Impact of ENVI-met-Based Road Greening Design on Thermal Comfort and PM2.5 Concentration in Hot–Humid Areas
Abstract
1. Introduction
2. Materials and Methods
2.1. Climate Conditions and Study Areas
2.2. Field Measurements and Model Validation
2.3. Modeling and Parameter Setting
2.4. Case Studies
2.4.1. Establishment of Arbor Database
2.4.2. Case Studies
2.5. Thermal Comfort Evaluation Index and Quantitative Analysis of PM2.5
2.5.1. PET
2.5.2. Quantification of PM2.5 Distribution
3. Results
3.1. Testing Results
3.2. Model Accuracy Assessment
3.3. Influence of Tree Spacing
3.3.1. Impact of Tree Spacing on the Thermal Environment Parameters
3.3.2. Impact of Tree Spacing on PET
3.3.3. Effects of Spacing Distance on the Absolute PM2.5 Concentration Difference
3.3.4. Effect of Tree Spacing on the Mean Absolute PM2.5 Concentration Difference in Downwind Areas
3.4. Impact of Tree Species
3.4.1. Impact of Tree Species on PET
3.4.2. Effects of Tree Species on PM2.5 Absolute Concentration Difference
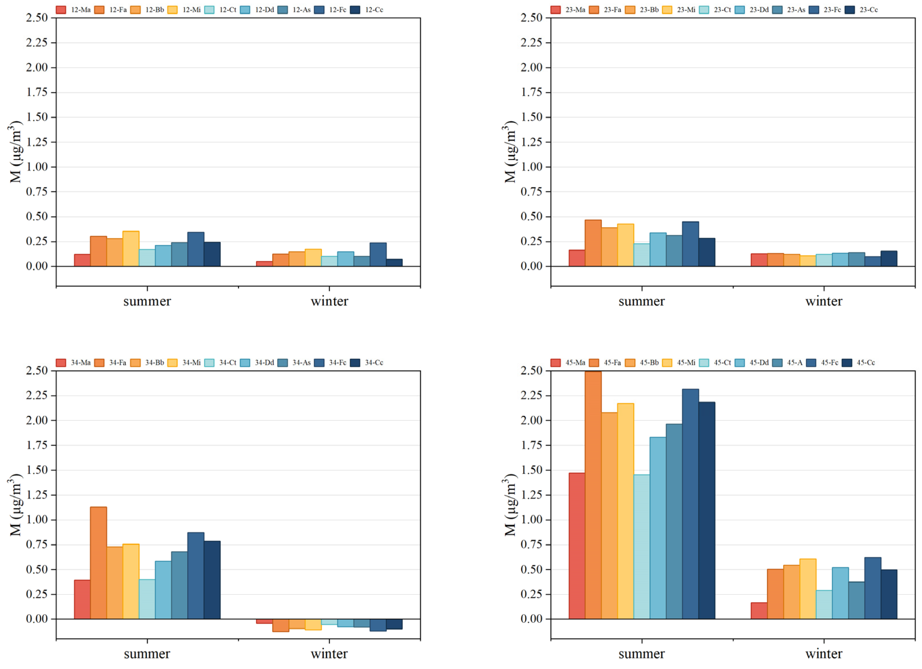
3.4.3. Effect of Tree Species on the Mean Absolute PM2.5 Concentration Difference in the Downwind Area
3.5. Impact of Shrubs on Different Heights
3.5.1. Impact of Shrub Height on PET Value
3.5.2. Effect of Shrub Height on the Absolute PM2.5 Concentration Difference
4. Discussion
4.1. Impact of Plant Spacing on Thermal Comfort and PM2.5
4.2. Effect of Tree Species on Heat Comfort and PM2.5
4.3. Effect of Shrub Height on Thermal Comfort and PM2.5
4.4. Study Limitations
5. Conclusions
- Tree spacing had contrasting effects on the thermal environment and PM2.5. Smaller spacings improved thermal comfort more effectively, with 3 m spacing reducing PET values by 17–20.3 °C in summer and 3.3–12.6 °C in winter. However, smaller spacings increased PM2.5 concentrations, with maximum C values at 3 m spacing of 5.05 μg/m3 (R45) in summer and maximum M values of 2.13 μg/m3 (R23) in winter. This is particularly noticeable on roads with a high number of green belts.
- Trees with wide crowns and high LAIs significantly improved thermal comfort, with reductions of up to 6.5 °C (Ficus altissima) in summer and 6.6 °C (Ficus altissima) in winter. Conversely, trees with small crowns facilitated PM2.5. Michelia alba exhibited the highest C and M values at 3.39 μg/m3 and 1.5 μg/m3 in summer and 1.22 μg/m3 and 0.4 μg/m3 in winter, respectively. Planting species such as Ficus altissima and Cinnamomum camphora noticeably enhanced thermal comfort, whereas Michelia alba and Chukrasia tabularis were more effective in reducing PM2.5.
- Combining trees with shrubs improved thermal comfort somewhat; however, increasing shrub height resulted in higher PM2.5. When shrub heights reached 1.5 m and 2 m in summer, C values peaked at 5.38 μg/m3 and 5.37 μg/m3, respectively.
