The Impact of the National Civilized City Program on the Environmental, Social and Governance Performance of Enterprises: Evidence from China
Abstract
1. Introduction
2. Theoretical Analysis and Hypotheses
2.1. The National Civilized City Program and ESG Performance
2.2. Environmental Regulation and ESG Performance
2.3. Corporate Responsibility towards Employees and ESG Performance
3. Data and Methodology
3.1. Sample Selection and Data Sources
3.2. Variable Definitions
3.2.1. Dependent Variable
3.2.2. Independent Variable
3.2.3. Control Variables
3.2.4. Mediator Variables
3.3. Research Models
4. Empirical Analysis
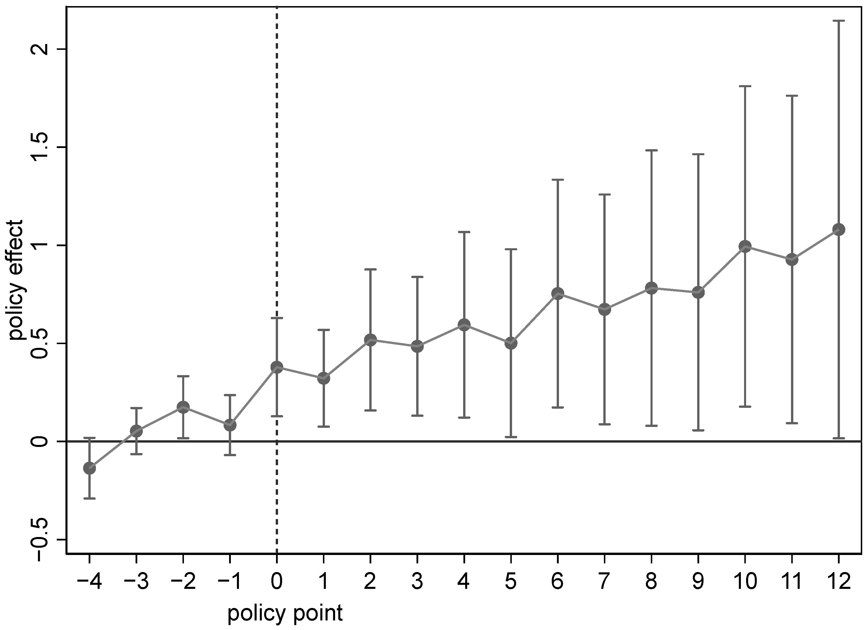
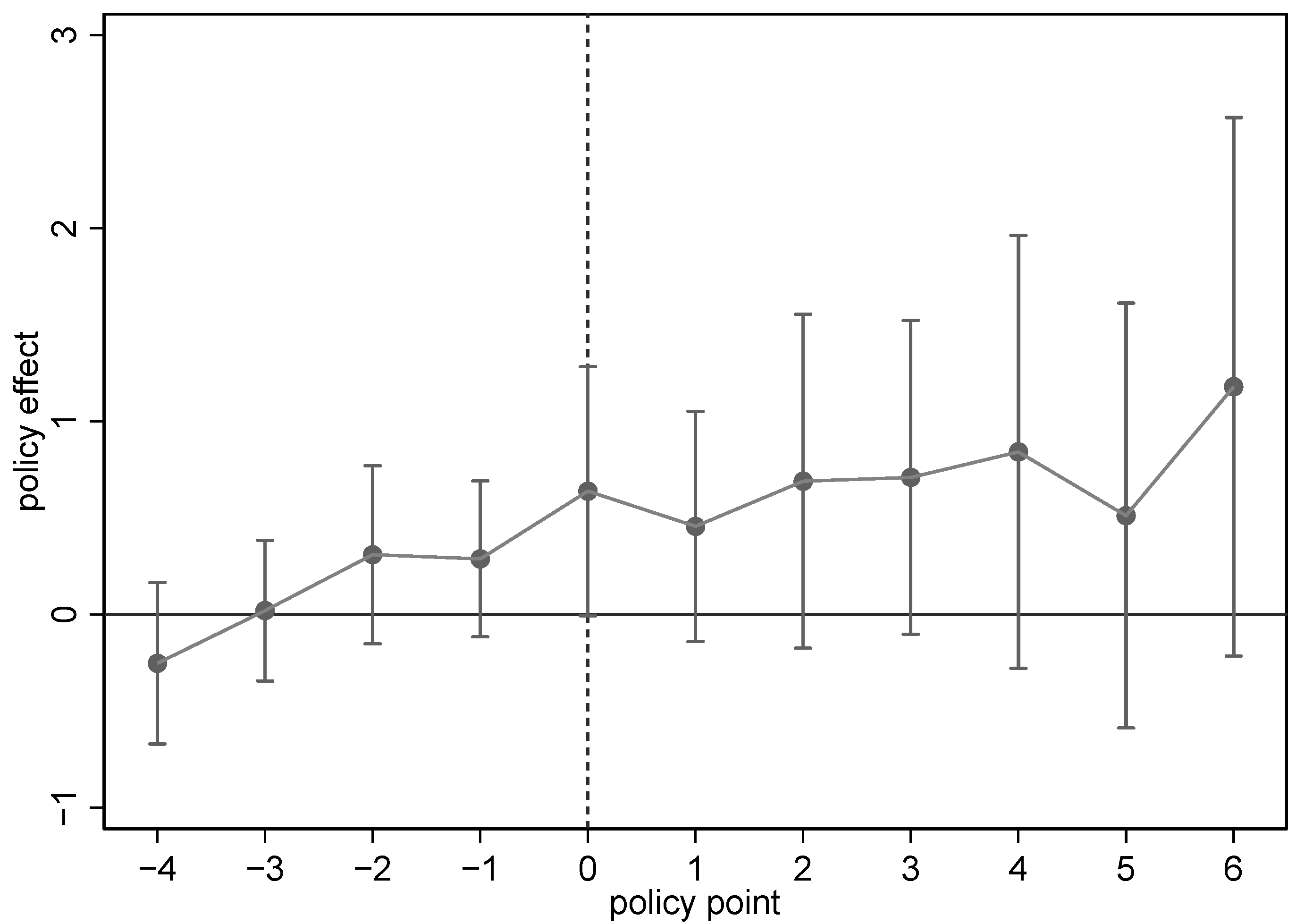
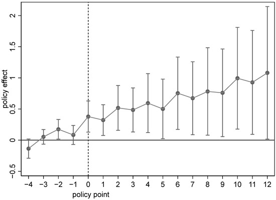
4.1. Parallel Trend Tests and Dynamic Effects Analysis
4.2. Baseline Regression Results
4.3. Robustness Tests
4.3.1. Time Placebo Test
4.3.2. PSM Test
4.4. Mediation Effects Test
4.5. Endogeneity Analysis
4.6. Heterogeneity Analysis
4.6.1. Geographical Heterogeneity
4.6.2. Heterogeneity of Enterprise Ownership
4.6.3. Heterogeneity of Corporate Pollution Attributes
5. Conclusions and Recommendations
5.1. Conclusions
5.2. Recommendations
5.3. Further Discussion
Author Contributions
Funding
Institutional Review Board Statement
Informed Consent Statement
Data Availability Statement
Acknowledgments
Conflicts of Interest
References
- Song, Y. Research on the of ESG Governance Mechanism of Commercial Banks under the Background of Carbon Peak and Carbon Neutrality. Hainan Financ. 2021, 12, 59–67. [Google Scholar]
- Ge, C.; Han, J. Research on the impact of green bond issuance on corporate ESG performance. East China Econ. Manag. 2023, 37, 102–113. [Google Scholar]
- Wu, C.; Chen, S. Green transformation and high-quality development under ESG system with Chinese characteristics. New Financ. 2022, 4, 8–16. [Google Scholar]
- Yan, Y.; Ge, C.; Liu, H. Directors and Officers Liability Insurance and Corporate ESG Performance—Empirical Evidence from Chinese Listed Companies. Enterp. Econ. 2023, 42, 49–58. [Google Scholar]
- Drempetic, S.; Klein, C.; Zwergel, B. The influence of firm size on the ESG score: Corporate sustainability ratings under review. J. Bus. Ethics 2020, 167, 333–360. [Google Scholar] [CrossRef]
- Wasiuzzaman, S.; Wan mohammad, W.M. Board gender diversity and transparency of environmental, social and governance disclosure:evidence from Malaysia. Manag. Decis. Econ. 2020, 1, 145–156. [Google Scholar] [CrossRef]
- Liu, H.; Zhang, Z. Can executive equity incentives improve corporate ESG performance? Mod. Manag. Sci. 2023, 4, 75–84. [Google Scholar]
- Zhang, L.; Zhang, C. Structural power of corporate boards and ESG performance. Soft Sci. 2023, 12, 1–15. [Google Scholar]
- Miller, S.J.; Wiseman, M.R.; Gomez-Mejia, R.L. The fit between CEO compensation design and firm risk. Acad. Manag. J. 2002, 4, 45. [Google Scholar] [CrossRef]
- Yin, K.; Liu, X.; Chen, H. Research on the relationship between endogenous corporate social responsibility and financial performance: Empirical evidence from Chinese listed companies. China Soft Sci. 2014, 6, 98–108. [Google Scholar]
