Next Article in Journal
Multi-Scale Supply and Demand Relationships of Ecosystem Services Under Multiple Scenarios and Ecological Zoning to Promote Sustainable Urban Ecological Development in Arid Regions of China
Next Article in Special Issue
Smart Integration of Renewable Energy Sources Employing Setpoint Frequency Control—An Analysis on the Grid Cost of Balancing
Previous Article in Journal
Energy Poverty and Poor Buildings: A Brief Literature Review to Promote New Topics for Future Studies
 
 
Font Type:
Arial Georgia Verdana
Font Size:
Aa Aa Aa
Line Spacing:
Column Width:
Background:
Article

Analysis and Design of a Recyclable Inductive Power Transfer System for Sustainable Multi-Stage Rocket Microgrid with Multi-Constant Voltage Output Characteristics—Theoretical Considerations

by
Peng Gu
*,
Shibo Wang
and
Bowen Zhou
College of Information Science and Engineering, Northeastern University, Shenyang 110819, China
*
Author to whom correspondence should be addressed.
Sustainability 2024, 16(22), 9640; https://doi.org/10.3390/su16229640
Submission received: 18 September 2024 / Revised: 2 November 2024 / Accepted: 4 November 2024 / Published: 5 November 2024
(This article belongs to the Special Issue Recent Advances in Smart Grids for a Sustainable Energy System)

Abstract

After a traditional one-time rocket is launched, most of its parts will fall into the atmosphere and burn or fall into the ocean. The parts cannot be recycled, so the cost is relatively high. Multi-stage rockets can be recovered after launch, which greatly reduces the cost of space launches. Moreover, recycling rockets can reduce the generation of waste and reduce pollution and damage to the environment. With the reduction in rocket launch costs and technological advances, space exploration and development can be carried out more frequently and economically. It provides technical support for the sustainable use of space resources. It not only promotes the sustainable development of the aerospace field but also has a positive impact on global environmental protection, resource utilization, and economic development. In order to adapt to the stage-by-stage separation structure of the rocket, this paper proposes a new multi-stage rocket inductive power transfer (IPT) system to power the rocket microgrid. The planar coil structure is used to form wireless power transfer between each stage of the rocket, reducing the volume of the magnetic coupling structure. The volume of the circuit topology structure is reduced by introducing an auxiliary coil. An equivalent three-stage S/T topology is proposed, and the constant voltage output characteristics of multiple loads are analyzed. A multi-stage coil structure is proposed to supply power to multiple loads simultaneously. In order to eliminate undesired magnetic coupling between coils, ferrite cores are added between coils for effective electromagnetic shielding. The parameters of the magnetic coupling structure are optimized based on the finite element method (FEM). A prototype of the proposed IPT system is built to simulate a multi-stage rocket. A series of experiments are conducted to verify the advantages of the proposed IPT system, and the three-stage rocket system efficiency reached 88.5%. This project is theoretical. Its verification was performed only in the laboratory conditions.

1. Introduction

IPT systems have the advantages of safe, convenient, and efficient energy transfer and have been widely used in many technological fields, including electric vehicles [1], autonomous underwater submarines [2], unmanned aerial vehicles [3], biomedical implants [4], Internet of Things devices [5], and consumer electronics [6]. In the context of space exploration, IPT technology can play a key role in powering rockets, satellites, and other space equipment [7].
IPT technology can be used to provide power between rockets and the ground, and between rocket stages. However, the traditional IPT system has a short transfer distance and only includes primary and secondary circuits [8], which cannot meet the power supply requirements of multi-stage rocket systems. In recent years, IPT technology has been applied to long-distance multi-load applications, and an increasing number of scholars have conducted research in this field. Since the mutual inductance between the transmitting coil and the receiving coil decreased as the transfer distance increased, the output power and transfer efficiency of the system were significantly reduced [9,10]. For example, an IPT system with a transfer distance of 7 m was proposed in article [11]. Although a larger ferrite core was used, its transfer power and efficiency were both low. A low-profile coplanar magnetically coupled resonant wireless power transfer system was proposed in [12] to achieve efficient long-distance wireless power transfer. The system can be expanded in sections to power receivers over long distances.
Some scholars have proposed using relay coils to achieve effective long-distance wireless power transfer [13,14], which had great advantages in long-distance IPT systems and multi-load IPT systems. First, the IPT system, with the addition of a relay coil, could transmit power over long distances and had a high system efficiency. However, due to the appearance of repeater coils, the magnetic field could be continuously enhanced along the power transfer route [15]. Therefore, sufficient power transfer can be realized, and the efficiency can be improved [16,17]. Secondly, the system with relay coils can not only supply power to multiple loads [18] but also change the position of the intermediate coil to guide the direction of power transfer [19].
In actual industrial applications, if the load powers are interdependent, the system requires a complex control mechanism. Therefore, in a multi-load system, the power distribution balance between different power relays is considered to be an important design criterion. Three methods to achieve equal power output for multiple loads were proposed in the literature [20]. The working principle of the remote power relay system was analyzed in detail in the literature to achieve the same power output for the loads. In long-distance multi-load applications, in order to reduce the influence of mutual inductance of adjacent coils, a repeater coil consisting of two orthogonal coils was used, and multiple loads in the system were powered by the repeater [21]. In Refs. [22,23], a domino-based unipolar coupler was proposed to achieve load-independent output characteristics. The principle was to suppress the cross-coupling between adjacent domino coils by adding ferrite and aluminum sheets between them.
An IPT system is usually expected to have high power, high efficiency, and long transfer distance. In addition, load-independent output characteristics are also a desired characteristic. This means that the IPT system can maintain a constant current (CC) or constant voltage (CV) output despite load changes. For example, series connection (SS) and LCC-LCC topologies can achieve CC output [24,25], LCC-S topology can achieve CV output [26], and hybrid topology with switches can achieve CC/CV output [27]. The study of these topologies is limited to a single load, and multiple load circuit topologies have not been studied. Existing multi-load IPT systems were studied, and SS topology, T-type and π-type compensation networks were analyzed in the article [28]. A method for systematically constructing a domino-type IPT topology with multiple load-independent constant current (CC) or constant voltage (CV) outputs was provided.
In addition, in the domino IPT system, parasitic resistance has a great influence on the load-independent characteristics of the system. Therefore, a system using the middle domino coil as a power source to supply power to both sides was proposed in [29]. This system significantly reduced the effect of parasitic resistance on load current fluctuations. Similarly, a bilateral excitation method was proposed and designed in [30].
The power supply system of a multi-stage rocket is not only very complicated, but there is also the problem of the thrusters falling off stage by stage during the launch process. Electrical energy needs to be transmitted between each stage of the rocket through specially designed mechanical interfaces. Therefore, in order to ensure the reliability of the power supply system during flight, the mechanical interfaces between each stage are usually heavier, reducing the payload. During the detachment process of the rocket’s thrusters, if the mechanical interface cannot be detached, it will have a catastrophic impact on the rocket’s flight. Therefore, it is necessary to design IPT solutions for multi-stage rockets to avoid the above-mentioned safety hazards.
An IPT system for powering a rocket microgrid is proposed in this paper, and the system concept diagram is shown in Figure 1. The magnetic coupling structure preferably uses a planar circular coil to reduce the volume occupied. By introducing an auxiliary compensation coil, an equivalent three-stage S/T topology structure is proposed. This topology reduces the circuit volume, makes the system more compact, and improves the system power density and integration. The rest of this article is organized as follows:
In Section 2, the output characteristics of the proposed equivalent three-stage S/T circuit topology are analyzed, and a reference for the optimization of the magnetic coupling structure parameters is obtained. The magnetic coupling structure of the multi-stage and multi-load IPT system is designed, and the parameters are optimized by the FEM in Section 3. In Section 4, an experimental prototype is built, and the experimental conclusions are verified. Finally, the entire paper is summarized in Section 5.

