Will Agricultural Infrastructure Construction Promote Land Transfer? Analysis of China’s High-Standard Farmland Construction Policy
Abstract
1. Introduction
2. Material and Methods
2.1. Data and Sampling
2.2. Conceptual and Empirical Models of the Study
2.2.1. Policy Review
2.2.2. A Conceptual Model
High-Standard Farmland Construction Policies Promote Land Transfer by Improving Agricultural Conditions
High-Standard Farmland Construction Policies Promote Land Transfer by Improving the Factor Utilization Rate
High-Standard Farmland Construction Policies Promote Land Transfer by Ensuring Agricultural Production and Increasing Income
2.2.3. Econometric Model
Benchmark Regression Model
Parallel Trend Test and Dynamic Impact Analysis of Policies
2.2.4. Explained Variable
2.2.5. Explanatory Variables
2.2.6. Control Variables
2.2.7. Mechanism Variables
3. Results
3.1. Benchmark Regression Results
3.2. Parallel Trend Test and Policy Dynamic Effect
3.2.1. Parallel Trend Test for Benchmark Regression
3.2.2. Impact of Policy Implementation
3.2.3. Robustness Test
Changing the Time of Policy Implementation
Replacing the Dependent Variable
Replacing the Core Explanatory Variables
| Variable | 2008 Policy Time | 2010 Policy Time | Substitution Dependent Variable: Transfer2 | Replace the Core Explanatory Variable: Invest | Replace the Core Explanatory Variable: Lag 1 Period |
|---|---|---|---|---|---|
| (1) | (2) | (3) | (4) | (5) | |
| 0.0342 | 0.0378 | 0.263 * | 0.196 *** | ||
| (0.0769) | (0.0674) | (0.1520) | (0.0293) | ||
| 0.0406 *** | |||||
| (0.0066) | |||||
| Control variable | YES | YES | YES | YES | YES |
| Individual effect | YES | YES | YES | YES | YES |
| Time effect | YES | YES | YES | YES | YES |
| Constant | 0.3890 | 0.405 * | −0.1130 | −0.602 ** | −0.571 ** |
| (0.2430) | (0.2370) | (0.1080) | (0.2750) | (0.2530) | |
| R2 | 0.962 | 0.962 | 0.963 | 0.966 | 0.979 |
3.2.4. Heterogeneity Analysis
Heterogeneity of Agricultural Area
Heterogeneity of Regional Economic Development
| Variable | Grain | Position | |||
|---|---|---|---|---|---|
| Main Producing Area | Non-Main Producing Area | East | Middle | Western | |
| (1) | (2) | (3) | (4) | (5) | |
| 0.156 ** | 0.208 *** | 0.118 ** | 0.194 ** | 0.255 * | |
| (0.0688) | (0.0264) | (0.0489) | (0.0852) | (0.0944) | |
| Control variable | YES | YES | YES | YES | YES |
| Individual effect | YES | YES | YES | YES | YES |
| Time effect | YES | YES | YES | YES | YES |
| Constant term | −0.3340 | −0.731 ** | −0.750 ** | −0.1450 | −0.6110 |
| (0.3350) | (0.3340) | (0.3030) | (0.2580) | (0.4420) | |
| R2 | 0.866 | 0.91 | 0.83 | 0.915 | 0.922 |
Heterogeneity of Physical Location
Heterogeneity of Terrain
| Variable | Location | Plant | ||
|---|---|---|---|---|
| Plain | Mountain | Planting Structure ≥ 0.5 (Grain-Oriented Crops) | Planting Structure < 0.5 (Cash Crop) | |
| (1) | (2) | (3) | (4) | |
| 0.187 *** | 0.289 *** | 0.200 *** | 0.260 ** | |
| (0.0134) | (0.0135) | (0.0336) | (0.0647) | |
| Control variable | YES | YES | YES | YES |
| Individual effect | YES | YES | YES | YES |
| Time effect | YES | YES | YES | YES |