- Liu, X.; Li, H.; Kong, X. Research on the impact of party organization governance on corporate ESG performance. Financ. Econ. Discuss. Pap. 2022, 1, 100–112. [Google Scholar]
- Xu, S.; Wang, G. Economic policy uncertainty and corporate ESG practices. Financ. Account. Commun. 2023, 20, 40–45. [Google Scholar]
- Xu, G.; Ren, Q.; Qian, M. Economic policy uncertainty and corporate ESG performance. Financ. Account. Mon. 2023, 44, 151–160. [Google Scholar]
- Chen, H.; He, R.; Gao, X.; Cui, X. The impact of broker public account reports on corporate ESG performance. J. Manag. Sci. 2023, 20, 1762–1770. [Google Scholar]
- Zhang, H.; Huang, Q. Institutional pressure, dominant CEO, and ESG responsibility fulfillment in listed companies. J. Shanxi Univ. Financ. Econ. 2022, 44, 74–86. [Google Scholar]
- Li, X.; Li, K. Can family involvement enhance corporate ESG performance? Based on the theory of social emotional wealth. Financ. Account. Mon. 2022, 17, 51–160. [Google Scholar]
- Mooneeapen, O.; Abhayawansa, S.; Khan, N.M. The influence of the country governance environment on corporate environmental, social and governance (ESG) performance. Sustain. Account. Manag. Policy J. 2022, 13, 953–985. [Google Scholar] [CrossRef]
- Zhou, Z.; Lei, L. Optimizing the business environment and corporate ESG performance. J. Xiamen Univ. (Philos. Soc. Sci. Ed.) 2023, 73, 43–56. [Google Scholar]
- Baldini, M.; Maso, L.D.; Liberatore, G.; Mazzi, F.; Terzani, S. Role of country- and firm-level determinants in environmental, social, and governance disclosure. J. Bus. Ethics 2018, 1, 79–98. [Google Scholar] [CrossRef]
- Zhang, G.; Lü, Y.; Zhan, J. The impact of Confucian culture on corporate ESG performance. Account. Friends 2023, 20, 68–75. [Google Scholar]
- Cai, H.; Wang, X.; Xie, Q. The impact of civilized city selection on corporate green innovation from the perspective of environmental regulation. Financ. Econ. Discuss. Pap. 2023, 5, 102–112. [Google Scholar]
- Wang, P.; Yang, S.; Huang, S. The impact of environmental protection tax on corporate environmental, social, and governance performance: A study based on the mediating effect of green technology innovation. Tax Res. 2021, 11, 50–56. [Google Scholar]
- Cai, H.; Zhou, Z. Market-oriented environmental regulation policies and the quality of ESG information disclosure. Financ. Account. Mon. 2022, 24, 62–70. [Google Scholar]
- Yang, Q. Green credit and corporate ESG performance: Empirical evidence from China’s A-share non-financial listed companies. Financ. Dev. Rev. 2022, 12, 26–39. [Google Scholar]
- Wang, Z.; Wang, H. Pilot policies for low-carbon cities and high-quality corporate development: An examination based on economic efficiency and social benefits. Econ. Manag. 2022, 44, 43–62. [Google Scholar]
- Liu, X.; Xu, Y. The impact of low-carbon city pilot policies on corporate ESG performance: An empirical test based on a multi-period difference-in-differences approach. Financ. Econ. 2023, 4, 38–50. [Google Scholar]
- Yi, C.; Bi, T.; Huang, Z.; Fan, Z. The spatiotemporal evolution characteristics of the national urban honor list and its influencing factors: A study based on the perspective of multi-city cooperation. J. East China Norm. Univ. (Philos. Soc. Sci. Ed.) 2022, 54, 155–171+176. [Google Scholar]