2. Circuit Topology Analysis

Considering the structure of a multi-stage rocket, a system is required to reliably and efficiently power each stage and ensure stable output. Therefore, a new type of magnetic coupling structure is designed in this paper, and the equivalent circuit topology of the structure is shown in Figure 2. Since each stage of a multi-stage rocket is relatively long, the coils between each stage can be considered to have no effect on each other. Therefore, the mutual inductance between the rocket stages is ignored in the analysis.
The circuit is mainly composed of a DC power supply, a load, a full-bridge inverter circuit, a rectifier circuit, a magnetic coupling structure, and a compensation capacitor. Among them, Uin is the DC voltage source, UMN is the inverter output voltage, U1, U2, and U3 are the rectifier input voltages, and Uout1, Uout2, and Uout3 are the load voltages. Q1Q4 are MOSFETs of the full-bridge inverter, and D11D34 are diodes of the rectifier circuit. LA1, LA2, LA3, LP1, LP2, LP3, LS1, LS2, and LS3 are the self-inductance of each coil in the three-stage circuit. CP1, CP2, CP3, CS1, CS2, CS3, CA1, CA2, and CA3 represent the compensation capacitance of each coil. MAP1, MAP2, MAP3, MPS1, MPS2, MPS3, MAS1, MAS2, and MAS3 are the mutual inductances between coils. C0C4 are filter capacitors, and R1, R2, R3, R4, R5, and R6 represent the equivalent series resistance (ESR) of the circuit.
The circuit consists of a rocket power supply unit, first stage power supply unit, second stage power supply unit, and third stage power supply unit. The receiving coil between each power supply unit is connected to the auxiliary coil of the next level through a wire. The load is connected in parallel at both ends of the wire to obtain power through the rectifier of each level. The ESR of the circuit is very low compared to the reactance value, so it can be ignored in the circuit characteristic analysis. The ideal controlled source equivalent model of the system is established as shown in Figure 3.
According to the characteristics of the full-bridge inverter circuit and the full-bridge rectifier circuit, Uin and RLi can be converted to the AC side circuit to obtain UMN and the equivalent load Reqi:
U MN = 2 2 U in π ,
R eqi = 8 R Li π 2   i = 1 , 2 , 3 .
According to Kirchhoff’s laws for circuits:
{ U MN = j ω L A 1 I MN + 1 j ω C A 1 I MN j ω M AP 1 I P 1 j ω M AS 1 I S 1 j ω M AP 1 I MN + j ω M PS 1 I S 1 = j ω L P 1 I P 1 + 1 j ω C P 1 I P 1 j ω M PS 1 I P 1 + j ω M AS 1 I MN = j ω L S 1 I S 1 + 1 j ω C S 1 I S 1 + R eq 1 I 1 U 1 = j ω L A 2 I A 2 + 1 j ω C A 2 I A 2 j ω M AP 2 I P 2 j ω M AS 2 I S 2 j ω M AP 2 I A 2 + j ω M PS 2 I S 2 = j ω L P 2 I P 2 + 1 j ω C P 2 I P 2 j ω M PS 2 I P 2 + j ω M AS 2 I A 2 = j ω L S 2 I S 2 + 1 j ω C S 2 I S 2 + R eq 2 I 2 U 2 = j ω L A 3 I A 3 + 1 j ω C A 3 I A 3 j ω M AP 3 I P 3 j ω M AS 3 I S 3 j ω M AP 3 I A 3 + j ω M PS 3 I S 3 = j ω L P 3 I P 3 + 1 j ω C P 3 I P 3 j ω M PS 3 I P 3 + j ω M AS 3 I A 3 = j ω L S 3 I S 3 + 1 j ω C S 3 I S 3 + R eq 3 I 3 .
The IPT system is mainly composed of multiple mutually coupled inductors, so there is a large reactive power loss. In order to improve the transmission efficiency of the IPT system, reactive power compensation is required. Based on the application scenario of high integration of rocket, the use of series compensation without compensation inductors greatly reduces the volume of the compensation circuit. When the circuit resonates, the following formula can be applied:
ω L ij 1 ω C ij = 0     i = A , P , S   j = 1 , 2 , 3 ,
Therefore, the circuit formula in (3) can be simplified to:
{ U MN = j ω M AP 1 I P 1 j ω M AS 1 I S 1 j ω M AP 1 I MN + j ω M PS 1 I S 1 = 0 j ω M PS 1 I P 1 + j ω M AS 1 I MN = R eq 1 I 1 U 1 = j ω M AP 2 I P 2 j ω M AS 2 I S 2 j ω M AP 2 I A 2 + j ω M PS 2 I S 2 = 0 j ω M PS 2 I P 2 + j ω M AS 2 I A 2 = R eq 2 I 2 U 2 = j ω M AP 3 I P 3 j ω M AS 3 I S 3 j ω M AP 3 I A 3 + j ω M PS 3 I S 3 = 0 j ω M PS 3 I P 3 + j ω M AS 3 I A 3 = R eq 3 I 3 .
Due to the existence of non-adjacent mutual inductance MAS, the circuit model of the system is seriously complicated. MAS is smaller than MAP and MPS, so it is ignored during circuit analysis. In the system design in the following chapters, the design will be optimized for MAS. The circuit can be simplified into a multi-unit circuit as shown in Figure 4.
Because the circuit structures of each unit are similar, they are converted into the circuit shown in Figure 4 for analysis, where n = 3. In Figure 5, there are two reflected impedances, Zn−1_s and Zn−1_p. Zn−1_p can be calculated according to the mutual inductance model as:
Z n 1 _ p = ω 2 M APn 2 Z n _ s = M APn 2 R eqn M PSn 2 ,
The reflected impedance, Z0_p, of the power supply unit can also be calculated by Equation (5).
Z n 1 _ s = ω 2 M PSn 1 2 ( Z n 1 _ p + R eqn 1 ) Z n 1 _ p R eqn 1 ,
For the N unit, there is no next stage, so only Z3_s exists.
According to Kirchhoff’s law:
{ j ω M APn 1 I n 2 _ p = Z n 1 _ s I n 1 _ s j ω M PSn 1 ( I n 1 _ s I sn 1 ) = I sn 1 ( j ω L Sn 1 + 1 j ω C Sn 1 M PSn 1 ) + U n 1 U n 1 = I n 1 _ p ( j ω L An + 1 j ω C An + Z n 1 _ p ) ,
In this case, according to Formula (7), the load voltage of each stage can be calculated as:
U n - 1 = ω 2 M PSn 1 M APn 1 I n 2 _ p Z n 1 _ s = ω 2 M PSn 1 M APn 1 Z n 1 _ s U n 2 Z n 2 _ p   = M PSn 1 M APn 1 U n 2 ,
It can be concluded that the load voltage depends only on the mutual inductance, MPS and MAP, and the formula is also applicable in the n stage. Therefore, the transformation ratio, Gn, of each stage circuit is:
G n = | U n | | U n 1 | = M PSn M APn       n = 1 , 2 , 3 .

