Reducing Plastic Waste and Generating Bioelectricity Simultaneously through Fuel Cells Using the Fungus Pleurotus ostreatus
Abstract
1. Introduction
2. Materials and Methods
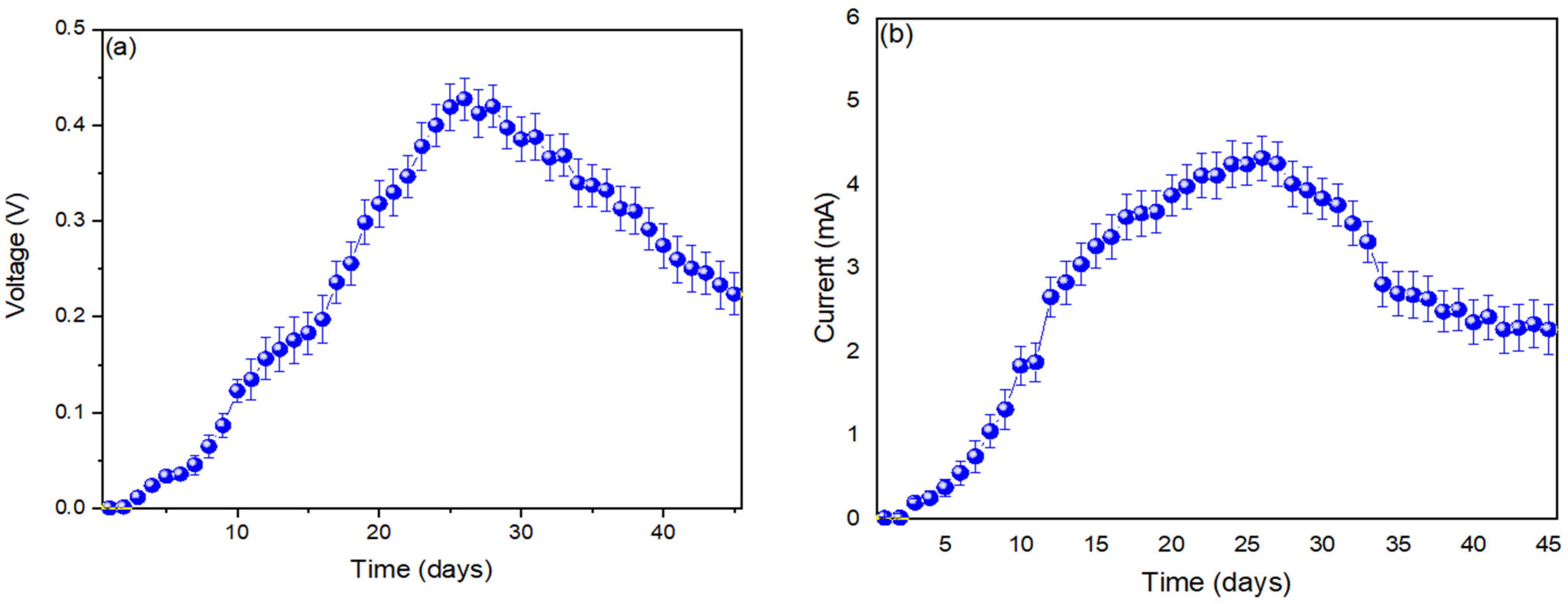
3. Results and Analysis
4. Conclusions
Author Contributions
Funding
Institutional Review Board Statement
Informed Consent Statement
Data Availability Statement
Conflicts of Interest
References
- Liu, Y.; Shi, J.; Jin, H.; Guo, L. Chemical recycling methods for managing waste plastics: A review. Environ. Chem. Lett. 2024, 22, 149–169. [Google Scholar] [CrossRef]
- Hu, B.; Wang, S.; Yan, J.; Zhang, H.; Qiu, L.; Liu, W.; Guo, Y.; Shen, J.; Chen, B.; Shi, C.; et al. Review of Waste Plastics Treatment and Utilization: Efficient Conversion and High Value Utilization. Process. Saf. Environ. Prot. 2024, 183, 378–398. [Google Scholar]
- Tang, G.; Qiao, W.; Wang, Z.; Liu, F.; He, L.; Liu, M.; Huang, W.; Wu, H.; Liu, C. Waste plastic to energy storage materials: A state-of-the-art review. Green Chem. 2023, 25, 3738–3766. [Google Scholar] [CrossRef]
- Zhang, Y.; Wang, Q.; Yalikun, N.; Wang, H.; Wang, C.; Jiang, H. A comprehensive review of separation technologies for waste plastics in urban mine. Resour. Conserv. Recycl. 2023, 197, 107087. [Google Scholar] [CrossRef]
- Khoaele, K.K.; Gbadeyan, O.J.; Chunilall, V.; Sithole, B. The devastation of waste plastic on the environment and remediation processes: A critical review. Sustainability 2023, 15, 5233. [Google Scholar] [CrossRef]
- Faisal, F.; Rasul, M.; Jahirul, M.; Schaller, D. Pyrolytic conversion of waste plastics to energy products: A review on yields, properties, and production costs. Sci. Total. Environ. 2023, 861, 160721. [Google Scholar] [CrossRef]
- Shah, H.H.; Amin, M.; Iqbal, A.; Nadeem, I.; Kalin, M.; Soomar, A.M.; Galal, A.M. A review on gasification and pyrolysis of waste plastics. Front. Chem. 2023, 10, 960894. [Google Scholar] [CrossRef]
- Hu, X.; Ma, D.; Zhang, G.; Ling, M.; Hu, Q.; Liang, K.; Lu, J.; Zheng, Y. Microwave-assisted pyrolysis of waste plastics for their resource reuse: A technical review. Carbon Resour. Convers. 2023, 6, 215–228. [Google Scholar] [CrossRef]
- Faisal, F.; Rasul, M.; Jahirul, M.; Chowdhury, A.A. Waste plastics pyrolytic oil is a source of diesel fuel: A recent review on diesel engine performance, emissions, and combustion characteristics. Sci. Total. Environ. 2023, 886, 163756. [Google Scholar] [CrossRef]
- Osman, A.I.; Chen, L.; Yang, M.; Msigwa, G.; Farghali, M.; Fawzy, S.; Rooney, D.W.; Yap, P.-S. Cost, environmental impact, and resilience of renewable energy under a changing climate: A review. Environ. Chem. Lett. 2023, 21, 741–764. [Google Scholar] [CrossRef]