- Wu, M.; Huang, J. Is intergovernmental competition governance effective? A case study of the civil city evaluation and urban sanitation. World Econ. 2022, 45, 212–232. [Google Scholar]
- Bi, T.; Yi, C.; Wang, Y.; Chen, J. National civilized cities and corporate innovation: An empirical analysis based on manufacturing enterprise data. J. Cent. Univ. Financ. Econ. 2023, 9, 117–128. [Google Scholar]
- Liu, J.; Liu, X.; Li, Y. The relationship between civilized city selection and tourism economic development: “A feather in one’s cap” or “a timely assistance”? Tour. Sci. 2022, 36, 45–70. [Google Scholar]
- Zheng, W.; Zhang, D. National civilized cities and corporate performance: Micro evidence based on propensity score matching difference-in-differences. Ind. Econ. Res. 2016, 5, 37–46. [Google Scholar]
- Xu, H.; Chen, B. Does urban reputation promote corporate social responsibility fulfillment? Evidence from the natural experiment of civilized city selection. J. Nanjing Univ. Financ. Econ. 2022, 4, 66–76. [Google Scholar]
- Coase, R.H. The nature of the firm. Economic 1937, 4, 386–405. [Google Scholar] [CrossRef]
- North, D.C. Institutions. J. Econ. Perspect. 1991, 5, 97–112. [Google Scholar] [CrossRef]
- Scott, R.; Davis, G.F. Organizations and Organizing: Rational, Natural and Open Systems Perspectives; The Library Association: London, UK, 1990. [Google Scholar]
- Gao, X.; Wang, J.; Zhang, Q. Does environmental regulation promote the optimization of urban industrial structure? A quasi-natural experiment based on the “Two Control Areas” policy. Econ. Geogr. 2019, 39, 122–128+137. [Google Scholar]
- Chen, R.; Yang, J.; Dai, C.; Wang, Z. The power of honor: Can the title of National Civilized City Program stimulate local governments to enhance corporate emission reduction? Ind. Econ. Res. 2021, 2, 71–84. [Google Scholar]
- Liu, Z.; Liu, C. Research on the impact effects of civilized cities on industrial structure upgrading: A quasi-natural experiment from the selection of civilized cities. Ind. Econ. Res. 2021, 1, 43–55,85. [Google Scholar]
- Zheng, Z.; Li, B.; Yu, P. The impact of environmental regulation on industrial structure upgrading: Evidence from the “2+26” cities. Sci. Decis. 2023, 1, 1–17. [Google Scholar]
- Lu, J.; Wang, X.; Liu, L. The effect of low-carbon city policies on industrial structure upgrading: A quasi-natural experiment based on low-carbon city pilot projects. J. Xi’Jiaotong Univ. (Soc. Sci. Ed.) 2020, 40, 104–115. [Google Scholar]
- Wang, S.; Sun, P. The impact of National Civilized City Program selection on green, low-carbon, and high-quality development. Stat. Decis. 2023, 39, 82–86. [Google Scholar]
- Chen, H.; Zhang, L. ESG performance, digital transformation, and enhancement of corporate value. J. Zhongnan Univ. Econ. Law 2023, 3, 136–149. [Google Scholar]
- Li, C.; Shenkar, O.; Newburry, W.E.; Tang, Y. How country reputation differentials influence market reaction to international acquisitions. J. Manag. Stud. 2021, 58, 1609–1639. [Google Scholar] [CrossRef]