3. Design and Optimization of Magnetic Coupling Structures

As mentioned above, in the IPT system proposed in this paper, electromagnetic induction between the auxiliary coils, the transmitting coils, and the receiving coils is used to transfer power. The magnetic coupling strength of adjacent coils should be large enough to improve the power transfer capability. The cross-inductance between other non-adjacent coils should be as small as possible to reduce the impact on the transmission stability of the system. The ferrite cores have the function of guiding and constraining the magnetic lines of force, so this requirement will be met by adding a ferrite core to the magnetic coupling structure of the planar coils.
The three-stage magnetic coupling structure is built as shown in Figure 6, and the structure of each stage is exactly the same. The distance between the transmitting coil and the receiving coil of each stage is represented by D1, and the distance between two adjacent magnetic coupling structures is represented by D2. RA is the radius of the auxiliary coil, RP and RS is the radius of the transmitting coil and the receiving coil, respectively. TF and LF are the thickness and side length of the ferrite core plate, respectively. In order to simulate the multi-stage rocket structure, RP and RS are set to 100 mm, D1 is set to 35 mm, and D2 is set to 350 mm.
In order to verify the wireless power transfer capability of the proposed three-stage magnetic coupling structure, based on the FEM, the two-dimensional magnetic field distribution diagram of the magnetic coupling structure as shown in Figure 7 is obtained.
In Figure 7, the left side is the front view of the two-dimensional magnetic induction intensity distribution, and the right side is the vector distribution diagram of the magnetic induction intensity. It can be found that there are many obvious magnetic field hinges in the direction of power transfer. This shows that the magnetic field of the three-stage magnetic coupling structure based on the planar coil is effectively utilized in the transmission interval. Therefore, it has a higher magnetic coupling strength. This is beneficial to the power transfer between the rocket stages.
In this section, in order to reduce the influence of cross-coupling between the auxiliary coil and the receiving coil in each stage, ferrite cores are added between the coils to weaken the influence of cross-inductance MAS. Since the magnetic coupling structures of each stage are exactly the same and the distance between two adjacent stages D2 is long, the mutual influence between each stage can be ignored. In the following analysis, a single-stage magnetic coupling structure is taken as an example.
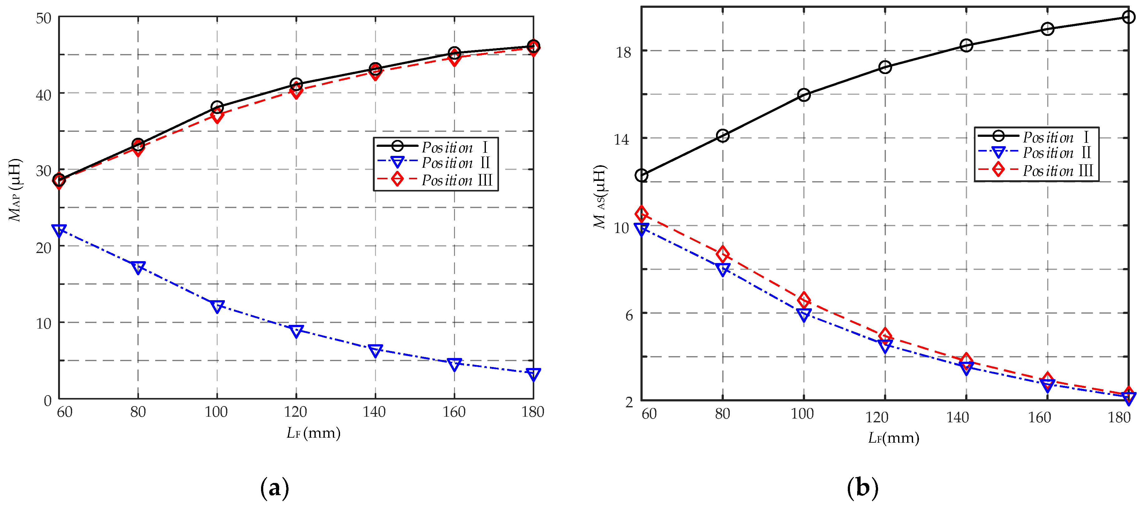
The Influence of the position of the ferrite core on each mutual inductance is studied and analyzed. Finite element simulation is performed in ANSYS Maxwell 2016. When the core is located at three different positions, the mutual inductance values of MAP and MAS are obtained as the length of the core changed. The simulation results are shown in Figure 8.
