Investigation of Communication, Social Intelligence and Intercultural Sensitivity Competencies of Teacher Candidates in Sustainable Education by Structural Equation Modeling
Abstract
1. Introduction
1.1. Conceptual Framework
1.1.1. Communication Skill
1.1.2. Intercultural Sensitivity
1.1.3. Social Intelligence
1.1.4. Relationship between Communication Skill, Intercultural Sensitivity and Social Intelligence
1.1.5. Research Objective
2. Materials and Methods
2.1. Research Model
2.2. Population and Sample
2.3. Data Collection Tools
2.3.1. Communication Skills Scale (CSS)
2.3.2. Intercultural Sensitivity Scale (ISS)
2.3.3. Tromso Social Intelligence Scale (TSIS)
2.4. Data Collection Process and Analysis of Data
3. Results
3.1. Findings Related to Descriptive and Correlation Values of the Research
3.2. Findings Related to the Hypothesis of “Teacher Candidates’ Communication Skills Predict Their Social Intelligence Levels Positively and Significantly (H1)”
3.3. Findings Related to the Hypothesis of “Teachers Candidates’ Communication Skills Predict Intercultural Sensitivity Levels Positively and Significantly (H2)”
3.4. Findings Related to the Hypothesis of “Teacher Candidates’ Intercultural Sensitivity Levels Predict Their Social Intelligence Levels Positively and Significantly (H3)”
3.5. Findings Related to the Hypothesis of “Intercultural Sensitivity Level Has a Mediating Role in the Relationship between Communication Skills and Social Intelligence Levels of Teacher Candidates (H4)”
4. Conclusions, Discussion and Recommendations
Author Contributions
Funding
Institutional Review Board Statement
Informed Consent Statement
Data Availability Statement
Conflicts of Interest
References
- World Migration Report 2022, International Organization for Migration. Available online: https://publications.iom.int/books/world-migration-report-2022 (accessed on 8 October 2022).
- Strohmeier, D.; Spiel, C. Immigrant children in Austria: Aggressive behavior and friendship patterns in multicultural school classes. J. Appl. Sch. Psychol. 2003, 19, 99–116. [Google Scholar] [CrossRef]
- UNESCO. Education for Sustainable Development 2016. UN Decade of ESD. Available online: http://en.unesco.org/themes/education-sustainable-development/what-is-esd/un-decade-of-esd (accessed on 15 November 2022).
- Polat, M. Is inclusive education possible? Analyzing the views of pre-service teachers who took the inclusive education course with the vignette technique. Van. Yüz. Yıl. Üni. Eğit. Fak. Der. 2022, 19, 965–986. [Google Scholar] [CrossRef]
- Şimşek, H.; Dağıstan, A.; Şahin, C.; Koçyiğit, E.; Dağıstan Yalçınkaya, G.; Kart, M.; Dağdelen, S. Traces of multiculturalism in basic education programs in Türkiye in the context of inclusive education. Ahi. Ev. Üni. Sos. Bil. Ens. Der. 2019, 5, 177–197. [Google Scholar] [CrossRef]
- Çelik, R. Justice, inclusion and equitable equal opportunities in education. Fe. Der. 2017, 9, 17–29. [Google Scholar] [CrossRef]
- Özdemir, O. A new perspective on environmental education: Education for sustainable development. Eği. Ve. Bil. 2007, 32, 23–39. [Google Scholar]
- Şengöz, E.; Soydan, S.B.; Saltalı, N.D. Critical multicultural education self-efficacy as a predictor of basic education teachers’ inclusive education self-efficacy. J. Acad. Soc. Sci. 2022, 127, 244–265. [Google Scholar] [CrossRef]
- Banks, J.A. Multicultural education: Characteristics and goals. In Multicultural Education: Issues and Perspectives, 9th ed.; Banks, J.A., Banks, C.A.M., Eds.; John Wiley & Sons: New York, NY, USA, 2015; pp. 2–23. [Google Scholar]
- Sorkos, G.; Hajisoteriou, C. Sustainable intercultural and inclusive education: Teachers’ efforts on promoting a combining paradigm. Ped. Cul. Soc. 2020, 29, 1–20. [Google Scholar] [CrossRef]
- Hammer, M.R.; Bennett, M.J.; Wiseman, R. Measuring intercultural sensitivity: The intercultural development inventory. Int. J. Intercult. Rel. 2003, 27, 421–443. [Google Scholar] [CrossRef]
- Bölükbaşı, A. Examining pre-service teachers’ intercultural sensitivity in terms of empathic disposition, subjective well-being and socio-demographic variables. Mer. Üni. Eği. Fak. Der. 2020, 16, 44–62. [Google Scholar] [CrossRef]