- Guan, H.; Zhang, Y. Measuring and evaluating the coupling coordination between environmental regulation and high-quality economic development. Ecol. Econ. 2022, 38, 169–176. [Google Scholar]
- Wang, Y.; Wang, Y. Corporate ESG performance, risk-taking, and green technology innovation. Friend Account. 2023, 10, 94–102. [Google Scholar] [CrossRef]
- Hu, J.; Ruan, X.; Ma, D. Environmental regulation, cost shifting, and corporate environmental governance. J. Hainan Univ. (Humanit. Soc. Sci. Ed.) 2023, 41, 187–198. [Google Scholar]
- Xu, Y.; Shen, Y.; Hu, J. Import encouragement policies, market-based environmental regulations, and enterprise innovation: A perspective of policy synergy. J. Shanxi Univ. Financ. Econ. 2022, 44, 76–90. [Google Scholar]
- Ma, S.; Xue, Y.; Huang, Z. The impact of environmental regulation on employment scale in the Beijing-Tianjin-Hebei city cluster. China Soft Sci. 2023, 9, 171–181. [Google Scholar]
- Chai, Q.; Li, Z. The impact paths and effects of environmental regulation on high-quality employment. Tax Econ. 2023, 2, 91–99. [Google Scholar]
- Huang, D.; Xie, H.; Zou, M. Environmental regulation and corporate ESG performance under the dual carbon background: Empirical evidence based on macro and micro dual mechanisms. J. Shanxi Univ. Financ. Econ. 2023, 45, 83–96. [Google Scholar]
- He, Y. The role of government in corporate social responsibility movements. Chin. Public Adm. 2010, 11, 45–48. [Google Scholar]
- Aula, P.; Harmaakorpi, V. An innovative milieu—A view on regional reputation building: Case study of the Lahti urban region. Reg. Stud. 2018, 42, 523–538. [Google Scholar] [CrossRef]
- Baer, M.D.; Bundy, J.; Garud, N.; Kim, J.K. The benefits and burdens of organizational reputation for employee well-being: A conservation of resources approach. Pers. Psychol. 2018, 71, 571–595. [Google Scholar] [CrossRef]
- Edmans, A.; Li, L.; Zhang, C. Employee Satisfaction, Labor Market Flexibility, and Stock Returns around the World; Social Science Electronic Publishing: Rochester, NY, USA, 2014. [Google Scholar]
- Li, Q.; Wang, F. Research on enterprise market environment analysis and competitive strategies. Econ. Manag. 2019, 41, 45–56. [Google Scholar]
- Chen, G. The application of market risk management in companies of different industries. Financ. Res. 2018, 45, 112–120. [Google Scholar]
- Liu, L.; Zhou, Y. Research on enterprise innovation strategies in different competitive environments. Nankai Bus. Rev. 2021, 24, 29–41. [Google Scholar]
- Zhang, W. Comparative analysis of financial management methods between listed and non-listed companies. Financ. Account. 2020, 34, 93–97. [Google Scholar]
- Song, K.; Xu, L.; Li, Z.; Wang, F. Can ESG investment promote banks’ liquidity creation?—With a discussion on the moderating effect of economic policy uncertainty. Financ. Res. 2022, 2, 61–79. [Google Scholar]
- Shi, D.; Hu, K.; Chen, J. Does urban civilization promote high-quality corporate development?—Based on the perspectives of environmental regulation and transaction costs. Ind. Econ. Res. 2019, 6, 27–38. [Google Scholar]