In Figure 8, position I is below the auxiliary coil, position II is between the auxiliary coil and the primary coil, and position III is above the primary coil. As can be seen from Figure 8a, when the ferrite core is placed at position II, the MAP value decreases as the length of the ferrite core increases. This is not conducive to power transfer between coils, so this unexpected situation is excluded. When the ferrite core is at position I and position III the MAP value increases as the length of the ferrite core increases. As can be seen from Figure 8b, the ferrite core at position III causes the MAS value to decrease accordingly as the length of the ferrite core increases. According to the analysis of the three-stage equivalent S/T circuit topology in Section 2, the value of MAS in the magnetic coupling structure should be sufficiently weak. Therefore, the position of the core is selected above the primary coil.
The change in mutual inductance under different auxiliary coil radius, RA, and ferrite core side length, LF, is shown in Figure 9. Figure 9a shows that RA and LF have a greater impact on the value of MAP/MAS. In addition, MAP and MAS both increase with the increase in coil radius. Furthermore, the increase of MAS is greater than MAP, so the value of MAP/MAS becomes smaller. As the side length of the ferrite core increases, the value of MAP/MAS shows a trend of increasing, and the degree of change is more significant. The influence of RA and LF on the mutual inductance, MPS, between the transmitting coil and the receiving coil is shown in Figure 9b. As LF increases, the magnetic coupling between the transmitting coil and the receiving coil is shielded by the ferrite core, so the MPS is significantly reduced. The variation in the auxiliary coil radius will hardly change the value of MPS. Therefore, to reduce the impact on the mutual inductance, MPS, between the transmitting coil and the receiving coil, LF, should be limited to a certain extent. In summary, LF is selected as 100 mm in this paper.
The thickness, TF, of the ferrite core is also a parameter that needs to be considered and will be optimized according to its influence on the mutual inductance. The simulation curve of the coupling coefficient as the thickness of the ferrite core changes is shown in Figure 10. The coupling coefficient increases with the increase in ferrite thickness, but the increase is slight. For example, when the thickness is 1 mm, the mutual inductance is 36.64 μH; when the thickness increases to 5 mm, the mutual inductance increases to 38.01 μH. The thickness, volume, and mass of the ferrite core increases by five times, but the coupling coefficient increases by only 3.74%. From the perspective of practicality and cost, a thinner ferrite core is more suitable. However, too thin of ferrite thickness means easy breakage and potential magnetic saturation problems. Therefore, the thickness of the ferrite core is selected to be 2 mm.
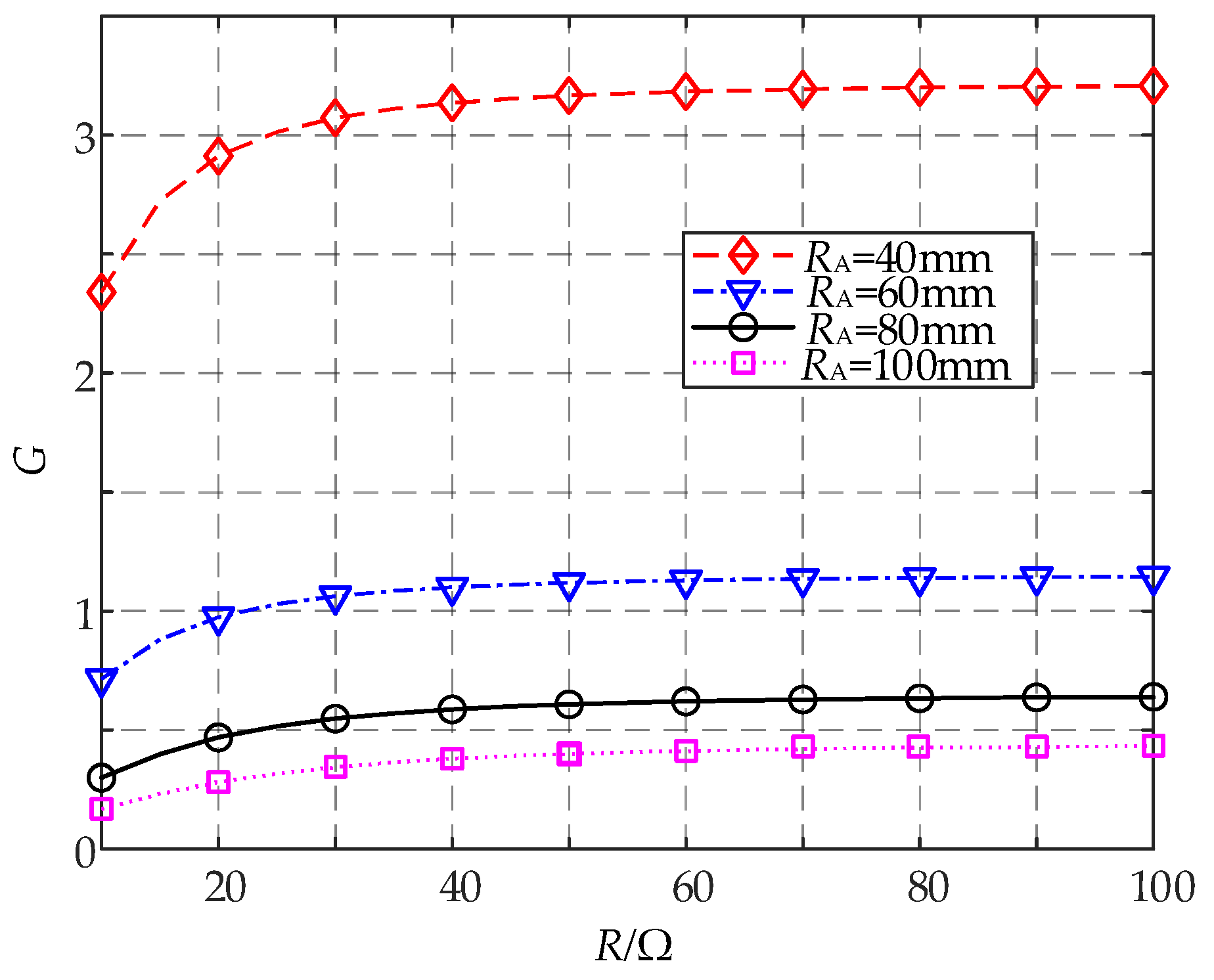
The voltage transformation ratio of the system under different auxiliary coil radiuses obtained is shown in Figure 11. From the circuit analysis, it can be seen that the transformation ratio, G, is only related to MPS and MAP. Since MPS is independent of the size of the auxiliary coil radius, RA, when the core position and side length are determined, the mutual inductance, MPS, between the primary coil and the receiving coil is determined. In order to obtain the same voltage level on each stage of the rocket, the voltage ratio, G ≈ 1, is desired. By changing the size of the auxiliary coil, the value of the mutual inductance MAP is changed, so that the transformation ratio is adjusted to the required value. As shown in Figure 11, when RA = 60 mm, the voltage gain is approximately equal to 1. Therefore, the auxiliary coil radius is selected as 60 mm to ensure that the rocket loads at each stage can obtain the same voltage.

