The Importance of Landscape during Long-Distance Running Activity
Abstract
1. Introduction
2. Materials and Methods
2.1. Survey Study
2.2. Spatial Analyses
- Digital Terrain Model (DEM)—files containing height values of points in a regular grid with a mesh of 1 m, interpolated on the basis of a cloud of points from aerial laser scanning (LiDAR). The average data error does not exceed 0.2 m;
- Database of Topographic Objects (BDOT10k)—a vector database containing the spatial location of topographic objects along with their land cover characteristics. The content and detail of the BDOT10k database correspond to a 1:10,000 topographic map;
- LAS—binary files containing a point cloud derived from airborne laser scanning (LiDAR). These files contain, e.g., information on point classes, which can be described as low, medium and high vegetation, buildings and infrastructure, water and soil. In addition, points from multiple coverage areas, unclassified points and noise are also distinguished.
Case Study: Podkarpackie Ultramarathon
2.3. Statistical Analyses
3. Results
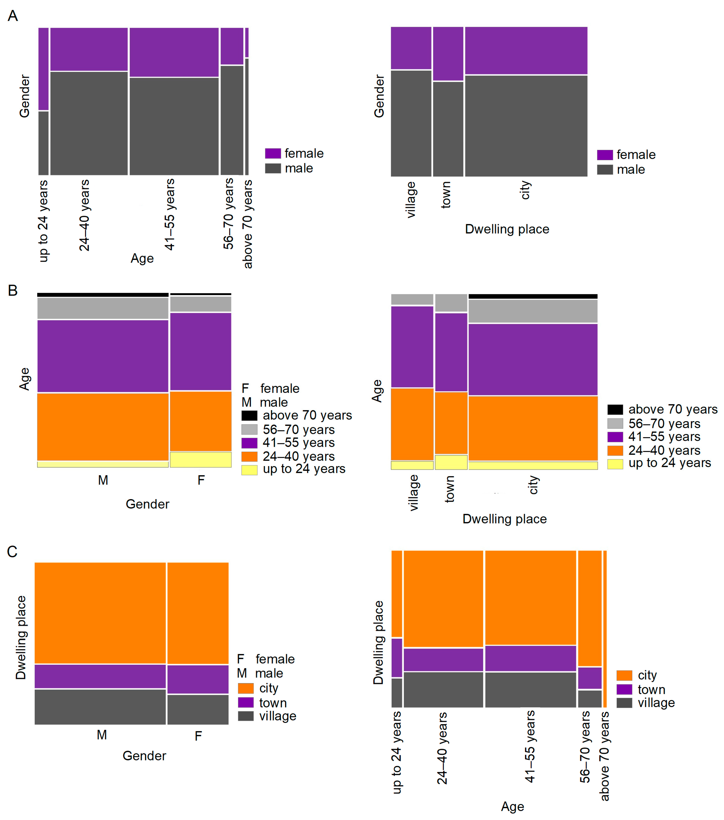
3.1. Running Activity from the Perspective of Gender, Age and Place of Residence
3.2. Running Activities in the Context of the Criterion for Choosing the Type and Attributes of Running
3.3. Trail Landscape Attributes and Landscape Perception
3.4. Characteristics of the Most Attractive Landscape Competition Routes
Case Study: Podkarpackie Ultramarathon
4. Discussion
5. Conclusions
Author Contributions
Funding
Institutional Review Board Statement
Informed Consent Statement
Data Availability Statement
Conflicts of Interest
References
- Kondo, M.C.; Triguero-Mas, M.; Donaire-Gonzales, D.; Seto, E.; Valentin, A.; Hurst, G.; Carrasco-Turigas, G.; Masterson, D.; Ambros, A.; Ellis, N.; et al. Momentary mood response to natural outdoor environments in four European cities. Environ. Int. 2020, 134, 105237. [Google Scholar] [CrossRef]
- Twohig-Bennett, C.; Jones, A. The health benefits of the great outdoors: A systematic review and meta-analysis of greenspace exposure and health outcomes. Environ. Res. 2018, 166, 628–637. [Google Scholar] [CrossRef]
- van den Berg, M.; van Poppel, M.; van Kamp, I.; Andusaityte, S.; Balseviciene, B.; Cirach, M.; Danileviciute, A.; Ellis, N.; Hurst, G.; Masterson, D.; et al. Visiting green space is associated with mental health and vitality: A cross-sectional study in four European cities. Health Place 2016, 38, 8–15. [Google Scholar] [CrossRef]
- Zhang, Q.; Zhang, H.; Xu, H. Health tourism destinations as therapeutic landscapes: Understanding the health perceptions of senior seasonal migrants. Soc. Sci. Med. 2021, 279, 113951. [Google Scholar] [CrossRef]