- High Traffic and PM2.5 Emission Roads: Prioritize reducing PM2.5 pollution on busy urban expressways with dense traffic. We recommend planting Michelia alba and Chukrasia tabularis species with narrow crowns at 9 m spacing without additional shrub planting.
- Main Urban Roads: Consider both thermal comfort and the impact of PM2.5 on roads with high pedestrian and vehicle densities. Opt for moderate spacing like 6 m and choose species with moderate tree height, crown widths, and leaf area indices, such as Alstonia scholaris, Bauhinia blakeana, and Dracontomelon duperreanum.
- Minor Urban Roads: Prioritize PET on roads with fewer vehicles and more pedestrians. Opt for closer spacing, such as 3 m or 6 m, and plant species with large crowns and high leaf area indices, such as Ficus altissimo, Ficus concinna, and Cinnamomum camphora. Moreover, shrubs could be added for aesthetic purposes.
- Wind direction has a significant effect on PM2.5 dispersion. For roads that are not parallel to the wind direction, it is recommended that diffusion-friendly tree species be planted at larger intervals, such as 9 m intervals for Michelia alba. If PM2.5 pollution is more severe in summer on roads parallel to the wind direction, large spacing and diffusion-friendly tree species should be selected. If PM2.5 pollution is more severe in winter, smaller spacing and tree species with large crowns, such as 3 m or 6 m spacing, as well as large crowns, such as Ficus altissima, can be selected; these will, to a certain extent, block the diffusion of PM2.5 to the sidewalks.
- In summary, this study investigated the effects of roadway greening design on thermal comfort and PM2.5 concentration in hot and humid areas and made optimization recommendations. Although this study provides valuable references, future studies should consider the relevant factors more comprehensively to optimize the greening design of urban roads further to improve environmental quality.
Author Contributions
Funding
Institutional Review Board Statement
Informed Consent Statement
Data Availability Statement
Acknowledgments
Conflicts of Interest
Nomenclatures
| LAD | leaf area density | 
| LAIs | leaf area indices | 
| MAE | mean absolute error | 
| Tmrt | mean radiant temperature | 
| PM2.5 | particulate matter 2.5 | 
| PET | pedestrian thermal comfort | 
| PMV | predicted mean vote | 
| RH | relative humidity | 
| RMSE | root mean square error | 
| SET | standard effective temperature | 
| WBGT | wet bulb globe temperature | 
| Ta | air temperature | 
| Ws | wind speed | 
| C | absolute PM2.5 concentration difference | 
| M | mean absolute PM2.5 concentration difference | 
| R12 | one roadbed and two belts | 
| R23 | two roadways and three belts | 
| R34 | three roadways and four belts | 
| R45 | four roadways and five belts | 
| Ma | Michelia alba | 
| Fa | Ficus altissima | 
| Bb | Bauhinia blakeana | 
| Mi | Mangifera indica | 
| As | Alstonia scholaris | 
| Ct | Chukrasia tabularis | 
| Dd | Dracontomelon duperreanum | 
| Fc | Ficus concinna | 
| Cc | Cinnamomum camphora | 
Appendix A
| Boundary Conditions for the Simulation Process Using the ENVI-Met Model | ||
|---|---|---|
| Location | Guangzhou (23°12′ N;113°20′ E) | |
| Simulation date | Summer | September 20, September 21, September 24, September 25, 2023 | 
| Winter | January 21, January 22, January 24, January 25, 2024 | |
| Simulation time | 8:00–10:00, 11:00–14:00,15:00–17:00 | |
| Model dimensions | R12 | X-Grids: 27 Y-Grids: 101 Z-Grids: 13 | 
| R23 | X-Grids: 42 Y-Grids: 102 Z-Grids: 13 | |
| R34 | X-Grids: 57 Y-Grids: 104 Z-Grids: 16 | |
| R45 | X-Grids: 39 Y-Grids: 101 Z-Grids: 15 | |
| Grid cell | dx = 3 dy = 3 dz = 3 | |
| Grid north | 0 | |
| Nesting grids | 5 | |
| Roughness length | 0.1 | |
