Seasonality and Predictability of Hydrometeorological and Water Chemistry Indicators in Three Coastal Forested Watersheds
Abstract
1. Introduction
2. Study Area
2.1. Watershed Characteristics
2.2. Hydrological and Water Chemistry Data
3. Methods
3.1. Preliminary Data Analysis
3.2. The Impact of Hydrometeorological Extremes and Human Activities on Hydrology and Water Quality
- R1—the sum of ranks of elements from the first sample.
- n1, n2—the sizes (or counts) of the first and second sample, respectively.
3.3. The Colwell Indicators
4. Results and Discussion
4.1. Comparison of Data from the 2011–2014 and 2015–2019 Periods
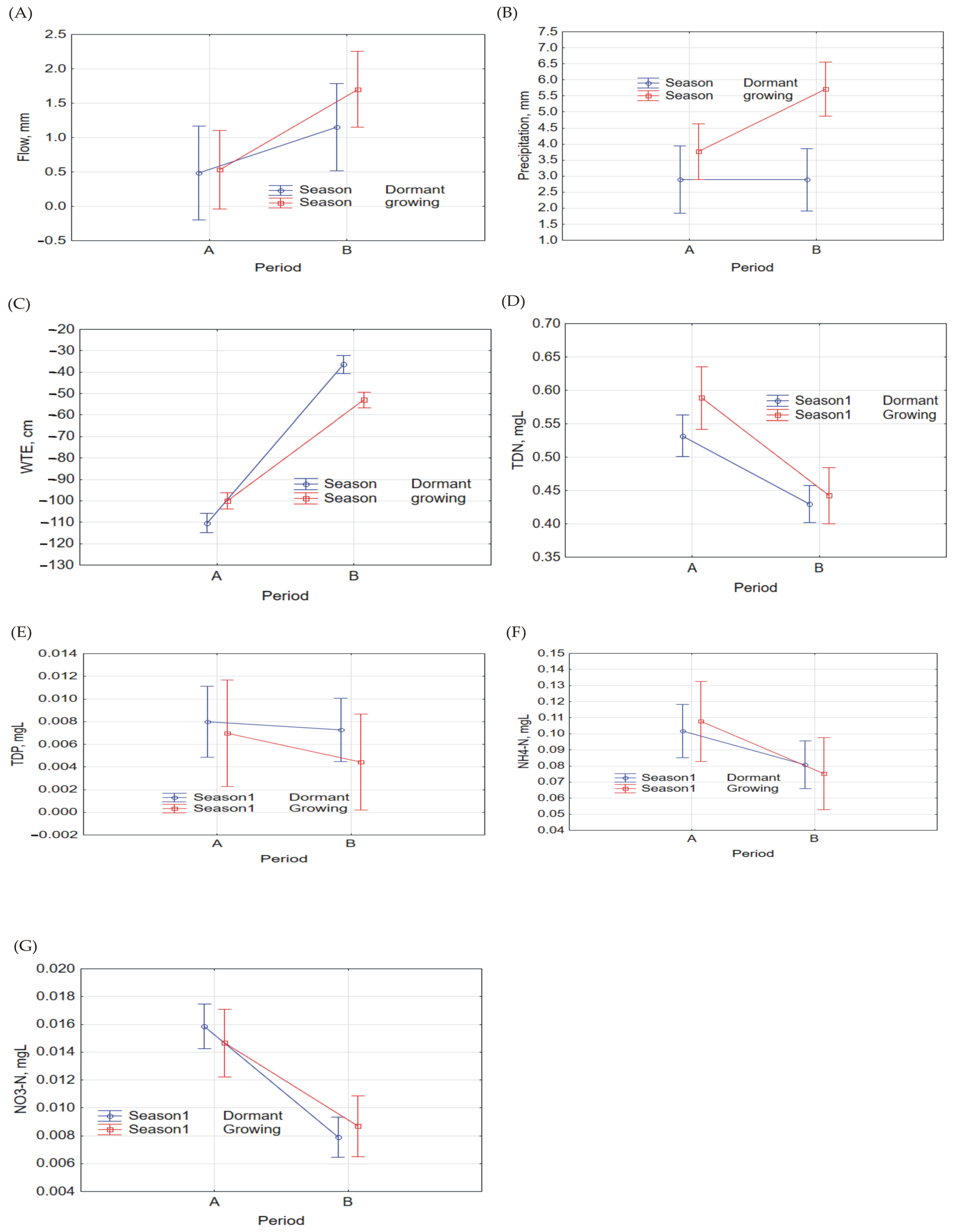
4.1.1. Hydrologic Variables
4.1.2. Water Chemistry Indicators
4.1.3. Statistical Evaluations and Responses of Water Chemistry on Rainfall Events
4.1.4. Seasonality Variation in Hydrologic and Water Chemistry Indicators
4.2. Predictability of Hydrology and Water Chemistry
4.2.1. Hydrological Indicators for Period 2011–2019
4.2.2. Water Chemistry for Period 2011–2019
4.2.3. Hydrological Indicators for Individual Periods of 2011–2014 and 2015–2019
4.2.4. Water Chemistry Indicators for Individual Periods of 2011–2014 and 2015–2019
4.2.5. Limitations of the Study
5. Summary and Conclusions
Author Contributions
Funding
Institutional Review Board Statement
Informed Consent Statement
Data Availability Statement
Acknowledgments
Conflicts of Interest
Appendix A
| Indicator | Hydrological Indicators for the Period 2011–2014 | ||||||||||
|---|---|---|---|---|---|---|---|---|---|---|---|
| Number of Observations | Average | Median | Minimum | Maximum | Perc 10% | Perc 90% | Std. Deviation | Coeff of Variation % | Skewnes, - | Kurtozis, - | |
| Flow, mm | 1461 | 0.3 | 0.0 | 0.0 | 26.5 | 0.0 | 0.5 | 1.5 | 473.2 | 9.4 | 113.2 |
| Precipitation, mm | 1461 | 3.4 | 0.0 | 0.0 | 141.3 | 0.0 | 11.3 | 9.5 | 282.8 | 5.4 | 45.9 |
| WTE, cm | 1461 | −156.5 | −179.4 | −282.9 | 1.5 | −279.4 | −11.4 | 113.7 | −72.7 | 0.1 | −1.8 |
| PET, mm | 1461 | 3.2 | 2.7 | −0.1 | 12.4 | 0.9 | 6.2 | 2.0 | 63.1 | 0.6 | −0.3 |
| For the period 2015–2019 | |||||||||||
| Flow, mm | 1826 | 1.27 | 0.06 | 0.00 | 316.58 | 0.00 | 1.68 | 9.73 | 768.44 | 24.06 | 692.94 |
| Precipitation, mm | 1826 | 4.58 | 0.00 | 0.00 | 242.63 | 0.00 | 13.46 | 15.21 | 331.79 | 8.14 | 96.37 |
| WTE, cm | 1785 | −46.31 | −30.70 | −238.30 | 5.40 | −115.00 | −4.20 | 46.30 | −99.97 | −1.46 | 1.84 |
| PET, mm | 1826 | 3.19 | 2.80 | −0.02 | 10.13 | 0.86 | 6.12 | 2.00 | 62.73 | 0.46 | −0.78 |
| Water chemistry indicators for the period 2011–2014 | |||||||||||
| Temperature, C | 97 | 16.72 | 17.76 | 4.67 | 27.72 | 8.05 | 24.86 | 6.63 | 39.67 | −0.14 | −1.37 |
| DOC, mg/L | 230 | 29.87 | 29.16 | 12.60 | 57.64 | 24.10 | 35.93 | 5.50 | 18.42 | 0.94 | 3.85 |
| Conductivity, ms/cm | 96 | 0.11 | 0.11 | 0.04 | 0.25 | 0.06 | 0.17 | 0.04 | 37.66 | 0.60 | 0.61 |
| DO, mg/L | 96 | 3.60 | 3.06 | 0.78 | 8.95 | 1.35 | 6.82 | 2.04 | 56.81 | 0.69 | −0.66 |
| TDN, mg/L | 287 | 0.83 | 0.76 | 0.33 | 2.02 | 0.60 | 1.17 | 0.24 | 29.13 | 1.57 | 3.10 |
| TDP, mg/L | 288 | 0.03 | 0.02 | 0.01 | 0.52 | 0.01 | 0.05 | 0.03 | 119.07 | 10.30 | 142.16 |
| NH4-N, mg/L | 285 | 0.05 | 0.02 | 0.00 | 0.41 | 0.01 | 0.14 | 0.07 | 144.54 | 2.69 | 7.86 |
| NO3-N, mg/L | 287 | 0.03 | 0.02 | 0.00 | 0.75 | 0.00 | 0.07 | 0.07 | 204.68 | 7.56 | 69.61 |
| For the period 2015–2019 | |||||||||||
| Temperature, C | 55 | 17.88 | 17.97 | 6.09 | 27.90 | 8.69 | 25.00 | 6.40 | 35.82 | −0.32 | −1.22 |
| DOC, mg/L | 361 | 22.94 | 22.30 | 0.97 | 47.11 | 14.80 | 31.91 | 7.03 | 30.64 | 0.55 | 0.48 |
| Conductivity, ms/cm | 55 | 0.10 | 0.10 | 0.04 | 0.17 | 0.05 | 0.15 | 0.03 | 32.41 | 0.17 | −0.54 |
| DO, mg/L | 55 | 2.94 | 2.27 | 0.16 | 8.01 | 0.78 | 6.28 | 2.06 | 70.31 | 0.99 | 0.17 |
| TDN, mg/L | 361 | 0.59 | 0.55 | 0.04 | 1.65 | 0.38 | 0.85 | 0.20 | 34.73 | 1.43 | 3.81 |
| TDP, mg/L | 362 | 0.04 | 0.01 | 0.00 | 3.30 | 0.01 | 0.02 | 0.27 | 681.40 | 10.78 | 117.34 |
| NH4-N, mg/L | 362 | 0.06 | 0.04 | 0.00 | 0.83 | 0.00 | 0.14 | 0.09 | 153.17 | 4.58 | 29.34 |
| NO3-N, mg/L | 337 | 0.01 | 0.01 | 0.00 | 0.16 | 0.00 | 0.03 | 0.02 | 127.35 | 4.70 | 33.38 |
| Indicator | Hydrological Indicators for the Period 2011–2014 | ||||||||||
|---|---|---|---|---|---|---|---|---|---|---|---|