- Erdogan, S.; Pata, U.K.; Solarin, S.A. Towards carbon-neutral world: The effect of renewable energy investments and technologies in G7 countries. Renew. Sustain. Energy Rev. 2023, 186, 113683. [Google Scholar] [CrossRef]
- Hassan, Q.; Algburi, S.; Sameen, A.Z.; Al-Musawi, T.J.; Al-Jiboory, A.K.; Salman, H.M.; Ali, B.M.; Jaszczur, M. A comprehensive review of international renewable energy growth. Energy Built Environ. 2024; in press. [Google Scholar]
- Odunaiya, O.G.; Soyombo, O.T.; Okoli, C.E.; Usiagu, G.S.; Ekemezie, I.O.; Olu-lawal, K.A. Renewable energy adoption in multinational energy companies: A review of strategies and impact. World J. Adv. Res. Rev. 2024, 21, 733–741. [Google Scholar] [CrossRef]
- Boas, J.V.; Oliveira, V.B.; Simões, M.; Pinto, A.M. Review on microbial fuel cells applications, developments and costs. J. Environ. Manag. 2022, 307, 114525. [Google Scholar] [CrossRef]
- Obileke, K.; Onyeaka, H.; Meyer, E.L.; Nwokolo, N. Microbial fuel cells, a renewable energy technology for bio-electricity generation: A mini-review. Electrochem. Commun. 2021, 125, 107003. [Google Scholar] [CrossRef]
- Prathiba, S.; Kumar, P.S.; Vo, D.-V.N. Recent advancements in microbial fuel cells: A review on its electron transfer mechanisms, microbial community, types of substrates and design for bio-electrochemical treatment. Chemosphere 2022, 286, 131856. [Google Scholar] [CrossRef]
- Tan, W.H.; Chong, S.; Fang, H.-W.; Pan, K.-L.; Mohamad, M.; Lim, J.W.; Tiong, T.J.; Chan, Y.J.; Huang, C.-M.; Yang, T.C.-K. Microbial fuel cell technology—A critical review on scale-up issues. Processes 2021, 9, 985. [Google Scholar] [CrossRef]
- Jatoi, A.S.; Akhter, F.; Mazari, S.A.; Sabzoi, N.; Aziz, S.; Soomro, S.A.; Mubarak, N.M.; Baloch, H.; Memon, A.Q.; Ahmed, S. Advanced microbial fuel cell for waste water treatment—A review. Environ. Sci. Pollut. Res. 2021, 28, 5005–5019. [Google Scholar] [CrossRef]
- AAleid, G.M.; Alshammari, A.S.; Alomari, A.D.; Abdullahi, S.S.; Mohammad, R.E.A.; Abdulrahman, R.M.I. Degradation of metal ions with electricity generation by using fruit waste as an organic substrate in the microbial fuel cell. Int. J. Chem. Eng. 2023, 2023, 1334279. [Google Scholar] [CrossRef]
- Pontié, M.; Jaspard, E.; Friant, C.; Kilani, J.; Fix-Tailler, A.; Innocent, C.; Chery, D.; Mbokou, S.; Somrani, A.; Cagnon, B.; et al. A sustainable fungal microbial fuel cell (FMFC) for the bioremediation of acetaminophen (APAP) and its main by-product (PAP) and energy production from biomass. Biocatal. Agric. Biotechnol. 2019, 22, 101376. [Google Scholar] [CrossRef]
- Ibrahim, S.S.; Ionescu, D.; Grossart, H.P. Tapping into fungal potential: Biodegradation of plastic and rubber by potent Fungi. Sci. Total Environ. 2024, 934, 173188. [Google Scholar] [CrossRef]