4. Experimental Verification

The prototype of the system is built, and the wireless transfer capability of the proposed three-stage magnetic coupling structure is verified. The three-stage IPT system is shown in Figure 12. Each stage of the three-stage rocket is distinguished by a red frame. The detailed parameters of the system are shown in Table 1.
The output voltage characteristics of the IPT system obtained through experiments are shown in Figure 13. The experimental results of the output voltage are represented by the curves in the figure. The experimental conditions are that the input voltage is 72 V, the load of one stage is changed from 20 Ω to 250 Ω, and the resistance of the other two stages is fixed at 40 Ω. In addition, the output voltage shown in the figure fluctuates with the load change. The larger the load, the closer it is to the constant voltage output. Because of the large current in each stage under the light load state, a large voltage loss occurs on the ESR in the coil. The tiny cross-inductance, MAS, that is not completely eliminated also affects the output voltage. When the load increases, the current in each stage of the coil decreases, the above two effects decrease, and the output voltage tends to be stable. The IPT system approximately presents a constant voltage output characteristic.
Under the same conditions as Figure 13, the efficiency and output power of the IPT system are obtained through experiments, and the results are shown in Figure 14. Among them, (a), (b), and (c), respectively, represent the power and efficiency of each stage of the system when the load resistance of the other two groups is fixed at 40 Ω under the change of R1, R2, and R3. The output power of each stage of the three-stage rocket and the total output power of the system are shown in the histogram. The trend of the change in the overall efficiency of the IPT system is shown in the curve. In Figure 14, the power of each stage is distinguished by different colors. The power corresponds to the orange y-axis on the left, and the efficiency corresponds to the magenta y-axis on the right. In Figure 14a, when the load resistance value R1 is 20 Ω, the IPT system can reach the single-stage maximum power. The single-stage maximum power is indicated by the blue arrow in Figure 14a, and the single-stage maximum output power Pout1 = 87.08 W. In Figure 14c, when R3 = 250 Ω, the maximum power of the three-level IPT system is 168.1 W. From Figure 14 it can be seen the efficiency of the IPT system is stable and maintained at a high level. In Figure 14b, when the load resistance is 250 Ω, the maximum efficiency of the IPT system is 88.5%, which is very beneficial for the high power density required by the rocket.
Taking the maximum power and maximum efficiency group of the multi-stage IPT system in Figure 14 as an example, the AC waveform and DC waveform of each load are measured by an oscilloscope as shown in Figure 15. According to the AC waveform, it can be seen that there are obvious harmonics in the waveforms of the first-stage load and the second-stage load, while there are almost no harmonics in the third-stage load. Since the rear-stage circuit affects the front-stage circuit, it is reflected in the input impedance of each stage, resulting in different high-order harmonics in each stage. The third-stage load has no subsequent circuit, and the harmonics are not obvious. Due to the presence of harmonics, the DC waveform in Figure 15 also fluctuates to a certain extent. In addition, the presence of filter capacitors, C0C4, limits the fluctuation of the DC waveform to a lower level.
The research on long-range, multi-load IPT systems has been analyzed in recent years [20,21,23,31,32]. The comparisons between the systems proposed in this paper and other works are shown in Table 2. Compared with other systems in Table 2, the proposed system uses fewer power transmission coils to achieve greater power transmission efficiency. In addition, the stray coupling between the coils is effectively shielded by the ferrite core. An equivalent S-T topology is adopted in this paper, and the load-independent characteristics with multiple constant voltage outputs are realized.

5. Conclusions

A multi-level IPT system is proposed in this paper, and constant voltage power supply for multiple loads is achieved by the multi-stage coil structure. Multiple planar circular coils are adopted, and the volume of the magnetic coupling structure is greatly reduced. An equivalent three-stage S/T circuit model is established, and the transmission characteristics of each stage are analyzed. According to the power wireless transfer characteristics of each stage, the parameters of the multi-stage magnetic coupling structure are optimized based on FEM to achieve constant voltage output of each stage of load. By adding ferrite cores to the transmitting coils at each stage, the cross-inductance generated between non-adjacent coils is effectively reduced, reducing its impact on the power wireless transfer of the system. A three-stage IPT system prototype is built, and multiple groups of experiments under three different load conditions are completed. The single-stage maximum output power of the IPT system can reach 87.08 W, the total output power can exceed 168 W, and the efficiency reaches 88.52%.

6. Limitations and Future Research Recommendations

Although this study proposed a recyclable inductive power transfer (IPT) system for multi-stage rocket microgrids and demonstrated its good constant voltage output performance, the system still has some limitations that can be further optimized and solved in future work:
In the design of this paper, to simplify the analysis, it is assumed that the mutual inductance effect between the rocket stages is negligible. However, in practical applications, the electromagnetic coupling between the rocket stages may lead to mutual inductance, which may affect the efficiency of power transmission and system stability. Future research should consider more complex electromagnetic coupling models to optimize power transmission between rocket stages and reduce the negative impact of mutual inductance.
In addition, rockets experience extreme environmental conditions such as high temperature, strong vibration, and severe mechanical stress during launch and flight. Under these extreme conditions, the performance of power transmission coils, electronic components, and magnetic coupling structures may be affected. More experiments should be conducted in future work to verify the durability and reliability of the system under extreme conditions.
Finally, the experimental verification in this paper was carried out in a laboratory environment. Although the results show that the system achieved the expected efficiency under these conditions, the experimental scale is limited and has not been tested in actual rocket launches or similar environments. Future research can further verify the system’s performance in a real flight environment through field testing and identify potential problems that may arise.