| No of Observations | Average | Median | Minimum | Maximum | Perc 10% | Perc 90% | St Deviation | Coeff of Variation % | Skewnes, - | Kurtozis, - | |
| Flow, mm | 1461 | 0.51 | 0.00 | 0.00 | 38.33 | 0.00 | 0.88 | 2.24 | 437.50 | 8.55 | 94.29 |
| Precipitation, mm | 1461 | 3.40 | 0.00 | 0.00 | 137.10 | 0.00 | 10.96 | 9.64 | 283.43 | 5.33 | 42.84 |
| WTE, cm | 1461 | −104.28 | −93.00 | −286.10 | −0.60 | −204.60 | −18.40 | 74.56 | −71.50 | −0.57 | −0.59 |
| For the period 2015–2019 | |||||||||||
| Flow, mm | 1826 | 1.53 | 0.07 | 0.00 | 316.50 | 0.00 | 2.09 | 10.99 | 719.31 | 20.64 | 512.85 |
| Precipitation, mm | 1826 | 4.65 | 0.00 | 0.00 | 253.63 | 0.00 | 13.75 | 15.53 | 333.59 | 8.24 | 98.18 |
| WTE, cm | 1785 | −45.87 | −38.10 | −157.20 | 5.10 | −95.95 | −9.80 | 32.13 | −70.05 | −0.76 | −0.15 |
| Water chemistry indicators for the period 2011–2014 | |||||||||||
| Temperature, °C | 97 | 15.68 | 17.14 | 4.23 | 26.06 | 7.08 | 23.98 | 6.59 | 42.06 | −0.11 | −1.41 |
| DOC, mg/L | 230 | 17.85 | 17.13 | 8.72 | 47.70 | 12.16 | 24.13 | 5.34 | 29.90 | 1.55 | 5.22 |
| Conductivity, ms/cm | 96 | 0.06 | 0.06 | 0.03 | 0.14 | 0.05 | 0.09 | 0.02 | 32.42 | 1.27 | 2.97 |
| DO, mg/L | 96 | 3.74 | 3.17 | 0.74 | 9.26 | 1.26 | 6.93 | 2.14 | 57.26 | 0.61 | −0.57 |
| TDN, mg/L | 287 | 0.55 | 0.49 | 0.00 | 1.71 | 0.36 | 0.77 | 0.22 | 39.38 | 1.99 | 6.10 |
| TDP, mg/L | 288 | 0.01 | 0.01 | 0.00 | 0.28 | 0.00 | 0.01 | 0.02 | 225.53 | 14.29 | 224.10 |
| NH4-N, mg/L | 285 | 0.10 | 0.08 | 0.01 | 1.11 | 0.04 | 0.19 | 0.09 | 89.06 | 5.86 | 55.00 |
| NO3-N, mg/L | 287 | 0.02 | 0.01 | 0.00 | 0.22 | 0.01 | 0.03 | 0.02 | 102.36 | 7.63 | 88.03 |
| For the period 2015–2019 | |||||||||||
| Temperature, °C | 55 | 16.57 | 17.11 | 5.56 | 27.46 | 7.08 | 24.46 | 6.69 | 40.36 | −0.15 | −1.37 |
| DOC, mg/L | 361 | 15.45 | 14.92 | 6.27 | 34.92 | 9.48 | 22.48 | 5.06 | 32.72 | 0.71 | 0.53 |
| Conductivity, ms/cm | 55 | 0.04 | 0.04 | 0.03 | 0.07 | 0.03 | 0.05 | 0.01 | 19.42 | 1.15 | 2.35 |
| DO, mg/L | 55 | 2.86 | 2.41 | 0.75 | 6.70 | 1.16 | 5.48 | 1.68 | 58.60 | 0.78 | −0.46 |
| TDN, mg/L | 361 | 0.43 | 0.41 | 0.17 | 4.03 | 0.26 | 0.60 | 0.23 | 54.19 | 9.98 | 150.66 |
| TDP, mg/L | 362 | 0.01 | 0.00 | 0.00 | 0.41 | 0.00 | 0.01 | 0.03 | 403.18 | 12.67 | 177.96 |
| NH4-N, mg/L | 362 | 0.08 | 0.06 | 0.01 | 2.52 | 0.03 | 0.12 | 0.14 | 173.58 | 15.93 | 286.15 |
| NO3-N, mg/L | 337 | 0.01 | 0.01 | 0.00 | 0.07 | 0.00 | 0.02 | 0.01 | 80.02 | 4.40 | 34.47 |
| Indicator | Hydrological Indicators for the Period 2011–2014 | ||||||||||
|---|---|---|---|---|---|---|---|---|---|---|---|
| No of Observations | Average | Median | Minimum | Maximum | Perc 10% | Perc 90% | St Deviation | Coeff of Variation % | Skewnes, - | Kurtozis, - | |
| Flow, mm | 1461 | 0.45 | 0.01 | 0.00 | 11.02 | 0.00 | 1.37 | 1.25 | 279.83 | 4.51 | 24.61 |
| Precipitation, mm | 1461 | 3.51 | 0.00 | 0.00 | 86.01 | 0.00 | 12.34 | 9.48 | 269.85 | 3.99 | 18.91 |
| WTERains | 1396 | −69.21 | −58.40 | −204.80 | 13.60 | −173.72 | 4.00 | 67.09 | −96.94 | −0.45 | −1.18 |
| WTELenoir | 1461 | −57.71 | −52.00 | −197.80 | 10.10 | −126.12 | −2.50 | 48.53 | −84.09 | −0.57 | −0.62 |
| WTEGoldsboro | 1461 | −158.58 | −207.90 | −244.14 | −7.20 | −236.42 | −36.80 | 82.36 | −51.94 | 0.52 | −1.49 |
| WTELynchnurg | 1461 | −113.44 | −116.40 | −234.60 | 0.50 | −215.10 | −7.60 | 72.69 | −64.08 | 0.00 | −1.20 |
| WTEWahee | 1236 | −126.44 | −126.05 | −235.00 | −10.50 | −213.50 | −33.90 | 66.77 | −52.81 | 0.05 | −1.35 |
| For the period 2015–2019 | |||||||||||
| Flow, mm | 1826 | 1.74 | 0.23 | 0.00 | 256.83 | 0.00 | 3.21 | 10.76 | 617.22 | 18.56 | 390.41 |
| Precipitation, mm | 1826 | 4.74 | 0.00 | 0.00 | 271.40 | 0.00 | 12.88 | 16.19 | 341.29 | 7.97 | 91.10 |
| WTERains | 1776 | −18.64 | −1.47 | −157.20 | 32.62 | −75.78 | 11.42 | 36.87 | −197.82 | −1.43 | 1.33 |
| WTELenoir | 1589 | −32.91 | −24.09 | −137.66 | 40.70 | −81.62 | −0.90 | 32.41 | −98.48 | −1.05 | 0.44 |
| WTEGoldsboro | 1589 | −70.30 | −57.42 | −217.67 | 1.60 | −137.67 | −28.06 | 45.13 | −64.21 | −1.20 | 0.95 |
| WTELynchnurg | 1584 | −56.73 | −47.90 | −205.89 | 5.70 | −127.22 | −6.41 | 47.37 | −83.50 | −0.84 | −0.07 |
| WTEWahee | 1587 | −71.51 | −64.80 | −188.00 | 15.40 | −127.60 | −26.20 | 40.17 | −56.18 | −0.63 | −0.34 |
| Water chemistry indicators for the period 2011–2014 | |||||||||||
| DOC, mg/L | 227 | 0.60 | 0.54 | 0.18 | 2.23 | 0.41 | 0.83 | 0.26 | 42.97 | 3.52 | 17.05 |
