosphere of sheep breeding activity (code A1). However, dust particles in livestock sheds are rarely uniform in shape or composition []. Measurements in the sheep shed were carried out from 8:19:28 a.m. to 8:51:28 a.m. on 20 December 2021. As shown in Figure S5 in Supplementary Materials, the SPM concentration at the beginning of the measurement was about 114.01 μg/m3 air, but the SPM concentration fluctuated and reached a concentration value of 127.29 μg/m3 air at the end of the measurement. However, the air temperature, air relative humidity, and air pressure at the beginning of the measurement were 21.50 °C, 41%, and 945.67 hPa, respectively, which is likely because the sheep were not moving. The SPM concentration fluctuated, and the reported high values for the sheep-raising activity (code A1) were likely due to the movement of sheep on the dust-covered ground. Similarly, the movements of a large number of students in the classroom environment greatly disturbed the PM10 concentration indoors []. The average value of SPM concentration in sheep farming activity (code A1) was 167.65 ± 45.82 µg/m3 air (Figure S5 in Supplementary Materials), and according to global air quality standards, the area is considered unhealthy in terms of air quality, since it exceeds 100 µg/m³ air, posing a threat of air pollution.
As shown in Table S5 in Supplementary Materials, a wide range of SPM concentrations was found at different sites (and even within individual sites) over time (Figure S5 in Supplementary Materials for activity code A1). For example, the results suggest that human exposure to SPM is often very high for activity codes A1, A6, A7, A8, A12, A13, and A18. These include a variety of activities with concentrations above 300 μg/m3 air and below 310 μg/m3 air, such as sheep raising, fish tank management, duck raising, typical pigeon raising, tomato greenhouse activity, cucumber greenhouse activity, and eggplant greenhouse activity, respectively. However, all these activities were conducted in closed environments. A dust particle monitor using an Arduino board and the related sensor proved to be an effective and cost-effective tool to diagnose air pollution problems in greenhouses []. The results showed that in open environments, the human body is exposed to dust during activities of codes A11, A15, A19, A25, and A29, which include the different activities of two date palm plantations, a pomegranate plantation, a vegetable field, and a Persian fig orchard. Muhammed and Azeez [] reported that air quality is good when the PM2.5 level is between 10 and 100 μg/m3 air and normal when it is between 100 and 400 μg/m3 air. If the PM2.5 value is between 400 and 800 μg/m3 air, the air is bad. If it exceeds 800 μg/m3 air, an alarm should be raised. According to these values, the air quality in the investigated locations was normal. Detecting and documenting such findings using low-cost sensors can be used to develop exposure control strategies for workers in these environments []. In general, the interquartile ranges of indoor and outdoor SPM concentrations in this study were larger in some locations than in others (Figure 6). In some locations, such as an eggplant greenhouse, code A14, SPM concentrations decreased significantly during the study period (Figure 6). In addition, as shown in Figure 6, the maximum outliers of SPM concentrations were higher in some activities, such as in sheep farming, code A1 and typical pigeon farming, code A8, than in other activities (indoor environment), but were generally close across all activity codes. In addition, the maximum outliers of SPM concentrations were higher in activity code A29 (Persian fig orchard), as shown in Figure 6 (outdoor environment).

Figure 6.
The box plot of observed indoor and outdoor suspended particulate matter concentrations for different rural environments.
3.4. Correlation Analysis
Pearson correlation and significance (2-tailed) for outdoor and indoor environments among variables can be found in Table 2 and Table 3, respectively. Correlation analysis determines the relationships between various parameters. Specifically, the examination focused on correlations between air pressure, air temperature, air relative humidity, latitude, longitude, CO, and SPM concentrations. The analysis revealed different relationships between these variables. For instance, the correlation coefficients between air pressure and both CO and SPM were calculated at −0.132 and −0.312, respectively, in outdoor environments, indicating a very weak negative relationship. Similarly, the correlation coefficients between air relative humidity and both CO and SPM concentrations were calculated at 0.270 and 0.232, suggesting a similarly weak positive relationship for CO and negative relationship for SPM in outdoor environments (Table 2). Interestingly, the correlation coefficients between air temperature and both CO and SPM concentrations were calculated at 0.414 and 0.605, which indicates a positive relationship with moderate correlation for SPM concentrations in indoor environments (Table 3).

Table 2.
Pearson correlation and significance (2-tailed) for outdoor environment among variables.

Table 3.
Pearson correlation and significance (2-tailed) for indoor environment among variables.
Meteorological conditions often play a significant role in local air quality through the accumulation or emission of pollutants []. Statistical analysis of air pollution data and meteorological variables shows that PM2.5 and air temperature (r = 0.65), as well as PM10 and air temperature (r = 0.50) are correlated [].
3.5. Performance of Established ANN Model for CO and SPM Prediction
The statistical criteria after the training and testing phases of the ANN model established using Qnet v2000 software are shown in Table 4. The bias values were below 1 for CO and SPM concentrations in the training phase and below 1 for only CO in the testing phase. This indicates an acceptable accuracy of the established ANN model in making predictions (Table 4). Moreover, the bias values of the output nodes were slightly higher in the testing phase for SPM concentration prediction compared to the training phase (Table 4).

Table 4.
Statistical measurements of the Qnet v2000 software after the training and testing phases of the established ANN model (7-30-2) for predicting CO and SPM concentrations.
The error results of the newly constructed ANN model, i.e., a comparison of the mean absolute error (MAE) and root mean square error (RMSE) in the training and testing phases, are shown in Table 5. According to these results, the studied explanatory variables were able to successfully predict the dependent variables of CO and SPM concentrations using the ANN model. Figure 7 shows a scatter plot of the observed values of CO concentration compared to the values predicted by the ANN model in the testing and training phases based on the measured independent variables. Figure 8 shows a scatter plot of the observed values of SPM concentration compared to the values predicted by the ANN model in the testing and training phases based on the measured independent variables. Furthermore, it is hypothesized that in the training phase of the constructed ANN model, the model will require a large number of epochs (300,000 epochs) to achieve optimal results.

Table 5.
Comparison of statistical measurements of the performance of the established ANN model (7-30-2) on the training and testing datasets.

Figure 7.
Scatter plot of observed CO concentrations values compared to estimated CO concentrations values by the ANN model using the test and training datasets with regression lines.

Figure 8.
Scatter plot of observed values of suspended particulate matter (SPM) concentration and the values estimated by the ANN model using the test and training datasets with regression lines.