Author Contributions

Conceptualization, P.G., B.Z. and S.W.; methodology, B.Z.; software, S.W.; validation, P.G., B.Z. and S.W.; formal analysis, P.G.; investigation, B.Z.; resources, S.W.; data curation, S.W.; writing—original draft preparation, P.G.; writing—review and editing, P.G., B.Z. and S.W.; visualization, P.G.; supervision, P.G.; project administration, P.G.; funding acquisition, P.G. All authors have read and agreed to the published version of the manuscript.

Funding

This research was funded in part by Fundamental Research Funds for the Central Universities N2404016, in part by Postdoctoral Research Fund of Northeastern University 20240203.

Institutional Review Board Statement

Not applicable.

Informed Consent Statement

Not applicable.

Data Availability Statement

The data presented in this study are available on request from the corresponding author. The data are not publicly available due to privacy restrictions.

Conflicts of Interest

The authors declare no conflicts of interest.

References

  1. Iqbal, S.; Alshammari, N.F.; Shouran, M.; Massoud, J. Smart and Sustainable Wireless Electric Vehicle Charging Strategy with Renewable Energy and Internet of Things Integration. Sustainability 2024, 16, 2487. [Google Scholar] [CrossRef]
  2. Chen, F.; Zhang, J.; Cui, S.; Bie, Z.; Zhu, C. A novel pendulum-type magnetic coupler with high misalignment tolerance for AUV underwater wireless power transfer systems. IEEE Trans. Power Electron. 2023, 38, 14861–14871. [Google Scholar]
  3. Chai, W.; Zhang, H.; Wu, S.; Cai, C. Design of two orthogonal transmitters with double l-type ferrite for the wireless charging system in unmanned aerial vehicles. IEEE Trans. Transp. Electrif. 2022, 9, 1985–1992. [Google Scholar] [CrossRef]
  4. Nguyen, D.H. Optical wireless power transfer for implanted and wearable devices. Sustainability 2023, 15, 8146. [Google Scholar] [CrossRef]
  5. Gehlot, A.; Alshamrani, S.S.; Singh, R.; Rashid, M.; Akram, S.V.; AlGhamdi, A.S.; Albogamy, F. RInternet of things and long-range-based smart lampposts for illuminating smart cities. Sustainability 2021, 13, 6398. [Google Scholar] [CrossRef]
  6. Zhang, Y.; Chen, S.; Li, X.; Tang, Y. Design methodology of free-positioning nonoverlapping wireless charging for consumer electronics based on antiparallel windings. IEEE Trans. Ind. Electron. 2021, 69, 825–834. [Google Scholar] [CrossRef]
  7. Hassan, A.; Trigui, A.; Shafique, U.; Savaria, Y.; Sawan, M. Wireless power transfer through metallic barriers enclosing a harsh environment; feasibility and preliminary results. In Proceedings of the 2016 IEEE International Symposium on Circuits and Systems (ISCAS), Montréal, QC, Canada, 22–25 May 2016; pp. 2391–2394. [Google Scholar]
  8. Geng, Y.; Guo, Q.; Yang, Z.; Lin, F.; Wang, Y. Design and optimization of real-time strong coupling coil of dynamic wireless power transfer for electrical vehicle. IEEE Trans. Veh. Technol. 2023, 72, 11495–11504. [Google Scholar] [CrossRef]
  9. Choi, B.G.; Sohn, Y.-H.; Lee, E.S.; Han, S.H.; Kim, H.R.; Rim, C.T. Coreless transmitting coils with conductive magnetic shield for wide-range ubiquitous IPT. IEEE Trans. Power Electron. 2018, 34, 2539–2552. [Google Scholar] [CrossRef]
  10. Liu, W.; Sun, L.; Su, M.; Bai, L.; You, J.; Shi, X. Research on Multi-Level Positioning of Underwater Wireless Power Supply Base Station. In Proceedings of the 2023 IEEE International Conference on Electrical, Automation and Computer Engineering (ICEACE), Changchun, China, 29–31 December 2023; pp. 513–516. [Google Scholar]
  11. Choi, B.H.; Lee, E.S.; Kim, J.H.; Rim, C.T. 7m-off-long-distance extremely loosely coupled inductive power transfer systems using dipole coils. In Proceedings of the 2014 IEEE Energy Conversion Congress and Exposition (ECCE), Pittsburgh, PA, USA, 15–18 September 2014. [Google Scholar]
  12. Luo, B.; Ma, D.; Han, W.; Liu, J. Extensible low-profile coplanar wireless power transfer system for multiload applications with load-independence constant current output. IEEE Trans. Ind. Electron. 2021, 69, 11187–11197. [Google Scholar] [CrossRef]
  13. Zhang, Y.; Lu, T.; Zhao, Z.; Chen, K.; He, F.; Yuan, L. Wireless power transfer to multiple loads over various distances using relay resonators. IEEE Microw. Wirel. Compon. Lett. 2015, 25, 337–339. [Google Scholar] [CrossRef]
  14. Zhong, W.; Lee, C.K.; Hui, S.R. General analysis on the use of Tesla’s resonators in domino forms for wireless power transfer. IEEE Trans. Ind. Electron. 2011, 60, 261–270. [Google Scholar] [CrossRef]
  15. Liu, Y.; Zhang, S.; Zhang, R.; Cheng, C.; Hua, W. A Unipolar Coil-Based Multi-Load Inductive Power Transfer System with Decoupling Compensation Design. In Proceedings of the 2023 26th International Conference on Electrical Machines and Systems (ICEMS), Zhuhai, China, 5–8 November 2023; pp. 4616–4620. [Google Scholar]
  16. Zhou, H.; Deng, J.; Hua, W.; Cui, X.; Li, X.-Y.; Yang, P. PROCS: Power routing and current scheduling in multi-relay magnetic MIMO WPT system. IEEE Trans. Mob. Comput. 2021, 22, 1702–1716. [Google Scholar] [CrossRef]
  17. Fu, M.; Yin, H.; Liu, M.; Wang, Y.; Ma, C. A 6.78 MHz multiple-receiver wireless power transfer system with constant output voltage and optimum efficiency. IEEE Trans. Power Electron. 2017, 33, 5330–5340. [Google Scholar] [CrossRef]
  18. Sun, L.; Tang, H.; Zhong, S. Load-independent output voltage analysis of multiple-receiver wireless power transfer system. IEEE Antennas Wirel. Propag. Lett. 2015, 15, 1238–1241. [Google Scholar] [CrossRef]
  19. Zhong, W.X.; Lee, C.K.; Hui, S. Wireless power domino-resonator systems with noncoaxial axes and circular structures. IEEE Trans. Power Electron. 2011, 27, 4750–4762. [Google Scholar] [CrossRef]
  20. Lu, F.; Zhang, H.; Li, W.; Zhou, Z.; Zhu, C.; Cheng, C.; Deng, Z.; Chen, X.; Mi, C.C. A high-efficiency and long-distance power-relay system with equal power distribution. IEEE J. Emerg. Sel. Top. Power Electron. 2019, 8, 1419–1427. [Google Scholar] [CrossRef]
  21. Cheng, C.; Zhou, Z.; Li, W.; Zhu, C.; Deng, Z.; Mi, C.C. A multi-load wireless power transfer system with series-parallel-series compensation. IEEE Trans. Power Electron. 2019, 34, 7126–7130. [Google Scholar] [CrossRef]
  22. Wang, Y.; Dongye, Z.; Zhang, H.; Zhu, C.; Lu, F. A domino-type load-independent inductive power transfer system with hybrid constant-current and constant-voltage outputs. IEEE Trans. Power Electron. 2021, 36, 8824–8834. [Google Scholar] [CrossRef]
  23. Chen, W.; Li, H.; Lu, W. Decoupling design of multi-coil wireless power transfer system with metal insulator. In Proceedings of the 2017 IEEE PELS Workshop on Emerging Technologies: Wireless Power Transfer (WoW), Chongqing, China, 20–22 May 2017; pp. 30–33. [Google Scholar]