- Beck, T.; Levine, R.; Levkov, A. Big bad banks? The winners and losers from bank deregulation in the United States. J. Financ. 2010, 65, 1637–1667. [Google Scholar] [CrossRef]
- Wang, X.; Bu, L. International export trade and corporate innovation: A quasi-natural experiment study based on the opening of the “China-Europe Railway Express”. China Ind. Econ. 2019, 10, 80–98. [Google Scholar]
- Nunn, N. Relationship-specificity, incomplete contracts, and the pattern of trade. Q. J. Econ. 2007, 122, 569–600. [Google Scholar] [CrossRef]
- Qian, N. Missing women and the price of tea in China: The effect of sex-specific earnings on sex imbalance. Q. J. Econ. 2008, 123, 1251–1285. [Google Scholar] [CrossRef]
- Zheng, Y. Corporate social responsibility information disclosure and green technology innovation: Genuine or camouflage? Friend Account. 2023, 19, 100–110. [Google Scholar]
- Sun, W.; Chen, B. Can development zone policies promote balanced urban development? Economics 2023, 23, 74–90. [Google Scholar]
- Feng, H.; Guo, N. Can non-state-owned shareholders’ excessive delegation of directors improve the quality of accounting information?—Based on the background of mixed ownership reform of state-owned enterprises. Account. Res. 2021, 5, 15–31. [Google Scholar]
- Pan, A.; Liu, X.; Qiu, J.; Shen, Y. Can green mergers and acquisitions under media pressure promote substantial transformation of heavily polluting enterprises? China Ind. Econ. 2019, 2, 174–192. [Google Scholar]





| Variable | N | Mean | SD | Min | Max. |
|---|---|---|---|---|---|
| ESG | 12,584 | 4.085 | 1.105 | 1.000 | 6.000 |
| Treat × Post | 12,584 | 0.535 | 0.499 | 0.000 | 1.000 |
| COD | 12,584 | 0.872 | 1.607 | 0.000 | 10.205 |
| SOR | 12,584 | 2.449 | 2.843 | −0.160 | 20.770 |
| Age | 12,584 | 2.891 | 0.338 | 1.793 | 3.515 |
| ROE | 12,584 | 0.060 | 0.134 | −0.752 | 0.342 |
| Q | 12,584 | 0.596 | 0.485 | −0.144 | 2.241 |
| PE | 12,584 | 3.766 | 0.990 | 1.700 | 6.896 |
| LEV | 12,584 | 0.424 | 0.209 | 0.053 | 0.946 |
| FE | 12,584 | 0.141 | 0.051 | 0.074 | 0.392 |
| IS | 12,584 | 2.852 | 1.628 | 0.409 | 7.314 |
| GDP | 12,584 | 2.380 | 0.838 | 0.358 | 3.921 |
| POP | 12,584 | 6.694 | 0.966 | 4.223 | 9.094 |
| FDI | 12,584 | 3.531 | 3.618 | −0.733 | 5.731 |
| HHI | 12,584 | 0.152 | 0.160 | 0.021 | 1.000 |
| Variable Type | Variable Name | Variable Symbol | Calculation Method |
|---|---|---|---|
| dependent variable | ESG performance | ESG | Assign a score of 9 to 1 for grades AAA to C in that order. |
| independent variable | National Civilized City Program | Treat × Post | If the city where firm i is located is selected in year t, it takes the value of 1, and vice versa, it takes the value of 0. |
| mediator variables | Environmental regulation | COD | PI = 1/3(R1 + R2 + R3), with R1 being the relative emission level of a pollutant |
| Employee responsibility | SOR | Breakdown of CSR scoring indicators published by Hexun.com | |
| firm-level control variables | Age of business | Age | ln(year-year of listing + 1) |
| Return on net assets | ROE | ln(total assets at year-end + 1) | |
| PE ratio | PE | Average annual market capitalization/average annual shareholders’ equity | |
| Gearing | Lev | Total liabilities at year-end/total assets at year-end | |