As shown by the values of R2, MAE, and RMSE between the measured and estimated values of the corresponding air pollutants in Table 3, the estimation results of CO and SPM concentrations throughout the data range had acceptable accuracy. The value of R2 obtained is quite moderate and reliable for short term prediction. The coefficient of determination (R2) can change significantly due to a small number of data points that deviate from the regression line, making it highly susceptible to outliers []. The five degrees of correlation are as follows: very weak (from 0.0 to 0.2 or from 0.0 to −0.2), weak (from 0.2 to 0.4 or from −0.2 to −0.4), moderate (from 0.4 to 0.6 or from −0.4 to −0.6), strong (from 0.6 to 0.8 or from −0.6 to −0.8), very strong (from 0.8 to 1.0 or from −1.8 to −1.0) []. Additionally, the scatter plots of these two air pollutants in Figure 7 and Figure 8 indicate that the prediction of higher CO and SPM concentrations is somewhat reliable with higher datasets, since the data points in the plots are more dispersed around the corresponding regression lines.
The scatter plots of CO and SPM concentrations in Figure 7 and Figure 8 support this assertion. These show that data points at 14 ppm and 18 ppm (Figure 7) and below 200 μg/m3 air (Figure 8) deviate from the corresponding regression line. A possible explanation for this could be that there are not enough data points in these data range for the ANN model to learn before testing it on an independent test set []. In the future, the findings could be improved by using a larger dataset for collection or by developing different machine learning techniques that can learn from a small amount of data before testing it on a separate test set to better minimize errors [].
Numerous predictive models have been proposed, especially for air pollution concentrations. Based on the underlying assumptions, these predictive models can be divided into three categories: statistical, machine learning, and numerical prediction. Recently, artificial intelligence has become the most widely used technological tool to control and mitigate the adverse effects of various types of air pollution []. ANNs have been used to solve many environmental engineering problems and have shown promise []. ANNs are the most popular computing technique in artificial intelligence []. Several studies have used neural networks to predict the concentrations of gaseous and particulate pollutants worldwide [,,]. According to the results of this study, the established ANN model showed satisfactory performance in predicting CO concentrations, with coefficients of determination (R2) of 0.6493 and 0.575 in the training and testing stages (Table 5), and in predicting SPM concentrations, the coefficients of determination (R2) were 0.5244 and 0.497 (Table 5) in the training and testing stages.
When comparing the performance of the established ANN model with that of ANN models used in previous studies to predict PM and CO concentrations, the behavior was almost similar. For example, Gaowa et al. [] used a backpropagation ANN model to predict PM2.5 and PM10 concentrations in office buildings (indoors) in northern China. They reported coefficients of determination (R2) ranging from 0.69 to 0.65 when 80% of the dataset was used for training, and R2 ranged from 0.78 to 0.81 when a multi-layer ANN model was used to predict PM2.5 and PM10 concentrations in the same office building. Ren et al. [] used three different machine learning models, namely backpropagation ANN, nonlinear autoregressive exogenous ANN, and long- and short-term memory ANN, to predict PM1 and PM2.5 in classroom environments. When predicting PM1 and PM2.5 influenced by outdoor PM concentrations, the best performance was achieved by the nonlinear autoregressive exogenous ANN model; however, the R2 values ranged from 0.81 to 0.70. The R2 value of the developed method was 22% higher than that of the backpropagation ANN method. Ghazali et al. [] used the ANN structure of 7-20-4 to predict air quality elements (sulfur dioxide, CO, nitrogen dioxide, and nitrogen oxides) concentrations. A correlation coefficient value of R = 0.7547 was achieved, which indicated a good correlation between the target and the predicted results, considering temperature, relative humidity, and air speed. Furthermore, they pointed out that the ANN structure model of 7-20-4 still needs to be improved to provide better results for air quality estimation. Shams et al. [] used an ANN model to predict CO concentrations in Tehran, with a correlation coefficient of 0.72. Thomas et al. [] used an ANN model to predict hourly PM2.5 and CO concentrations. The ANN model showed reasonable accuracy in predicting hourly PM2.5 concentrations with an R2 of 0.80, while in predicting CO concentrations, the ANN model showed moderate predictive performance with an R2 of 0.55. Moreover, Heng et al. [] employed a model with different backpropagation algorithms and meteorological data for solar radiation prediction and they reported a correlation coefficient of R = 0.757. Furthermore, Hanoon et al. [] proposed different ANN architectures (multi-layered perceptron and radial basis function) for prediction of air temperature and air relative humidity. Results presented that multi-layered perceptron performed with a correlation coefficient of R = 0.7132 for air temperature and R = 0.633, for air relative humidity predictions.
There may be many reasons for the differences in the performance of ANN models on air quality prediction parameters between studies. First, the explanatory features and their meanings are different, which changes the accuracy of ANN models. In our study, air pressure had the greatest impact on the prediction of CO and SPM concentrations. However, when the ANN model was applied to CO concentrations prediction, the parameters of hot and cold seasons, 1-day lag, 2-day lag, day of the year and month of the year had the greatest impact on CO concentrations in Tehran []. Furthermore, Elangasinghe et al. [] found that careful selection of inputs improved the accuracy of ANN models. According to a set of evaluation parameters reported by Agarwal et al. [], ANN models for each air pollutant performed very well. The second reason may be related to the sampling interval. However, the prediction accuracy of air quality parameters using ANN models was significantly affected by the sampling interval []. More random elements were present in shorter sampling intervals than in longer intervals (e.g., a 1 s sampling interval contained more random components than an hourly interval) []. Sharma et al. [] developed a hybrid prediction model using convolutional neural and long short-term memory networks to predict total suspended particulate matter pollution. The results showed that the model architecture was highly robust in predicting hourly data. Furthermore, the fitting coefficients of the indoor PM2.5 prediction model at sample times of 5 min, 10 min, and 1 h were 0.72 (built by Dai et al. []), 0.81 (built by Ren et al. []), and 0.89 (built by Hatta et al. []), respectively. Thus, models with longer sampling periods also yielded more accurate prediction results []. In our study, the sampling interval at a given location was about 30 min. However, better predictions can be expected when training ANN models using longer monitoring periods when predicting PM2.5 []. The third reason may be related to the structure of the ANN model. The R value increased significantly as hidden relationships developed between the input data and indoor concentrations []. Al-Kasasbeh et al. [] used an ANN model to predict daily PM10 and total dust concentrations in Jordan. The input data were air relative humidity, air temperature, and wind speed, and the output data were total dust concentration and PM10. As the number of epochs increased, the RMSE decreased. In addition, the input variables and architecture type algorithms used in the ANN model to predict air pollutants affect the accuracy of the model’s performance []. Therefore, ANNs can handle a wide range of meteorological input parameters, making them more accurate and reliable than other empirical models. This result may inspire researchers and promote the development of artificial intelligence to predict air pollution parameters to some extent. Finally, the type of ANN model may affect the accuracy of the results when using ANN to predict daily PM10 concentrations []. An ANN model with multilayer perceptron and radial basis function was used. The input variables were daily total precipitation, air pressure, air temperature, solar radiation, and vertical wind speed. The prediction accuracy of the ANN models with radial basis function and multilayer perceptron was 1.9% and 3.7%, respectively.