- Ünlü, İ.; Örten, H. Examining pre-service teachers’ perceptions of multiculturalism and multicultural education. Dic. Üni. Ziy. Gök. Eği. Fak. Der. 2013, 21, 287–302. [Google Scholar]
- Gay, G. Acting on beliefs in teacher education for cultural diversity. J. Teach. Educ. 2010, 61, 143–152. [Google Scholar] [CrossRef]
- Ruan, J. Using the ABCs to support intercultural understanding. In Getting to Know Ourselves and Others: A Less Travelled Path to Intercultural Understanding; Literacy, Language and Learning Series; Finkbeiner, C., Lazar, A.M., Schmidt, P., Eds.; Information Age Publishing: Charlotte, NC, USA, 2014. [Google Scholar]
- Akman, Y.; İmamoğlu Akman, G. Examining teachers’ multicultural education attitudes according to their perception of social intelligence. Sak. Uni. J. Edu. 2017, 7, 34–48. [Google Scholar] [CrossRef]
- Goleman, D. Sosyal Zekâ: İnsan Ilişkilerinin Yeni Bilimi; Deniztekin, O.Ç., Translator; Varlık Yayınları: İstanbul, Turkey, 2006. [Google Scholar]
- Kozikoğlu, İ.; Yıldırımoğlu, S. The relationship between teachers’ attitudes towards multicultural education and classroom practices in inclusive education. Dok. Eyl. Üni. Buc. Eğit. Fak. Der. 2021, 51, 226–244. [Google Scholar] [CrossRef]
- Akcay, K.; Altinay, F.; Altınay, Z.; Daglı, G.; Shadiev, R.; Altinay, M.; Adedoyin, O.B.; Okur, Z.G. Global citizenship for the students of higher education in the realization of sustainable development goals. Sustainability 2024, 16, 1604. [Google Scholar] [CrossRef]
- Çiftçi, S.; Taskaya, S.M. The relationship between self-efficacy and communication skills of prospective primary school teachers. Edu. Sci. 2010, 5, 921–928. [Google Scholar]
- Bulut, R.C. The Relationship Between Communication Skills and Organizational Cynicism Levels of Secondary School Teachers. Master’s Thesis, İstanbul Sabahattin Zaim Üniversitesi, İstanbul, Turkey, 2019. [Google Scholar]
- Özgökman, Ş. Examining The Relationship Between Communication Skills and Empathic Tendencies of Preservice Preschool Teachers (Afyonkarahisar Province Sample). Master’s Thesis, Afyon Kocatepe Üniversitesi, Afyon, Turkey, 2019. [Google Scholar]
- Can, F.; Bozgün, K. The relationship between communication skills and speaking anxiety of education faculty students. Ulus. Türk. Ede. Kül. Eği. Der. 2021, 10, 1124–1136. [Google Scholar]
- Gülbahar, B.; Sıvacı, S.Y. Examining the relationship between pre-service teachers’ communication skills and their perceptions of classroom management efficacy. Va. Yüz. Yı. Üni. Eği. Fak. Der. 2018, 15, 268–301. [Google Scholar] [CrossRef]
- Polat, S.; Rengi, Ö. Classroom teachers’ perceptions of cultural differences and intercultural sensitivity. Zeit. Fü. Di. Wel. De. Tür. J. Wor.Tur. 2014, 6, 135–156. [Google Scholar]
- Çetin, M.; Kartal Baş, M. Examining the effect of intercultural sensitivity acquisition on student leadership in pre-service teachers. Güm.Üni. Sos. Bil. Der. 2022, 13, 48–62. [Google Scholar]
- Demir, S.; Üstün, E. Investigation of pre-service teachers’ intercultural sensitivity and ethnocentrism levels in terms of various variables. Va. Yüz.Yı. Üni. Eği. Fak. Der. 2017, 14, 182–204. [Google Scholar] [CrossRef]
- Karagüven, M.H.Ü.; Hülya, M. Empathy and social intelligence. Int. J. Soc. Sci. 2015, 34, 187–197. [Google Scholar] [CrossRef]
- Ünver, N.; Semiz, S. The effect of the practices within the scope of the drama course in the preschool teaching undergraduate program on the social intelligence areas of pre-service teachers. Kast. Eği. Der. 2016, 24, 2585–2594. [Google Scholar]
- Gönenç, E.Ö. Historical process of communication. İst. Üni. İlet.Fak. Der. 2007, 28, 87–102. [Google Scholar]
- Koçyiğit, M. Effective Communication and Emotional Intelligence, 3rd ed.; Eğitim Yayınevi: Konya, Turkey, 2018. [Google Scholar]
- Cüceloğlu, D. Human to Human Again; Remzi Kitabevi: İstanbul, Turkey, 2020. [Google Scholar]
- Lasswell, H.D. The structure and function of communication in society. J. Commun. Res. 2007, 24, 215–228. [Google Scholar]
- TDK. Türk Dil Kurumu. 2022. Available online: https://sozluk.gov.tr/ retrieved from (accessed on 15 October 2022).