| Wind direction (N:0, 180:S) | R12 | 45 (summer) 0 (winter) | 
| R23 | 90 (summer) 0 (winter) | |
| R34 | 135 (summer) 0 (winter) | |
| R45 | 202.5 (summer) 0 (winter) | |
| Wind speed | R12 | 0.8 (summer) 1.9 (winter) | 
| R23 | 0.8 (summer) 0.7 (winter) | |
| R34 | 0.8 (summer) 0.9 (winter) | |
| R45 | 0.8 (summer) 2 (winter) | |
| Air temperature | R12 | 29–37.45 °C (summer) 5.4–8.3 (winter) | 
| R23 | 30.77–37.8 °C (summer) 5.5–15.5 (winter) | |
| R34 | 29.77–38.1 °C (summer) 5.1–15.9 (winter) | |
| R45 | 30.77–41.8 °C (summer) 13.8–22.6 (winter) | |
| Relative humidity | R12 | 50–72% (summer) 26–33% (winter) | 
| R23 | 45–75% (summer) 20–31% (winter) | |
| R34 | 47–74% (summer) 53–64% (winter) | |
| R45 | 53–77% (summer) 44–66% (winter) | |
| PET index calculation | Bio-met process | |
| Results visualization | Leonardo visualization tool | |
| Scene | Site | Season | Measured Parameters | Mean | Variance | Standard Deviation (SD) | Coefficient of Variation (CV) | 
|---|---|---|---|---|---|---|---|
| R12 | 1 | summer | Ta (°C) | 33.291 | 5.333499 | 2.309437 | 6.937121 | 
| summer | RH (%) | 65.13 | 37.36233 | 6.112474 | 9.385035 | ||
| summer | PM2.5 (µg/m3) | 20.10667 | 24.83179 | 4.983151 | 24.78357 | ||
| 2 | summer | Ta (°C) | 33.965 | 3.716917 | 1.927931 | 5.676227 | |
| summer | RH (%) | 60.44 | 73.08933 | 8.54923 | 14.14499 | ||
| summer | PM2.5 (µg/m3) | 20.10667 | 24.83179 | 4.983151 | 24.78357 | ||
| 3 | summer | Ta (°C) | 36.146 | 8.217538 | 2.866625 | 7.930683 | |
| summer | RH (%) | 59.09 | 54.90767 | 7.409971 | 12.54014 | ||
| summer | PM2.5 (µg/m3) | 20.55333 | 22.44425 | 4.737537 | 23.04997 | ||
| R23 | 1 | summer | Ta (°C) | 35.305 | 4.779406 | 2.186185 | 6.192282 | 
| summer | RH (%) | 58.04 | 77.06267 | 8.778534 | 15.12497 | ||
| summer | PM2.5 (µg/m3) | 26.24 | 52.61896 | 7.253893 | 27.64441 | ||
| 2 | summer | Ta (°C) | 35.074 | 7.587471 | 2.754536 | 7.8535 | |
| summer | RH (%) | 63.21 | 59.32544 | 7.702301 | 12.18526 | ||
| summer | PM2.5 (µg/m3) | 26.51 | 81.63828 | 9.035391 | 34.08295 | ||
| 3 | summer | Ta (°C) | 37.36 | 2.100156 | 1.449191 | 3.878992 | |
| summer | RH (%) | 57.28 | 42.60622 | 6.527344 | 11.3955 | ||
| summer | PM2.5 (µg/m3) | 24.91333 | 42.28967 | 6.503051 | 26.10269 | ||
| R34 | 1 | summer | Ta (°C) | 34.469 | 8.515254 | 2.918091 | 8.465841 | 
| summer | RH (%) | 63.14 | 57.20489 | 7.563391 | 11.97876 | ||
| summer | PM2.5 (µg/m3) | 28.1814 | 70.57995 | 8.401188 | 29.81111 | ||
| 2 | summer | Ta (°C) | 35.844 | 7.686716 | 2.772493 | 7.734886 | |
| summer | RH (%) | 58.79 | 29.95656 | 5.473258 | 9.309846 | ||
| summer | PM2.5 (µg/m3) | 27.56552 | 84.59892 | 9.197767 | 33.36693 | ||
| 3 | summer | Ta (°C) | 37.125 | 3.710783 | 1.926339 | 5.188793 | |
| summer | RH (%) | 63.83 | 22.05789 | 4.696583 | 7.357955 | ||
| summer | PM2.5 (µg/m3) | 27.52 | 79.55388 | 8.919298 | 32.41024 | ||
| R45 | 1 | summer | Ta (°C) | 35.233 | 5.124401 | 2.263714 | 6.424982 | 
| summer | RH (%) | 61.45 | 20.10722 | 4.484108 | 7.297165 | ||
| summer | PM2.5 (µg/m3) | 25.87 | 42.16554 | 6.4935 | 25.1005 | ||
| 2 | summer | Ta (°C) | 33.257 | 6.020823 | 2.453737 | 7.378106 | |
| summer | RH (%) | 67.34 | 7.962667 | 2.82182 | 4.190407 | ||
| summer | PM2.5 (µg/m3) | 27.29444 | 22.13242 | 4.704511 | 17.23615 | ||
| 3 | summer | Ta (°C) | 36.92 | 5.445156 | 2.333486 | 6.320384 | |
| summer | RH (%) | 62.26 | 17.31822 | 4.161517 | 6.684094 | ||
| summer | PM2.5 (µg/m3) | 27.26816 | 34.16276 | 5.844892 | 21.43486 | 
| Scene | Site | Season | Measured Parameters | Mean | Variance | Standard Deviation (SD) | Coefficient of Variation (CV) | 
|---|---|---|---|---|---|---|---|
| R12 | 1 | winter | Ta (°C) | 6.7233 | 1.820863 | 1.349394 | 20.07041 | 