3.6. Contribution of Each Input Parameter to the Prediction of CO and SPM Concentrations Using the Developed ANN Model
Figure 9 shows the relative relevance of each input parameter as a percentage of its total contribution. Note that high sensitivity to a parameter means that small changes in the parameter can have a large impact on the system’s performance and vice versa. From the contribution analysis, it can be seen that the process input variable, air pressure, has the greatest impact on the CO and SPM concentrations in the air. Latitude influenced the CO concentration with a contribution rate of 18.01%, while longitude influenced the SPM concentration with a contribution rate of 17.57%. Air relative humidity influenced the contribution rate to the prediction of CO and SPM concentrations with 14.17% and 14.06%, respectively. Measurements of CO and SPM concentrations in indoor and outdoor air had different aspects. Finally, rural air quality surveys are essential to determine baseline emissions of air pollutants, assess the impacts of air pollutants specific to rural areas, model pollutant dispersion, and obtain direct data for developing appropriate pollution control technologies []. Dust-generating farm operations in conventional crop production include tillage and seedbed preparation, planting, fertilization and pesticide application, harvesting, and post-harvest processes. In most countries, there is an increasing awareness of sustainability to achieve soil and water conservation [].

Figure 9.
Relative importance as contribution of input variables to the concentrations of carbon monoxide and suspended particles using the developed ANN model of (7-30-2).
3.7. Application of Biases and Weights of Developed ANN Model to Predict CO and SPM Concentrations
Air pollution has turned out to be an important environmental concern in rural areas, and it is difficult to improve the air pollution concentration in districts without monitoring equipment. As a result, the subject of this study is the use of the ANN model to predict some air pollutants using various meteorological factors at multiple rural locations that had different agricultural activities. Therefore, the weights and biases of the established ANN model for CO and SPM concentrations can be found in Tables S6 and S7 in Supplementary Materials. By using the biases and weights, mathematical formulas can be developed to predict CO (ppm) and SPM (µg/m3 air) concentrations by application of Equation (3). The results provided in this study are based on data collected in field trials. However, in the future, a complete analysis of similar data on air pollutants may be performed to validate alternative prediction methods for predicting air pollutants. Finally, it is advised that ANN method be well thought-out in future research on air pollution prediction studies to attain better results [].
Cost-effective sensors for suspended particulate matter and carbon monoxide enable spatially dense measurements of air quality with high temporal resolution. Low-cost sensors are particularly useful in low- and middle-income countries where few or no reference measurements exist and in regions where air pollutant concentration fields exhibit large spatial gradients. Unfortunately, low-cost sensors also present many challenges that must be overcome if their data products are to be used for more than a qualitative characterization of air quality.
4. Conclusions
Air pollution prediction is important for protecting the environment, safeguarding public health, complying with regulatory requirements, and supporting informed decision-making at individual, community, and government levels. It reduces the negative impact of air pollution on the environment and public health by acting as a preventive strategy. As rural air pollution has become a major environmental problem, it has remained difficult to predict the concentration of air pollutants in a particular area without monitoring technology. A low-cost air pollutant detection monitoring system is based on the Arduino platform and associated sensors, as reported in numerous studies. Therefore, this study aimed to cover two topics: The first objective was to develop a wearable device based on an Arduino board and associated sensors for detecting air pollutants and meteorological parameters and monitoring the concentrations of carbon monoxide (CO) and suspended particulate matter (SPM) in the air in some rural areas of Saudi Arabia. The second objective was to develop an artificial neural network (ANN) model for predicting atmospheric CO and SPM concentrations in rural areas where various agricultural activities are performed. The ANN developed with architecture 7-30-2 was provided with seven inputs (atmospheric pressure, air temperature, air relative humidity, longitude and latitude of the location, indoor environment, and outdoor environment). The results of this comprehensive study show high SPM levels and adequate CO concentrations in the atmosphere of the investigated rural areas during the test period. Based on the performed analysis, the correlation coefficients for the prediction of air pollutant parameters CO and SPM concentrations were found to be 0.806 for CO prediction and 0.724 for SPM concentration prediction in the training phase, suggesting a reasonable correlation between the targets and the predicted results. However, the established ANN model needs to be further improved to achieve better results in predicting air pollution parameters. The ANN model was used to test and analyze the interactions between various input and output parameters through sensitivity analysis. The results showed that atmospheric pressure has the greatest impact on atmospheric CO and SPM concentrations in the studied rural areas. In predicting CO concentrations, the contribution rates of the latitude and longitude of the location were 18.01% and 13.63%, respectively. In predicting SPM concentrations, the contribution rates of the latitude and longitude of the location were 13.56% and 17.57%, respectively. Air relative humidity has an impact on the prediction of CO and SPM concentrations, with contribution rates of 14.17% and 14.0%, respectively. Although the ANN model is effective, there are still some limitations that can be used to advance further research, such as independent testing of the ANN model in different seasons and different lengths of time steps such as 24 h or more. It is recommended to incorporate the Internet of Things in future research to convert the output data into a mobile application that can be used by mobile phone users. This will enable farmers or agricultural managers to forecast CO and SPM concentrations to reduce the risk to crop yields. The availability of real-time forecasts of CO and SPM concentrations can help agricultural managers detect sudden air pollution events in advance and determine mitigation strategies. The findings may motivate researchers and advance the development of artificial intelligence to predict air pollutants in some way. Additionally, the proposed method demonstrates how ANN modeling techniques can be used to recognize the key meteorological variables essential to satisfactorily capture the temporal variation in air pollution concentrations for a given scenario.
Supplementary Materials
The following supporting information can be downloaded at: https://www.mdpi.com/article/10.3390/su16229909/s1, Table S1. The volume of data recorded using the developed portable device and the characteristics of the experimental sites in the selected regions, including different rural environments with different agricultural activities; Table S2. The measurement locations (indoor or outdoor environment), the date and time of measurement, the longitude and latitude of the location, and the start and end times of the measurements; Table S3. Averages, minimum, maximum, and standard deviation values for weather variables measurements in the air of 29 different rural environments (sd is standard deviation); Table S4. Averages, minimum, maximum, and standard deviation values for carbon monoxide concentrations measurements in the air of 29 different 29 different rural environments; Table S5. The values of the overall mean, overall minimum, overall maximum and standard deviation values of SPM concentration for indoor and outdoor measurements; Table S6. The weights (Wk,i) between inputs and the hidden layer of the established ANN model for CO and SPM concentrations prediction (applying equation 3); Table S7. The hidden layer biases (bi), weight between output and the hidden layer (Wi,y), and output layer biases (by) of the established ANN model for CO and SPM concentrations prediction (applying equation 3); Figure S1. The observed air relative humidity values vs. measurement time taken by the developed device in air of sheep raising farm (code A1); Figure S2. The observed air temperature values vs. measurement time taken by the developed device in air of sheep raising farm (code A1); Figure S3. The observed air temperature values vs. measurement time taken by the developed device in air of sheep raising farm (code A1); Figure S4. The behavior of CO concentration in indoor and outdoor environments by the developed portable device in air of sheep raising farm (code A1); Figure S5. The observed suspended particulate matter concentration values in the air vs. measurement time taken by the developed device in air of sheep raising farm (code A1).