| Constant | −0.251 | −1.257 | −0.492 * | −1.262 |
| (0.2458) | (0.9853) | (0.2770) | (1.0170) | |
| R2 | 0.974 | 0.968 | 0.986 | 0.958 |
3.2.5. Mechanism Analysis
Mechanism for Improving Agricultural Conditions
Mechanism for Improving Factor Utilization
Mechanism of Resistance to Natural Disasters, Ensuring Agricultural Production, and Increasing Income
| Variable | Transfer1 | Path1 | Path2 | Path3 | |||
|---|---|---|---|---|---|---|---|
| Machine | Transfer1 | Efficiency | Transfer1 | Disaster | Transfer1 | ||
| (1) | (2) | (3) | (4) | (5) | (6) | (7) | |
| 0.196 *** | 1.157 ** | 0.178 *** | 0.676 *** | 0.154 *** | −0.417 ** | 0.176 *** | |
| (0.0293) | (0.4700) | (0.0310) | (0.1250) | (0.0313) | (0.1710) | (0.0278) | |
| Machine | 0.0177 *** | ||||||
| (0.0049) | |||||||
| Efficiency | 0.0599 *** | ||||||
| (0.0132) | |||||||
| Disaster | −0.0432 *** | ||||||
| (0.0095) | |||||||
| Control variable | YES | YES | YES | YES | YES | YES | YES |
| Individual effect | YES | YES | YES | YES | YES | YES | YES |
| Time effect | YES | YES | YES | YES | YES | YES | YES |
| Constant | −0.571 ** | 5.420 *** | −0.663 ** | 0.0992 | −0.579 ** | 0.9480 | −0.535 ** |
| (0.2530) | (1.5540) | (0.2640) | (0.5880) | (0.2650) | (1.3510) | (0.2190) | |
| R2 | 0.879 | 0.619 | 0.886 | 0.806 | 0.888 | 0.445 | 0.888 |
4. Further Analysis
4.1. Descriptive Statistics
4.2. Benchmark Results and Dynamic Effects
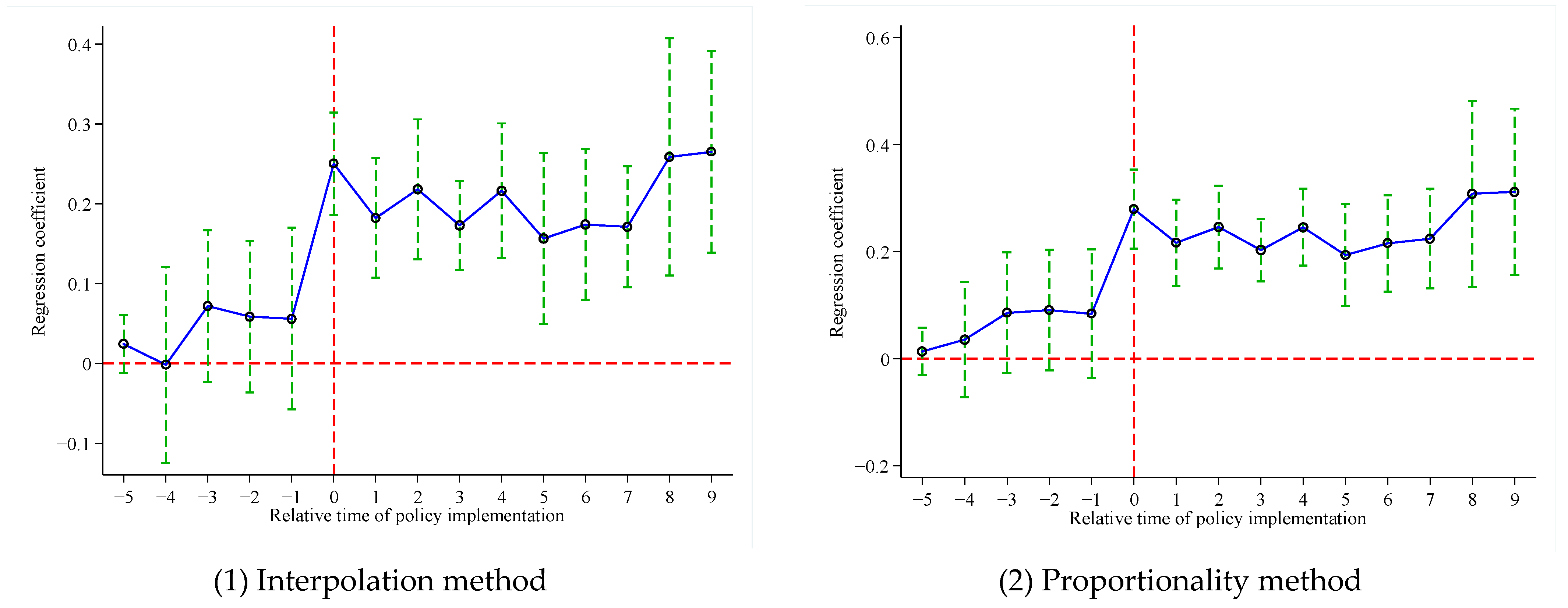
4.3. Parallel Trend Test from 2005 to 2020
5. Conclusions and Policy Recommendations
Author Contributions
Funding
Institutional Review Board Statement
Informed Consent Statement
Data Availability Statement
Acknowledgments
Conflicts of Interest
References
- Deininger, K.; Jin, S.; Xia, F.; Huang, J. Moving Off the Farm: Land Institutions to Facilitate Structural Transformation and Agricultural Productivity Growth in China. World Dev. 2021, 59, 505–520. [Google Scholar] [CrossRef]
- Pilossof, R. Possibilities and Constraints of Market-Led Land Reforms in Southern Africa: An Analysis of Transfers of Commercial Farmland in Postcolonial Zimbabwe, 1980–2000. J. Agrar. Chang. 2016, 16, 32–49. [Google Scholar] [CrossRef]
- Hall, R.; Kepe, T. Elite capture and state neglect: New evidence on South Africa’s land reform. Rev. Afr. Political Econ. 2017, 44, 122–130. [Google Scholar] [CrossRef]
- Takafumi, S. Capitalization of local government grants on land values: Evidence from Tokyo metropolitan area, Japan. Jpn. World Econ. 2021, 60, 101106. [Google Scholar] [CrossRef]
- Semedi, P.; Bakker, L. Between Land Grabbing and Farmers’ Benefits: Land Transfers in West Kalimantan, Indonesia. Asia Pac. J. Anthropol. 2014, 15, 376–390. [Google Scholar] [CrossRef]
- Markowski-Lindsay, M.; Butler, B.; Kittredge, D. The future of family forests in the USA: Near-term intentions to sell or transfer. Land Use Policy 2017, 69, 577–585. [Google Scholar] [CrossRef]
- Taylor, M.R.; Brester, G.W. Noncash Income Transfers and Agricultural Land Values. Rev. Agric. Econ. 2005, 27, 526–541. [Google Scholar] [CrossRef]