- Milligan, C.; Chalfont, G.; Kaley, A.; Lobban, F. Wilderness as therapeutic landscape in later life: Towards an understanding of place-based mechanisms for wellbeing through nature-adventure activity. Soc. Sci. Med. 2021, 289, 114411. [Google Scholar] [CrossRef]
- Giles-Corti, B.; Broomhall, M.H.; Knuiman, M.; Collins, C.; Douglas, K.; Ng, K.; Lange, A.; Donovan, R.J. Increasing walking: How important is distance to. attractiveness. and size of public open space? Am. J. Prev. Med. 2005, 28, 169–176. [Google Scholar] [CrossRef]
- Ettema, D. Runnable cities: How does the running environment influence perceived attractiveness. restorativeness. and running frequency? Environ. Behav. 2015, 48, 21. [Google Scholar] [CrossRef]
- Beenackers, M.A.; Kamphuis, C.B.M.; Burdorf, A.; Mackenbach, J.P.; van Lenthe, F.J. Sports participation. perceived neighborhood safety. and individual cognitions: How do they interact? Int. J. Behav. Nutr. Phys. Act. 2011, 8, 76. [Google Scholar] [CrossRef]
- Kamphuis, C.B.M.; van Lenthe, F.J.; Giskes, K.; Huisman, M.; Brug, J.; Mackenbach, J.P. Socioeconomic status, environmental and individual factors, and sports participation. Med. Sci. Sports Exerc. 2008, 40, 71–81. [Google Scholar] [CrossRef]
- Bamberg, J.; Hitchings, R.; Latham, A. Enriching green exercise research. Landsc. Urban Plan. 2018, 178, 270–285. [Google Scholar] [CrossRef]
- Barton, J.; Pretty, J. What is the best dose of nature and green exercise for improving mental health—A multi-study analysis. Environ. Sci. Technol. 2010, 44, 3947–3955. [Google Scholar] [CrossRef]
- Bowler, D.E.; Buyung-Ali, L.M.; Knight, T.M.; Pullin, A.S. A systematic review of evidence for the added benefits to health of exposure to natural environments. BMC Public Health 2010, 10, 456. [Google Scholar] [CrossRef] [PubMed]
- Martens, D.; Gutscher, H.; Bauer, N. Walking in “wild” and “tended” Urban forests: The impact on psychological well-being. J. Environ. Al Psychol. 2014, 31, 36–44. [Google Scholar] [CrossRef]
- Gladwell, V.F.; Brown, D.K.; Wood, C.; Sandercock, G.R.; Barton, J.L. The great outdoors: How a green exercise environment can benefit all. Extrem. Physiol. Med. 2013, 2, 3. [Google Scholar] [CrossRef]
- Kahlmeier, S. World Health Organization. Promoting Sport and Enhancing Health In European Union Countries: A Policy Content Analysis to Support Action; World Health Organization: Copenhagen, Denmark, 2011; Available online: https://www.researchgate.net/publication/281726717_Promoting_sport_and_enhancing_health_in_European_Union_countries_a_policy_analysis_to_support_action (accessed on 6 December 2023).