Author Contributions
A.A.A.-J., A.M.B., S.S.A., A.M.A., M.A.-S. and S.M.A.-S., conceptualization, methodology, analyzed the data, prepared figures and tables, funding acquisition, authored and reviewed drafts of the paper, and approved the final draft; and A.A.A.-J., A.M.B., S.M.A.-S., A.M.A., S.A.A.-H. and M.A.-S. designed the experiments, and performed the experiments. All authors have read and agreed to the published version of the manuscript.
Funding
This research was funded by Researchers Supporting Project number (RSPD2024R707), King Saud University, Riyadh, Saudi Arabia.
Institutional Review Board Statement
Not applicable.
Informed Consent Statement
Not applicable.
Data Availability Statement
Data are contained within the article.
Acknowledgments
The authors would like to extend their sincere appreciation to the Researchers Supporting Project (RSPD2024R707) at King Saud University, Riyadh, Saudi Arabia.
Conflicts of Interest
The authors declare no conflicts of interest.
References
- Monitoring, Modelling and Management of Agricultural Air Pollutants and Greenhouse Gases. Available online: https://www.mdpi.com/journal/agriculture/special_issues/63U986XY8F (accessed on 9 August 2024).
- Hanapi, N.; Mohd Din, S.A. A Study on the Airborne Particulates Matter in Selected Museums of Peninsular Malaysia. Procedia Soc. Behav. Sci. 2012, 50, 602–613. [Google Scholar] [CrossRef][Green Version]
- British-Colombia Air Quality. Air Quality and Climate Change. 2009. Available online: http://www.bcairquality.ca/climatechange/index.html (accessed on 9 August 2024).
- The Two-Way Relationship Between Agriculture and Air Pollution. Article 7 December 2022. Available online: https://www.clarity.io/blog/the-two-way-relationship-between-agriculture-and-air-pollution (accessed on 13 July 2024).
- Heck, W.W.; Taylor, O.C.; Tingey, D.T. Assessment of Crop Loss from Air Pollutants; Elsevier Applied Science: London, UK, 1988. [Google Scholar]
- Effects of Air Pollution on Agricultural Crops. Available online: https://www.ontario.ca/page/effects-air-pollution-agricultural-crops (accessed on 11 August 2024).
- Aragon, F.M.; Rud, J.P. Modern Industries, Pollution and Agricultural Productivity: Evidence from Ghana. Working Paper. 2013. Available online: https://www.theigc.org/wp-content/uploads/2014/09/Aragon-Rud-2013-Working-Paper.pdf (accessed on 13 July 2024).
- Wei, W.; Wang, Z. Impact of Industrial Air Pollution on Agricultural Production. Atmosphere 2021, 12, 639. [Google Scholar] [CrossRef]
- Vallero, D.A. Fundamentals of Air Pollution, 4th ed.; Elsevier: Amsterdam, The Netherlands, 2014. [Google Scholar]
- 10.6.4. Suspended particulates (TSP/SPM). Available online: https://www.eea.europa.eu/publications/2-9167-057-X/page021 (accessed on 10 September 2024).
- Basic Information about Carbon Monoxide (CO) Outdoor Air Pollution. Available online: https://www.epa.gov/co-pollution/basic-information-about-carbon-monoxide-co-outdoor-air-pollution#:~:text=The%20greatest%20sources%20of%20CO,can%20affect%20air%20quality%20indoors (accessed on 10 September 2024).
- Environmental Health Criteria 13. Carbon Monoxide. International Programme on Chemical Safety. Carbon monoxide. World Health Organization Geneva, 1979. Available online: https://iris.who.int/bitstream/handle/10665/336055/9241540737-eng.pdf (accessed on 12 November 2024).
- Penney, D.; Benignus, V.; Kephalopoulos, S.; Kotzias, D.; Kleinman, M.; Verrier, A. Carbon monoxide. In WHO Guidelines for Indoor Air Quality: Selected Pollutants; World Health Organization: Geneva, Switzerland, 2010; p. 2. Available online: https://www.ncbi.nlm.nih.gov/books/NBK138710/ (accessed on 10 September 2024).
- Borghi, F.; Spinazzè, A.; De Nardis, N.; Straccini, S.; Rovelli, S.; Fanti, G.; Oxoli, D.; Cattaneo, A.; Cavallo, D.M.; Brovelli, M.A. Studies on Air Pollution and Air Quality in Rural and Agricultural Environments: A Systematic Review. Environments 2023, 10, 208. [Google Scholar] [CrossRef]
- Adaku, O. Automobile Carbon Monoxide Emissions and their Effects on the Environment and Human Health. Adv. Automob. Eng. 2024, 13, 1000268. [Google Scholar]
- Khunarak, C.; Lutz, M.; Kerdcharoen, T. Wi-Fi Electronic Nose For Indoor Air Monitoring. In Proceedings of the 2012 9th International Conference on Electrical Engineering/Electronics, Computer, Telecommunications and Information Technology, Phetchaburi, Thailand, 16–18 May 2012; pp. 1–4. [Google Scholar]
- Marshall, F.; Ashmore, M.; Hinchcliffe, F. A Hidden Threat to Food Production: Air Pollution and Agriculture in the Developing World; Gatekeeper Series; International Institute for Environment and Development (IIED): London, UK, 1997; p. 24, No. 73; Available online: https://www.iied.org/6132iied (accessed on 5 July 2024)ISBN 9781843693796.