| Conductivity, ms/cm | 228 | 0.01 | 0.01 | 0.00 | 0.12 | 0.01 | 0.02 | 0.01 | 85.34 | 4.12 | 24.43 |
| DO, mg/L | 227 | 0.07 | 0.03 | 0.00 | 1.19 | 0.01 | 0.15 | 0.14 | 201.18 | 5.90 | 40.80 |
| TDN, mg/L | 217 | 0.02 | 0.02 | 0.00 | 0.13 | 0.01 | 0.05 | 0.02 | 95.67 | 2.32 | 6.93 |
| TDP, mg/L | 99 | 17.29 | 18.73 | 4.37 | 27.72 | 8.08 | 25.26 | 6.68 | 38.60 | −0.24 | −1.34 |
| NH4-N, mg/L | 199 | 19.40 | 18.90 | 6.61 | 31.24 | 13.47 | 25.39 | 4.80 | 24.77 | 0.05 | −0.57 |
| NO3-N, mg/L | 98 | 0.08 | 0.08 | 0.02 | 0.18 | 0.03 | 0.11 | 0.03 | 41.98 | 0.90 | 1.59 |
| DOC, mg/L | 97 | 4.97 | 4.94 | 0.88 | 11.17 | 1.52 | 9.42 | 2.79 | 56.24 | 0.43 | −0.78 |
| For the period 2015–2018 | |||||||||||
| DOC, mg/L | 160 | 0.45 | 0.44 | 0.26 | 0.83 | 0.29 | 0.62 | 0.12 | 26.85 | 0.77 | 0.45 |
| Conductivity, ms/cm | 160 | 0.01 | 0.01 | 0.00 | 0.04 | 0.01 | 0.02 | 0.01 | 58.76 | 2.03 | 5.58 |
| DO, mg/L | 160 | 0.04 | 0.03 | 0.00 | 0.24 | 0.01 | 0.09 | 0.04 | 106.66 | 2.55 | 7.60 |
| TDN, mg/L | 153 | 0.01 | 0.01 | 0.00 | 0.07 | 0.00 | 0.03 | 0.01 | 103.59 | 2.17 | 5.61 |
| TDP, mg/L | 72 | 17.17 | 17.84 | 4.64 | 26.51 | 7.41 | 25.40 | 6.50 | 37.88 | −0.25 | −1.20 |
| NH4-N, mg/L | 160 | 16.67 | 16.38 | 9.35 | 29.53 | 11.79 | 21.98 | 4.00 | 24.01 | 0.52 | −0.08 |
| NO3-N, mg/L | 72 | 0.05 | 0.04 | 0.03 | 0.10 | 0.03 | 0.07 | 0.02 | 34.68 | 1.75 | 2.93 |
| DOC, mg/L | 71 | 6.38 | 5.84 | 1.48 | 12.09 | 4.03 | 10.08 | 2.56 | 40.07 | 0.42 | −0.01 |



References
- LaFontaine, J.H.; Hay, L.E.; Viger, R.J.; Regan, R.S.; Markstrom, S.L. Effects of climate and land cover on hydrology in the southeastern U.S.: Potential impacts on watershed planning. J. Am. Water Resour. Assoc 2015, 51, 1235–1261. [Google Scholar] [CrossRef]
- Li, Y.; Wang, C.; Tang, H. Research advances in nutrient runoff on sloping land in watersheds. Aqua. Ecos. Health Manag. 2006, 9, 27–32. [Google Scholar] [CrossRef]
- Wojkowski, J.; Wałęga, A.; Radecki-Pawlik, A.; Młyński, D.; Lepeška, T. The influence of land cover changes on landscape hydric potential and river flows: Upper Vistula, Western Carpathians. CATENA 2022, 210, 105878. [Google Scholar] [CrossRef]
- Wojkowski, J.; Wałęga, A.; Młyński, D.; Radecki-Pawlik, A.; Lepeška, T.; Piniewski, M.; Kundzewicz, Z.W. Are we losing water storage capacity mostly due to climate change—Analysis of the landscape hydric potential in selected catchments in East-Central Europe. Ecol. Ind. 2023, 154, 110913. [Google Scholar] [CrossRef]
- National Research Council. Hydrologic Effects of a Changing Forest Landscape; The National Academies Press: Washington, DC, USA, 2008. [Google Scholar] [CrossRef]
- Caldwell, P.V.; Martin, K.L.; Vose, J.M.; Baker, J.S.; Warziniack, T.W.; Costanza, J.K.; Frey, G.E.; Nehra, A.; Mihiar, C.M. Forested watersheds provide the highest water chemistry among all land cover types, but the benefit of this ecosystem service depends on landscape context. Sci. Total Environ. 2023, 882, 163550. [Google Scholar] [CrossRef]
- Shah, N.W.; Nisbet, T.R. The effects of forest clearance for peatland restoration on water chemistry. Sci. Total Environ. 2019, 693, 133617. [Google Scholar] [CrossRef]
- Grace, J.M., III. Forest Operations and Water chemistry in the South. Forest Operations and Water chemistry in the South. Trans. ASAE 2005, 48, 871–880. [Google Scholar] [CrossRef]
- Muwamba, A.; Amatya, D.M.; Ssegane, H.; Chescheir, G.M.; Appelboom, T.; Tollner, E.W.; Nettles, J.E.; Youssef, M.A.; Birgand, F.; Skaggs, R.W.; et al. Effects of Site Preparation for Pine Forest/Switchgrass Intercropping on Water chemistry. J. Environ. Qual. 2015, 44, 1263–1272. [Google Scholar] [CrossRef]
- Muwamba, A.; Amatya, D.M.; Chescheir, G.M.; Nettles, J.E.; Appelboom, T.; Ssegane, H.; Tollner, E.W.; Youssef, M.A.; Birgand, F.; Skaggs, R.W.; et al. Water chemistry Effects of Switchgrass-Pine Forested Watershed in Coastal North Carolina. Trans. ASABE 2017, 60, 1607–1620. [Google Scholar] [CrossRef]
- Picchio, R.; Jourgholami, M.; Zenner, E.K. Effects of Forest Harvesting on Water and Sediment Yields: A Review Toward Better Mitigation and Rehabilitation Strategies. Curr. Forestry Rep. 2021, 7, 214–229. [Google Scholar] [CrossRef]
- Deval, C.; Brooks, E.S.; Gravelle, J.A.; Link, T.E.; Dobre, M.; Elliot, W.J. Long-term response in nutrient load from commercial forest management operations in a mountainous watershed. For. Ecol. Manag. 2021, 494, 119312. [Google Scholar] [CrossRef]