  24. Li, W.; Zhao, H.; Deng, J.; Li, S.; Mi, C.C. Comparison study on SS and double-sided LCC compensation topologies for EV/PHEV wireless chargers. IEEE Trans. Veh. Technol. 2015, 65, 4429–4439. [Google Scholar] [CrossRef]
  25. Li, S.; Li, W.; Deng, J.; Nguyen, T.D.; Mi, C.C. A double-sided LCC compensation network and its tuning method for wireless power transfer. IEEE Trans. Veh. Technol. 2015, 64, 2261–2273. [Google Scholar] [CrossRef]
  26. Hou, S.; Yu, B.; Wu, Z. Hybrid compensation topology for constant current/voltage charging mode of EV wireless chargers. In Proceedings of the 2020 IEEE Sustainable Power and Energy Conference (iSPEC), Chengdu, China, 23–25 November 2020; pp. 369–375. [Google Scholar]
  27. Zhang, H.; Chen, Y.; Park, S.-J.; Kim, D.-H. A hybrid compensation topology with single switch for battery charging of inductive power transfer systems. IEEE Access 2019, 7, 171095–171104. [Google Scholar] [CrossRef]
  28. Wang, Y.; Dongye, Z.; Kheirollahi, R.; Zhang, H.; Zheng, S.; Lu, F. Review of load-independent constant-current and constant-voltage topologies for domino-type multiple-load inductive power relay system. IEEE J. Emerg. Sel. Top. Ind. Electron. 2020, 3, 199–210. [Google Scholar] [CrossRef]
  29. Wang, Y.; Zhao, S.; Zhang, H.; Lu, F. High-Efficiency bilateral S–SP compensated multiload IPT system with constant-voltage outputs. IEEE Trans. Ind. Inform. 2021, 18, 901–910. [Google Scholar] [CrossRef]
  30. Chen, W.; Ji, K.; Zhang, Y.; Wang, J. Design and analysis of multiload inductive power transfer system using bilateral-excitation scheme. IEEE Trans. Ind. Inform. 2021, 18, 365–374. [Google Scholar] [CrossRef]
  31. Cheng, C.; Lu, F.; Zhou, Z.; Li, W.; Deng, Z.; Li, F.; Mi, C. A Load-Independent LCC-Compensated Wireless Power Transfer System for Multiple Loads with a Compact coupler Design. IEEE Trans. Ind. Electron. 2020, 67, 4507–4515. [Google Scholar] [CrossRef]
  32. Gu, P.; Wang, Y.; Liu, Z.; Mai, J.; Li, T.; Xu, D. Analysis and Design of Long-Range IPT System with Multi-Load CV Characteristics Based on Cylindrical Solenoid Coupler. IEEE Trans. Ind. Appl. 2023, 59, 2363–2373. [Google Scholar] [CrossRef]
Figure 1. Conceptual image of an IPT system powering a multi-stage rocket microgrid.
Figure 1. Conceptual image of an IPT system powering a multi-stage rocket microgrid.
Sustainability 16 09640 g001
Figure 2. Circuit model of IPT system.
Figure 2. Circuit model of IPT system.
Sustainability 16 09640 g002
Figure 3. Ideal AC circuit of the IPT system.
Figure 3. Ideal AC circuit of the IPT system.
Sustainability 16 09640 g003
Figure 4. Circuit model after mutual inductance MAS is ignored.
Figure 4. Circuit model after mutual inductance MAS is ignored.
Sustainability 16 09640 g004
Figure 5. Illustration of the reflection impedance.
Figure 5. Illustration of the reflection impedance.
Sustainability 16 09640 g005
Figure 6. Structure of three-stage magnetic coupler. (a) Coupler structure. (b) Structure of the litz coil part. (c) Structure of the ferrite core part.
Figure 6. Structure of three-stage magnetic coupler. (a) Coupler structure. (b) Structure of the litz coil part. (c) Structure of the ferrite core part.
Sustainability 16 09640 g006
Figure 7. Distribution of space magnetic field in 2D view.
Figure 7. Distribution of space magnetic field in 2D view.
Sustainability 16 09640 g007
Figure 8. The mutual inductance value between coils is affected by the simulation results of the ferrite core position and the ferrite core side length. (a) Effect on MAP. (b) Effect on MAS.
Figure 8. The mutual inductance value between coils is affected by the simulation results of the ferrite core position and the ferrite core side length. (a) Effect on MAP. (b) Effect on MAS.
Sustainability 16 09640 g008
Figure 9. Effect of RA and LF on Mutual Inductance. (a) Effect on MAP/MAS. (b) Effect on MAP.
Figure 9. Effect of RA and LF on Mutual Inductance. (a) Effect on MAP/MAS. (b) Effect on MAP.
Sustainability 16 09640 g009
Figure 10. Mutual inductance after changing the thickness of the ferrite core.
Figure 10. Mutual inductance after changing the thickness of the ferrite core.
Sustainability 16 09640 g010
Figure 11. Curves of voltage transformation ratio of the system under different auxiliary coil radius.
Figure 11. Curves of voltage transformation ratio of the system under different auxiliary coil radius.
Sustainability 16 09640 g011
Figure 12. Prototype of the system.
Figure 12. Prototype of the system.
Sustainability 16 09640 g012
Figure 13. Output voltage curves of the IPT system.
Figure 13. Output voltage curves of the IPT system.
Sustainability 16 09640 g013
Figure 14. Output power and efficiency of the IPT system. (a) R2 = 40 Ω, R3 = 40 Ω. (b) R1 = 40 Ω, R3 = 40 Ω. (c) R1 = 40 Ω, R2 = 3 Ω.
Figure 14. Output power and efficiency of the IPT system. (a) R2 = 40 Ω, R3 = 40 Ω. (b) R1 = 40 Ω, R3 = 40 Ω. (c) R1 = 40 Ω, R2 = 3 Ω.
Sustainability 16 09640 g014
Figure 15. Waveform of the IPT system. When Uin = 72 V, RL1 = 20 Ω, RL2 = 40 Ω, RL3 = 40 Ω: (a) Umn1, AC. (b) Umn2, AC. (c) Umn3, AC. (d) Uout1, DC. (e) Uout2, DC. (f) Uout3, DC. When Uin = 72 V, RL1 = 40 Ω, RL2 = 250 Ω, RL3 = 40 Ω: (g) Umn1, AC. (h) Umn2, AC. (i) Umn3, AC. (j) Uout1, DC. (k) Uout2, DC. (l) Uout3, DC.
Figure 15. Waveform of the IPT system. When Uin = 72 V, RL1 = 20 Ω, RL2 = 40 Ω, RL3 = 40 Ω: (a) Umn1, AC. (b) Umn2, AC. (c) Umn3, AC. (d) Uout1, DC. (e) Uout2, DC. (f) Uout3, DC. When Uin = 72 V, RL1 = 40 Ω, RL2 = 250 Ω, RL3 = 40 Ω: (g) Umn1, AC. (h) Umn2, AC. (i) Umn3, AC. (j) Uout1, DC. (k) Uout2, DC. (l) Uout3, DC.
Sustainability 16 09640 g015
Table 1. Parameters of the System.
Table 1. Parameters of the System.
ParameterValue/TypeParameterValueParameterValue
f100 kHzCA171.66 nFMPS249.78 μH
Q1Q4IRFBA22N50CA272.85 nFMAP350.01 μH
Ferrite CorePC 95CA374.98 nFMPS349.93 μH
LA135.35 μHCP116.14 nFR193 mΩ
LA234.77 μHCP216.97 nFR2339 mΩ
LA333.78 μHCP316.42 nFR3520 mΩ
LP1157.21 μHCS118.67 nFR4267 mΩ
LP2149.77 μHCS218.70 nFR5275 mΩ
LP3135.71 μHCS318.06 nFR6221 mΩ
LS1136.11 μHMAP151.15 μHR7172 mΩ
LS2135.71 μHMPS149.98 μHD135 mm
LS3140.21 μHMAP249.99 μHD2350 mm
Table 2. Comparison with Similar Works in Recent Years.
Table 2. Comparison with Similar Works in Recent Years.
ReferenceEfficiencyNumber of Power
Transmission Coils
Decoupling MethodCompensation TopologyCC/CV
This Work88.52%6Ferrite magnetic decouplingEquivalent S/TCV
[20]70%8-S/S-
[21]82.5%10-T/SCC
[23]92%4Ferrite magnetic decouplingS/SCV
[31]86.6%6Orthogonal decouplingS/LCCCC
[32]66.7%5-S/SCV
Disclaimer/Publisher’s Note: The statements, opinions and data contained in all publications are solely those of the individual author(s) and contributor(s) and not of MDPI and/or the editor(s). MDPI and/or the editor(s) disclaim responsibility for any injury to people or property resulting from any ideas, methods, instructions or products referred to in the content.