- Alshammari, R.K.; Alrwais, O.; Aksoy, M.S. Machine Learning Forecast of Dust Storm Frequency in Saudi Arabia Using Multiple Features. Atmosphere 2024, 15, 520. [Google Scholar] [CrossRef]
- Al Ahasan, M.A.; Roy, S.; Saim, A.H.M.; Akter, R.; Hossain, M.Z. Arduino-based real time air quality and pollution monitoring system. Int. J. Innov. Res. Comput. Sci. Technol. 2018, 6, 81–86. [Google Scholar] [CrossRef]
- Raju, D.T.; Shivani, K.; Bharathi, T.S.; Yamini, M.; Charishma, P. Air quality monitoring system using arduino. Dogo Rangsang Res. J. 2021, 11, 612–615. [Google Scholar]
- Kelechi, A.H.; Alsharif, M.H.; Agbaetuo, C.; Ubadike, O.; Aligbe, A.; Uthansakul, P.; Kannadasan, R.; Aly, A.A. Design of a Low-Cost Air Quality Monitoring System Using Arduino and ThingSpeak. Comput. Mater. Contin. Tech Sci. Press 2022, 70, 151–169. [Google Scholar] [CrossRef]
- Bakri, N.A.M.; Al Junid, S.A.; Abdul Razak, A.; Idros, M.F.M.; Halim, A. Mobile Carbon Monoxide Monitoring System Based on Arduino-Matlab for Environmental Monitoring Application. 4th International Conference on Electronic Devices, Systems and Applications 2015 (ICEDSA) IOP Publishing IOP Conf. Ser. Mater. Sci. Eng. 2015, 99, 012009. [Google Scholar] [CrossRef]
- Husain, A.M.; Rini, T.H.; Haque, M.I.; Alam, M.R. Air Quality Monitoring: The Use of Arduino and Android. J. Mod. Sci. Technol. 2016, 4, 86–96. [Google Scholar]
- Kaneri, N.; Bhalekar, K.; Kharvatkar, S. Carbon Monoxide Monitoring System Based On Arduino-GSM for Environmental Monitoring Application. Int. J. Eng. Res. Appl. 2017, 7, 57–61. [Google Scholar] [CrossRef]
- Agrawaal, H.; Jones, C.; Thompson, J.E. Personal Exposure Estimates via Portable and Wireless Sensing and Reporting of Particulate Pollution. Int. J. Environ. Res. Public Health 2020, 17, 843. [Google Scholar] [CrossRef] [PubMed]
- Beyaz, A. Air quality evaluation with a low-cost dust sensor for a hencoop. Agric. Sci. Dig. A Res. J. 2019, 39, 236–243. [Google Scholar] [CrossRef]
- Biswal, A.; Subhashini, J.; Pasayat, A.K. Air quality monitoring system for indoor environments using IoT. AIP Conf. Proc. 2019, 2112, 020180:1–020180:11. [Google Scholar] [CrossRef]
- Siddiqui, S.A.; Fatima, N.; Ahmad, A. Smart Air Pollution Monitoring System with Smog Prediction Model using Machine Learning. Int. J. Adv. Comput. Sci. Appl. 2021, 12, 401–409. [Google Scholar] [CrossRef]
- Hastak, O.G.; Verma, K.; Zagdamwar, A.; Patil, A.; Tembhurnikar, R. IOT based weather forecasting system using Arduino board. Int. J. Res. Publ. Rev. 2022, 3, 2664–2669. [Google Scholar]
- Gimena, R.Z.A.; Narvadez, C.A.A.; Balitaon, A.G.; Abad, A.C.; Arada, G.P. Arduino-based Remotely Accessed Weather Monitoring Station. Int. J. Adv. Trends Comput. Sci. Eng. 2020, 9, 8860–8865. [Google Scholar]
- Cordova, C.H.; Portocarrero, M.N.L.; Salas, R.; Torres, R.; Rodrigues, P.C.; López-Gonzales, J.L. Air quality assessment and pollution forecasting using artificial neural networks in Metropolitan Lima-Peru. Sci. Rep. 2021, 11, 24232. [Google Scholar] [CrossRef]
- Ding, W.; Zhang, J.; Leung, Y. Prediction of air pollutant concentration based on sparse response back-propagation training feedforward neural networks. Environ. Sci. Pollut. Res. 2016, 23, 19481–19494. [Google Scholar] [CrossRef] [PubMed]
- Abdul-Wahab, S.A.; Al-Rubiei, R.; Al-Shamsi, A. A statistical model for predicting carbon monoxide levels. Int. J. Environ. Pollut. 2003, 19, 209–224. [Google Scholar] [CrossRef]
- Dong, J.; Goodman, N.; Rajagopalan, P. A Review of Artificial Neural Network Models Applied to Predict Indoor Air Quality in Schools. Int. J. Environ. Res. Public Health 2023, 20, 6441. [Google Scholar] [CrossRef] [PubMed]
- Gulati, S.; Bansal, A.; Pal, A.; Mittal, N.; Sharma, A.; Gared, F. Estimating PM2.5 utilizing multiple linear regression and ANN techniques. Sci. Rep. 2023, 13, 22578. [Google Scholar] [CrossRef] [PubMed]
- Campos, D.S.; de Souza Tadano, Y.; Alves, T.A.; Siqueira, H.V.; de Nóbrega Marinho, M.H. Unorganized machines and linear multivariate regression model applied to atmospheric pollutant forecasting. Acta Scientiarum. Technol. 2020, 42, e48203. [Google Scholar] [CrossRef]
- Moustris, K.P.; Nastos, P.T.; Larissi, I.K.; Paliatsos, A.G. Application of multiple linear regression models and artificial neural networks on the surface ozone forecast in the greater Athens area, Greece. Adv. Meteorol. 2012, 2012, 894714. [Google Scholar] [CrossRef]
- Moustris, K.P.; Larissi, I.K.; Nastos, P.T.; Koukouletsos, K.V.; Paliatsos, A.G. Development and application of artificial neural network modeling in forecasting PM10 levels in a mediterranean city. Water Air Soil Pollut. 2013, 224, 1634. [Google Scholar] [CrossRef]
- Liu, Y.; Zhou, Y.; Lu, J. Exploring the relationship between air pollution and meteorological conditions in China under environmental governance. Sci. Rep. 2020, 10, 14518. [Google Scholar] [CrossRef]
- Emekwuru, N.; Ejohwomu, O. Temperature, humidity and air pollution relationships during a period of rainy and dry seasons in Lagos, West Africa. Climate 2023, 11, 113. [Google Scholar] [CrossRef]
- Azeez, O.S.; Pradhan, B.; Shafri, H.Z.M.; Shukla, N.; Lee, C.-W.; Rizeei, H.M. Modeling of CO Emissions from Traffic Vehicles Using Artificial Neural Networks. Appl. Sci. 2019, 9, 313. [Google Scholar] [CrossRef]
- Asrari, E.; Rock, A. modeling of carbon monoxide, ozone and PM10 airborne pollutants in the air of Karaj using artificial neural network. J. Environ. Sci. Stud. 2022, 7, 4666–4677. [Google Scholar] [CrossRef]
- The Worst Times for Air Quality: Understanding Air Pollution Patterns and Trends. Article 15 November 2023. Available online: https://www.clarity.io/blog/worst-times-for-air-quality-understanding-air-pollution-patterns-and-trends (accessed on 15 July 2024).
