The Impact of the Circular Economy Pilot Policy on Carbon Emissions in Chinese Cities and Its Underlying Mechanisms
Abstract
1. Introduction
2. Policy Background and Research Hypotheses
2.1. Policy Background
2.2. Research Hypotheses
3. Research Methodology
3.1. Model Construction
3.1.1. Multi-Period DID Model
3.1.2. Mediation Effects Model
3.1.3. Moderation Effects Model
3.1.4. SDID Model
3.2. Variable Description
3.3. Sample Selection and Data Sources
4. Empirical Results and Robustness Testing
4.1. Baseline Regression
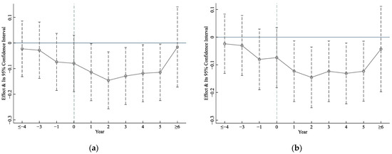
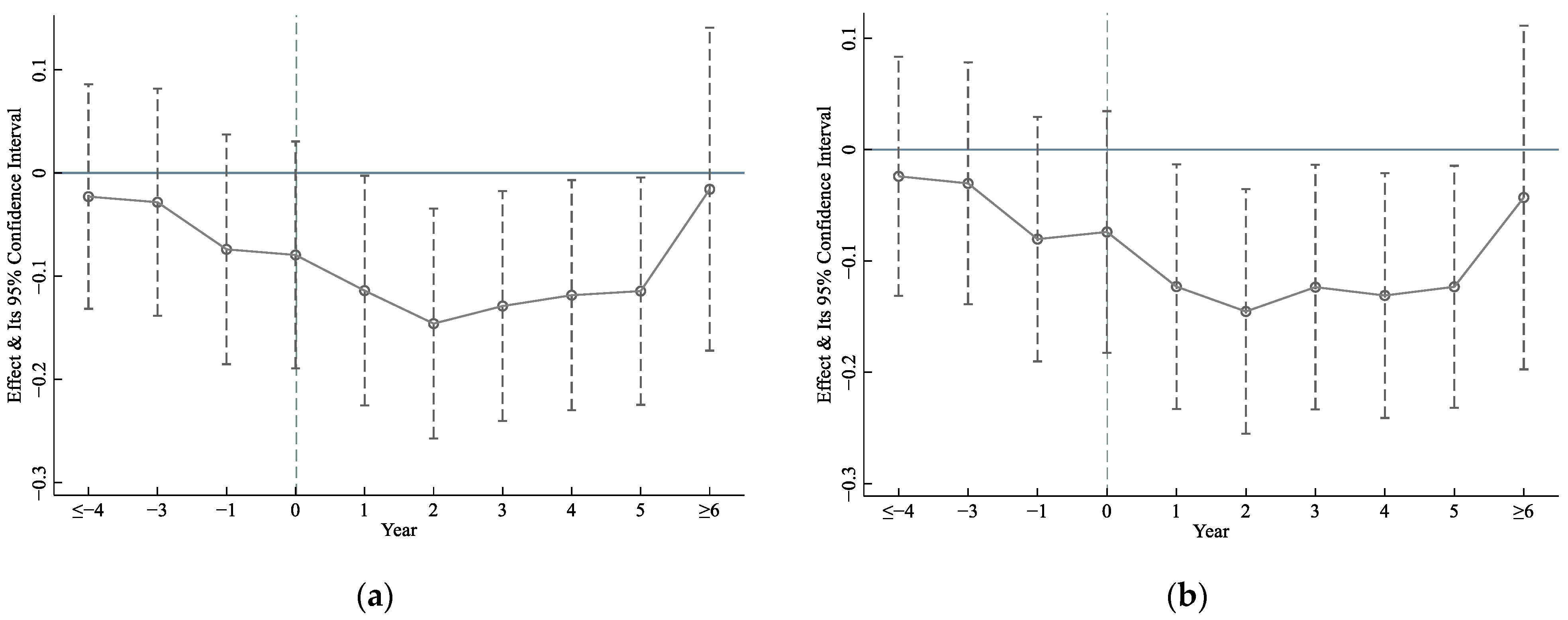
4.2. Parallel Trend Test
4.3. Robust Test
4.3.1. Placebo Test
4.3.2. Correction of Sample Selection Bias
4.3.3. Inclusion of Interaction Fixed Effects
4.3.4. Eliminate Interference from Other Policies
5. Mechanism Testing and Heterogeneity Analysis
5.1. Impact Mechanism Testing
5.1.1. Mechanism Effects of Government Technology Investment
5.1.2. Mechanism Effects of Per Capita Fixed Capital
5.1.3. The Regulatory Effect of Public Management
5.2. Heterogeneity Analysis
5.2.1. Diversity in Resource Endowment
5.2.2. Heterogeneity of Industrialization Levels
5.2.3. The Heterogeneity of Economic Foundations
6. Examination of the Spillover Effects of the Circular Economy Pilot Policy’s Spatial Dimensions
6.1. Spatial Autocorrelation Analysis
6.2. The Examination Results of the SDID Model
7. Discussion
8. Conclusions and Policy Implications
- First, it is recommended to gradually expand the content and coverage of the circular economy pilot policy systematically and progressively. Adhering strictly to the three major principles of “reduction, reuse, and recycling”, tailored 3–5 year development plans for circular economy and their phased objectives should be formulated based on the resource utilization efficiency and innovation foundation of circular economy enterprises, with regular monitoring of the progress and completion of the phased objectives of the plan. In the short term, the focus should mainly be on improving the structure of factor allocation, using renewable resources to replace non-renewable resources, and achieving resource reduction. Meanwhile, in the long term, continuous and in-depth promotion of recycling technologies is needed, specifically guiding innovative resource flows towards the innovation and application fields of new energy and renewable energy, strengthening the large-scale use of solar energy, wind energy, biomass energy, geothermal energy, hydrogen energy, and other energy sources to facilitate the green and low-carbon transformation of urban energy systems and curb carbon emissions. Furthermore, the standardized governance model of circular economy in national demonstration cities should be summarized, replicated, and promoted to surrounding areas, fostering innovative cooperation between national circular economy demonstration cities and surrounding areas in the field of energy generation to fully demonstrate the “demonstration effect” of the circular economy pilot policy.