- Chauveau, J.; Colin, J. Customary Transfers and Land Sales in Côte d’Ivoire: Revisiting the Embeddedness Issue. Africa 2010, 80, 81–103. [Google Scholar] [CrossRef]
- Constantin, C.; Luminita, C.; Vasile, A. Land grabbing: A review of extent and possible consequences in Romania. Land Use Policy 2017, 62, 143–150. [Google Scholar] [CrossRef]
- Coase, R. The Institutional Structure of Production. Am. Econ. Rev. 1992, 82, 713–719. [Google Scholar]
- Ye, J. Land Transfer and the Pursuit of Agricultural Modernization in China. J. Agrar. Chang. 2015, 15, 314–337. [Google Scholar] [CrossRef]
- Peng, J.; Zhao, Z.; Chen, L. The Impact of High-Standard Farmland Construction Policy on Rural Poverty in China. Land 2022, 11, 1578. [Google Scholar] [CrossRef]
- Xu, R.; Zhan, Y.; Zhang, J.; He, Q.; Zhang, K.; Xu, D.; Deng, X. Does Construction of High-Standard Farmland Improve Recycle Behavior of Agricultural Film? Evidence from Sichuan, China. Agriculture 2022, 12, 1632. [Google Scholar] [CrossRef]
- Yan, J.; Yang, Y.; Xia, F. Subjective land ownership and the endowment effect in land markets: A case study of the farmland “three rights separation” reform in China. Land Use Policy 2021, 101, 105137. [Google Scholar] [CrossRef]
- Karita, K. Creating land markets for rural revitalization: Land transfer, property rights and gentrification in China. J. Rural Stud. 2021, 82, 68–77. [Google Scholar] [CrossRef]
- Zuka, S. Customary Land titling and inter-generational wealth transfer in Malawi: Will secondary Land rights holders maintain their Land rights? Land Use Policy 2019, 81, 680–688. [Google Scholar] [CrossRef]
- Xu, D.; Yong, Z.; Deng, X.; Zhuang, L.; Qing, C. Rural-Urban Migration and its Effect on Land Transfer in Rural China. Land 2021, 9, 81. [Google Scholar] [CrossRef]
- Su, B.; Li, Y.; Li, L.; Wang, Y. How does nonfarm employment stability influence farmers’ farmland transfer decision? Implications for China’s land use policy. Land Use Policy 2018, 74, 66–72. [Google Scholar] [CrossRef]
- Cao, Y.; Zou, J.; Fang, X.; Wang, J. Effect of land tenure fragmentation on the decision-making and scale of agricultural land transfer in China. Land Use Policy 2021, 99, 104996. [Google Scholar] [CrossRef]
- Ma, W.; Jaing, G.; Li, W.; Zhou, T.; Zhang, R. Multifunctionality assessment of the land use system in rural residential areas: Confronting land use supply with rural sustainability demand. J. Environ. Manag. 2019, 231, 73–85. [Google Scholar] [CrossRef]
- Wang, J.; Fang, F.; Zhang, Q.; Wang, J.; Yao, B.; Wang, W. Risk evaluation of agricultural disaster impacts on food production in southern China by probability density method. Nat. Hazards 2018, 83, 1605–1634. [Google Scholar] [CrossRef]
- Sun, J.; Cheng, P.; Liu, Z. Social Security, Intergenerational Care, and Cultivated Land Renting Out Behavior of Elderly Farmers: Findings from the China Health and Retirement Longitudinal Survey. Land 2023, 12, 392. [Google Scholar] [CrossRef]
- Kong, X.; Liu, Y.; Jiang, P.; Tian, Y.; Zou, Y. A novel framework for rural homestead land transfer under collective ownership in China. Land Use Policy 2018, 78, 138–146. [Google Scholar] [CrossRef]