| winter | RH (%) | 45.1866 | 5.740936 | 2.396025 | 5.302512 | ||
| winter | PM2.5 (µg/m3) | 35.84 | 1.711556 | 1.308264 | 3.650291 | ||
| 2 | winter | Ta (°C) | 7.437 | 1.683201 | 1.297382 | 17.44497 | |
| winter | RH (%) | 61.16 | 1.698222 | 1.303159 | 2.130737 | ||
| winter | PM2.5 (µg/m3) | 36.03 | 0.793444 | 0.890755 | 2.472259 | ||
| 3 | winter | Ta (°C) | 8.859 | 3.304299 | 1.817773 | 20.51894 | |
| winter | RH (%) | 42.68 | 11.21067 | 3.348233 | 7.84497 | ||
| winter | PM2.5 (µg/m3) | 36.1 | 1.073333 | 1.036018 | 2.869856 | ||
| R23 | 1 | winter | Ta (°C) | 11.425 | 10.05647 | 3.171194 | 27.75662 | 
| winter | RH (%) | 59.06 | 2.147111 | 1.465302 | 2.48104 | ||
| winter | PM2.5 (µg/m3) | 38.14 | 2.876 | 1.695877 | 4.446453 | ||
| 2 | winter | Ta (°C) | 11.482 | 7.191742 | 2.681742 | 23.35606 | |
| winter | RH (%) | 41.7134 | 19.38863 | 4.403252 | 10.55597 | ||
| winter | PM2.5 (µg/m3) | 37.06 | 5.751556 | 2.39824 | 6.471236 | ||
| 3 | winter | Ta (°C) | 12.713 | 17.55949 | 4.190405 | 32.96157 | |
| winter | RH (%) | 40.7 | 33.11333 | 5.754419 | 14.13862 | ||
| winter | PM2.5 (µg/m3) | 38.62 | 3.892889 | 1.973041 | 5.108857 | ||
| R34 | 1 | winter | Ta (°C) | 10.6074 | 1.268156 | 1.126125 | 10.61641 | 
| winter | RH (%) | 73.761 | 7.155227 | 2.674926 | 3.626477 | ||
| winter | PM2.5 (µg/m3) | 10.98 | 140.2329 | 11.842 | 107.8506 | ||
| 2 | winter | Ta (°C) | 10.815 | 1.726806 | 1.31408 | 12.15053 | |
| winter | RH (%) | 68.14 | 1.009333 | 1.004656 | 1.4744 | ||
| winter | PM2.5 (µg/m3) | 11.79778 | 141.7642 | 11.90648 | 100.9214 | ||
| 3 | winter | Ta (°C) | 10.986 | 1.715738 | 1.309862 | 11.92301 | |
| winter | RH (%) | 64.85 | 13.91389 | 3.730133 | 5.751939 | ||
| winter | PM2.5 (µg/m3) | 12.41 | 144.9921 | 12.04127 | 97.02874 | ||
| R45 | 1 | winter | Ta (°C) | 19.388 | 11.95355 | 3.457391 | 17.83263 | 
| winter | RH (%) | 66.03 | 12.15344 | 3.486179 | 5.27969 | ||
| winter | PM2.5 (µg/m3) | 29.5 | 6.302222 | 2.510423 | 8.509908 | ||
| 2 | winter | Ta (°C) | 17.3311 | 8.960809 | 2.993461 | 17.27219 | |
| winter | RH (%) | 60.1699 | 55.81766 | 7.471121 | 12.41671 | ||
| winter | PM2.5 (µg/m3) | 30.54 | 5.611556 | 2.368872 | 7.756622 | ||
| 3 | winter | Ta (°C) | 20.682 | 20.526 | 4.530562 | 21.90582 | |
| winter | RH (%) | 46.84 | 65.67378 | 8.103936 | 17.30131 | ||
| winter | PM2.5 (µg/m3) | 30.39 | 4.912111 | 2.216328 | 7.292953 | 



References
- Banerjee, S.; Ching, N.Y.G.; Yik, S.K.; Dzyuban, Y.; Crank, P.J.; Yi, R.P.X.; Chow, W.T.L. Analysing impacts of urban morphological variables and density on outdoor microclimate for tropical cities: A review and a framework proposal for future research directions. Build. Environ. 2022, 225, 109646. [Google Scholar] [CrossRef]
- Xu, T.; Song, Y.; Liu, M.; Cai, X.; Zhang, H.; Guo, J.; Zhu, T. Temperature inversions in severe polluted days derived from radiosonde data in North China from 2011 to 2016. Sci. Total Environ. 2019, 647, 1011–1020. [Google Scholar] [CrossRef] [PubMed]
- Guo, Y.M.; Gasparrini, A.; Li, S.S.; Sera, F.; Vicedo-Cabrera, A.M.; Coelho, M.; Saldiva, P.H.N.; Lavigne, E.; Tawatsupa, B.; Punnasiri, K.; et al. Quantifying excess deaths related to heatwaves under climate change scenarios: A multicountry time series modelling study. PLoS Med. 2018, 15, e1002629. [Google Scholar] [CrossRef] [PubMed]
- Dab, W.; Ségala, C.; Dor, F.; Festy, B.; Lameloise, P.; Le Moullec, Y.; Le Tertre, A.; Médina, S.; Quénel, P.; Wallaert, B.; et al. Air pollution and health: Correlation or casuality?: The case of the relationship between particle exposure and deaths from heart and lung disease. J. Air Waste Manag. Assoc. 2001, 51, 203–219. [Google Scholar] [CrossRef] [PubMed]
- Li, C.G.; Lin, T.; Zhang, Z.F.; Xu, D.; Huang, L.; Bai, W.P. Can transportation infrastructure reduce haze pollution in China? Environ. Sci. Pollut. Res. 2022, 29, 15564–15581. [Google Scholar] [CrossRef]