- Second, it is recommended that, in the governance of the circular economy, active participation from entities at all levels be galvanized, with a focus on green and low-carbon technological innovation, adjustment of the factor allocation structure, and the local government’s management of circular economy development. Due to the reliance of the circular economy pilot policy on the support of circular economy industries, the high initial investment level and long recovery period of circular economy industries, as well as the relatively low equipment levels of key technologies such as mining technology, environmental protection technology, energy-saving technology, and comprehensive utilization technology, there is a bottleneck phenomenon. At the local government level, it is necessary to increase economic incentives for circular economy industries, enhance interest subsidies for key technology development and promotion loans from fiscal funds, broaden the financing channels for key technologies through green financial innovation products such as green bonds, encourage enterprises participating in carbon emission reduction accounting to enter the carbon market trading and obtain market incentives for carbon emission reduction benefits, and strengthen the attention of local governments to the construction of circular economy and the support for circular economy innovation. On the legal front, the government responsibility system within the circular economy legal framework should be perfected, clarifying local government responsibilities for circular economy development goals, management scope, focus, and the specific procedures and timelines for responsibility implementation, thus ensuring local government’s governance intensity in managing the circular economy from its root. At the corporate level, the focus should be on reducing excess capacity, deleveraging, and facilitating an orderly exit for ‘zombie’ enterprises, optimizing the structure of corporate factor allocation, and steering social capital towards new energy or enterprises with higher energy efficiency.
- Third, it is advisable for the circular economy pilot policy to be tailored to the unique attributes of each city, identifying low-carbon transformation measures that align with the city’s specific traits. The circular economy pilot policy and regulations tend to be more macroscopic, lacking operational details, while the implementation of the circular economy pilot policy requires effective government supervision and public oversight. Therefore, to further refine the circular economy pilot policy and regulations, local governments can establish a circular economy carbon emission reduction accounting evaluation system, incorporate circular economy carbon emission reduction accounting into the local government assessment index system, and establish mechanisms and platforms for public participation in a circular economy. At the same time, there should be intensified policy guidance for key cities, implementing circular economy development strategies per differences in resource endowment, industrial structure, and economic foundation, such as currently prioritizing carbon reduction in resource-based cities, old industrial cities, and cities within the central region.