| Enterprise value | Q | ln(market value of the firm/replacement cost of the firm’s capital + 1) | |
| city-level control variables | Level of fiscal expenditure | FE | Local general budget expenditures/GDP |
| Industrial structure | IS | ln(value added of tertiary sector/value added of primary sector) | |
| Level of economic development | GDP | GDP per capita | |
| Population density | Density | ln(average annual population/urban land area + 1) | |
| Level of foreign investment | FDI | ln(FDI/GDP + 1) | |
| industry-level control variables | Industry concentration | HHI | HHI index |
| Variables | (1) | (2) | (3) | (4) |
|---|---|---|---|---|
| ESG | ESG | ESG | Equity Concentration | |
| Treat × Post | 0.069 ** | 0.064 * | 0.072 ** | 0.0780 * |
| (2.06) | (1.88) | (2.11) | (0.449) | |
| Age | −0.109 ** | −0.123 *** | −0.073 | −6.001 *** |
| (−2.55) | (−2.71) | (−1.61) | (1.103) | |
| ROE | 0.587 * | 0.604 * | 0.665 * | 45.54 *** |
| (1.69) | (1.75) | (1.91) | (6.131) | |
| PE | −0.136 *** | −0.147 *** | −0.133 *** | 1.539 *** |
| (−5.86) | (−6.22) | (−5.61) | (0.407) | |
| LEV | −0.720 *** | −0.744 *** | −0.708 *** | −3.832 ** |
| (−8.79) | (−9.11) | (−8.41) | (1.699) | |
| Q | −0.211 *** | −0.251 *** | −0.252 *** | −6.296 *** |
| (−5.44) | (−6.13) | (−6.20) | (0.776) | |
| FE | −0.284 | −0.426 | 1.152 | 9.389 |
| (−0.68) | (−0.81) | (1.56) | (7.131) | |
| IS | −0.047 ** | −0.047 * | 0.025 | −0.722 |
| (−2.43) | (−1.91) | (0.35) | (0.921) | |
| GDP | 0.045 | 0.048 | 0.070 | 0.286 |
| (1.02) | (0.91) | (1.08) | (0.767) | |
| POP | 0.042 * | 0.045 | 0.064 | 0.108 |
| (1.88) | (1.60) | (1.42) | (0.626) | |
| FDI | 0.024 | 0.016 | 0.090 | 0.128 |
| (0.82) | (0.54) | (1.24) | (0.317) | |
| HHI | −0.046 | −0.036 | −0.101 | −1.599 |
| (−1.42) | (−1.03) | (−1.45) | (2.052) | |
| Constant | 0.021 | 0.058 | 0.065 | 0.021 |
| (0.22) | (0.60) | (0.67) | (0.22) | |
| Industry-FE | Y | Y | Y | Y |
| Year-FE | N | Y | Y | Y |
| City-FE | N | N | Y | Y |
| Observations | 12,584 | 12,584 | 12,584 | 12,584 |
| Variables | (1) | (2) | (3) |
|---|---|---|---|
| ESG | ESG | ESG | |
| did_2 | 0.042 | ||
| (1.02) | |||
| did_3 | 0.036 | ||
| (0.83) | |||
| did_4 | 0.026 | ||
| (0.59) | |||
| AGE | 0.067 * | 0.074 ** | 0.075 ** |
| (1.93) | (2.15) | (2.17) | |
| ROE | −0.073 | −0.073 | −0.073 |
| (−1.61) | (−1.61) | (−1.61) | |
| PE | 0.665 * | 0.666 * | 0.666 * |
| (1.92) | (1.92) | (1.92) | |
| LEV | −0.133 *** | −0.132 *** | −0.133 *** |
| (−5.61) | (−5.61) | (−5.61) | |
| Q | −0.708 *** | −0.708 *** | −0.708 *** |
| (−8.41) | (−8.41) | (−8.40) | |
| FE | −0.252 *** | −0.252 *** | −0.252 *** |
| (−6.21) | (−6.20) | (−6.20) | |
| IS | 1.175 | 1.165 | 1.149 |
| (1.59) | (1.58) | (1.56) | |
| GDP | 0.026 | 0.030 | 0.030 |
| (0.37) | (0.42) | (0.42) | |
| POP | 0.063 | 0.065 | 0.066 |
| (0.98) | (1.00) | (1.03) | |
| FDI | 0.065 | 0.065 | 0.064 |
| (1.45) | (1.45) | (1.44) | |
| HHI | 0.095 | 0.095 | 0.093 |
| (1.30) | (1.31) | (1.28) | |
| Constant | −0.106 | −0.105 | −0.103 |
| (−1.52) | (−1.51) | (−1.48) | |
| Year-FE | Y | Y | Y |
| City-FE | Y | Y | Y |
| Industry-FE | Y | Y | Y |
| Observations | 12,584 | 12,584 | 12,584 |