- Işık, M. Introduction to Communication Science, 2nd ed.; Eğitim Yayınevi: Konya, Turkey, 2018. [Google Scholar]
- Lynn, E.M. In-service teacher education in classroom communication. Commun. Educ. 2009, 26, 1–12. [Google Scholar] [CrossRef]
- Tezel, Ş.; Kandır, A.; Can-Yaşar, M.; Yazıcı, E. Investigation of preschool teachers’ communication skills in terms of some variables. Int. Ref. Aca. Soc. Sci. J. 2012, 3, 95–108. [Google Scholar]
- Gökçe, E. Competencies of primary classroom teachers. Çağ. Eği. 2003, 299, 36–48. [Google Scholar]
- Şen, H.S.; Erişen, Y. Effective teaching characteristics of lecturers in teacher training institutions. Gaz. Üni. Gaz. Eği. Fak. Der. 2002, 22, 99–116. [Google Scholar]
- Aksungur, G. Examining Turkish Teachers’ Perceptions Of Effective Communication Skills in the Classroom. Master’s Thesis, Ahi Evran Üniversitesi, Kırşehir, Turkey, 2018. [Google Scholar]
- Öğüt, N.; Olkun, E.O. Intercultural sensitivity level of university students: The case of Selcuk University. Sel. İlet. 2018, 11, 54–73. [Google Scholar] [CrossRef]
- Chen, G. The impact of intercultural sensitivity on ethnocentrism and intercultural communication apprehension. Intercult. Commun. Educ. 2010, 19, 1–9. [Google Scholar]
- Bhawuk, D.; Brislin, D. The Measurement of Intercultural Sensitivity Using The Concepts of Individualism and Collectivism. Int. J. Intercult. Rel. 1992, 16, 413–436. [Google Scholar] [CrossRef]
- Matkin, G.; Barbuto, J. Demographic similarity/difference, intercultural sensitivity, and leader–member exchange: A Multilevel Analysis. J. Leadersh. Org. Stud. 2012, 19, 294–302. [Google Scholar] [CrossRef]
- Johnson, L.S. The diversity imperative: Building a culturally responsive school ethos. Intercult. Educ. 2003, 14, 17–30. [Google Scholar] [CrossRef]
- Cırık, İ. Multicultural education and its reflections. Hacet. Eği. Fak. Der. 2008, 34, 27–40. [Google Scholar]
- Kengwee, J. Fostering cross cultural competence in preservice teachers through multicultural education experiences. Early Child. Educ. 2010, 38, 197–204. [Google Scholar] [CrossRef]
- Renner, T.; Feldman, R.S. The Mind of My Mind Psychology. Durak, M.; Durak, E.Ş.; Kocatepe, U., Translators; Nobel Akademik Yayıncılık: Ankara, Turkey, 2015. [Google Scholar]
- Aman, D.; Verma, E. Metacognition among secondary school students in relation to social intelligence, gender, type of family and locale. G. J. Si. Thou. 2015, 2, 11–16. [Google Scholar]
- Doğan, T.; Çetin, B. Factor structure, validity and reliability study of the Turkish version of the Tromso Social Intelligence Scale. Kur. Uyg. Eği. Bil. 2009, 9, 691–720. [Google Scholar]
- Özcan, M. Investigation of pre-service teachers’ social intelligence levels. Eğit. Ye. Yak. Der. 2018, 1, 42–51. [Google Scholar]
- Bekiroğlu, O.; Balcı, Ş. Searching for traces of intercultural communication sensitivity: A study in the case of communication faculty students. Tür. Araş. Der. 2014, 35, 429–460. [Google Scholar]