- Christiansen, N.V.; Kahlmeier, S.; Racioppi, F. Sport promotion policies in the European Union: Results of a contents analysis. Scand. J. Med. Sci. Sports 2014, 24, 428–438. [Google Scholar] [CrossRef]
- Eime, R.M.; Young, J.A.; Harvey, J.T.; Charity, M.J.; Payne, W.R. A systematic review of the psychological and social benefits of participation in sport for adults: Informing development of a conceptual model of health through sport. Int. J. Behav. Nutr. Phys. Act. 2013, 10, 98. [Google Scholar] [CrossRef] [PubMed]
- Downward, P.; Hallmann, K.; Rasciute, S. Exploring the interrelationship between sport, health and social outcomes in the UK: Implications for health policy. Eur. J. Public Health 2017, 28, 99–104. [Google Scholar] [CrossRef]
- Shipway, R.; Holloway, I. Health and the running body: Notes from an ethnography. Int. Rev. Sociol. Sport 2016, 51, 78–96. Available online: https://eprints.bournemouth.ac.uk/22108/1/Running%20Health%20Brian%20entry.pdf (accessed on 14 January 2024). [CrossRef]
- Oja, P.; Titze, S.; Kokko, S.; Kujala, U.M.; Heinonen, A.; Kelly, P.; Koski, P.; Foster, C. Health benefits of different sport disciplines for adults: Systematic review of observational and intervention studies with meta-analysis. Br. J. Sports Med. 2015, 49, 434–440. [Google Scholar] [CrossRef]
- Recreational Running Consumer Research Study. 2021. Available online: https://assets.aws.worldathletics.org/document/60b741d388549ceda6759894.pdf?_gl=1*1opbbfh*_ga*MTg2MjUwNDU3NC4xNzAxODYwNDAy*_ga_7FE9YV46NW*MTcwMTg2MDQwMS4xLjEuMTcwMTg2MDQyMC4wLjAuMA (accessed on 6 December 2023).
- Bodin, M.; Hartig, T. Does the outdoor environment matter for psychological restoration gained through running? Psychol. Sport Exerc. 2003, 2, 141–153. [Google Scholar] [CrossRef]
- Hansmann, R.; Hug, S.M.; Seeland, K. Restoration and stress relief through physical activities in forests and parks. Urban For. Urban Green. 2007, 6, 213–225. [Google Scholar] [CrossRef]
- European Union. Building a Green Infrastructure for Europe. 2013. Available online: https://ec.europa.eu/environment/nature/ecosystems/docs/green_infrastructure_broc.pdf (accessed on 1 February 2023).
- Ladu, M.; Battino, S.; Balletto, G.; Garcia, A.A. Green Infrastructure and Slow Tourism: A Methodological Approach for Mining Heritage Accessibility in the Sulcis-Iglesiente Bioregion (Sardinia, Italy). Sustainability 2023, 15, 4665. [Google Scholar] [CrossRef]
- Benedict, M.A.; McMahon, E.T. Green Infrastructure: Linking Landscapes and Communities; Island Press: Washington, DC, USA, 2006. [Google Scholar]
- Waniowski, P.; Waniowski, T. Marketing aspects of organizing mass runs—Seeking new opportunities. In Health and Lifestyles. Determinants of Lifespan; Szalonka, K., Nowak, W., Eds.; e-Monografie; E-Publishing; Law and Economics Digital Library, Faculty of Law, Administration and Economics of the University of Wrocław: Wrocław, Poland, 2020; Volume 170, Available online: https://repozytorium.uni.wroc.pl/en/dlibra/publication/128151 (accessed on 6 December 2023). (In Polish) [CrossRef]
- Simasathiansophon, N. The motivation to run in a marathon. In Proceedings of the E3S Web Conferences, Topical Problems of Green Architecture, Civil and Environmental Engineering, Moscow, Russia, 19–22 November 2019; Volume 164, pp. 1–6. [Google Scholar] [CrossRef]