| Variables | Match | Deviation | Decrease in Deviation | t-Value | p-Value |
|---|---|---|---|---|---|
| AGE | U | 27.7 | 88.9 | 13.37 | 0 |
| M | 3.1 | 0.99 | 0.322 | ||
| ROE | U | −1.1 | 13.5 | −0.52 | 0.604 |
| M | 0.9 | 0.3 | 0.763 | ||
| PE | U | 1.9 | 41.6 | 0.91 | 0.361 |
| M | 1.1 | 0.37 | 0.708 | ||
| LEV | U | −11.5 | 95.3 | −5.52 | 0 |
| M | −0.5 | −0.18 | 0.86 | ||
| Q | U | −5.7 | 80.1 | −2.73 | 0.006 |
| M | −1.1 | −0.37 | 0.715 | ||
| FE | U | −20.1 | 87.3 | −9.31 | 0 |
| M | 2.6 | 1.09 | 0.275 | ||
| IS | U | 121.8 | 95.2 | 61.37 | 0 |
| M | −5.9 | −3.27 | 0.001 | ||
| GDP | U | 153 | 97.9 | 73.8 | 0 |
| M | −3.3 | −1.5 | 0.134 | ||
| POP | U | 99.8 | 99.2 | 48.92 | 0 |
| M | 0.7 | 0.32 | 0.751 | ||
| FDI | U | 61.6 | 95 | 28.81 | 0 |
| M | −3.1 | −1.24 | 0.216 | ||
| HHI | U | −12.1 | 80.3 | −5.79 | 0 |
| M | −2.4 | −0.76 | 0.45 |
| Variables | (1) | (2) |
|---|---|---|
| COD | SOR | |
| Treat × Post | −0.274 *** | 0.214 * |
| (−4.91) | (1.79) | |
| Age | −0.001 | 0.662 *** |
| (−0.06) | (3.17) | |
| ROE | −0.303 | 3.839 *** |
| (−1.06) | (2.76) | |
| PE | −0.027 | −0.471 *** |
| (−1.42) | (−5.46) | |
| LEV | 0.005 | 1.697 *** |
| (0.09) | (5.18) | |
| Q | 0.070 ** | 0.173 |
| (1.98) | (1.13) | |
| FE | −4.095 ** | 1.017 |
| (−2.06) | (0.48) | |
| IS | 0.920 *** | −0.100 |
| (9.58) | (−0.40) | |
| GDP | −1.153 *** | −0.144 |
| (−9.51) | (−0.48) | |
| POP | 0.433 *** | −0.923 *** |
| (7.61) | (−5.04) | |
| FDI | 0.214 *** | 0.132 |
| (5.60) | (1.54) | |
| HHI | −0.408 *** | −0.118 |
| (−3.80) | (−0.33) | |
| Constant | −1.354 * | 7.943 *** |
| (−1.73) | (3.96) | |
| Industry-FE | Y | Y |
| Year-FE | Y | Y |
| City-FE | Y | Y |
| Observations | 12,584 | 12,584 |
| Variables | (1) | (2) | (3) |
|---|---|---|---|
| Phase I | Phase II | Phase II | |
| Treat × Post | ESG | COD | |
| L.Treat × Post | 0.048 *** | ||
| (4.82) | |||
| Treat × Post | 1.317 ** | −0.080 *** | |
| (2.33) | (−2.62) | ||
| Kleibergen–Paap rk LM statistic | 23.27 | ||
| Cragg–Donald Wald F statistic | 24.81 | ||
| Control variable | Y | Y | Y |
| Industry-FE | Y | Y | Y |
| Year-FE | Y | Y | Y |
| Observations | 12,584 | 12,584 | 12,584 |
| Variables | Geographical Heterogeneity | Ownership Heterogeneity | Heterogeneity of Pollution Properties | ||||
|---|---|---|---|---|---|---|---|
| Eastern Part | Central Part | Western Part | State Enterprise | Private Enterprise | Heavy Pollution | Non-Heavy Pollution | |
| (1) | (2) | (3) | (4) | (5) | (6) | (7) | |
| Treat × Post | 0.065 * | 0.251 ** | −0.082 | 0.135 ** | 0.028 | 0.091 | 0.077 ** |
| (1.71) | (2.15) | (−0.64) | (2.42) | (0.61) | (1.09) | (2.04) | |
| Age | −0.079 | 0.052 | 0.173 | 0.069 | −0.138 ** | −0.222 * | −0.046 |
| (−1.56) | (0.39) | (0.92) | (0.68) | (−2.57) | (−1.72) | (−0.92) | |
| ROE | −0.015 *** | −0.002 *** | 0.030 | −0.119 *** | −0.003 | −1.264 *** | 0.831 ** |
| (−2.62) | (−3.31) | (1.34) | (−2.94) | (−1.62) | (−2.70) | (2.22) | |
| PE | −0.192 *** | −0.141 *** | −0.116 *** | −0.143 *** | −0.169 *** | −0.228 *** | −0.126 *** |
| (−10.00) | (−4.55) | (−3.09) | (−6.71) | (−8.15) | (−5.41) | (−4.87) | |