- Yadav, V.; Yadav, A.K.; Singh, V.; Singh, T. Artificial neural network an innovative approach in air pollutant prediction for environmental applications: A review. Results Eng. 2024, 22, 102305. [Google Scholar] [CrossRef]
- Nayebare, S.R.; Aburizaiza, O.S.; Siddique, A.; Carpenter, D.O.; Hussain, M.M.; Zeb, J.; Aburiziza, A.J.; Khwaja, H.A. Ambient air quality in the holy city of Makkah: A source apportionment with elemental enrichment factors (EFs) and factor analysis (PMF). Environ. Pollut. 2018, 243, 1791–1801. [Google Scholar] [CrossRef] [PubMed]
- Gäbel, P.; Koller, C.; Hertig, E. Development of Air Quality Boxes Based on Low-Cost Sensor Technology for Ambient Air Quality Monitoring. Sensors 2022, 22, 3830. [Google Scholar] [CrossRef] [PubMed]
- Hassan, A.K.; Saraya, M.S.; Ali-Eldin, A.M.T.; Abdelsalam, M.M. Low-Cost IoT Air Quality Monitoring Station Using Cloud Platform and Blockchain Technology. Appl. Sci. 2024, 14, 5774. [Google Scholar] [CrossRef]
- Carbon Monoxide. MQ-7 GAS SENSOR. Available online: http://www.hwsensor.com (accessed on 23 July 2024).
- Pleva GmbH. Dht11. Melliand Textilberichte 1995, 76, 1112.
- Kalra, V.; Baweja, C.; Simmarpreet; Chopra, S. Influence of temperature and humidity on the output resistance ratio of the MQ-135 Sensor. Int. J. Adv. Res. Comput. Sci. Softw. Eng. Res. 2016, 6, 423–429. [Google Scholar]
- EPA. Criteria Air Pollutants. Available online: https://www.epa.gov/criteria-air-pollutants (accessed on 30 July 2024).
- Searched Topics: PM Pollution, NO2 Pollution, CO Pollution, PM Pollution, O3 Pollution. Available online: https://trends.google.com/trends (accessed on 30 July 2024).
- Kim, K.-H.; Kabir, E.; Kabir, S. A review on the human health impact of airborne particulate matter. Environ. Int. 2015, 74, 136–143. [Google Scholar] [CrossRef]
- Khan, M.; Khan, N.; Skibniewski, M.J.; Park, C. Environmental Particulate Matter (PM) Exposure Assessment of Construction Activities Using Low-Cost PM Sensor and Latin Hypercubic Technique. Sustainability 2021, 13, 7797. [Google Scholar] [CrossRef]
- Sharp Corporation Application Note of Sharp Dust Sensor GP2Y1010AU0F. 2006. Available online: http://www.sharp-world.com/products/device/lineup/data/pdf/datasheet/gp2y1010au_appl_e.pdf (accessed on 30 July 2024).
- Thompson, J.E. Improved Measurement Performance for the Sharp GP2Y1010 Dust Sensor: Reduction of Noise. Atmosphere 2021, 12, 775. [Google Scholar] [CrossRef]
- Xia, H.; Wang, X.; Qiao, Y.; Jian, J.; Chang, Y. Using Multiple Barometers to Detect the Floor Location of Smart Phones with Built-in Barometric Sensors for Indoor Positioning. Sensors 2015, 15, 7857–7877. [Google Scholar] [CrossRef]
- Binghao, L.; Harvey, B.; Gallagher, T. Using barometers to determine the height for indoor positioning. In Proceedings of the 2013 International Conference on Indoor Positioning and Indoor Navigation (IPIN), Montbeliard-Belfort, France, 28–31 October 2013. [Google Scholar]
- Medvediev, D.; Suprun, A.; Lysenko, Y.; Zadorozhnii, V.; Lavrinenko, Y. Development of Meteorological Station using Arduino and Android Application for Data Processing. In Proceedings of the 5th International Scientific Congress Society of Ambient Intelligence (ISC SAI 2022)—Volume Sustainable Development and Global Climate Change, Kryvyi Rih, Ukraine, 4–8 April 2022; pp. 248–255. [Google Scholar] [CrossRef]
- BMP-180 Sensor with Arduino. Available online: https://justdoelectronics.com/bmp-180-sensor-arduino-tutorial/ (accessed on 23 July 2024).
- Almady, S.S.; Al-Sager, S.M.; Al-Janobi, A.A.; Marey, S.A.; Aboukarima, A.M. Evaluation of Air Pollution Levels in Agricultural Settings Using Integrated Weather Variables and Air Pollutants. Appl. Sci. 2024, 14, 5713. [Google Scholar] [CrossRef]
- Reilly, M.K.; Birner, T.M.; Johnson, G.N. Measuring air quality using wireless self-powered devices. In Proceedings of the 2015 IEEE Global Humanitarian Technology Conference (GHTC), Seattle, WA, USA, 8–11 October 2015; pp. 267–272. [Google Scholar] [CrossRef]
- Lee, D.; Jeong, J.-W.; Choi, G. Short Term Prediction of PV Power Output Generation Using Hierarchical Probabilistic Model. Energies 2021, 14, 2822. [Google Scholar] [CrossRef]
- Kuo, P.; Huang, C. A high precision artificial neural networks model for short-term energy load forecasting. Energies 2018, 11, 213. [Google Scholar] [CrossRef]
- Kuo, P.; Huang, C. An electricity price forecasting model by hybrid structured deep neural networks. Sustainability 2018, 10, 1280. [Google Scholar] [CrossRef]
- Yaïci, W.; Longo, M.; Entchev, E.; Foiadelli, F. Simulation study on the effect of reduced inputs of artificial neural networks on the predictive performance of the solar energy system. Sustainability 2017, 9, 1382. [Google Scholar] [CrossRef]
- Cervone, G.; Clemente-Harding, L.; Alessandrini, S.; Monache, L.D. Short-term photovoltaic power forecasting using artificial neural networks and an analog ensemble. Renew. Energy 2017, 108, 274–286. [Google Scholar] [CrossRef]
- Khanale, P.B.; Chitnis, S.D. Handwritten Devanagari Character Recognition using Artificial Neural Network. J. Artif. Intell. 2011, 4, 55–62. [Google Scholar] [CrossRef]
- State, I.; Uyo, A.; Offiong, A. Neural networks in materials science and engineering: A review of salient issues. Eur. J. Eng. Technol. 2016, 3, 40–54. [Google Scholar]
- Fogno Fotso, H.R.; Aloyem Kazé, C.V.; Kenmoe, G.D. Optimal Input Variables Disposition of Artificial Neural Networks Models for Enhancing Time Series Forecasting Accuracy. Appl. Artif. Intell. 2020, 34, 792–815. [Google Scholar] [CrossRef]
- Crone, S.F.; Kourentzes, N. Input-variable specification for neural networks—An analysis of forecasting low and high time series frequency. In Proceedings of the International Joint Conference on Neural Networks, Atlanta, GA, USA, 14–19 June 2009; pp. 619–626. [Google Scholar]
- Fazeli, H.; Soleimani, R.; Ahmadi, M.A.; Badrnezhad, R.; Mohammadi, A.H. Experimental Study and Modeling of Ultrafiltration of Refinery Effluents Using a Hybrid Intelligent Approach. J. Energy 2013, 27, 3523–3537. [Google Scholar] [CrossRef]
- Vesta Services, Inc. Qnet2000 Shareware. Vesta Services. Inc. 1001 Green Bay Rd, STE 196. Winnetka. IL 60093, 2000. QnetV2kt. Qnet v2000 for Windows, the Complete Solution for Backpropagation Neural Network. Available online: https://qnetv2kt.software.informer.com/ (accessed on 12 November 2024).