Share and Cite

MDPI and ACS Style

Gu, P.; Wang, S.; Zhou, B. Analysis and Design of a Recyclable Inductive Power Transfer System for Sustainable Multi-Stage Rocket Microgrid with Multi-Constant Voltage Output Characteristics—Theoretical Considerations. Sustainability 2024, 16, 9640. https://doi.org/10.3390/su16229640

AMA Style

Gu P, Wang S, Zhou B. Analysis and Design of a Recyclable Inductive Power Transfer System for Sustainable Multi-Stage Rocket Microgrid with Multi-Constant Voltage Output Characteristics—Theoretical Considerations. Sustainability. 2024; 16(22):9640. https://doi.org/10.3390/su16229640

Chicago/Turabian Style

Gu, Peng, Shibo Wang, and Bowen Zhou. 2024. "Analysis and Design of a Recyclable Inductive Power Transfer System for Sustainable Multi-Stage Rocket Microgrid with Multi-Constant Voltage Output Characteristics—Theoretical Considerations" Sustainability 16, no. 22: 9640. https://doi.org/10.3390/su16229640

APA Style

Gu, P., Wang, S., & Zhou, B. (2024). Analysis and Design of a Recyclable Inductive Power Transfer System for Sustainable Multi-Stage Rocket Microgrid with Multi-Constant Voltage Output Characteristics—Theoretical Considerations. Sustainability, 16(22), 9640. https://doi.org/10.3390/su16229640

Note that from the first issue of 2016, this journal uses article numbers instead of page numbers. See further details here.

Article Metrics

Back to TopTop