- Shepard, J.P. Effects of forest management on surface water chemistry in wetland forests. Wetlands 1994, 14, 18–26. [Google Scholar] [CrossRef]
- Amatya, D.M.; Skaggs, R.W.; Blanton, C.D.; Gilliam, J.W. Hydrologic and water chemistry effects of harvesting and regeneration of a drained pine forest. In Hydrology and Management of Forested Wetlands, Proceedings of the International Conference, New Bern, NC, USA, 8–12 April 2006; American Society of Agricultural and Biological Engineers: St. Joseph, MI, USA, 2006; pp. 538–551. [Google Scholar]
- Grace, J.M., III; Carter, E.A. Sediment and runoff losses following harvesting/site prep operations on a Piedmont soil in Alabama. In 2001 ASAE Annual Meeting; American Society of Agricultural and Biological Engineers: St. Joseph, MI, USA, 2001; p. 018002. [Google Scholar]
- Grace, J.M., III. Soil erosion following forest operations in the Southern Piedmont of central Alabama. J. Soil. Wat. Cons. 2004, 59, 160–166. [Google Scholar]
- Amatya, D.M.; Gilliam, J.W.; Skaggs, R.W.; Lebo, M.E.; Campbell, R.G. Effects of controlled drainage on forest water chemistry. J. Environ. Qual. 1998, 27, 923–935. [Google Scholar] [CrossRef]
- Haahti, K.; Warsta, L.; Kokkonen, T.; Younis, B.A.; Koivusalo, H. Distributed hydrological modeling with channel network flow of a forestry drained peatland site. Water Resour. Res. 2016, 52, 246–263. [Google Scholar] [CrossRef]
- Cacho, J.F.; Youssef, M.A.; Shi, W.; Chescheir, G.M.; Skaggs, R.W.; Tian, S.; Leggett, Z.H.; Sucre, E.B.; Nettles, J.E.; Arellano, C. Impacts of forest-based bioenergy feed stock production on soil nitrogen cycling. Forest Ecol. Manag. 2018, 419–420, 227–239. [Google Scholar] [CrossRef]
- Muwamba, A.; Amatya, D.M.; Ssegane, H.; Chescheir, G.M.; Appelboom, T.; Nettles, J.E.; Tollner, E.W.; Youssef, M.A.; Wałęga, A.; Birgand, F. Response of Nutrients and Sediment to Hydrologic Variables in Switchgrass Intercropped Pine Forest Ecosystems on Poorly Drained. Soil Water Air Soil Pollut. 2020, 231, 458. [Google Scholar] [CrossRef]
- Hughes, A.O.; Quinn, J.M. The effect of forestry management activities on stream water chemistry within a headwater plantation Pinus radiata forest. For. Ecol. Manag. 2019, 439, 41–54. [Google Scholar] [CrossRef]
- Palviainen, M.; Peltomaa, E.; Laurén, A.; Kinnunen, N.; Ojala, A.; Berninger, F.; Zhu, X.; Pumpanen, J. Water chemistry and the biodegradability of dissolved organic carbon in drained boreal peatland under different forest harvesting intensities. Sci. Total Environ. 2022, 806, 150919. [Google Scholar] [CrossRef]
- Leppä, K.; Korkiakoski, M.; Nieminen, M.; Laiho, R.; Hotanen, J.P.; Kieloaho, A.J.; Korpela, L.; Laurila, T.; Lohila, A.; Minkkinen, K.; et al. Vegetation controls of water and energy balance of a drained peatland forest: Responses to alternative harvesting practices. Agr. For. Manag. 2020, 295, 108198. [Google Scholar] [CrossRef]
- Georgiev, K.B.; Beudert, B.; Bässler, C.; Feldhaar, H.; Heibl Ch Karasch, P.; Müller, J.; Perlík, M.; Weiss, I.; Thorn, S. Forest disturbance and salvage logging have neutral long-term effects on drinking water chemistry but alter biodiversity. For. Ecol. Manag. 2021, 495, 119354. [Google Scholar] [CrossRef]
- Adiyah, F.; Michéli, E.; Csorba, A.; Weldmichael, T.G.; Gyuricza, C.; Ocansey, C.M.; Dawoe, E.; Owusu, S.; Fuchs, M. Effects of landuse change and topography on the quantity and distribution of soil organic carbon stocks on Acrisol catenas in tropical small-scale shade cocoa systems of the Ashanti region of Ghana. CATENA 2022, 216, 106366. [Google Scholar] [CrossRef]
- Shelby, J.D.; Chescheir, G.M.; Skaggs, R.W.; Amatya, D.M. Hydrologic And Water-Quality Response of Forested and Agricultural Lands During The 1999 Extreme Weather Conditions in Eastern North Carolina. Am. Soc. Agric. Eng 2005, 48, 2179–2188. [Google Scholar] [CrossRef]
- Erdoğan, B.U.; Gökbulak, F.; Serengil, Y.; Yurtseven, I.; Özçelik, M.S. Changes in selected physical water chemistry characteristics after thinning in a forested watershed. Catena 2018, 166, 220–228. [Google Scholar] [CrossRef]