- Al-Sager, S.M.; Almady, S.S.; Marey, S.A.; Al-Hamed, S.A.; Aboukarima, A.M. Prediction of Specific Fuel Consumption of a Tractor during the Tillage Process Using an Artificial Neural Network Method. Agronomy 2024, 14, 492. [Google Scholar] [CrossRef]
- Bakas, I.; Kontoleon, K.J. Performance Evaluation of Artificial Neural Networks (ANN) Predicting Heat Transfer through Masonry Walls Exposed to Fire. Appl. Sci. 2021, 11, 11435. [Google Scholar] [CrossRef]
- Normalizing Inputs for an Artificial Neural Network. Available online: http://www.baeldung.com (accessed on 20 September 2024).
- Chng, Z.M. Using Normalization Layers to Improve Deep Learning Models. Available online: https://machinelearningmastery.com/using-normalization-layers-to-improve-deep-learning-models/ (accessed on 20 September 2024).
- An Overview of Categorical Input Handling for Neural Networks. Available online: http://towerdsdatascience.com (accessed on 20 September 2024).
- Geographic Coordinate Encoding Using TensorFlow Feature Columns. Available online: https://mediuem.com (accessed on 20 September 2024).
- Neelamegam, M. Predicting Air Quality Using Weather Forecasting and Machine Learning. Master’s Thesis, Computer Science, Johannes Kepler University, Linz, Austria, 2022; 70p. [Google Scholar]
- Pratiwi, H.; Windarto, A.P.; Susliansyah, S.; Aria, R.R.; Susilowati, S.; Rahayu, L.K.; Fitriani, Y.; Merdekawati, A.; Rahadjeng, I.R. Sigmoid Activation Function in Selecting the Best Model of Artificial Neural Networks. 1st Bukittinggi International Conference on Education IOP Conf. Series. J. Phys. Conf. Ser. 2020, 1471, 012010. [Google Scholar] [CrossRef]
- Pentoś, K. The methods of extracting the contribution of variables in artificial neural network models—Comparison of inherent instability. Comput. Electron. Agric. 2016, 127, 141–146. [Google Scholar] [CrossRef]
- Lawson, D.; Marion, G. An Introduction to Mathematical Modelling. 2008. Available online: https://people.maths.bris.ac.uk/~madjl/course_text.pdf (accessed on 30 July 2024).
- Al-Dosary, N.M.N.; Alnajjar, F.M.; Aboukarima, A.E.W.M. Estimation of wheel slip in 2WD mode for an agricultural tractor during plowing operation using an artificial neural network. Sci. Rep. 2023, 13, 5975. [Google Scholar] [CrossRef]
- Tsae, N.B.; Adachi, T.; Kawamura, Y. Application of artificial neural network for the prediction of copper ore grade. Minerals 2023, 13, 658. [Google Scholar] [CrossRef]
- Sammen, S.S.; Kisi, O.; Ehteram, M.; El-Shafie, A.; Al-Ansari, N.; Ghorbani, M.A.; Bhat, S.A.; Ahmed, A.N.; Shahid, S. Rainfall modeling using two different neural networks improved by metaheuristic algorithms. Environ. Sci. Eur. 2023, 35, 112. [Google Scholar] [CrossRef]
- Alharbi, B.H.; Alhazmi, H.A.; Aldhafeeri, Z.M. Air Quality of Work, Residential, and Traffic Areas during the COVID-19 Lockdown with Insights to Improve Air Quality. Int. J. Environ. Res. Public Health 2022, 19, 727. [Google Scholar] [CrossRef]
- Elbayoumi, M.; Ramli, N.A.; Yusof, N.F.F.M.; Madhoun, W.A. The effect of seasonal variation on indoor and outdoor carbon monoxide concentrations in Eastern Mediterranean climate. Atmos. Pollut. Res. 2014, 5, 315–324. [Google Scholar] [CrossRef]
- ATSDR (Agency for Toxic Substances and Disease Registry). Toxicological Profile for Carbon Monoxide; U.S. Department of Health and Human Services: Atlanta, GA, USA, 2012.
- HPA (Public Health England), 2009. Available online: http://www.hpa.org.uk/webc/HPAwebFile/HPAweb_C/1202487036268 (accessed on 30 July 2024).
- Li, D.-C.; Huang, W.-K.; Lin, Y.-S. New Product Short-Term Demands Forecasting with Boxplot-Based Fractional Grey Prediction Model. Appl. Sci. 2022, 12, 5131. [Google Scholar] [CrossRef]
- Tukey, J.W. Exploratory Data Analysis; Reading Mass; Addison-Wesley: Menlo Park, CA, USA; London, UK; Amsterdam, The Netherlands, 1977. [Google Scholar]
- Hofstetter, D.; Fabian, E.; Dominguez, D.; Lorenzoni, A.G. Automatically Controlled Dust Generation System Using Arduino. Sensors 2022, 22, 4574. [Google Scholar] [CrossRef]
- Gaowa, S.; Zhang, Z.; Nie, J.; Li, L.; A-ru, H.; Yu, Z. Using artificial neural networks to predict indoor particulate matter and TVOC concentration in an office building: Model selection and method development. Energy Built Environ. 2024, in press. [Google Scholar] [CrossRef]
- Ipate, G.; Voicu, G.; Stefan, E.M.; Manea, D.; Dinca, M. Air dust particles monitoring in a greenhouse based on the Arduino. In Proceedings of the 43rd International Symposium on Agricultural Engineering, Actual Tasks on Agricultural Engineering, Opatija, Croatia, 24–27 February 2015; Volume 2015, pp. 461–471. [Google Scholar]
- Muhammed, Y.A.; Azeez, S.A. Using wireless sensors networks to investigate the air quality in outdoor and indoor environment in south of Erbil, Iraq. Int. J. IT Eng. 2020, 8, 1–10. [Google Scholar]
- Choudhary, A.; Kumar, P.; Pradhan, C.; Sahu, S.K.; Chaudhary, S.K.; Joshi, P.K.; Pandey, D.N.; Prakash, D.; Mohanty, A. Evaluating air quality and criteria pollutants prediction disparities by data mining along a stretch of urban-rural agglomeration includes coal-mine belts and thermal power plants. Front. Environ. Sci. 2023, 11, 1132159. [Google Scholar] [CrossRef]
- Ruwali, S.; Talebi, S.; Fernando, A.; Wijeratne, L.O.H.; Waczak, J.; Dewage, P.M.H.; Lary, D.J.; Sadler, J.; Lary, T.; Lary, M.; et al. Quantifying Inhaled Concentrations of Particulate Matter, Carbon Dioxide, Nitrogen Dioxide, and Nitric Oxide Using Observed Biometric Responses with Machine Learning. BioMedInformatics 2024, 4, 1019–1046. [Google Scholar] [CrossRef]
- Jierula, A.; Wang, S.; OH, T.-M.; Wang, P. Study on Accuracy Metrics for Evaluating the Predictions of Damage Locations in Deep Piles Using Artificial Neural Networks with Acoustic Emission Data. Appl. Sci. 2021, 11, 2314. [Google Scholar] [CrossRef]
- Jerrett, M.; Arain, A.; Kanaroglou, P.; Beckerman, B.; Potoglou, D.; Sahsuvaroglu, T.; Morrison, J.; Giovis, C. A review and evaluation of intraurban air pollution exposure models. J. Expo. Sci. Environ. Epidemiol. 2005, 15, 185–204. [Google Scholar] [CrossRef]
- Ghazali, S.; Ismail, L.H. Air Quality Prediction Using Artificial Neural Network. Corpus ID: 10799004. 2012. Available online: https://core.ac.uk/download/pdf/12007488.pdf (accessed on 9 August 2024).