- Karagulian, F.; Belis, C.A.; Dora, C.F.C.; Prüss-Ustün, A.M.; Bonjour, S.; Adair-Rohani, H.; Amann, M. Contributions to cities’ ambient particulate matter (PM): A systematic review of local source contributions at global level. Atmos. Environ. 2015, 120, 475–483. [Google Scholar] [CrossRef]
- Hill, W.; Lim, E.L.; Weeden, C.E.; Lee, C.; Augustine, M.; Chen, K.; Kuan, F.C.; Marongiu, F.; Evans, E.J.; Moore, D.A.; et al. Lung adenocarcinoma promotion by air pollutants. Nature 2023, 616, 159–167. [Google Scholar] [CrossRef]
- Zheng, G.Z.; Zhu, N.; Tian, Z.; Chen, Y.; Sun, B.H. Application of a trapezoidal fuzzy AHP method for work safety evaluation and early warning rating of hot and humid environments. Saf. Sci. 2012, 50, 228–239. [Google Scholar] [CrossRef]
- Sæbo, A.; Popek, R.; Nawrot, B.; Hanslin, H.M.; Gawronska, H.; Gawronski, S.W. Plant species differences in particulate matter accumulation on leaf surfaces. Sci. Total Environ. 2012, 427, 347–354. [Google Scholar] [CrossRef]
- Salim, M.H.; Schlünzen, K.H.; Grawe, D. Including trees in the numerical simulations of the wind flow in urban areas: Should we care? J. Wind Eng. Ind. Aerodyn. 2015, 144, 84–95. [Google Scholar] [CrossRef]
- Vos, P.E.J.; Maiheu, B.; Vankerkom, J.; Janssen, S. Improving local air quality in cities: To tree or not to tree? Environ. Pollut. 2013, 183, 113–122. [Google Scholar] [CrossRef] [PubMed]
- Yang, J.; Zhao, Y.; Guo, T.; Luo, X.; Ji, K.; Zhou, M.; Wan, F. The impact of tree species and planting location on outdoor thermal comfort of a semi-outdoor space. Int. J. Biometeorol. 2023, 67, 1689–1701. [Google Scholar] [CrossRef] [PubMed]
- Estacio, I.; Hadfi, R.; Blanco, A.; Ito, T.; Babaan, J. Optimization of tree positioning to maximize walking in urban outdoor spaces: A modeling and simulation framework. Sustain. Cities Soc. 2022, 86, 104105. [Google Scholar] [CrossRef]
- Park, C.Y.; Lee, D.K.; Krayenhoff, E.S.; Heo, H.K.; Hyun, J.H.; Oh, K.; Park, T.Y. Variations in pedestrian mean radiant temperature based on the spacing and size of street trees. Sustain. Cities Soc. 2019, 48, 101521. [Google Scholar] [CrossRef]
- Li, Z.T.; Zhang, H.; Juan, Y.H.; Lee, Y.T.; Wen, C.Y.; Yang, A.S. Effects of urban tree planting on thermal comfort and air quality in the street canyon in a subtropical climate. Sustain. Cities Soc. 2023, 91, 104334. [Google Scholar] [CrossRef]
- Wania, A.; Bruse, M.; Blond, N.; Weber, C. Analysing the influence of different street vegetation on traffic-induced particle dispersion using microscale simulations. J. Environ. Manag. 2012, 94, 91–101. [Google Scholar] [CrossRef]
- Yao, Y.B.; Chang, J.; Yang, H.Y.; Jie, B. Current status and development trend of landscape visual environment quality evaluation research. J. West Anhui Univ. 2021, 37, 110–119. [Google Scholar]
- Salmond, J.A.; Williams, D.E.; Laing, G.; Kingham, S.; Dirks, K.; Longley, I.; Henshaw, G.S. The influence of vegetation on the horizontal and vertical distribution of pollutants in a street canyon. Sci. Total Environ. 2013, 443, 287–298. [Google Scholar] [CrossRef]
- Yang, Y.J.; Zhou, D.; Wang, Y.P.; Ma, D.X.; Chen, W.; Xu, D.; Zhu, Z.Z. Economical and outdoor thermal comfort analysis of greening in multistory residential areas in Xi’an. Sustain. Cities Soc. 2019, 51, 101730. [Google Scholar] [CrossRef]
- Li, J.Y.; Zheng, B.H.; Ouyang, X.; Chen, X.; Bedra, K.B. Does shrub benefit the thermal comfort at pedestrian height in Singapore? Sustain. Cities Soc. 2021, 75, 103333. [Google Scholar] [CrossRef]
- Wu, J.S.; Luo, K.Y.; Wang, Y.; Wang, Z.Y. Urban road greenbelt configuration: The perspective of PM2.5 removal and air quality regulation. Environ. Int. 2021, 157, 106786. [Google Scholar] [CrossRef] [PubMed]