- Onur Sezer, G.; Bağçeli Kahraman, P. The relationship between classroom and pre-service preschool teachers’ attitudes towards multicultural education and intercultural sensitivity: The case of Uludag University. Mer. Üni. Eği. Fak. Der. 2017, 13, 550–560. [Google Scholar] [CrossRef]
- Kazu, E.; Düşükcan, M. The effect of nursing students’ social intelligence levels on their communication skills. Fır. Üni. Sos. Bil. Der. 2021, 31, 215–230. [Google Scholar] [CrossRef]
- Başoğlu, C.İ. Sosyal Zekânın Girişimcilik Eğilimine Etkisinde Kültürel Zekânın Aracı. Master’s Thesis, Kastamonu Üniversitesi, Kastamonu, Turkey, 2021. [Google Scholar]
- Fraenkel, J.R.; Wallen, N. Eç How to Design and Evaluate Research in Education, 6th ed.; McGraw-Hill: New York, NY, USA, 2006. [Google Scholar]
- Neuman, W.L.; Robson, K. Basics of Social Research; Pearson Canada: Toronto, ON, Canada, 2014. [Google Scholar]
- Cohen, L.; Manion, L.; Morrison, K. Research Methods in Education; Routledge: London, UK, 2007. [Google Scholar]
- Korkut Owen, F.; Bugay, A. Development of communication skills scale: Validity and reliability study. Mer. Üni. Eği. Fak. Der. 2014, 10, 51–64. [Google Scholar]
- Byrne, B.M. Structural Equation Modeling with AMOS; Routledge: New York, NY, USA, 2010. [Google Scholar]
- Kline, R.B. Principles and Practice of Structural Equation Modeling; The Guilford Press: New York, NY, USA, 2011. [Google Scholar]
- Schumacker, R.E.; Lomax, R. GA Beginner’s Guide to Structural Equation Modeling, 2nd ed.; Psychology Press: New York, NY, USA, 2004. [Google Scholar]
- Chen, G.M.; Starosta, W.J. The development and validation of the intercultural sensitivity scale. Hum. Commun. 2000, 3, 1–22. [Google Scholar]
- Bulduk, S.; Tosun, H.; Ardıç, E. Measurement properties of Turkish intercultural sensitivity scale in nursing students. Tür. Klin. J. Med. Eth. La. His. 2011, 19, 25–31. [Google Scholar]
- Silvera, D.H.; Martinussen, M.; Dahl, T.I. The trom sosocial intelligence scale, a self-reportmeasure of social intelligence. Scand. J. Psychol. 2001, 42, 313–319. [Google Scholar] [CrossRef]
- Tabachnick, B.G.; Fidell, L.S. Using Multivariate Statistic; Pearson: Boston, MA, USA, 2013. [Google Scholar]
- Green, S.B.; Salkind, N.J. Using SPSS for Windows and Macintosh: Analyzing and Understanding Data, 5th ed.; Pearson Education, Inc.: Upper Saddle River, NJ, USA, 2010. [Google Scholar]
- Preacher, K.J.; Hayes, A.F. Asymptotic and resampling strategies for assessing and comparing indirect effects in multiple mediator models. Behav. Res. Methods 2008, 40, 879–891. [Google Scholar] [CrossRef]
- Baron, R.M.; Kenny, D.A. The moderator-mediator variable distinction in social psychological research: Conceptual, strategic and statistical considerations. J. Pers. Soc. Psychol. 1986, 51, 1173–1182. [Google Scholar] [CrossRef]
- Hair, J.F., Jr.; Hult, G.T.M.; Ringle, C.; Sarstedt, M. A Primer on Partial Least Squares Structural Equation Modeling (PLS-SEM); Sage Publications: New York, NY, USA, 2013. [Google Scholar]
- Korkut, F. Evaluation of Communication Skills of University Students; IV. In Proceedings of the National Congress of Educational Sciences; Anadolu Üniversitesi: Eskişehir, Turkey, 1997; pp. 208–218. [Google Scholar]