- Finally, the research findings indicate a significant “demonstration effect” of the circular economy pilot policy demonstration cities on the transformation of energy demand in surrounding areas. In response to this, this study suggests summarizing the standardized model of circular economy governance in national circular economy demonstration cities for replication and promotion in surrounding areas to enhance their demonstration effect, while also fostering innovative cooperation between national circular economy demonstration cities and surrounding areas in the field of energy generation.
Author Contributions
Funding
Institutional Review Board Statement
Informed Consent Statement
Data Availability Statement
Conflicts of Interest
Appendix A
| City Level | Eastern Region | Central Region | Western Region |
|---|---|---|---|
| Prefecture-level city | Suzhou, Weifang, Guangzhou, Quzhou, Nanping, Chengde | Hebi, Loudi, Tongling, Huangshi, Jilin, Jincheng | Wuzhou, Jinchang, Wuhai, Guangan, Pu’er, Chongqing Dazu, Shangluo |
| County-level city | Ninghai, Yongkang, Xintai, Yanqing, Taixing, Shishi, Gaoyang | Jieshou, Guixi, Gucheng, Zixing, Diaobinshan, Boai, Xiaoyi | Tongwei, Tiandong, Longli, Huolinguole, Ge’ermu, Shanshanxian, Yimen |
| City Level | Eastern Region | Central Region | Western Region |
|---|---|---|---|
| Prefecture-level city | Taizhou, Liaocheng, Xuzhou, Zhanjiang, Yangzhou, Qindao, Tianjin | Jinmen, Luoyang, Shenyang, Xinxiang, Anshan, Ji’an, Fuyang, Changsha | Baotou, Liupanshui, Baiyin, Shizuishan, Chongqing Qijiang, Lasa, Tongren, Luzhou, Chongqing, Hechuan, Qujing, Liuzhou |
| County-level city | Pingyuan, Anji, Zhaoyuan, Guangning, Luoding, Haining, Danyang | Anhua, Fengyang, Fengcheng, Zhijiang, Zhangshu, Fanchang, Anxiang, Qianjiang, Tonghe, Jianping, Taonan, Changge | Hancheng, Cengong, Linxia, Pujiang, Fuchuanyaozhu, Jianshebintuan’ershi, Chongqing Liangping, Xichong, Tuoketuo, Jianshebintuanyishi, Rikazeshi, Manasi, Jingchuan, Yongning, Qingtongxia, Datong, Xiangyun |
References
- Korhonen, J.; Honkasalo, A.; Seppälä, J. Circular economy: The concept and its limitations. Ecol. Econ. 2018, 143, 37–46. [Google Scholar] [CrossRef]
- Di, K.; Chen, W.; Zhang, X.; Shi, Q.; Cai, Q.; Li, D.; Liu, C.; Di, Z. Regional unevenness and synergy of carbon emission reduction in China’s green low-carbon circular economy. J. Clean. Prod. 2023, 420, 138436. [Google Scholar] [CrossRef]
- Moraga, G.; Huysveld, S.; Mathieux, F.; Blengini, G.A.; Alaerts, L.; Van Acker, K.; de Meester, S.; Dewulf, J. Circular economy indicators: What do they measure? Resour. Conserv. Recycl. 2019, 146, 452–461. [Google Scholar] [CrossRef]
- Morseletto, P. Targets for a circular economy. Resour. Conserv. Recycl. 2020, 153, 104553. [Google Scholar] [CrossRef]
- Bongers, A.; Casas, P. The circular economy and the optimal recycling rate: A macroeconomic approach. Ecol. Econ. 2022, 199, 107504. [Google Scholar] [CrossRef]
- Sánchez-García, E.; Martínez-Falcó, J.; Marco-Lajara, B.; Manresa-Marhuenda, E. Revolutionizing the circular economy through new technologies: A new era of sustainable progress. Environ. Technol. Innov. 2024, 23, 103509. [Google Scholar] [CrossRef]