- Chen, X.; Wu, J.; Yang, W.B.; Wang, Z.Y.; Chen, S.T.; Hu, X.S.; Lu, K.F.; Fan, Z.M.; Lin, M.; Chen, P. Measuring and modeling the effects of green barriers on the spatial distribution of fine particulate matter at roadside. Urban Clim. 2023, 52, 101727. [Google Scholar] [CrossRef]
- Ali-Toudert, F.; Mayer, H. Effects of asymmetry, galleries, overhanging facades and vegetation on thermal comfort in urban street canyons. Sol. Energy 2007, 81, 742–754. [Google Scholar] [CrossRef]
- Lin, P.Y.; Song, D.X.; Qin, H. Impact of parking and greening design strategies on summertime outdoor thermal condition in old mid-rise residential estates. Urban For. Urban Green. 2021, 63, 127200. [Google Scholar] [CrossRef]
- Xiong, Y.Z.; Huang, S.P.; Chen, F.; Ye, H.; Wang, C.P.; Zhu, C.B. The Impacts of Rapid Urbanization on the Thermal Environment: A Remote Sensing Study of Guangzhou, South China. Remote Sens. 2012, 4, 2033–2056. [Google Scholar] [CrossRef]
- Zhou, K.; Ye, Y.H.; Liu, Q.; Liu, A.J.; Peng, S.L. Evaluation of ambient air quality in Guangzhou, China. J. Environ. Sci. 2007, 19, 432–437. [Google Scholar] [CrossRef]
- Li, K.M.; Zhang, Y.F.; Zhao, L.H. Outdoor thermal comfort and activities in the urban residential community in a humid subtropical area of China. Energy Build. 2016, 133, 498–511. [Google Scholar] [CrossRef]
- Yang, X.S.; Zhao, L.H.; Bruse, M.; Meng, Q.L. Evaluation of a microclimate model for predicting the thermal behavior of different ground surfaces. Build. Environ. 2013, 60, 93–104. [Google Scholar] [CrossRef]
- Wang, B. Study on optimization strategy of road greening in the central urban area of Zengcheng District, Guangzhou City, China. Master’s Thesis, South China University of Technology, Guangzhou, China, 2020. [Google Scholar]
- Järvi, L.; Kurppa, M.; Kuuluvainen, H.; Rönkkö, T.; Karttunen, S.; Balling, A.; Timonen, H.; Niemi, J.; Pirjola, L. Determinants of spatial variability of air pollutant concentrations in a street canyon network measured using a mobile laboratory and a drone. Sci. Total Environ. 2023, 856, 158974. [Google Scholar] [CrossRef]
- He, H.Y.; Zhu, Y.S.; Liu, L.; Du, J.; Liu, L.R.; Liu, J. Effects of roadside trees three-dimensional morphology characteristics on traffic-related PM2.5 distribution in hot-humid urban blocks. Urban Clim. 2023, 49, 101448. [Google Scholar] [CrossRef]
- Dai, S.; Bi, X.; Chan, L.Y.; He, J.; Wang, B.; Wang, X.; Peng, P.; Sheng, G.; Fu, J. Chemical and stable carbon isotopic composition of PM2.5 from on-road vehicle emissions in the PRD region and implications for vehicle emission control policy. Atmos. Chem. Phys. 2015, 15, 3097–3108. [Google Scholar] [CrossRef]
- Liu, J.Y.; Zheng, B.H. A Simulation Study on the Influence of Street Tree Configuration on Fine Particulate Matter (PM2.5) Concentration in Street Canyons. Forests 2023, 14, 1550. [Google Scholar] [CrossRef]
- Liu, Z.; Tan, G.; Zhao, L. Simplification Method for Building Tree Models in ENVI-met: A Case Study of Ficus microcarpa. Guangdong Landsc. Arch. 2018, 46, 83–87. [Google Scholar]
- Lalic, B.; Mihailovic, D.T. An empirical relation describing leaf-area density inside the forest for environmental modeling. J. Appl. Meteorol. 2004, 43, 641–645. [Google Scholar] [CrossRef]
- Fang, Z.S.; Feng, X.W.; Liu, J.L.; Lin, Z.; Mak, C.M.; Niu, J.L.; Tse, K.T.; Xu, X.N. Investigation into the differences among several outdoor thermal comfort indices against field survey in subtropics. Sustain. Cities Soc. 2019, 44, 676–690. [Google Scholar] [CrossRef]
- Zhang, L.L.L.; Wei, D.; Hou, Y.Y.; Du, J.F.; Liu, Z.; Zhang, G.M.; Shi, L. Outdoor Thermal Comfort of Urban Park—A Case Study. Sustainability 2020, 12, 1961. [Google Scholar] [CrossRef]