- Tepeköylü, Ö.; Soytürk, M.; Çamlıyer, H. Investigation of Physical Education and Sports School (PEHS) students’ perceptions of communication skills in terms of some variables. Spo. Bed. Eği. Sp. Bil. Der. 2009, 7, 115–124. [Google Scholar]
- Bingöl, G.; Demir, A. Communication skills of Amasya health college students. Göz. Tı. Der. 2011, 26, 152–159. [Google Scholar]
- Aşçı, Ö.; Hazar, G.; Yılmaz, M. Communication skills of school of health students and related variables. Acıba. Üni. Sağ. Bil. Der. 2015, 6, 160–165. [Google Scholar]
- Pazar, B.; Demiralp, M.; Erer, İ. The communication skills and the empathic tendency levels of nursing students: A cross-sectional study. Cont. Nur. 2017, 53, 368–377. [Google Scholar] [CrossRef] [PubMed]
- Álvarez, O.; García, L.Á.; Salvà, F.; Calvo, A. Variables influencing preservice teacher training in education for sustainable development: A case study of two Spanish universities. Sustainability 2019, 11, 4412. [Google Scholar] [CrossRef]
- Solís, C.; Ruiz, J.; Limón, D.; Valderrama, R. Sustainability in the University: A study of its presence in curricula, teachers and students of education. Sustainability 2019, 11, 6620. [Google Scholar] [CrossRef]
- Muñoz, J.M.; Sánchez, F.; Barrón, Á.; Serrate, S. Are we training in sustainability in higher education? Case study: Education degrees at the University of Salamanca. Sustainability 2020, 12, 4421. [Google Scholar] [CrossRef]
- Merritt, E.; Hale, A.; Archambault, L. Changes in pre-service teachersí values, sense of agency, motivation and consumption practices: A case study of an education for sustainability course. Sustainability 2019, 11, 155. [Google Scholar] [CrossRef]
- Vásquez, C.; Seckel, M.J.; Alsina, Á. Belief system of future teachers on Education for Sustainable Development in math classes. Uniciencia 2020, 34, 1–30. [Google Scholar] [CrossRef]
- Seidel, T. Klassenführung. In Paedagogische Psychologie; Wild, E., Möller, J., Eds.; Springer Verlag: Berlin/Heidelberg, Germany, 2009. [Google Scholar]
- Banos, R.V. Intercultural Sensitivity of Teenagers: A study of Educational Necessities in Catalonia. Intercult. Commun. Educ. 2006, 15, 16–22. [Google Scholar]
- Bayles, P.P. Assesing The Intercultural Sensitivity of Elementary Teachers in Bilingual Schools in Texas School District. Ph.D. Thesis, University of Minnesota, Minneapolis, MN, USA, 2009. [Google Scholar]
- Demir, A.; Demir, S. Evaluation of Erasmus program in terms of intercultural dialogue and interaction: A qualitative study with pre-service teachers. Ulus. Sos.Araş. Der. 2009, 2, 95–105. [Google Scholar]
- Fretheim, A.M. Assesing the Intercultural Sensitivity of Educators in an American International School. Ph.D. Thesis, University of Minnesota, Minneapolis, MN, USA, 2007. [Google Scholar]
- Penbek, S.; Yurdakul, D.; Guldem Cerit, A. Intercultural Communication Competence: A Study About the Intercultural Sensitivity of University Students Based on Their Education and International Experiences. In Proceedings of the European and Mediterranean Conference on Information Systems, Izmir, Turkey, 13–14 June 2009. [Google Scholar]