- Yang, Y.; Liu, Z. A Novel Probabilistic Approach for Driving the Sustainable Energy Circular Economy: Innovating Efficiency in Renewable Resource Markets. Sustain. Cities Soc. 2024, 108, 105461. [Google Scholar] [CrossRef]
- Mossali, E.; Picone, N.; Gentilini, L.; Rodrìguez, O.; Pérez, J.M.; Colledani, M. Lithium-ion batteries towards circular economy: A literature review of opportunities and issues of recycling treatments. J. Environ. Manag. 2020, 264, 110500. [Google Scholar] [CrossRef] [PubMed]
- Barkhausen, R.; Fick, K.; Durand, A.; Rohde, C. Analysing policy change towards the circular economy at the example of EU battery legislation. Renew. Sustain. Energy Rev. 2023, 186, 113665. [Google Scholar] [CrossRef]
- Vines, V.; Pasquali, M.; Ganguli, S.; Meyer, D.E. Understanding the trade-offs of national municipal solid waste estimation methods for circular economy policy. J. Clean. Prod. 2023, 412, 137349. [Google Scholar] [CrossRef]
- Chen, Z.; Chen, S.; Liu, C.; Nguyen, L.T.; Hasan, A. The effects of the circular economy on economic growth: A quasi-natural experiment in China. J. Clean. Prod. 2020, 271, 122558. [Google Scholar] [CrossRef]
- Feng, Z.X.; Jia, N.T.; Chen, X. Environmental regulation, technological innovation and ownerships of enterprises. J. Xi’an Jiaotong Univ. Soc. Sci. 2020, 40, 77–86. (In Chinese) [Google Scholar]
- Zhu, Y.; Mao, C.; Jia, Q.; Barnes, S.J.; Yao, Q. Building Better Cities: Evaluating the Effect of Circular Economy City Construction on Air Quality via a Quasi-Natural Experiment. J. Environ. Public Health 2022, 2022, 3151072. [Google Scholar] [CrossRef]
- Iannone, F. The role of Green Public Procurement in circular economy policies: An international comparison. Econ. Policy Energy Environ. 2019, 2, 149–170. [Google Scholar] [CrossRef]
- Lazarevic, D.; Salo, H.; Kautto, P. Circular economy policies and their transformative outcomes: The transformative intent of Finland’s strategic policy programme. J. Clean. Prod. 2022, 379, 134892. [Google Scholar] [CrossRef]
- Droege, H.; Kirchherr, J.; Raggi, A.; Ramos, T.B. Towards a circular disruption: On the pivotal role of circular economy policy entrepreneurs. Bus. Strategy Environ. 2023, 32, 1142–1158. [Google Scholar] [CrossRef]
- Alberich, J.P.; Pansera, M.; Hartley, S. Understanding the EU’s circular economy policies through futures of circularity. J. Clean. Prod. 2023, 385, 135723. [Google Scholar] [CrossRef]
- Fan, Y.; Fang, C. Circular economy development in China-current situation, evaluation and policy implications. Environ. Impact Assess. Rev. 2020, 84, 106441. [Google Scholar] [CrossRef]
- Liu, S.; Wen, X.F.; Chen, X.Y. Circular economy policy and enterprises’ environmental performance: Booster for stumbling block? China J. Econ. 2023, 10, 175–210. [Google Scholar]
- Zhu, J.; Fan, C.; Shi, H.; Shi, L. Efforts for a circular economy in China: A comprehensive review of policies. J. Ind. Ecol. 2019, 23, 110–118. [Google Scholar] [CrossRef]
- Cainelli, G.; D’Amato, A.; Mazzanti, M. Resource-efficient eco-innovations for a circular economy: Evidence from EU firms. Res. Policy 2020, 49, 103827. [Google Scholar] [CrossRef]
- Fitch-Roy, O.; Benson, D.; Monciardini, D. Going around in circles? Conceptual recycling, patching and policy layering in the EU circular economy package. Environ. Politics 2020, 29, 983–1003. [Google Scholar] [CrossRef]