| LEV | −0.631 *** | −0.731 *** | −0.672 ** | −0.423 *** | −0.764 *** | −0.830 *** | −0.740 *** |
| (−6.26) | (−3.69) | (−2.32) | (−2.73) | (−7.19) | (−3.46) | (−8.16) | |
| Q | −0.170 *** | −0.183 ** | −0.202 * | −0.171 *** | −0.164 *** | −0.082 | −0.285 *** |
| (−3.99) | (−2.18) | (−1.72) | (−2.89) | (−3.54) | (−0.94) | (−6.55) | |
| FE | 1.119 | 3.271 * | 0.519 | 1.013 | 1.008 | 0.627 | 0.587 |
| (1.13) | (1.79) | (0.59) | (1.07) | (1.28) | (0.65) | (0.66) | |
| IS | −0.068 | 0.055 | 0.491 | 0.204 * | −0.006 | −0.043 | 0.025 |
| (−0.87) | (0.27) | (1.35) | (1.81) | (−0.07) | (−0.25) | (0.31) | |
| GDP | 0.451 *** | 0.009 | 0.182 | −0.065 | 0.133 * | 0.158 | −0.000 |
| (2.75) | (0.12) | (0.25) | (−0.60) | (1.67) | (1.10) | (−0.54) | |
| POP | 0.079 | 0.172 | 1.245 | 0.112 | 0.015 | 0.087 | 0.045 |
| (1.58) | (1.07) | (1.13) | (1.53) | (0.25) | (0.81) | (0.87) | |
| FDI | −0.000 | −0.006 * | 0.003 | −0.000 | 0.001 * | 0.001 | 0.000 |
| (−0.15) | (−1.67) | (0.92) | (−0.38) | (1.65) | (0.82) | (0.33) | |
| HHI | 0.091 | −0.190 | 0.147 | −0.085 | 0.198 * | −0.071 | 0.058 |
| (0.76) | (−0.73) | (0.49) | (−0.47) | (1.71) | (−0.21) | (0.55) | |
| Constant | 3.490 *** | 0.882 | −3.311 | 3.977 *** | 5.600 *** | 5.834 *** | 4.703 *** |
| (3.81) | (0.48) | (−0.51) | (4.53) | (6.86) | (4.88) | (9.80) | |
| Observations | 8838 | 1452 | 2292 | 4939 | 7545 | 3811 | 8769 |
| Industry-FE | Y | Y | Y | Y | Y | Y | Y |
| Year-FE | Y | Y | Y | Y | Y | Y | Y |
| City-FE | Y | Y | Y | Y | Y | Y | Y |
| p-value | 0.011 ** | 0.034 ** | 0.012 * | 0.050 *** | 0.063 ** | ||
Disclaimer/Publisher’s Note: The statements, opinions and data contained in all publications are solely those of the individual author(s) and contributor(s) and not of MDPI and/or the editor(s). MDPI and/or the editor(s) disclaim responsibility for any injury to people or property resulting from any ideas, methods, instructions or products referred to in the content. |
© 2024 by the authors. Licensee MDPI, Basel, Switzerland. This article is an open access article distributed under the terms and conditions of the Creative Commons Attribution (CC BY) license (https://creativecommons.org/licenses/by/4.0/).
Share and Cite
Gao, A.; Yang, Y.; Qin, B. The Impact of the National Civilized City Program on the Environmental, Social and Governance Performance of Enterprises: Evidence from China. Sustainability 2024, 16, 8888. https://doi.org/10.3390/su16208888
Gao A, Yang Y, Qin B. The Impact of the National Civilized City Program on the Environmental, Social and Governance Performance of Enterprises: Evidence from China. Sustainability. 2024; 16(20):8888. https://doi.org/10.3390/su16208888
Chicago/Turabian StyleGao, Angang, Yun Yang, and Bo Qin. 2024. "The Impact of the National Civilized City Program on the Environmental, Social and Governance Performance of Enterprises: Evidence from China" Sustainability 16, no. 20: 8888. https://doi.org/10.3390/su16208888
APA StyleGao, A., Yang, Y., & Qin, B. (2024). The Impact of the National Civilized City Program on the Environmental, Social and Governance Performance of Enterprises: Evidence from China. Sustainability, 16(20), 8888. https://doi.org/10.3390/su16208888