- Rengi, Ö. Sinif Öğretmenlerinin Kültürel Farklilik Algilari Ve Kültürlerarasi Duyarlılıkları. Master’s Thesis, Kocaeli Üniversitesi, Kocaeli, Turkey, 2014. [Google Scholar]
- Talib, M.; Sari, H. Pre-Service Teachers’ Intercultural Competence in Japan and Finland: A Comparative Study of Finnish and Japanese University Students—A Preliminary Study. Changing Educational Landscapes; Springer: Dordrecht, The Netherlands, 2010; pp. 241–260. [Google Scholar]
- Westrick, J.M.; Yuen, C.Y. The intercultural sensitivity of secondary teachers in Hong Kong: A comparative study with ımplications for professional development. Intercult. Educ. 2007, 18, 129–145. [Google Scholar] [CrossRef]
- Garrido, M.C.D.; Ruiz-Cabezas, A.; Domínguez, M.C.M.; Dueñas, M.C.L.; Pérez Navío, E.; Rivilla, A.M. Teachers’ training in the intercultural dialogue and understanding: Focusing on the education for a sustainable development. Sustainability 2020, 12, 9934. [Google Scholar] [CrossRef]
- Levitt, H.M.; Bamberg, M.; Creswell, J.W.; Frost, D.M.; Josselson, R.; Suárez-Orozco, C. Journal article reporting standards for qualitative primary, qualitative meta-analytic, and mixed methods research in psychology: The APA Publications and Communications Board task force report. Am. Psychol. 2018, 73, 26–46. [Google Scholar] [CrossRef] [PubMed]
- Ermiş, E.; İmamoğlu, O.; Erilli, N.A. The effect of sports on university students’ physical and social multiple intelligence scores. Sp. Perf. Araş. Der. 2012, 3, 23–29. [Google Scholar]
- Milli, M.S.; Yağcı, U. Investigation of pre-service teachers’ communication skills. Aba. İz. Bay. Üni. Eği. Fak. Der. 2017, 17, 286–298. [Google Scholar] [CrossRef]
- Saracoğlu, A.S.; Yenice, N.; Karasakaloğlu, N. The relationship between pre-service teachers’ communication and problem solving skills and their reading interests and habits. Yüz. Yı. Üni. Eği. Fak. Der. 2009, 6, 187–206. [Google Scholar]
- Ford, M.E.; Tisak, M.S. A further search for social intelligence. J. Educ. Psychol. 1983, 75, 196–206. [Google Scholar] [CrossRef]
- Arıbaş, B.B. Investigating The Relationship Between Social Intelligence Levels and Communication Skills of Pre-Service Social Studies Teachers. Master’s Thesis, Uşak Üniversitesi, Uşak, Turkey, 2018. [Google Scholar]
- Kaya, N.; Turan, N.; Kamberova, H.A.; Cenal, Y.; Kahraman, A.; Evren, M. Communication skills and social intelligence levels of nursing students according to art characteristics. Hemş. Eği. Araş. Der. 2016, 13, 50–58. [Google Scholar] [CrossRef]
- Çetinkaya, Ö.; Alparslan, A.M. The effect of emotional intelligence on communication skills: A study on university students. Sül. Deml. Üni. İkt. İd. Bil. Fak. Der. 2011, 16, 363–377. [Google Scholar]
- Oyur, E.; Mercan, N.; Saylan, O.; Buran, A.Ç. A study on expressing emotions and communication skills in the work environment. Org.Yön. Bil. Der. 2012, 4, 1309–8039. [Google Scholar]