- Scheinberg, A.; Nesić, J.; Savain, R.; Luppi, P.; Sinnott, P.; Petean, F.; Pop, F. From collision to collaboration—Integrating informal recyclers and re-use operators in Europe: A review. Waste Manag. Res. 2016, 34, 820–839. [Google Scholar] [CrossRef] [PubMed]
- Tsiliyannis, C.A. The Cycle rate as the means for real-time monitoring of wastes in circular economy. J. Clean. Prod. 2019, 227, 911–931. [Google Scholar] [CrossRef]
- Arthur, E.E.; Gyamfi, S.; Gerstlberger, W.; Stejskal, J.; Prokop, V. Towards circular economy: Unveiling heterogeneous effects of government policy stringency, environmentally related innovation, and human capital within OECD countries. Sustainability 2023, 15, 4959. [Google Scholar] [CrossRef]
- Garrido-Prada, P.; Lenihan, H.; Doran, J.; Rammer, C.; Perez-Alaniz, M. Driving the circular economy through public environmental and energy R&D: Evidence from SMEs in the European Union. Ecol. Econ. 2021, 182, 106884. [Google Scholar]
- Cramer, J. Effective governance of circular economies: An international comparison. J. Clean. Prod. 2022, 343, 130874. [Google Scholar] [CrossRef]
- Wang, K.; Su, X.; Wang, S. How does the energy-consuming rights trading policy affect China’s carbon emission intensity? Energy 2023, 276, 127579. [Google Scholar]
- Mawutor, J.K.M.; Sogah, E.; Gborse, F.C. Circular economy and carbon emissions: Threshold effect of quality of governance. Manag. Environ. Qual. Int. J. 2023. ahead-of-print. [Google Scholar]
- Ramanathan, V.; Xu, Y. The Copenhagen Accord for limiting global warming: Criteria, constraints, and available avenues. Proc. Natl. Acad. Sci. USA 2010, 107, 8055–8062. [Google Scholar] [CrossRef]
- Vandyck, T.; Keramidas, K.; Kitous, A.; Spadaro, J.V.; Van Dingenen, R.; Holland, M.; Saveyn, B. Air quality co-benefits for human health and agriculture counterbalance costs to meet Paris Agreement pledges. Nat. Commun. 2018, 9, 4939. [Google Scholar] [CrossRef]
- Razmjoo, A.; Kaigutha, L.G.; Rad, M.V.; Marzband, M.; Davarpanah, A.; Denai, M. A Technical analysis investigating energy sustainability utilizing reliable renewable energy sources to reduce CO2 emissions in a high potential area. Renew. Energy 2021, 164, 46–57. [Google Scholar] [CrossRef]
- Wu, P.; Guo, F.; Cai, B.; Wang, C.; Lv, C.; Liu, H.; Huang, J.; Huang, Y.; Cao, L.; Pang, L.; et al. Co-benefits of peaking carbon dioxide emissions on air quality and health, a case of Guangzhou, China. J. Environ. Manag. 2021, 282, 111796. [Google Scholar] [CrossRef] [PubMed]
- Zhang, H. Can Low-carbon City Construction Reduce Carbon Emissions? Evidence from a Quasi-natural Experiment. Econ. Manag. J. 2020, 42, 25–41. (In Chinese) [Google Scholar]
- Zheng, H.; Guo, L.H. External effects of low-carbon city pilot on carbon emissions of adjacent non-pilot cities. China Popul. Resour. Environ. 2022, 32, 71–80. [Google Scholar]
- Wu, J.; Nie, X.; Wang, H. Curse to blessing: The carbon emissions trading system and resource-based cities’ carbon mitigation. Energy Policy 2023, 183, 113796. [Google Scholar] [CrossRef]