- Waśkowski, Z. Profile of a Polish Runner; Technical Report; Poznan University of Economics: Poznań, Poland, 2014; Available online: https://www.researchgate.net/publication/269221876_Profil_polskiego_biegacza (accessed on 6 December 2023). (In Polish)
- Scheerder, J.; Breedveld, K.; Borgers, J. Running across Europe. The Rise and Size of One of the Largest Sport Markets; Palgrave Macmillan: London, UK, 2015. [Google Scholar] [CrossRef]
- Park, B.J.; Tsunetsugu, Y.; Kasetani, T.; Kagawa, T.; Miyazaki, Y. The physiological effects of Shinrin-yoku (taking in the forest atmosphere or forest bathing): Evidence from field experiments in 24 forests across Japan. Environ. Health Prev. Med. 2010, 15, 18–26. [Google Scholar] [CrossRef] [PubMed]
- Akers, A.; Barton, J.; Cossey, R.; Gainsford, P.; Griffin, M.D.; Micklewright, D. Visual color perception in green exercise: Positive effects on mood and perceived exertion. Environ. Sci. Technol. 2012, 46, 8661–8666. [Google Scholar] [CrossRef] [PubMed]
- Rogerson, M.; Barton, J. Effects of the visual exercise environments on cognitive directed attention, energy expenditure and perceived exertion. Int. J. Environ. Res. Public Health 2015, 12, 7321–7336. [Google Scholar] [CrossRef]
- Larsen, J.; Bærenholdt, J.O. Running together: The social capitals of a tourism running event. Ann. Tour. Res. 2019, 79, 102788. [Google Scholar] [CrossRef]
- Solon, J.; Borzyszkowski, J.; Bidłasik, M.; Richling, A.; Badora, K.; Balon, J.; Brzezińska-Wójcik, T.; Chabudziński, Ł.; Dobrowolski, R.; Grzegorczyk, I.; et al. Physico-geographical mesoregions of Poland—Verification and adjustment of boundaries on the basis of contemporary spatial data. Geogr. Pol. 2018, 91, 143–170. [Google Scholar] [CrossRef]
- Qian, J.; Xiang, W.; Liy, Y.; Meng, X. Incorporating landscape diversity into greenway alignment planning. Urban For. Urban Green. 2018, 35, 45–56. [Google Scholar] [CrossRef]
- Pomfret, G.; Bramwell, B. The characteristics and motivational decisions of outdoor adventure tourists: A review and analysis. Curr. Issues Tour. 2016, 19, 1447–1478. [Google Scholar] [CrossRef]
- Mowad, J. Gender Inequality in Sports, Fair Play. Rev. Filos. Ética Derecho Deporte 2019, 13, 28–53. [Google Scholar]
- Pringle, R. Masculinities, sport, and power: A critical comparison of Gramscian and Foucauldian inspired theoretical tools. J. Sport Soc. Issues 2005, 29, 256–278. [Google Scholar] [CrossRef]
- Lopiano, D. Gender equity in sports. Divers. Factor 2004, 12, 24–29. [Google Scholar]
- Titze, S.; Stronegger, W.; Owen, N. Prospective study of individual. social. and environmental predictors of physical activity: Women’s leisure running. Psychol. Sport Exerc. 2005, 6, 363–376. [Google Scholar] [CrossRef]
- Bobiec, A.; Paderewski, J.; Gajdek, A. Urbanisation and globalised environmental discourse do not help to protect the bio-cultural legacy of rural landscapes. Landsc. Urban Plan. 2021, 208, 104038. [Google Scholar] [CrossRef]
- Doran, A. Empowerment and women in adventure tourism: A negotiated journey. J. Sport Tour. 2016, 20, 57–80. [Google Scholar] [CrossRef]
- Apollo, M.; Mostowska, J.; Legut, A.; Maciuk, K.; Dallen, J.T. Gender differences in competitive adventure sports tourism. J. Outdoor Recreat. Tour. 2023, 42, 100604. [Google Scholar] [CrossRef]
- Krouse, R.Z.; Ransdell, L.B.; Lucas, S.M.; Pritchard, M.E. Motivation goal orientation coaching and training habits of women ultrarunners. J. Strength Cond. Res. 2011, 25, 2835–2842. Available online: https://pubmed.ncbi.nlm.nih.gov/21946910/ (accessed on 14 January 2024). [CrossRef] [PubMed]