- Suri, R.S.; Jain, A.K.; Kapoor, N.R.; Kumar, A.; Arora, H.C.; Kumar, K.; Jahangir, H. Air Quality Prediction—A Study Using Neural Network Based Approach. J. Soft Comput. Civ. Eng. 2023, 7-1, 93–113. [Google Scholar] [CrossRef]
- Ren, J.; He, J.; Novoselac, A. Predicting indoor particle concentration in mechanically ventilated classrooms using neural networks: Model development and generalization ability analysis. Build. Environ. 2023, 238, 110404. [Google Scholar] [CrossRef]
- Shams, S.R.; Jahani, A.; Moeinaddini, M.; Khorasani, N. Air carbon monoxide forecasting using an artifcial neural network in comparison with multiple regression. Model. Earth Syst. Environ. 2020, 6, 1467–1475. [Google Scholar] [CrossRef]
- Thomas, S.; Jacko, R.B. Model for Forecasting Expressway Fine Particulate Matter and Carbon Monoxide Concentration: Application of Regression and Neural Network Models. J. Air Waste Manag. Assoc. 2007, 57, 480–488. [Google Scholar] [CrossRef]
- Heng, S.Y.; Ridwan, W.M.; Kumar, P.; Ahmed, A.N.; Fai, C.M.; Birima, A.H.; El-Shafie, A. Artificial neural network model with different backpropagation algorithms and meteorological data for solar radiation prediction. Sci. Rep. 2022, 12, 10457. [Google Scholar] [CrossRef] [PubMed]
- Hanoon, M.S.; Ahmed, A.N.; Zaini, N.A.; Razzaq, A.; Kumar, P.; Sherif, M.; Sefelnasr, A.; El-Shafie, A. Developing machine learning algorithms for meteorological temperature and humidity forecasting at Terengganu state in Malaysia. Sci. Rep. 2021, 11, 18935. [Google Scholar] [CrossRef] [PubMed]
- Elangasinghe, M.A.; Singh, N.; Dirks, K.N.; Salmond, J.A.; Samarasinghe, S. Complex time series analysis of PM10 and PM2.5 for a coastal site using artificial neural network modeling and k-means clustering. Atmos. Environ. 2014, 94, 106–116. [Google Scholar] [CrossRef]
- Agarwal, S.; Sharma, S.; Suresh, R.; Rahman, M.H.; Vranckx, S.; Maiheu, B.; Blyth, L.; Janssen, S.; Gargava, P.; Shukla, V.K.; et al. Air quality forecasting using artificial neural networks with real time dynamic error correction in highly polluted regions. Sci. Total Environ. 2020, 735, 139454. [Google Scholar] [CrossRef]
- Sharma, E.; Deo, R.C.; Prasad, R.; Parisi, A.V.; Raj, N. Deep Air Quality Forecasts: Suspended Particulate Matter Modeling With Convolutional Neural and Long Short-Term Memory Networks. IEEE Access 2020, 8, 14. [Google Scholar] [CrossRef]
- Dai, X.; Liu, J.; Li, Y. A recurrent neural network using historical data to predict time series indoor PM2.5 concentrations for residential buildings. Indoor Air 2021, 31, 1228–1237. [Google Scholar] [CrossRef]
- Hatta, M.; Han, H. Predicting indoor PM2.5/PM10 concentrations using simplified neural network models. J. Mech. Sci. Technol. 2021, 35, 3249–3257. [Google Scholar] [CrossRef]
- Challoner, A.; Pilla, F.; Gill, L. Prediction of Indoor Air Exposure from Outdoor Air Quality Using an Artificial Neural Network Model for Inner City Commercial Buildings. Int. J. Environ. Res. Public Health 2015, 12, 15233–15253. [Google Scholar] [CrossRef]
- Alkasassbeh, M.; Sheta, A.; Mouhammad, F.A.; Faris, H.; Turabieh, H. Prediction of PM10 and TSP air pollution parameters using artificial neural network autoregressive, external input models- A case study in salt, Jordan. Middle East J. Sci. Res. 2013, 14, 999–1009. [Google Scholar] [CrossRef]
- Skyrzypski, J.; Szakiel, J.E. Neural network prediction models as a tool for air quality management in cities. J. Environ. Prot. Eng. 2008, 34, 130–137. [Google Scholar]
- Arslan, S.; Aybek, A. Particulate Matter Exposure in Agriculture. From the Edited Volume Air Pollution—A Comprehensive Perspective, Edited by Budi Haryanto, 2011. Available online: https://www.intechopen.com/chapters/38344 (accessed on 30 July 2024).
Disclaimer/Publisher’s Note: The statements, opinions and data contained in all publications are solely those of the individual author(s) and contributor(s) and not of MDPI and/or the editor(s). MDPI and/or the editor(s) disclaim responsibility for any injury to people or property resulting from any ideas, methods, instructions or products referred to in the content. |
© 2024 by the authors. Licensee MDPI, Basel, Switzerland. This article is an open access article distributed under the terms and conditions of the Creative Commons Attribution (CC BY) license (https://creativecommons.org/licenses/by/4.0/).