- Kuswytasari, N.D.; Kurniawati, A.R.; Aunurohim, A.; Alami, N.H.; Zulaika, E.; Shovitri, M.; Kumari, N.; Luqman, A. Plastic Biodegradation Potential of Soil Mangrove Mold Isolated from Wonorejo, Indonesia. Adv. Life Sci. 2023, 10, 228–238. [Google Scholar]
- Dimassi, S.N.; Hahladakis, J.N.; Yahia, M.N.D.; Ahmad, M.I.; Sayadi, S.; Al-Ghouti, M.A. Insights into the degradation mechanism of PET and PP under marine conditions using FTIR. J. Hazard. Mater. 2023, 447, 130796. [Google Scholar] [CrossRef]
- Safdar, A.; Ismail, F.; Imran, M. Biodegradation of synthetic plastics by the extracellular lipase of Aspergillus niger. Environ. Adv. 2024, 17, 100563. [Google Scholar] [CrossRef]
- Xu, F.; Chen, P.; Li, H.; Qiao, S.; Wang, J.; Wang, Y.; Wang, X.; Wu, B.; Liu, H.; Wang, C.; et al. Comparative transcriptome analysis reveals the differential response to cadmium stress of two Pleurotus fungi: Pleurotus cornucopiae and Pleurotus ostreatus. J. Hazard. Mater. 2021, 416, 125814. [Google Scholar] [CrossRef]
- Di Piazza, S.; Benvenuti, M.; Damonte, G.; Cecchi, G.; Mariotti, M.G.; Zotti, M. Fungi and circular economy: Pleurotus ostreatus grown on a substrate with agricultural waste of lavender, and its promising biochemical profile. Recycling 2021, 6, 40. [Google Scholar] [CrossRef]
- Wang, S.; Li, W.; Liu, L.; Qi, H.; You, H. Biodegradation of decabromodiphenyl ethane (DBDPE) by white-rot fungus Pleurotus ostreatus: Characteristics, mechanisms, and toxicological response. J. Hazard. Mater. 2022, 424, 127716. [Google Scholar] [CrossRef]
- Odigbo, C.; Adenipekun, C.; Oladosu, I.; Ogunjobi, A. Polyethylene terephthalate (PET) biodegradation by Pleurotus ostreatus and Pleurotus pulmonarius. Environ. Monit. Assess. 2023, 195, 585. [Google Scholar] [CrossRef]
- Chaijak, P.; Thipraksa, J. Improved performance of a novel-model laccase based microbial fuel cell (LB-MFC) with edible mushroom as a whole-cell biocatalyst. Pol. J. Environ. Stud. 2022, 31, 4481–4485. [Google Scholar] [CrossRef] [PubMed]
- Segundo, R.-F.; Benites, S.M.; De La Cruz-Noriega, M.; Vives-Garnique, J.; Otiniano, N.M.; Rojas-Villacorta, W.; Gallozzo-Cardenas, M.; Delfín-Narciso, D.; Díaz, F. Impact of dragon fruit waste in microbial fuel cells to generate friendly electric energy. Sustainability 2023, 15, 7316. [Google Scholar] [CrossRef]
- Barnett, S.A. Homo docens. J. Biosoc. Sci. 1973, 5, 393–403. [Google Scholar] [CrossRef]
- Thulasinathan, B.; Jayabalan, T.; Sethupathi, M.; Kim, W.; Muniyasamy, S.; Sengottuvelan, N.; Nainamohamed, S.; Ponnuchamy, K.; Alagarsamy, A. Bioelectricity generation by natural microflora of septic tank wastewater (STWW) and biodegradation of persistent petrogenic pollutants by basidiomycetes fungi: An integrated microbial fuel cell system. J. Hazard. Mater. 2021, 412, 125228. [Google Scholar] [CrossRef] [PubMed]