- Watkins, L.; Wilson, M.; Buscombe, R. Examining the diversity of ultra-running motivations and experiences: A reversal theory perspective. Psychol. Sport Exerc. 2022, 63, 102271. [Google Scholar] [CrossRef]
- Chen, H.; Yang, Z.; Han, F. Tourist landscape vulnerability assessment in mountainous world natural heritage sites: The case of Karajun-Kurdening. Xinjiang, China. Ecol. Indic. 2023, 148, 110038. [Google Scholar] [CrossRef]
- Dzięgiel, A.; Tomanek, M. The profile of a participant mountain running events. Stud. I Monogr. AWF We Wrocławiu 2014, 120, 88–102. Available online: http://repozytorium.umk.pl/handle/item/2745 (accessed on 6 December 2023). (In Polish).
- Hitchings, R.; Latham, A. How ‘social’ is recreational running? Findings from a qualitative study in London and implications for public health promotion. Health Place 2017, 46, 337–343. [Google Scholar] [CrossRef] [PubMed]
- Howe, P.D.; Morris, C. An exploration of the co-production of performance running bodies and natures within “Running Taskscapes”. J. Sport Soc. Issues 2009, 33, 308–330. [Google Scholar] [CrossRef]
- Kulczyk, S. Landscape and Tourism; About Mutual Relations; Uniwersytet Warszawski: Warszwa, Poland, 2013; Available online: https://wgsr.uw.edu.pl/wgsr/wp-content/uploads/2018/11/Krajobraz_i_turystyka_kulczyk.pdf (accessed on 6 December 2023). (In Polish)
- Porteous, J.D. Environmental Aesthetics: Ideas, Politics and Planning. Routledge: London, UK, 1996. [Google Scholar] [CrossRef]
- Palmer, J.F. Research agenda for landscape perception. In Trends in Landscape Modelling; Buchmann, E., Ervin, S., Eds.; Herbert Wichmann Verlag: Heidelberg, Germany, 2003; pp. 163–172. [Google Scholar]
- Kaplan, R.; Kaplan, S.; Ryan, R.L. With People in Mind; Island Press: Washington, DC, USA, 1998. [Google Scholar]
- Nikkhou, A.S.M.; Tezer, A. Nature-deficit disorder in modern cities. In Sustainable Development and Planning XI; WIT Press: Cambridge, MA, USA, 2020; pp. 407–417. [Google Scholar] [CrossRef]
- Louv, R. Last Child in the Woods: Saving Our Children from Nature-Deficit Disorder; Algonquin Press: Chapel Hill, NC, USA, 2008. [Google Scholar]
- Thompson, C.W. Linking landscape and health: The recurring theme. Landsc. Urban Plan. 2010, 99, 187–195. [Google Scholar] [CrossRef]
- Malchrowicz-Mośko, E.; Poczta, J. Sports activity of the inhabitants of rural areas—Motives for participation in a mass race event on the example of the Poznań Half Marathon. J. Educ. Health Sport 2017, 7, 329–340. [Google Scholar] [CrossRef]
- Sygit, K.M.; Sygit, M.; Wojtyła-Buciora, P.; Lubliniec, O.; Stelmach, W.; Krakowiak, J. Physical activity as an important element in organizing and managing the lifestyle of populations in urban and rural environments. Ann. Agric. Environ. Med. 2019, 26, 8–12. Available online: https://agro.icm.edu.pl/agro/element/bwmeta1.element.agro-bf7c7836-29fd-44fe-bf61-b2aead1494ec (accessed on 14 January 2024). [CrossRef]
- Górka, A. Small cities in big cities, big cities in small ones—Local or alienation in public space. Acta Univ. Lodz. Folia Geogr. Socio-Oeconomica 2015, 15, 293–304. Available online: https://dspace.uni.lodz.pl/xmlui/bitstream/handle/11089/4189/18-g%c3%b3rka.pdf?sequence=1&isAllowed=y (accessed on 6 December 2023). (In Polish).