- Lin, T.-P.; Matzarakis, A. Tourism climate and thermal comfort in Sun Moon Lake, Taiwan. Int. J. Biometeorol. 2008, 52, 281–290. [Google Scholar] [CrossRef]
- Fang, Z.; Feng, X.; Xu, X.; Zhou, X.; Lin, Z.; Ji, Y. Investigation into outdoor thermal comfort conditions by different seasonal field surveys in China, Guangzhou. Int. J. Biometeorol. 2019, 63, 1357–1368. [Google Scholar] [CrossRef]
- Polednik, B.; Piotrowicz, A. Pedestrian exposure to traffic-related particles along a city road in Lublin, Poland. Atmos. Pollut. Res. 2020, 11, 686–692. [Google Scholar] [CrossRef]
- Jung, S.J.; Yoon, S. Effects of Creating Street Greenery in Urban Pedestrian Roads on Microclimates and Particulate Matter Concentrations. Sustainability 2022, 14, 7887. [Google Scholar] [CrossRef]
- Zhao, D.; Lei, Q.H.; Shi, Y.J.; Wang, M.D.; Chen, S.B.; Shah, K.; Ji, W.L. Role of Species and Planting Configuration on Transpiration and Microclimate for Urban Trees. Forests 2020, 11, 825. [Google Scholar] [CrossRef]
- Huang, J.M.; Chen, L.C. Synergistic Effects of Roadside Trees and Spatial Geometry on Thermal Environment in Urban Streets: A Case Study in Tropical, Medium-Sized City, Taiwan. Buildings 2023, 13, 2092. [Google Scholar] [CrossRef]
- Buccolieri, R.; Jeanjean, A.P.R.; Gatto, E.; Leigh, R.J. The impact of trees on street ventilation, NOx and PM2.5 concentrations across heights in Marylebone Rd street canyon, central London. Sustain. Cities Soc. 2018, 41, 227–241. [Google Scholar] [CrossRef]
- Zhang, L.; Zhan, Q.M.; Lan, Y.L. Effects of the tree distribution and species on outdoor environment conditions in a hot summer and cold winter zone: A case study in Wuhan residential quarters. Build. Environ. 2018, 130, 27–39. [Google Scholar] [CrossRef]
- Zhang, J.; Gou, Z.H. Tree crowns and their associated summertime microclimatic adjustment and thermal comfort improvement in urban parks in a subtropical city of China. Urban For. Urban Green. 2021, 59, 126912. [Google Scholar] [CrossRef]
- Pace, R.; De Fino, F.; Rahman, M.A.; Pauleit, S.; Nowak, D.J.; Grote, R. A single tree model to consistently simulate cooling, shading, and pollution uptake of urban trees. Int. J. Biometeorol. 2021, 65, 277–289. [Google Scholar] [CrossRef]
- Yang, H.; Chen, T.; Lin, Y.; Buccolieri, R.; Mattsson, M.; Zhang, M.; Hang, J.; Wang, Q. Integrated impacts of tree planting and street aspect ratios on CO dispersion and personal exposure in full-scale street canyons. Build. Environ. 2020, 169, 106529. [Google Scholar] [CrossRef]
- Morakinyo, T.E.; Lam, Y.F. Study of traffic-related pollutant removal from street canyon with trees: Dispersion and deposition perspective. Environ. Sci. Pollut. Res. 2016, 23, 21652–21668. [Google Scholar] [CrossRef]
- Abhijith, K.V.; Kumar, P.; Gallagher, J.; McNabola, A.; Baldauf, R.; Pilla, F.; Broderick, B.; Di Sabatino, S.; Pulvirenti, B. Air pollution abatement performances of green infrastructure in open road and built-up street canyon environments—A review. Atmos. Environ. 2017, 162, 71–86. [Google Scholar] [CrossRef]
- Deng, S.X.; Ma, J.; Zhang, L.L.; Jia, Z.K.; Ma, L.Y. Microclimate simulation and model optimization of the effect of roadway green space on atmospheric particulate matter. Environ. Pollut. 2019, 246, 932–944. [Google Scholar] [CrossRef]
- Baldauf, R. Roadside vegetation design characteristics that can improve local, near-road air quality. Transp. Res. Part D-Transp. Environ. 2017, 52, 354–361. [Google Scholar] [CrossRef] [PubMed]



















| Equipment | Manufacturer | Country of Origin | Model | Parameter | Measuring Range | Accuracy | Sampling Rate | 
|---|---|---|---|---|---|---|---|