- Votat, S.; Pontié, M.; Jaspard, E.; Lebrun, L. Crystal Violet (CV) Biodegradation Study in a Dual-Chamber Fungal Microbial Fuel Cell with Trichoderma harzianum. Energies 2024, 17, 247. [Google Scholar] [CrossRef]
- Umar, A.; Abid, I.; Antar, M.; Dufossé, L.; Hajji-Hedfi, L.; Elshikh, M.S.; El Shahawy, A.; Abdel-Azeem, A.M. Electricity generation and oxidoreductase potential during dye discoloration by laccase-producing Ganoderma gibbosum in fungal fuel cell. Microb. Cell Factories 2023, 22, 258. [Google Scholar] [CrossRef] [PubMed]
- Rozene, J.; Morkvenaite-Vilkonciene, I.; Bruzaite, I.; Dzedzickis, A.; Ramanavicius, A. Yeast-based microbial biofuel cell mediated by 9, 10-phenantrenequinone. Electrochim. Acta 2021, 373, 137918. [Google Scholar] [CrossRef]
- Silva-Palacios, F.; Salvador-Salinas, A.; Quezada-Alvarez, M.; Rodriguez-Yupanqui, M.; Segundo, R.-F.; Renny, N.-N.; Cabanillas-Chirinos, L. Bioelectricity generation through Microbial Fuel Cells using Serratia fonticola bacteria and Rhodotorula glutinis yeast. Energy Rep. 2023, 9, 295–301. [Google Scholar] [CrossRef]
- Christwardana, M.; Joelianingsih, J.; Yoshi, L.A. Synergistic of yeast Saccharomyces cerevisiae and glucose oxidase enzyme as co-biocatalyst of enzymatic microbial fuel cell (EMFC) in converting sugarcane bagasse extract into electricity. J. Electrochem. Sci. Eng. 2023, 13, 321–332. [Google Scholar] [CrossRef]
- Garbini, G.L.; Caracciolo, A.B.; Grenni, P. Electroactive bacteria in natural ecosystems and their applications in microbial fuel cells for bioremediation: A review. Microorganisms 2023, 11, 1255. [Google Scholar] [CrossRef] [PubMed]
- Niu, T.; Zhu, H.; Shutes, B.; He, C. Gaseous carbon and nitrogen emissions from microbial fuel cell-constructed wetlands with different carbon sources: Microbiota-driven mechanisms. J. Clean. Prod. 2024, 435, 140404. [Google Scholar] [CrossRef]
- Lin, C.-W.; Lai, C.-Y.; Liu, S.-H.; Chen, Y.-R.; Alfanti, L.K. Enhancing bioelectricity generation and removal of copper in microbial fuel cells with a laccase-catalyzed biocathode. J. Clean. Prod. 2021, 298, 126726. [Google Scholar] [CrossRef]
- Fadzli, F.S.; Bhawani, S.A.; Adam Mohammad, R.E. Microbial fuel cell: Recent developments in organic substrate use and bacterial electrode interaction. J. Chem. 2021, 2021, 4570388. [Google Scholar] [CrossRef]
- Alshammari, A.S.; Aleid, G.M.; Ahmad, A.R.D.; Alomari, A.D.; Abdullahi, S.S.A.; Mohammad, R.E.A. Oil Palm Biomass Sap-Rotten Rice as a Source to Remove Metal Ions and Generate Electricity as By-Products through Microbial Fuel Cell Technology. J. Chem. 2024, 2024, 5570011. [Google Scholar] [CrossRef]
- Zafar, H.; Peleato, N.; Roberts, D. A comparison of reactor configuration using a fruit waste fed two-stage anaerobic up-flow leachate reactor microbial fuel cell and a single-stage microbial fuel cell. Bioresour. Technol. 2023, 374, 128778. [Google Scholar] [CrossRef]