- Wang, Y.; Li, X.; He, H.; Xin, L.; Tan, M. How reliable are cultivated land assets as social security for Chinese farmers? Land Use Policy 2020, 90, 104318. [Google Scholar] [CrossRef]
- Song, W.; Wu, K.; Zhao, H.; Zhao, R.; Li, T. Arrangement of High-standard Basic Farmland Construction Based on Village-region Cultivated Land Quality Uniformity. Chin. Geogr. Sci. 2019, 29, 325–340. [Google Scholar] [CrossRef]
- Geng, N.; Meng, Y.; Liu, Z. Farmland Transfer, Scale Management and Economies of Scale Assessment: Evidence from the Main Grain-Producing Shandong Province in China. Sustainability 2021, 14, 15229. [Google Scholar] [CrossRef]
- Yue, S.; Yang, Y.; Pu, Z. Total-factor ecology efficiency of regions in China. Ecol. Indic. 2017, 73, 284–292. [Google Scholar] [CrossRef]
- Ye, F.; Wang, L.; Razzaq, A.; Tong, T.; Zhang, Q.; Abbas, A. Policy Impacts of High-Standard Farmland Construction on Agricultural Sustainability: Total Factor Productivity-Based Analysis. Land 2023, 12, 238. [Google Scholar] [CrossRef]
- Chen, M.; Zhong, T.; Zhou, B.; Huang, H.; He, W. Empirical research on farm households’ attitude and behaviour for cultivated land transferring and it’s influencing factors in China. Agric. Econ. Zemed. Ekon. 1992, 56, 409–420. [Google Scholar] [CrossRef]
- Keswell, M.; Carter, M.R. Poverty and land redistribution. J. Dev. Econ. 2014, 110, 250–261. [Google Scholar] [CrossRef]
- Abiodun, N.; Emmanuel, D.; Charmaine, M.; Stephen, O. Impact of access to credit on farm income: Policy implications for rural agricultural development in Lesotho. Agrekon 2018, 27, 152–166. [Google Scholar] [CrossRef]
- Yan, H.; Du, W.; Zhou, Y. Satellite-based evidences to improve cropland productivity on the high standard farmland project regions in Henan province, China. Remote Sens. 2022, 14, 314–337. [Google Scholar] [CrossRef]
- Liu, Y.; Yan, B.; Wang, Y.; Zhou, Y. Will land transfer always increase technical efficiency in China? A land cost perspective. Land Use Policy 2019, 82, 414–421. [Google Scholar] [CrossRef]
- Robles, B.; Héctor, M. Transnational agribusiness capital and land market dynamics in Mexico. Can. J. Dev. Stud. 2012, 33, 529–551. [Google Scholar] [CrossRef]
- Anka, L.; Miran, F.; Franc, L.; Radoš, Š. Modelling the rural land transaction procedure. Land Use Policy 2008, 25, 286–297. [Google Scholar] [CrossRef]
- Shingo, K.; Keijiro, O.; Tetsushi, S.; Scott, R. Efficiency of Land Allocation through Tenancy Markets: Evidence from China. Econ. Dev. Cult. Chang. 2011, 59, 86. [Google Scholar] [CrossRef]
- Peter, L. Policy transfer and reversal: Customary land registration from Africa to Melanesia. Public Adm. Dev. 2002, 22, 151–161. [Google Scholar] [CrossRef]
- Lyu, K.; Chen, K.; Zhang, H. Relationship between land tenure and soil quality: Evidence from China’s soil fertility analysis. Land Use Policy 2019, 80, 345–361. [Google Scholar] [CrossRef]
- Vachadze, G. Land market liberalization, transfer of agricultural technology, and the process of industrialization. Land Use Policy 2013, 35, 388–394. [Google Scholar] [CrossRef]