- Abaslı, K.; Polat, Ş. Examining students’ views on intercultural sensitivity and cultural intelligence. Ane. Mu. Alp. Üniv. Sos.Bil. Der. 2019, 7, 193–202. [Google Scholar] [CrossRef]
- Mercan, N. A study on the relationship between cultural intelligence and intercultural sensitivity in multicultural settings. Öm. Halis. Üni. İkt. İd. Bil. Fak. Der. 2016, 9, 1–13. [Google Scholar]
- Özdemir, K. The Impact of Cultural Intelligence on Intercultural Sensitivity. Master’s Thesis, Hasan Kalyoncu Üniversitesi, Gaziantep, Turkey, 2019. [Google Scholar]
- Doğan, T. Examining The Relationship Between Social Intelligence Levels of University Students and Depression and Some Variables. Master’s Thesis, Sakarya Üniversitesi, Sakarya, Turkey, 2006. [Google Scholar]
- Yermentaeyeva, A.; Aurenova, M.D.; Uaidullakyzy, E.; Ayapbergenova, A.; Muldabekova, K. Social intelligence as a condition for the development of communicative competence of the future teachers. Procedia Soc. Behav. Sci. 2014, 116, 4758–4763. [Google Scholar] [CrossRef][Green Version]
- Iqbal, Q.; Piwowar-Sulej, K. Sustainable leadership in higher education institutions: Social innovation as a mechanism. Int. J. Sust. Higher Edu. 2021, 23, 1–20. [Google Scholar] [CrossRef]
- Gül, E. The Relationship Between Emotional Intelligence and Communication Skills: An Application. Master’s Thesis, Beykent Üniversitesi, İstanbul, Turkey, 2017. [Google Scholar]
- Gezer, M.; Şahin, İ. Investigating the relationship between attitude towards multicultural education and cultural intelligence with SEM. Do. Coğ. Der. 2017, 22, 173–188. [Google Scholar] [CrossRef]
- İlhan, M.; Çetin, B. Validity and reliability study of Turkish version of cultural intelligence scale. Hacet. Üni. Eği. Fak. Der. 2014, 29, 94–114. [Google Scholar]
- Koçak, S.; Özdemir, M. The role of cultural intelligence in pre-service teachers’ attitudes towards multicultural education. İlkö. Onl. 2015, 14, 1352–1369. [Google Scholar] [CrossRef]
- Willmann, E.; Feldt, K.; Amelang, M. Prototypical behavior pattern of social intelligence. Anintercultural comparison between Chinese and German subjects. Int. J. Psychol. 1997, 32, 329–346. [Google Scholar] [CrossRef]
- Bar-On, R.; Handley, R. The Bar-On EQ-360: Technical manual; Multi-HealthSystems: Toronto, ON, Canada, 2003. [Google Scholar]
- James, M. Interculturalism: Theory and Policy; The Baring Foundation: London, UK, 2008. [Google Scholar]
- Abduganiev, O.I.; Abdurakhmanov, G.Z. Ecological education for the purposes sustainable development. Am. J. Soc. Sci. Educ. Innov. 2020, 2, 280–284. [Google Scholar] [CrossRef]
- Lee, K.W. Learning management knowledge: Integrating learning cycle theory and knowledge types perspective. Acad. Manag. Learn. Edu. 2020, 19, 192–222. [Google Scholar] [CrossRef]
- Strachan, G. Can education for sustainable development change entrepreneurship education to deliver a sustainable future? Dis. Com. Sust. Edu. 2018, 9, 36–49. [Google Scholar] [CrossRef]
- Crowne, K.A. The relationships among Social Intelligence, Emotional Intelligence and Cultural Intelligence. Organ. Manag. J. 2009, 6, 148–163. [Google Scholar] [CrossRef]