- Raychaudhuri, A.; Behera, M. Biodegradation and power production kinetics in microbial fuel cell during rice mill wastewater treatment. Fuel 2023, 339, 126904. [Google Scholar] [CrossRef]
- Liu, S.H.; Tsai, S.L.; Guo, P.Y.; Lin, C.W. Inducing laccase activity in white rot fungi using copper ions and improving the efficiency of azo dye treatment with electricity generation using microbial fuel cells. Chemosphere 2020, 243, 125304. [Google Scholar] [CrossRef] [PubMed]
- Umar, A.; Smółka, Ł.; Gancarz, M. The role of fungal fuel cells in energy production and the removal of pollutants from wastewater. Catalysts 2023, 13, 687. [Google Scholar] [CrossRef]
- Suresh, R.; Rajendran, S.; Kumar, P.S.; Dutta, K.; Vo, D.V.N. Current advances in microbial fuel cell technology toward removal of organic contaminants—A review. Chemosphere 2022, 287, 132186. [Google Scholar] [CrossRef]
- Durna Pişkin, E.; Genç, N. Multi response optimization of waste activated sludge oxidation and azo dye reduction in microbial fuel cell. Environ. Technol. 2024, 45, 2599–2611. [Google Scholar] [CrossRef]
- Chen, T.; Liu, H.; Li, J. Research on minimizing the MFC internal resistance via a shared electrode MFC-MEC coupling system. Biochem. Eng. J. 2024, 203, 109195. [Google Scholar] [CrossRef]
- Daud, S.M.; Noor, Z.Z.; Mutamim, N.S.A.; Baharuddin, N.H.; Aris, A.; Faizal, A.N.M.; Ibrahim, R.S.; Suhaimin, N.S. A critical review of ceramic microbial fuel cell: Economics, long-term operation, scale-up, performances and challenges. Fuel 2024, 365, 131150. [Google Scholar] [CrossRef]
- Liu, T.; Tang, Q.; Lei, H.; Zhen, X.; Zheng, N.; Qiu, P.; Liu, L.; Zhao, J. Preparation, physicochemical and biological evaluation of chitosan Pleurotus ostreatus polysaccharides active films for food packaging. Int. J. Biol. Macromol. 2024, 254, 127470. [Google Scholar] [CrossRef]
- Tryjarski, P.; Gawron, J.; Andres, B.; Obiedzińska, A.; Lisowski, A. FTIR Analysis of Changes in Chipboard Properties after Pretreatment with Pleurotus ostreatus (Jacq.) P. Kumm. Energies 2022, 15, 9101. [Google Scholar] [CrossRef]
- Ratuchne, A.; Lonardoni, E.A.; Bueno, C.E.; Reis, G.F.; Rezende, M.I.; Urbano, A.; Biz, G.; de Almeida, R.S.C.; Panagio, L.A. Pleurotus ostreatus and a novel fungal composite: Development and bioremediation of plastic wastes. Resour. Conserv. Recycl. Adv. 2023, 19, 200167. [Google Scholar] [CrossRef]
- Soh, E.; Saeidi, N.; Javadian, A.; Hebel, D.E.; Le Ferrand, H. Effect of common foods as supplements for the mycelium growth of Ganoderma lucidum and Pleurotus ostreatus on solid substrates. PLoS ONE 2021, 16, e0260170. [Google Scholar] [CrossRef] [PubMed]