- Zhang, Y.; Huang, Y. Killing two birds with one stone or missing one of them? The synergistic governance effect of China’s carbon emissions trading scheme on pollution control and carbon emission reduction. Sustainability 2023, 15, 10147. [Google Scholar] [CrossRef]
- Andrews-Speed, P. Applying institutional theory to the low-carbon energy transition. Energy Res. Soc. Sci. 2016, 13, 216–225. [Google Scholar] [CrossRef]
- Edler, J.; Fagerberg, J. Innovation policy: What, why, and how. Oxf. Rev. Econ. Policy 2017, 33, 2–23. [Google Scholar] [CrossRef]
- Tojeiro-Rivero, D.; Moreno, R. Technological cooperation, R&D outsourcing, and innovation performance at the firm level: The role of the regional context. Res. Policy 2019, 48, 1798–1808. [Google Scholar]
- Huang, Q.H.; Pan, T.; Hu, J.F. Identification and influencing factors of China’s industrial technology progress direction under environmental constraints. China Popul. Resour. Environ. 2022, 32, 123–135. (In Chinese) [Google Scholar]
- Zhang, H.Q.; Wu, J.W.; Qin, T. Decomposition framework of Chinese regional energy consumption—Based on the differential analysis of technology and efficiency. Soft Sci. 2018, 32, 1–5. (In Chinese) [Google Scholar]
- Walker, J.L. The diffusion of innovations among the American states. Am. Political Sci. Rev. 1969, 63, 880–899. [Google Scholar] [CrossRef]
- Baron, R.M.; Kenny, D.A. The moderator–mediator variable distinction in social psychological research: Conceptual, strategic, and statistical considerations. J. Personal. Soc. Psychol. 1986, 51, 1173. [Google Scholar] [CrossRef] [PubMed]
- Qi, S.Z.; Zhou, C.B.; Li, K.; Tang, S.-Y. Influence of a pilot carbon trading policy on enterprises’ low-carbon innovation in China. Clim. Policy 2021, 21, 318–336. [Google Scholar] [CrossRef]
- Dubé, J.; Legros, D.; Thériault, M.; Rosiers, F.D. A spatial difference-in-differences estimator to evaluate the effect of change in public mass transit systems on house prices. Transp. Res. Part B Methodol. 2014, 64, 24–40. [Google Scholar] [CrossRef]
- Li, J.; Du, Y.X. Spatial effect of environmental regulation on green innovation efficiency: Evidence from prefectural-level cities in China. J. Clean. Prod. 2021, 286, 125032. [Google Scholar] [CrossRef]
- Lin, B.; Zhou, Y. Does fiscal decentralization improve energy and environmental performance? New perspective on vertical fiscal imbalance. Appl. Energy 2021, 302, 117495. [Google Scholar] [CrossRef]
- Yu, Y.; Chen, X.; Zhang, N. Innovation and energy productivity: An empirical study of the innovative city pilot policy in China. Technol. Forecast. Soc. Chang. 2022, 176, 121430. [Google Scholar] [CrossRef]
- Zeng, S.; Jin, G.; Tan, K.; Liu, X. Can low-carbon city construction reduce carbon intensity? Empirical evidence from low-carbon city pilot policy in China. J. Environ. Manag. 2023, 332, 117363. [Google Scholar] [CrossRef]
- Xia, Q.; Li, L.; Dong, J.; Zhang, B. Reduction effect and mechanism analysis of carbon trading policy on carbon emissions from land use. Sustainability 2021, 13, 9558. [Google Scholar] [CrossRef]
- Wang, M.; Hossain, M.R.; Mohammed, K.S.; Cifuentes-Faura, J.; Cai, X. Heterogenous Effects of Circular Economy, Green energy and Globalization on CO2 emissions: Policy based analysis for sustainable development. Renew. Energy 2023, 211, 789–801. [Google Scholar] [CrossRef]