- Amatya, D.M.; Herbert, S.; Trettin, C.C.; Hamidi, M.D. Evaluation of Paired Watershed Runoff Relationships since Recovery from a Major Hurricane on a Coastal Forest—A Basis for Examining Effects of Pinus palustris Restoration on Water Yield. Water 2021, 13, 3121. [Google Scholar] [CrossRef]
- Oda, T.; Green, M.B.; Urakawa, R.; Scanlon, T.M.; Sebestyen, S.D.; McGuire, K.J.; Katsuyama, M.; Fukuzawa, F.; Adams, M.B.; Ohte, N. Stream runoff and nitrate recovery times after forest disturbance in the USA and Japan. Water Resour. Res. 2018, 54, 6042–6054. [Google Scholar] [CrossRef]
- Trettin, C.C.; Amatya, D.M.; Muwamba, A.; Glover, J.; Wenerick, R. Ecoregion 8.5.3 Southern Coastal Plain: Santee Experimental Forest, South Carolina. In Biological Responses to Stream Nutrients: A Synthesis of Science From Experimental Forests and Ranges; Ryan, D., Ed.; General Technical Report, PNW-GTR-981; US Department of Agriculture, Forest Service: Washington, DC, USA, 2022; Chapter 14. [Google Scholar]
- Safeeq, M.; Grant, G.E.; Lewis, S.L.; Hayes, S.K. Disentangling effects of forest harvest on long-term hydrologic and sediment dynamics, western Cascades, Oregon. J. Hydrol. 2020, 580, 124259. [Google Scholar] [CrossRef]
- Jayakaran, A.D.; Williams, T.M.; Ssegane, H.; Amatya, D.M.; Song, B.; Trettin, C.C. Hurricane Impacts on a Pair of Coastal Forested Watersheds: Implications of Selective Hurricane Damage to Forest Structure and Streamflow Dynamics. Hydrol. Earth Syst. Sci. 2014, 18, 1151–1164. [Google Scholar] [CrossRef]
- Worley, E.; Liu, N.; Sun, G.; Norman, S.P.; Christie, W.M.; Gavazzi, M.; Boggs, J.; McNulty, S.G. Impacts of Hurricane Michael on Watershed Hydrology: A Case Study in the Southeastern United States. Forests 2022, 13, 904. [Google Scholar] [CrossRef]
- Kosmowska, A.; Żelazny, M.; Małek, S.; Stańczyk, T. Impact of deforestation on water chemistry in the western Tatras and Beskid Śląski range in the Polish Carpathians. Acta Sci. Pol. Form. Circumiectus 2018, 17, 89–99. [Google Scholar] [CrossRef]
- Erdozain, M.; Kidd, K.A.; Emilson, E.J.S.; Capell, S.S.; Kreutzweiser, D.P.; Gray, M.A. Forest management impacts on stream integrity at varying intensities and spatial scales: Do abiotic effects accumulate spatially? Sci. Total Environ. 2021, 753, 141968. [Google Scholar] [CrossRef]
- Jones, B.E.; Krupa, M.; Tate, K.W. Aquatic ecosystem response to timber harvesting for the purpose of restoring aspen. PLoS ONE 2013, 8, e84561. [Google Scholar] [CrossRef] [PubMed]
- Duan, W.; He, B.; Chen, Y.; Zou, S.; Wang, Y.; Nover, D.; Chen, W.; Yang, G. Identification of long-term trends and seasonality in high-frequency water chemistry data from the Yangtze River basin, China. PLoS ONE 2018, 13, e0188889. [Google Scholar] [CrossRef] [PubMed]
- Xu, G.; Li, P.; Lu, K.; Tantai, Z.; Zhang, J.; Ren, Z.; Wang, X.; Yu, K.; Shi, P.; Cheng, Y. Seasonal changes in water chemistry and its main influencing factors in the Dan River basin. CATENA 2019, 173, 131–140. [Google Scholar] [CrossRef]
- Xu, W.; Duan, L.; Wen, X.; Li, H.; Li, D.; Zhang, Y.; Zhang, H. Effects of Seasonal Variation on Water chemistry Parameters and Eutrophication in Lake Yangzong. Water 2022, 14, 2732. [Google Scholar] [CrossRef]
- Costa, C.R.; Costa, M.F.; Dantas, D.V.; Barletta, M. Interannual and Seasonal Variations in Estuarine Water chemistry. Front. Marine Sci. 2018, 5, 301. [Google Scholar] [CrossRef]
- Radecki-Pawlik, A.; Wałęga, A.; Młyński, D.; Młocek, W.; Kokoszka, R.; Tokarczyk, T.; Szalińska, W. Seasonality of mean flows as a potential tool for the assessment of ecological processes: Mountain rivers, Polish Carpathians. Sci. Total Environ. 2020, 716, 136988. [Google Scholar] [CrossRef]
- Colwell, R.K. Predictability, Constancy, and Contingency of Periodic Phenomena. Ecology 1974, 55, 1148–1153. [Google Scholar] [CrossRef]
- Harder, S.V.; Amatya, D.M.; Callahan, T.J.; Trettin, C.C.; Hakkila, J. Hydrology and water budget for a first-order forested Atlantic Coastal Plain watershed, South Carolina. J. Am. Water Resour. Assoc. 2007, 43, 563–575. [Google Scholar] [CrossRef]
- Epps, T.; Hitchcock, D.; Jayakaran, A.D.; Loflin, D.; Williams, T.M.; Amatya, D.M. Characterization of storm flow dynamics of headwater streams in the South Carolina lower Coastal Plain. J. Am. Water Resour. Assoc. 2013, 49, 76–89. [Google Scholar] [CrossRef]
- SCS. Soil Survey of Berkeley County, South Carolina; USDA Soil Conservation Service: Washington, DC, USA, 1980.