- Wiklin, J. A Diverse and Changing Polish Countryside—Report Synthesis. In Polska Wieś 2020; Wilkin, J., Hałasiewicz, A., Eds.; Raport o Stanie Wsi: Warszawa, Poland, 2020. Available online: https://sir.cdr.gov.pl/wp-content/uploads/2020/06/Raport-o-stanie-wsi-Polska-Wies-2020.pdf (accessed on 6 December 2023). (In Polish)
- WHO Guidelines on Physical Activity and Sedentary Behaviour: At a Glance. Available online: https://www.who.int/europe/publications/i/item/9789240014886 (accessed on 6 December 2023).
- Strategy for Local Sustainable Tourism Development. Available online: https://www.atlantis-press.com/article/125963749.pdf (accessed on 6 December 2023).
- Biodiversity Strategy for 2030. Available online: https://environment.ec.europa.eu/strategy/biodiversity-strategy-2030_en (accessed on 6 December 2023).
- Strategy for Responsible Development. Available online: https://www.gov.pl/web/fundusze-regiony/informacje-o-strategii-na-rzecz-odpowiedzialnego-rozwoju (accessed on 6 December 2023). (In Polish)
- Development Strategy of the Podkarpackie Voivodeship. Available online: https://www.podkarpackie.pl/images/pliki/RR/2022/Strategia_rozwoju_wojew%C3%B3dztwa_-_Podkarpackie_2030_-_Sejmik_WP_28.09.2020_r.pdf (accessed on 6 December 2023). (In Polish).
- Program Rozwoju Sportu do 2020. Warszawa. 2019. Available online: https://www.gov.pl/web/sport/dokumenty-strategiczne (accessed on 30 December 2023). (In Polish)
- Commission of the European Communities. White Paper on Sport. Brussels. 2007. Available online: https://publications.parliament.uk/pa/cm200708/cmselect/cmcumeds/347/347.pdf (accessed on 6 December 2023).
- Council of the European Union. Council Conclusions of 18 November 2010 on the Role of Sport as a Source of and a Driver for Active Social Inclusion. 2010/C 326/04. Brussels. 2010. Available online: https://eur-lex.europa.eu/LexUriServ/LexUriServ.do?uri=OJ:C:2010:326:0005:0008:EN:PDF (accessed on 6 December 2023).
- Council of the European Union. Council Recommendation of 26 November 2013 on Promoting Health-Enhancing Physical Activity across Sectors. 2013/C 354/01. Brussels. 2013. Available online: https://eur-lex.europa.eu/LexUriServ/LexUriServ.do?uri=OJ:C:2013:354:0001:0005:EN:PDF (accessed on 6 December 2023).
- Sustainable Europe by 2030. Available online: https://commission.europa.eu/publications/sustainable-europe-2030 (accessed on 6 December 2023).
- Manual for Designing Cross-Country Routes. Available online: https://www.malopolska.pl/_userfiles/uploads/Podrecznik_projekotwania_tras_biegowych.pdf (accessed on 6 December 2023). (In Polish).
- IAAF Road Running Manual. Available online: https://media.aws.iaaf.org/competitioninfo/a6691e27-f891-4c84-8e95-7d2b5ddd77ee.pdf (accessed on 6 December 2023).