- Sarah, R.; Brooke, W.; Han, X.; Wang, Z.; Duan, Y.; He, J.; Li, J.; Lin, W.; Wong, C. Scaling up agriculture? The dynamics of land transfer in inland China. World Dev. 2021, 146, 105563. [Google Scholar] [CrossRef]
- Valente, C. Household Returns to Land Transfers in South Africa: A Q-squared Analysis. J. Dev. Stud. 2011, 47, 354–376. [Google Scholar] [CrossRef]
- Peng, K.; Yang, C.; Chen, Y. Land transfer in rural China: Incentives, influencing factors and income effects. Appl. Econ. 2020, 52, 5477–5490. [Google Scholar] [CrossRef]
- Ying, W.; Richard, E.; Qi, Z.; Li, J.; Song, C. Effects of payment for ecosystem services and agricultural subsidy programs on rural household land use decisions in China: Synergy or trade-off? Land Use Policy 2019, 81, 785–801. [Google Scholar] [CrossRef]
- Guo, L.; Wang, W. Does agricultural mechanisation promote agricultural TFPG? Evidence from spatial panel data in China. Appl. Econ. 2022, 59, 6809–6828. [Google Scholar] [CrossRef]
- Janine, M.; Margareth, L. Mobile land: Modes of transfer—varieties of contexts. Hist. Fam. 2022, 27, 1–10. [Google Scholar] [CrossRef]
- Yu, X.; Yin, X.; Liu, Y.; Li, D. Agricultural Machinery Services Facilitate Land Transfer? Evidence from Rice Farmers in Sichuan Province, China. Land 2021, 10, 466. [Google Scholar] [CrossRef]





| Variable Name | Variable Abbreviation | Metrics | Mean | SD |
|---|---|---|---|---|
| Proportion of land transfer | Transfer1 | Land transfer area/total area of cultivated land | 0.2285 | 0.1755 |
| Proportion of high-standard farmland area | LH | High-standard farmland construction area/cultivated land area | 0.3684 | 0.2373 |
| Per capita circulation area | Transfer2 | Transfer area/total area of cultivated land, mu/person | 0.4615 | 0.6033 |
| Investment funds for comprehensive agricultural development per unit area | Invest | Investment funds for comprehensive agricultural development/cultivated land area, 10,000 CNY/ha | 0.6777 | 0.8011 |
| Education level | Education | Year | 8.4989 | 1.2910 |
| Proportion of rural labor force | Labor | Rural labor force/rural population | 0.6954 | 0.2451 |
| Proportion of irrigated area | Irrigated | Irrigated area/cultivated land area | 0.5099 | 0.2408 |
| Rural per capita power generation | Power | Rural power generation/rural population, 10,000 kWh/10,000 people | 3.9514 | 2.3309 |
| Number of Internet access ports | Internet | Billion | 0.1019 | 0.1521 |
| Industrialization rate | Industry | Added value of secondary industry/regional GDP | 0.4288 | 0.0829 |
| Average daily sunshine time | Sunshine | Annual sunshine duration/365 (h/day) | 5.6919 | 1.3721 |
| Average annual temperature | Temperature | Celsius | 13.1414 | 5.7232 |
| Average daily rainfall | Rainfall | Annual rainfall/365 (mL/day) | 11.1597 | 13.2484 |
| Main grain-producing areas | Grain | 1 = major grain-producing areas; 0 = non-major grain-producing areas | 0.4194 | 0.4938 |
| Area type | Position | 1 = east; 2 = middle; 3 = west | 2.0323 | 0.8614 |
| Geographical features | Location | 1 = north; 0 = south | 0.4839 | 0.5001 |