- Hook, D.D.; Buford, M.A.; Williams, T.M. Impact of Hurricane Hugo on the South Carolina Coastal Plain forest. J. Coastal Res. 1991, 8, 291–300. [Google Scholar]
- Amatya, D.M.; Callahan, T.J.; Mukherjee, S.; Harrison, C.A.; Trettin, C.C.; Wałęga, A.; Młyński, D.; Emmett, K.D. Hydrometeorological Trends in a Low-Gradient Forested Watershed on the Southeastern Atlantic Coastal Plain in the USA. Hydrology 2024, 11, 31. [Google Scholar] [CrossRef]
- Amatya, D.M.; Callahan, T.J.; Hansen, W.F.; Trettin, C.C.; Radecki-Pawlik, A.; Meire, P. Turkey Creek—A Case Study of Ecohydrology and Integrated Watershed Management in the Low-Gradient Atlantic Coastal Plain, U.S.A. J. Water Resour. Protect. 2015, 7, 792–814. [Google Scholar] [CrossRef]
- Haley, E.B. Field Measurements and Hydrologic Modeling of the Turkey Creek Watershed, South Carolina. Master’s Thesis, College of Charleston, Charleston, SC, USA, 2007; 168p. [Google Scholar]
- Morrison, A.E. Storm Event Analysis at Varying Watershed Scales: Turkey Creek, Santee Experimental Forest. Master’s Thesis, College of Charleston, Charleston, SC, USA, 2016; p. 334. [Google Scholar]
- Amatya, D.M.; Harrison, C.A. Grass and forest potential evapotranspiration comparison using 5 methods in the Atlantic Coastal Plain. J. Hydrol. Engin. 2016, 21, 05016007. [Google Scholar] [CrossRef]
- Amatya, D.M.; Trettin, C.C.; Harrison, C.A.; Arnold, J.A. Long-term hydro-meteorology and water chemistry data from low-gradient catchments of varying scales on the Santee experimental Forest, South Carolina. Hydrol. Proc. 2022, 36, e14549. [Google Scholar] [CrossRef]
- Muwamba, A.; Amatya, D.M.; Trettin, C.C.; Glover, J.B. Comparing Nutrient Export From First, Second, And Third Order Watersheds In The South Carolina Atlantic Coastal Plain. In Headwaters to Estuaries: Advances in Watershed Science and Management, Proceedings of the Fifth Interagency Conference on Research in the Watersheds, North Charleston, SC, USA, 2–5 March 2015; Stringer, C.E., Krauss, K.W., Latimer, J.S., Eds.; U.S. Department of Agriculture Forest Service: Asheville, NC, USA, 2016. [Google Scholar]
- King, A.P.; Eckersley, R.J. Chapter 6—Inferential Statistics III: Nonparametric Hypothesis Testing. In Statistics for Biomedical Engineers and Scientists; King, A.P., Eckersley, R.J., Eds.; Academic Press: Cambridge, MA, USA, 2019; pp. 119–145. [Google Scholar] [CrossRef]
- Dung, B.X.; Gomi, T.; Miyata, S.; Sidle, R.C. Peak flow responses and recession flow characteristics after thinning of Japanese cypress forest in a headwater catchment. Hyd. Res. Let. 2012, 6, 35–40. [Google Scholar] [CrossRef]
- Dai, Z.; Trettin, C.C.; Amatya, D.M. Effects of Climate Variability on Forest Hydrology and Carbon Sequestration on the Santee Experimental Forest in Coastal South Carolina; Gen. Tech. Rep. SRS-GTR-172; USDA-Forest Service, Southern Research Station: Asheville, NC, USA, 2013; 32p. [CrossRef]
- Dyola, N.; Sigdel, S.R.; Liang, E.; Babst, F.; Camarero, J.J.; Aryal, S.; Chettri, N.; Gao, S.; Lu, X.; Sun, J.; et al. Species richness is a strong driver of forest biomass along broad bioclimatic gradients in the Himalayas. Ecosphere 2022, 13, e4107. [Google Scholar] [CrossRef]
- Ojima, D.S.; Iverson, L.R.; Sohngen, B.L.; Vose, J.M.; Woodall, C.W.; Domke, G.M.; Peterson, D.L.; Littell, L.S.; Matthews, S.N.; Anantha, M.; et al. Risk Assessment. In Climate Change and United States Forests. Advances in Global Change Research; Peterson, D., Vose, J., Patel-Weynand, T., Eds.; Springer: Dordrecht, The Netherlands, 2014; p. 57. [Google Scholar] [CrossRef]
- Amatya, D.M.; Dai, Z.; Tian, S.; Sun, G. Long-term PET and ET of two Different Forests on the Atlantic Coastal Plain. ET Special Collection. Trans. ASABE 2016, 59, 647–660. [Google Scholar] [CrossRef]
- Amatya, D.M.; Harrison, C.A.; Trettin, C.C. Hydro-meteorologic Assessment of October 2015 Extreme Precipitation Event on Santee Experimental Forest Watersheds. J. South Carol. Water Resour. 2016, 3, 19–30. [Google Scholar] [CrossRef]
- Sudduth, K.A.; Kitchen, N.R.; Wiebold, W.J.; Batchelor, W.D.; Bollero, G.A.; Bullock, D.G.; Clay, D.E.; Palm, H.L.; Pierce, F.J.; Schuler, R.T.; et al. Relating apparent electrical conductivity to soil properties across the north-central USA. Comp. Elect. Agric. 2005, 46, 263–283. [Google Scholar] [CrossRef]
- Aini, I.N.; Ezrin, M.H.; Aimrun, W. Relationship between Soil Apparent Electrical Conductivity and pH Value of Jawa Series in Oil Palm Plantation. Agr. Agr. Sci. Proc. 2014, 2, 199–206. [Google Scholar] [CrossRef]
- Beltran, B.; Amatya, D.M.; Youssef, M.A.; Jones, M.; Skaggs, R.W.; Callahan, T.J.; Nettles, J.E. Impacts of Fertilization Additions on Water chemistry of a Drained Pine Plantation in North Carolina: A Worst Case Scenario. J. Environ. Qual. 2010, 39, 293–303. [Google Scholar] [CrossRef] [PubMed]
- Bhat, S.; Hatfield, K.; Jacobs, J.M.; Lowrance, R.; Williams, R. Surface runoff contribution of nitrogen during storm events in a forested watershed. Biogeochemistry 2007, 85, 253–262. [Google Scholar] [CrossRef]
- Jiang, R.; Woli, K.P.; Kuramochi, K.; Hayakawa, A.; Shimizu, M.; Hatano, R. Hydrological process controls on nitrogen export during storm events in an agricultural watershed. Soil Sci. Plant Nutr. 2010, 56, 72–85. [Google Scholar] [CrossRef]
- Tian, S.; Youssef, M.A.; Skaggs, R.W.; Amatya, D.M.; Chescheir, G.M. Temporal variations and controlling components of nitrogen export from an artificially drained coastal forest. Environ. Sci. Technol. 2012, 46, 9956–9963. [Google Scholar] [CrossRef] [PubMed][Green Version]
- Amatya, D.M.; Chescheir, G.M.; Williams, T.M.; Skaggs, R.W.; Tian, S. Long-Term Water Table Dynamics of Forested Wetlands: Drivers and their Effects on Wetland Hydrology in The Southeastern Atlantic Coastal Plain. Wetlands 2020, 40, 65–79. [Google Scholar] [CrossRef]
- Fu, S.; Yang, Y.; Liu, B.; Liu, H.; Liu, J.; Liu, L.; Li, P. Peak flow rate response to vegetation and terraces under extreme rainstorms. Agr. Ecosyst. Environ. 2020, 288, 106714. [Google Scholar] [CrossRef]
- Neary, D.G.; Ice, G.G.; Jackson, C.R. Linkages between forest soils and water quality and quantity. Forest Ecol. Manag. 2009, 258, 2269–2281. [Google Scholar] [CrossRef]
- Tian, H.; Cheng, X.; Han, H.; Jing, H.; Liu, X.; Li, Z. Seasonal Variations and Thinning Effects on Soil Phosphorus Fractions in Larix principis-rupprechtii Mayr Plantations. Forests 2019, 10, 172. [Google Scholar] [CrossRef]
- Iliopoulou, T.; Aguilar, C.; Arheimer, B.; Bermudez, M.; Bezak, N.; Ficchi0, A.; Koutsoyiannis, D.; Parajka, J.; Polo, M.J.; Thirel, G.; et al. A large sample analysis of European rivers on seasonal river flow correlation and its physical drivers. Hydrol. Earth Syst. Sci. 2019, 23, 73–91. [Google Scholar] [CrossRef]
- Griffiths, N.A.; Jackson, C.R.; McDonnell, J.J.; Klaus, J.; Du, E.H.; Bitew, M.M. Dual nitrate isotopes clarify the role of biological processing and hydrologic flow paths on nitrogen cycling in subtropical low-gradient watersheds. J. Geophys. Res. 2016, 121, 422–437. [Google Scholar] [CrossRef]
- Thi Ha, D.; Ouillon, S.; Van Vinh, G. Water and Suspended Sediment Budgets in the Lower Mekong from High-Frequency Measurements (2009–2016). Water 2018, 10, 846. [Google Scholar] [CrossRef]
- Berg, R. Hurricane Joaquin (AL112015), 28 September–7 October 2015, National Hurricane Center Tropical Cyclone Report. 2016. Available online: https://www.nhc.noaa.gov/data/tcr/AL112015_Joaquin.pdf (accessed on 15 October 2024).