- Eisenberg, J.; Lee, H.J.; Brück, F.; Brenner, B.; Claes, M.T.; Mironski, J.; Bell, R. Can business schools make students culturally competent? Effects of cross-cultural management courses on cultural ıntelligence. Acad. Manag. Learn. Edu. 2013, 12, 603–621. [Google Scholar] [CrossRef]
- Jyoti, J.; Kour, S. Assessing the Cultural Intelligence and Task Performance Equation: Mediating Role of Cultural Adjustment. Cross. Cult. Manag. 2015, 22, 236–258. [Google Scholar] [CrossRef]
- Terry, J. New techniques for trainging and motivating yoru compnay’s multicultural management team. Employ. Relat. Today 2007, 34, 37–45. [Google Scholar] [CrossRef]





| Variables | Ss | Communication Skills | Intercultural Sensitivity | Social Intelligence | |
|---|---|---|---|---|---|
| Communication Skills | 3.80 | 0.48 | 1 | ||
| Intercultural Sensitivity | 4.18 | 0.32 | 0.25 * | 1 | |
| Social Intelligence | 3.89 | 0.38 | 0.28 * | 0.59 * | 1 |
| Path Coefficients | β | SH | t | p |
|---|---|---|---|---|
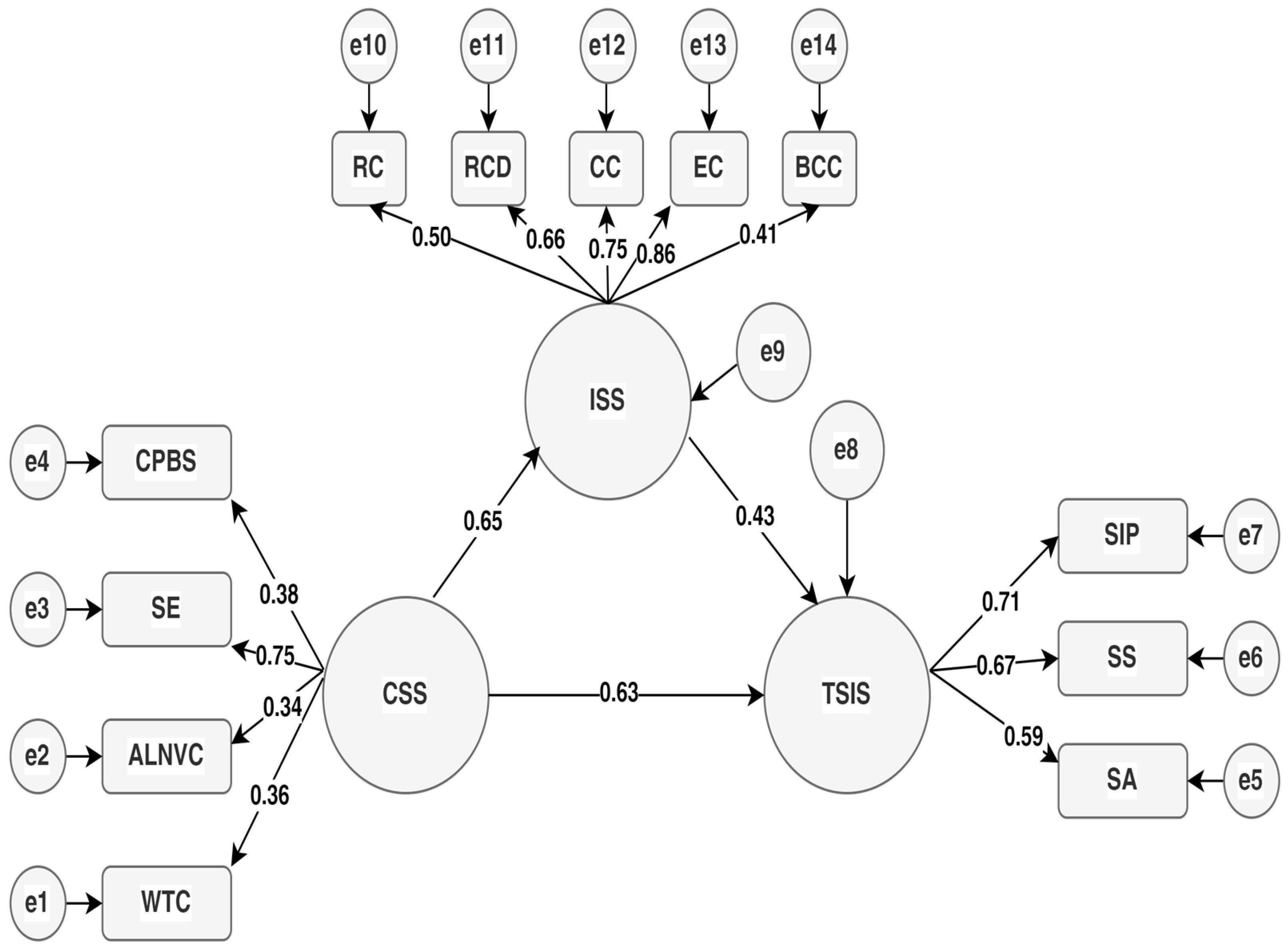
Communication Skill Intercultural Sensitivity | 0.65 | 0.236 | 3.422 | 0.000 * |
Communication Skill Social Intelligence | 0.63 | 0.376 | 3.051 | 0.002 * |
Intercultural Sensitivity Social Intelligence | 0.43 | 0.143 | 3.181 | 0.001 * |
Disclaimer/Publisher’s Note: The statements, opinions and data contained in all publications are solely those of the individual author(s) and contributor(s) and not of MDPI and/or the editor(s). MDPI and/or the editor(s) disclaim responsibility for any injury to people or property resulting from any ideas, methods, instructions or products referred to in the content. |
© 2024 by the authors. Licensee MDPI, Basel, Switzerland. This article is an open access article distributed under the terms and conditions of the Creative Commons Attribution (CC BY) license (https://creativecommons.org/licenses/by/4.0/).
Share and Cite
Özdoğru, M.; Çevik, M.N.; Çevik, M.S. Investigation of Communication, Social Intelligence and Intercultural Sensitivity Competencies of Teacher Candidates in Sustainable Education by Structural Equation Modeling. Sustainability 2024, 16, 9282. https://doi.org/10.3390/su16219282
Özdoğru M, Çevik MN, Çevik MS. Investigation of Communication, Social Intelligence and Intercultural Sensitivity Competencies of Teacher Candidates in Sustainable Education by Structural Equation Modeling. Sustainability. 2024; 16(21):9282. https://doi.org/10.3390/su16219282
Chicago/Turabian StyleÖzdoğru, Mehmet, Mehmet Nezir Çevik, and Mehmet Sabir Çevik. 2024. "Investigation of Communication, Social Intelligence and Intercultural Sensitivity Competencies of Teacher Candidates in Sustainable Education by Structural Equation Modeling" Sustainability 16, no. 21: 9282. https://doi.org/10.3390/su16219282
APA StyleÖzdoğru, M., Çevik, M. N., & Çevik, M. S. (2024). Investigation of Communication, Social Intelligence and Intercultural Sensitivity Competencies of Teacher Candidates in Sustainable Education by Structural Equation Modeling. Sustainability, 16(21), 9282. https://doi.org/10.3390/su16219282