| Planting structure | Plant | Grain sown area/total sown area | 0.6550 | 0.1310 |
| Disaster rate | Disaster | Affected area/sown area | 0.2155 | 0.1491 |
| Total power of agricultural machinery per capita | Machine | Total power of agricultural machinery/rural population, 10,000 kW/10,000 people | 1.3157 | 0.8238 |
| Average output value of land | Efficiency | Total agricultural output value/cultivated land area, 10,000 CNY/1000 hectares | 0.3553 | 0.2822 |
| Variable | Provincial Clustering Standard Error | Common Standard Error | Robust Standard Error | Provincial Clustering Standard Error | Bootstrap 1000 Times |
|---|---|---|---|---|---|
| (1) | (2) | (3) | (4) | (5) | |
| 0.263 *** | 0.196 *** | 0.196 *** | 0.196 *** | 0.196 *** | |
| (0.0354) | (0.0190) | (0.0216) | (0.0293) | (0.0380) | |
| Education | 0.0424 *** | 0.0424 *** | 0.0424 ** | 0.0424 ** | |
| (0.0125) | (0.0107) | (0.0170) | (0.0183) | ||
| Labor | −0.0310 | −0.0310 ** | −0.0310 | −0.0310 | |
| (0.0209) | (0.0135) | (0.0254) | (0.0392) | ||
| Irrigation | 0.0229 | 0.0229 | 0.0229 | 0.0229 | |
| (0.0219) | (0.0175) | (0.0215) | (0.0277) | ||
| Power | 0.0179 *** | 0.0179 *** | 0.0179 *** | 0.0179 *** | |
| (0.0021) | (0.0022) | (0.0039) | (0.0040) | ||
| Internet | 0.130 *** | 0.130 *** | 0.130 ** | 0.130 * | |
| (0.0408) | (0.0420) | (0.0607) | (0.0683) | ||
| Industry | 0.0955 *** | 0.0955 *** | 0.0955 *** | 0.0955 *** | |
| (0.0154) | (0.0120) | (0.0268) | (0.0270) | ||
| Sunshine | 0.0190 *** | 0.0190 *** | 0.0190 ** | 0.0190 ** | |
| (0.0052) | (0.0051) | (0.0078) | (0.0076) | ||
| Temperature | 0.0210 *** | 0.0210 ** | 0.0210 | 0.0210 | |
| (0.0074) | (0.0085) | (0.0141) | (0.0134) | ||
| Rainfall | 0.0015 | 0.0015 | 0.0015 | 0.0015 | |
| (0.0081) | (0.0074) | (0.0079) | (0.0086) | ||
| Individual effect | YES | YES | YES | YES | YES |
| Time effect | YES | YES | YES | YES | YES |
| Constant | 0.272 *** | −0.571 *** | −0.571 *** | −0.571 ** | −0.402 * |
| (0.0079) | (0.1330) | (0.1720) | (0.2530) | (0.2380) | |
| R2 | 0.81 | 0.979 | 0.979 | 0.979 | 0.992 |
| Variable | Control Variables Are Not Included | Control Variables Included |
|---|---|---|
| (1) | (2) | |
| LH × 2006 | −0.0346 | −0.0016 |
| (0.0221) | (0.0153) | |
| LH × 2007 | −0.0177 | 0.0122 |
| (0.0350) | (0.0360) | |
| LH × 2008 | 0.0328 | 0.0774 |
| (0.0494) | (0.0458) | |
| LH × 2009 | 0.0320 | 0.0647 |
| (0.0359) | (0.0458) | |
| LH × 2010 | −0.0110 | 0.0553 |
| (0.0454) | (0.0454) | |
| LH × 2011 | 0.285 *** | 0.266 *** |
| (0.0475) | (0.0383) | |
| LH × 2012 | 0.293 *** | 0.215 *** |
| (0.0441) | (0.0415) | |
| LH × 2013 | 0.298 *** | 0.245 *** |
| (0.0424) | (0.0441) | |
| LH × 2014 | 0.222 *** | 0.197 *** |
| (0.0469) | (0.0258) | |
| LH × 2015 | 0.269 *** | 0.243 *** |
| (0.0523) | (0.0419) | |
| LH × 2016 | 0.243 *** | 0.195 *** |
| (0.0579) | (0.0472) | |
| LH × 2017 | 0.268 *** | 0.212 *** |
| (0.0478) | (0.0457) | |
| Control variable | YES | YES |
| Individual effect | YES | YES |
| Time effect | YES | YES |
| Constant | 0.271 *** | −0.606 ** |
| (0.0106) | (0.2680) | |
| R2 | 0.913 | 0.981 |