| Thermal comfort instrument | Beijing Tianjian Huayi Science and Technology Development Co., Ltd. (Beijing, China) | China | SSDZY-1 | Ta (°C) | −20.0–80.0 °C | ±0.3 °C | 1 min | 
| RH (%) | 0.01–99.9% RH | ±2% | 1 min | ||||
| GlobeTemperature (°C) | −20.0–80.0 °C | ±0.3 °C | 1 min | ||||
| Ws (m/s) | 0.05–5.00 m/s | 5% ± 0.05 m/s | 1 min | ||||
| All-in-one gas detector | Shenzhen Keruino Electronics Technology Co., Ltd. (Shenzhen, China) | China | GT-1000-B3 | PM2.5 (μg/m3) | 0–9999 μg/m3 | ±3% μg/m3 | 10 s | 
| PET Value | Thermal Sensation | Grade of Physiological Stress | 
|---|---|---|
| - | Very cold | Extreme cold stress | 
| - | Cold | Strong cold stress | 
| Below 11.3 °C | Cool | Moderate cold stress | 
| 11.3–19.2 °C | Slightly cool | Slight cold stress | 
| 19.2–24.6 °C | Comfortable | No thermal stress | 
| 24.6–29.1 °C | Slightly warm | Slight heat stress | 
| 29.1–36.3 °C | Warm | Moderate heat stress | 
| 36.3–53.6 °C | Hot | Strong heat stress | 
| Above 53.6 °C | Very hot | Extreme heat stress | 
| Summer | Winter | ||||||
|---|---|---|---|---|---|---|---|
| Tree Morphological Indicators | Scene | Pearson Correlation Coefficient | p-Value | Tree Morphological Indicators | Scene | Pearson Correlation Coefficient | p-Value | 
| Tree Height | R12 | 0.703 * | 0.035 | Tree Height | R12 | −0.45 | 0.224 | 
| R23 | 0.306 | 0.424 | R23 | 0.900 ** | 0.001 | ||
| R34 | 0.721 * | 0.028 | R34 | 0.767 * | 0.016 | ||
| R45 | 0.772 * | 0.015 | R45 | 0.117 | 0.765 | ||
| Crown Width | R12 | 0.817 ** | 0.007 | Crown Width | R12 | 0.407 | 0.277 | 
| R23 | 0.777 * | 0.014 | R23 | 0.661 | 0.053 | ||
| R34 | 0.696 * | 0.037 | R34 | 0.017 | 0.965 | ||
| R45 | 0.669 * | 0.049 | R45 | 0.424 | 0.256 | ||
| Height Under Branch | R12 | 0.295 | 0.44 | Height Under Branch | R12 | −0.42 | 0.26 | 
| R23 | 0.038 | 0.922 | R23 | 0.311 | 0.415 | ||
| R34 | 0.335 | 0.379 | R34 | 0.529 | 0.143 | ||
| R45 | 0.42 | 0.26 | R45 | 0.092 | 0.813 | ||
| LAI | R12 | 0.404 | 0.281 | LAI | R12 | 0.617 | 0.077 | 
| R23 | −0.304 | 0.426 | R23 | −0.567 | 0.112 | ||
| R34 | −0.558 | 0.119 | R34 | −0.8 ** | 0.01 | ||
| R45 | −0.534 | 0.139 | R45 | −0.053 | 0.892 | ||
| Disclaimer/Publisher’s Note: The statements, opinions and data contained in all publications are solely those of the individual author(s) and contributor(s) and not of MDPI and/or the editor(s). MDPI and/or the editor(s) disclaim responsibility for any injury to people or property resulting from any ideas, methods, instructions or products referred to in the content. | 
© 2024 by the authors. Licensee MDPI, Basel, Switzerland. This article is an open access article distributed under the terms and conditions of the Creative Commons Attribution (CC BY) license (https://creativecommons.org/licenses/by/4.0/).
Share and Cite
Du, M.; Zhao, Y.; Yang, J.; Wang, W.; Luo, X.; Zhong, Z.; Huang, B. Impact of ENVI-met-Based Road Greening Design on Thermal Comfort and PM2.5 Concentration in Hot–Humid Areas. Sustainability 2024, 16, 8475. https://doi.org/10.3390/su16198475
Du M, Zhao Y, Yang J, Wang W, Luo X, Zhong Z, Huang B. Impact of ENVI-met-Based Road Greening Design on Thermal Comfort and PM2.5 Concentration in Hot–Humid Areas. Sustainability. 2024; 16(19):8475. https://doi.org/10.3390/su16198475
Chicago/Turabian StyleDu, Meng, Yang Zhao, Jiahao Yang, Wanying Wang, Xinyi Luo, Ziyu Zhong, and Bixue Huang. 2024. "Impact of ENVI-met-Based Road Greening Design on Thermal Comfort and PM2.5 Concentration in Hot–Humid Areas" Sustainability 16, no. 19: 8475. https://doi.org/10.3390/su16198475
APA StyleDu, M., Zhao, Y., Yang, J., Wang, W., Luo, X., Zhong, Z., & Huang, B. (2024). Impact of ENVI-met-Based Road Greening Design on Thermal Comfort and PM2.5 Concentration in Hot–Humid Areas. Sustainability, 16(19), 8475. https://doi.org/10.3390/su16198475
 
        

 
       