- DSouza, G.C.; Sheriff, R.S.; Ullanat, V.; Shrikrishna, A.; Joshi, A.V.; Hiremath, L.; Entoori, K. Fungal biodegradation of low-density polyethylene using consortium of Aspergillus species under controlled conditions. Heliyon 2021, 7, e07008. [Google Scholar] [CrossRef]
- Khan, S.; Ali, S.A.; Ali, A.S. Biodegradation of low density polyethylene (LDPE) by mesophilic fungus ‘Penicillium citrinum’isolated from soils of plastic waste dump yard, Bhopal, India. Environ. Technol. 2023, 44, 2300–2314. [Google Scholar] [CrossRef] [PubMed]
- Bautista-Zamudio, P.A.; Flórez-Restrepo, M.A.; López-Legarda, X.; Monroy-Giraldo, L.C.; Segura-Sánchez, F. Biodegradation of plastics by white rot fungi: A review. Sci. Total Environ. 2023, 901, 165950. [Google Scholar] [CrossRef]
- Boctor, J.; Pandey, G.; Xu, W.; Murphy, D.V.; Hoyle, F.C. Nature’s Plastic Predators: A Comprehensive and Bibliometric Review of Plastivore Insects. Polymers 2024, 16, 1671. [Google Scholar] [CrossRef]






Disclaimer/Publisher’s Note: The statements, opinions and data contained in all publications are solely those of the individual author(s) and contributor(s) and not of MDPI and/or the editor(s). MDPI and/or the editor(s) disclaim responsibility for any injury to people or property resulting from any ideas, methods, instructions or products referred to in the content. |
© 2024 by the authors. Licensee MDPI, Basel, Switzerland. This article is an open access article distributed under the terms and conditions of the Creative Commons Attribution (CC BY) license (https://creativecommons.org/licenses/by/4.0/).
Share and Cite
Segundo, R.-F.; Magaly, D.L.C.-N.; Luis, C.-C.; Otiniano, N.M.; Soto-Deza, N.; Terrones-Rodríguez, N. Reducing Plastic Waste and Generating Bioelectricity Simultaneously through Fuel Cells Using the Fungus Pleurotus ostreatus. Sustainability 2024, 16, 7909. https://doi.org/10.3390/su16187909
Segundo R-F, Magaly DLC-N, Luis C-C, Otiniano NM, Soto-Deza N, Terrones-Rodríguez N. Reducing Plastic Waste and Generating Bioelectricity Simultaneously through Fuel Cells Using the Fungus Pleurotus ostreatus. Sustainability. 2024; 16(18):7909. https://doi.org/10.3390/su16187909
Chicago/Turabian StyleSegundo, Rojas-Flores, De La Cruz-Noriega Magaly, Cabanillas-Chirinos Luis, Nélida Milly Otiniano, Nancy Soto-Deza, and Nicole Terrones-Rodríguez. 2024. "Reducing Plastic Waste and Generating Bioelectricity Simultaneously through Fuel Cells Using the Fungus Pleurotus ostreatus" Sustainability 16, no. 18: 7909. https://doi.org/10.3390/su16187909
APA StyleSegundo, R.-F., Magaly, D. L. C.-N., Luis, C.-C., Otiniano, N. M., Soto-Deza, N., & Terrones-Rodríguez, N. (2024). Reducing Plastic Waste and Generating Bioelectricity Simultaneously through Fuel Cells Using the Fungus Pleurotus ostreatus. Sustainability, 16(18), 7909. https://doi.org/10.3390/su16187909