- Fok, H.S.; Chen, Y.; Ma, Z.; Ferreira, V.G.; Tenzer, R. Geographically-weighted water balance approach for satellite-hydrologic runoff estimation in Mekong Basin under ENSO. Int. J. Appl. Earth Obs. Geoinf. 2023, 118, 103234. [Google Scholar] [CrossRef]
- He, Q.; Chun, K.P.; Sum Fok, H.; Chen, Q.; Dieppois, B.; Massei, N. Water storage redistribution over East China, between 2003 and 2015, driven by intra- and inter-annual climate variability. J. Hydrol. 2020, 583, 124475. [Google Scholar] [CrossRef]






| Indicator | WS80 | WS77 | WS78 | |||
|---|---|---|---|---|---|---|
| Statistics U Mann–Whitney | ||||||
| Z | p Value | Z | p Value | Z | p Value | |
| Flow | −20.65 | 0.00 | −17.04 | 0.00 | −21.56 | 0.00 |
| Precipitation | −1.48 | 0.14 | −1.39 | 0.17 | −1.38 | 0.17 |
| WTE | −26.07 | 0.00 | −22.22 | 0.00 | NULL | NULL |
| WTERains | NULL | NULL | NULL | NULL | −23.76 | 0.00 |
| WTELenoir | NULL | NULL | NULL | NULL | −13.50 | 0.00 |
| WTEGoldsboro | NULL | NULL | NULL | NULL | −27.39 | 0.00 |
| WTELynchnurg | NULL | NULL | NULL | NULL | −21.02 | 0.00 |
| WTEWahee | NULL | NULL | NULL | NULL | −21.40 | 0.00 |
| PET | 0.65 | 0.52 | 0.65 | 0.52 | 0.65 | 0.52 |
| TDN | 13.85 | 0.00 | 8.52 | 0.00 | 8.38 | 0.00 |
| TDP | 13.74 | 0.00 | 9.71 | 0.00 | 2.73 | 0.01 |
| NH4-N | −3.10 | 0.00 | 6.28 | 0.00 | 1.86 | 0.06 |
| NO3-N | 9.67 | 0.00 | 11.14 | 0.00 | 6.54 | 0.00 |
| Temperature | −1.04 | 0.30 | −0.85 | 0.40 | 0.09 | 0.93 |
| DOC | 11.96 | 0.00 | 5.49 | 0.00 | 5.48 | 0.00 |
| Conductivity | 1.17 | 0.24 | 7.58 | 0.00 | 6.09 | 0.00 |
| DO | 2.16 | 0.03 | 2.42 | 0.02 | −3.24 | 0.00 |
| Parameter | 2011–2019 | 2011–2014 | 2015–2019 | |||||||||
|---|---|---|---|---|---|---|---|---|---|---|---|---|
| P | C/P | C | M | P | C/P | C | M | P | C/P | C | M | |
| Flow | 0.56 | 0.60 | 0.34 | 0.22 | 0.77 | 0.62 | 0.48 | 0.29 | 0.59 | 0.42 | 0.25 | 0.34 |
| Precipitation | 0.60 | 0.68 | 0.41 | 0.19 | 0.71 | 0.59 | 0.42 | 0.29 | 0.68 | 0.59 | 0.40 | 0.28 |
| WTE | 0.40 | 0.53 | 0.21 | 0.19 | 0.66 | 0.59 | 0.39 | 0.27 | 0.54 | 0.41 | 0.22 | 0.32 |
| PET | 0.66 | 0.58 | 0.38 | 0.28 | 0.73 | 0.53 | 0.39 | 0.34 | 0.73 | 0.52 | 0.38 | 0.35 |
| TDN | 0.73 | 0.91 | 0.66 | 0.07 | 0.80 | 0.90 | 0.72 | 0.08 | 0.82 | 0.82 | 0.67 | 0.15 |
| TDP | 0.55 | 0.77 | 0.42 | 0.13 | 0.71 | 0.82 | 0.58 | 0.13 | 0.70 | 0.65 | 0.46 | 0.25 |
| NH4-N | 0.46 | 0.59 | 0.27 | 0.19 | 0.59 | 0.49 | 0.29 | 0.30 | 0.56 | 0.50 | 0.28 | 0.28 |
| NO3-N+NO2-N | 0.43 | 0.66 | 0.28 | 0.15 | 0.69 | 0.58 | 0.40 | 0.29 | 0.52 | 0.53 | 0.28 | 0.24 |
| DOC | 0.75 | 0.92 | 0.69 | 0.06 | 0.77 | 0.97 | 0.75 | 0.02 | 0.86 | 0.78 | 0.67 | 0.19 |
| Temperature | 0.79 | 0.75 | 0.59 | 0.20 | 0.86 | 0.70 | 0.60 | 0.26 | 0.77 | 0.75 | 0.58 | 0.19 |
| Conductivity | 0.68 | 0.94 | 0.64 | 0.04 | 0.72 | 0.91 | 0.66 | 0.06 | 0.74 | 0.88 | 0.65 | 0.09 |
| Dissolved oxygen | 0.63 | 0.73 | 0.46 | 0.17 | 0.75 | 0.70 | 0.53 | 0.23 | 0.75 | 0.57 | 0.43 | 0.32 |
| Parameter | 2011–2019 | 2011–2014 | 2015–2019 | |||||||||
|---|---|---|---|---|---|---|---|---|---|---|---|---|
| P | C/P | C | M | P | C/P | C | M | P | C/P | C | M | |
| Flow | 0.53 | 0.59 | 0.31 | 0.22 | 0.73 | 0.55 | 0.40 | 0.33 | 0.59 | 0.44 | 0.26 | 0.33 |
| Precipitation | 0.60 | 0.68 | 0.41 | 0.19 | 0.72 | 0.59 | 0.42 | 0.30 | 0.68 | 0.59 | 0.40 | 0.28 |
| WTE | 0.45 | 0.66 | 0.30 | 0.15 | 0.61 | 0.53 | 0.32 | 0.29 | 0.60 | 0.59 | 0.35 | 0.25 |
| TDN | 0.69 | 0.87 | 0.60 | 0.09 | 0.82 | 0.84 | 0.69 | 0.13 | 0.77 | 0.79 | 0.61 | 0.16 |
| TDP | 0.50 | 0.70 | 0.35 | 0.15 | 0.62 | 0.69 | 0.43 | 0.19 | 0.64 | 0.56 | 0.36 | 0.28 |
| NH4-N | 0.53 | 0.76 | 0.40 | 0.13 | 0.66 | 0.75 | 0.50 | 0.17 | 0.64 | 0.63 | 0.40 | 0.24 |
| NO3-N+NO2-N | 0.44 | 0.75 | 0.33 | 0.11 | 0.64 | 0.77 | 0.49 | 0.15 | 0.56 | 0.68 | 0.38 | 0.18 |