| Variable | Interpolation Method | Proportional Method | Interpolation Method | Proportional Method |
|---|---|---|---|---|
| (1) | (2) | (3) | (4) | |
| 0.191 *** | 0.228 *** | |||
| (0.0253) | (0.0283) | |||
| LH × 2006 | 0.0236 | 0.0135 | ||
| (0.0168) | (0.0215) | |||
| LH × 2007 | 0.0016 | 0.0353 | ||
| (0.0611) | (0.0527) | |||
| LH × 2008 | 0.0593 | 0.0857 | ||
| (0.0468) | (0.0550) | |||
| LH × 2009 | 0.0662 | 0.0905 | ||
| (0.0475) | (0.0553) | |||
| LH × 2010 | 0.0683 | 0.0835 | ||
| (0.0572) | (0.0592) | |||
| LH × 2011 | 0.254 *** | 0.279 *** | ||
| (0.0312) | (0.0362) | |||
| LH × 2012 | 0.185 *** | 0.216 *** | ||
| (0.0385) | (0.0395) | |||
| LH × 2013 | 0.219 *** | 0.246 *** | ||
| (0.0439) | (0.0380) | |||
| LH × 2014 | 0.176 *** | 0.202 *** | ||
| (0.0269) | (0.0285) | |||
| LH × 2015 | 0.221 *** | 0.246 *** | ||
| (0.0421) | (0.0352) | |||
| LH × 2016 | 0.162 *** | 0.194 *** | ||
| (0.0530) | (0.0466) | |||
| LH × 2017 | 0.181 *** | 0.216 *** | ||
| (0.0475) | (0.0440) | |||
| LH × 2018 | 0.182 *** | 0.224 *** | ||
| (0.0378) | (0.0456) | |||
| LH × 2019 | 0.271 *** | 0.308 *** | ||
| (0.0726) | (0.0849) | |||
| LH × 2020 | 0.277 *** | 0.311 *** | ||
| (0.0625) | (0.0760) | |||
| Control variable | YES | YES | YES | YES |
| Individual effect | YES | YES | YES | YES |
| Time effect | YES | YES | YES | YES |
| Constant | −0.791 ** | −0.553 ** | −0.806 ** | −0.556 ** |
| (0.2910) | (0.2400) | (0.3180) | (0.2580) | |
| R2 | 0.936 | 0.925 | 0.941 | 0.951 |
Disclaimer/Publisher’s Note: The statements, opinions and data contained in all publications are solely those of the individual author(s) and contributor(s) and not of MDPI and/or the editor(s). MDPI and/or the editor(s) disclaim responsibility for any injury to people or property resulting from any ideas, methods, instructions or products referred to in the content. |
© 2024 by the authors. Licensee MDPI, Basel, Switzerland. This article is an open access article distributed under the terms and conditions of the Creative Commons Attribution (CC BY) license (https://creativecommons.org/licenses/by/4.0/).
Share and Cite
Chen, L.; Peng, J.; Chen, Y.; Cao, Q. Will Agricultural Infrastructure Construction Promote Land Transfer? Analysis of China’s High-Standard Farmland Construction Policy. Sustainability 2024, 16, 9234. https://doi.org/10.3390/su16219234
Chen L, Peng J, Chen Y, Cao Q. Will Agricultural Infrastructure Construction Promote Land Transfer? Analysis of China’s High-Standard Farmland Construction Policy. Sustainability. 2024; 16(21):9234. https://doi.org/10.3390/su16219234
Chicago/Turabian StyleChen, Lili, Jiquan Peng, Yufeng Chen, and Qingyan Cao. 2024. "Will Agricultural Infrastructure Construction Promote Land Transfer? Analysis of China’s High-Standard Farmland Construction Policy" Sustainability 16, no. 21: 9234. https://doi.org/10.3390/su16219234
APA StyleChen, L., Peng, J., Chen, Y., & Cao, Q. (2024). Will Agricultural Infrastructure Construction Promote Land Transfer? Analysis of China’s High-Standard Farmland Construction Policy. Sustainability, 16(21), 9234. https://doi.org/10.3390/su16219234