| No. | 1 | 2 | 3 | 4 | 5 | 6 | ||
|---|---|---|---|---|---|---|---|---|
| Trail Name | PL | UP | UM | BRz | UB | B7DK | ||
| Type of relief | foothills | mountains | ||||||
| Length 3D (km) | 22.4 | 71.1 | 74.6 | 80.6 | 88.8 | 100.1 | ||
| Altitude a.s.l. (m) | Min | 218.5 | 193.4 | 306.5 | 447.0 | 544.5 | 342.0 | |
| Max | 419.9 | 384.2 | 753.7 | 1191.1 | 1208.5 | 1261.6 | ||
| Mean | 311.8 | 269.0 | 549.2 | 862.2 | 903.1 | 836.8 | ||
| Elevation gain (m) | 1155.2 | 2612.3 | 3470.4 | 5121.9 | 5872.3 | 6457.4 | ||
| Slope (°) | Mean | 6.7 | 6.3 | 7.4 | 10.1 | 11.3 | 10.9 | |
| Max | 56.5 | 67.4 | 48.7 | 63.7 | 52.3 | 55.9 | ||
| Percentage of the trail passing through (%) | Protected area | 0.0 | 19.5 | 100.0 | 100.0 | 100.0 | 100.0 | |
| Land use | Forest | 27.1 | 30.0 | 63.3 | 80.8 | 72.9 | 62.7 | |
| Grassland | 30.5 | 20.9 | 28.6 | 17.0 | 24.3 | 29.4 | ||
| Arable land | 31.8 | 24.6 | 4.6 | 0.3 | 0.0 | 0.1 | ||
| Settlement | 10.5 | 24.0 | 3.3 | 1.1 | 2.5 | 7.3 | ||
| Land Use | Trail Length 3D | Trail Up | Trail Down | ||||
|---|---|---|---|---|---|---|---|
| (km) | (%) | Length (km) | Elevation Gain (m) | Length (km) | Elevation Loss (m) | Mean Slope (°) | |
| Forest | 19.9 | 28.0 | 9.8 | 1081.6 | 10.1 | −1133.5 | 9.2 |
| Grassland | 16.8 | 23.7 | 9.1 | 576.8 | 7.8 | −563.5 | 6.0 |
| Arable land | 18.9 | 26.5 | 9.4 | 587.2 | 9.4 | −567 | 5.3 |
| Settlement | 15.3 | 21.5 | 7.7 | 364 | 7.6 | −341.2 | 4.0 |
| Other | 0.2 | 0.3 | 0.1 | 2.6 | 0.1 | −7.2 | 7.8 |
| Total | 71.1 | 36.1 | 2612.3 | 35.0 | −2612.4 | 6.3 | |
Disclaimer/Publisher’s Note: The statements, opinions and data contained in all publications are solely those of the individual author(s) and contributor(s) and not of MDPI and/or the editor(s). MDPI and/or the editor(s) disclaim responsibility for any injury to people or property resulting from any ideas, methods, instructions or products referred to in the content. |
© 2024 by the authors. Licensee MDPI, Basel, Switzerland. This article is an open access article distributed under the terms and conditions of the Creative Commons Attribution (CC BY) license (https://creativecommons.org/licenses/by/4.0/).
Share and Cite
Gajdek, A.; Kasprzyk, I.; Ortyl, B. The Importance of Landscape during Long-Distance Running Activity. Sustainability 2024, 16, 883. https://doi.org/10.3390/su16020883
Gajdek A, Kasprzyk I, Ortyl B. The Importance of Landscape during Long-Distance Running Activity. Sustainability. 2024; 16(2):883. https://doi.org/10.3390/su16020883
Chicago/Turabian StyleGajdek, Agata, Idalia Kasprzyk, and Bernadetta Ortyl. 2024. "The Importance of Landscape during Long-Distance Running Activity" Sustainability 16, no. 2: 883. https://doi.org/10.3390/su16020883
APA StyleGajdek, A., Kasprzyk, I., & Ortyl, B. (2024). The Importance of Landscape during Long-Distance Running Activity. Sustainability, 16(2), 883. https://doi.org/10.3390/su16020883