| DOC | 0.67 | 0.89 | 0.60 | 0.07 | 0.78 | 0.86 | 0.67 | 0.11 | 0.80 | 0.77 | 0.62 | 0.18 |
| Temperature | 0.87 | 0.70 | 0.61 | 0.26 | 0.88 | 0.70 | 0.62 | 0.26 | 0.89 | 0.69 | 0.61 | 0.28 |
| Conductivity | 0.70 | 0.94 | 0.66 | 0.04 | 0.73 | 0.89 | 0.65 | 0.08 | 0.81 | 0.89 | 0.72 | 0.09 |
| Dissolved oxygen | 0.71 | 0.71 | 0.50 | 0.21 | 0.75 | 0.68 | 0.51 | 0.24 | 0.78 | 0.63 | 0.49 | 0.29 |
| Parameter | 2011–2019 | 2011–2014 | 2015–2018 | |||||||||
|---|---|---|---|---|---|---|---|---|---|---|---|---|
| P | C/P | C | M | P | C/P | C | M | P | C/P | C | M | |
| Flow | 0.45 | 0.50 | 0.23 | 0.23 | 0.69 | 0.47 | 0.32 | 0.37 | 0.52 | 0.33 | 0.17 | 0.35 |
| Precipitation | 0.62 | 0.69 | 0.43 | 0.19 | 0.73 | 0.62 | 0.45 | 0.28 | 0.69 | 0.61 | 0.42 | 0.27 |
| WTERains | 0.38 | 0.48 | 0.18 | 0.20 | 0.38 | 0.48 | 0.18 | 0.20 | 0.58 | 0.36 | 0.21 | 0.37 |
| WTELenoir | 0.41 | 0.55 | 0.23 | 0.18 | 0.57 | 0.42 | 0.24 | 0.33 | 0.49 | 0.44 | 0.22 | 0.27 |
| WTEGoldsboro | 0.52 | 0.77 | 0.40 | 0.12 | 0.71 | 0.76 | 0.54 | 0.17 | 0.63 | 0.73 | 0.46 | 0.17 |
| WTELynchnurg | 0.44 | 0.62 | 0.27 | 0.17 | 0.64 | 0.53 | 0.34 | 0.30 | 0.55 | 0.55 | 0.30 | 0.25 |
| WTEWahee | 0.50 | 0.71 | 0.36 | 0.15 | 0.64 | 0.56 | 0.36 | 0.28 | 0.67 | 0.73 | 0.49 | 0.18 |
| TDN | 0.74 | 0.94 | 0.70 | 0.04 | 0.77 | 0.87 | 0.67 | 0.10 | 0.77 | 0.96 | 0.74 | 0.03 |
| TDP | 0.68 | 0.86 | 0.58 | 0.10 | 0.72 | 0.69 | 0.50 | 0.22 | 0.72 | 0.89 | 0.64 | 0.08 |
| NH4-N | 0.39 | 0.61 | 0.24 | 0.15 | 0.65 | 0.58 | 0.38 | 0.27 | 0.50 | 0.56 | 0.28 | 0.22 |
| NO3-N+NO2-N | 0.36 | 0.65 | 0.23 | 0.13 | 0.62 | 0.61 | 0.38 | 0.24 | 0.46 | 0.57 | 0.26 | 0.20 |
| DOC | 0.75 | 0.96 | 0.72 | 0.03 | 0.82 | 0.86 | 0.71 | 0.11 | 0.74 | 0.98 | 0.73 | 0.01 |
| Temperature | 0.88 | 0.70 | 0.62 | 0.26 | 0.92 | 0.71 | 0.65 | 0.27 | 0.89 | 0.68 | 0.61 | 0.28 |
| Conductivity | 0.66 | 0.91 | 0.60 | 0.06 | 0.67 | 0.85 | 0.57 | 0.10 | 0.82 | 0.91 | 0.75 | 0.07 |
| Dissolved oxygen | 0.71 | 0.74 | 0.53 | 0.18 | 0.77 | 0.65 | 0.50 | 0.27 | 0.82 | 0.73 | 0.60 | 0.22 |
Disclaimer/Publisher’s Note: The statements, opinions and data contained in all publications are solely those of the individual author(s) and contributor(s) and not of MDPI and/or the editor(s). MDPI and/or the editor(s) disclaim responsibility for any injury to people or property resulting from any ideas, methods, instructions or products referred to in the content. |
© 2024 by the authors. Licensee MDPI, Basel, Switzerland. This article is an open access article distributed under the terms and conditions of the Creative Commons Attribution (CC BY) license (https://creativecommons.org/licenses/by/4.0/).
Share and Cite
Wałęga, A.; Amatya, D.M.; Trettin, C.; Callahan, T.; Młyński, D.; Vulava, V. Seasonality and Predictability of Hydrometeorological and Water Chemistry Indicators in Three Coastal Forested Watersheds. Sustainability 2024, 16, 9756. https://doi.org/10.3390/su16229756
Wałęga A, Amatya DM, Trettin C, Callahan T, Młyński D, Vulava V. Seasonality and Predictability of Hydrometeorological and Water Chemistry Indicators in Three Coastal Forested Watersheds. Sustainability. 2024; 16(22):9756. https://doi.org/10.3390/su16229756
Chicago/Turabian StyleWałęga, Andrzej, Devendra M. Amatya, Carl Trettin, Timothy Callahan, Dariusz Młyński, and Vijay Vulava. 2024. "Seasonality and Predictability of Hydrometeorological and Water Chemistry Indicators in Three Coastal Forested Watersheds" Sustainability 16, no. 22: 9756. https://doi.org/10.3390/su16229756
APA StyleWałęga, A., Amatya, D. M., Trettin, C., Callahan, T., Młyński, D., & Vulava, V. (2024). Seasonality and Predictability of Hydrometeorological and Water Chemistry Indicators in Three Coastal Forested Watersheds. Sustainability, 16(22), 9756. https://doi.org/10.3390/su16229756