- Chen, S.Y. Marginal abatement cost and environmental tax reform in China. Soc. Sci. China 2011, 3, 85–100+222. (In Chinese) [Google Scholar]


| Variable | Description | Sample Size | Standard Deviation | Minimum Value | Median Value | Maximum Value |
|---|---|---|---|---|---|---|
| Logarithm of carbon emissions as a percentage of GDP | 4050 | 0.798 | −12.956 | −10.290 | −4.785 | |
| Logarithm of total carbon emissions | 4050 | 1.123 | 2.521 | 6.072 | 10.060 | |
| Dummy variable for pilot cities post-policy implementation (1 if yes, 0 if no) | 4050 | 0.252 | 0.000 | 0.068 | 1.000 | |
| Logarithm of per capita GDP | 4050 | 0.999 | 13.461 | 16.362 | 19.774 | |
| Proportion of urban population to total city population | 4050 | 0.234 | 0.075 | 0.401 | 1.926 | |
| Ratio of financial institution loans to GDP | 4050 | 0.576 | 0.075 | 0.917 | 9.622 | |
| Proportion of actual foreign capital used to GDP | 4050 | 0.019 | 0.001 | 0.018 | 0.212 | |
| Comprehensive utilization rate of industrial waste | 4050 | 0.224 | 0.002 | 0.794 | 1.000 |
| Variable | ||||
|---|---|---|---|---|
| −0.058 ** | −0.062 ** | −0.061 ** | −0.060 ** | |
| (0.039) | (0.020) | (0.025) | (0.026) | |
| −0.601 *** | 0.398 *** | |||
| (0.000) | (0.000) | |||
| 0.165 ** | 0.169 ** | |||
| (0.034) | (0.029) | |||
| 0.061 *** | 0.061 *** | |||
| (0.001) | (0.001) | |||
| −1.016 ** | −1.025 ** | |||
| (0.016) | (0.015) | |||
| 0.096 *** | 0.096 *** | |||
| (0.009) | (0.009) | |||
| Constant | −9.804 *** | −0.672 | 5.648 *** | −0.660 |
| (0.000) | (0.213) | (0.000) | (0.220) | |
| Control | N | Y | N | Y |
| Year FE | Y | Y | Y | Y |
| City FE | Y | Y | Y | Y |
| Observations | 4050 | 4050 | 4050 | 4050 |
| R-squared | 0.391 | 0.450 | 0.340 | 0.365 |
| Variables | PSM-DID | Introducing Interaction Effects | Excluding Interference from Related Policies | |||
|---|---|---|---|---|---|---|
| −0.055 ** | −0.053 ** | −0.058 ** | −0.055 ** | −0.092 ** | −0.090 ** | |
| (0.032) | (0.040) | (0.036) | (0.045) | (0.028) | (0.032) | |
| −0.540 *** | 0.459 *** | −0.284 *** | 0.714 *** | −0.498 *** | 0.503 *** | |
| (0.000) | (0.000) | (0.000) | (0.000) | (0.000) | (0.000) | |
| 0.093 | 0.096 | 0.042 | 0.046 | 0.172 * | 0.176 * | |
| (0.226) | (0.209) | (0.607) | (0.577) | (0.098) | (0.089) | |
| 0.114 *** | 0.115 *** | 0.023 | 0.024 | 0.091 *** | 0.092 *** | |
| (0.000) | (0.000) | (0.275) | (0.254) | (0.000) | (0.000) | |
| −1.096 *** | −1.089 *** | −0.001 | 0.008 | −0.537 | −0.559 | |
| (0.008) | (0.009) | (0.999) | (0.989) | (0.399) | (0.379) | |
| 0.082 ** | 0.082 ** | 0.137 *** | 0.137 *** | 0.084 * | 0.084 * | |
| (0.026) | (0.026) | (0.001) | (0.001) | (0.092) | (0.092) | |
| Constant | −1.601 *** | −1.587 *** | −5.026 *** | −5.042 *** | −2.410 *** | −2.419 *** |
| (0.005) | (0.005) | (0.000) | (0.000) | (0.000) | (0.000) | |
| Control | Y | Y | Y | Y | Y | Y |
| Year FE | Y | Y | Y | Y | Y | Y |
| City FE | Y | Y | Y | Y | Y | Y |
| Province × Year FE | Y | Y | ||||
| Observations | 3828 | 3828 | 4050 | 4050 | 2310 | 2310 |
| R-squared | 0.471 | 0.373 | 0.525 | 0.451 | 0.349 | 0.364 |
| Variables | Government’s S and T Funding | Per Capita Fixed Capital | ||||
|---|---|---|---|---|---|---|
| 0.007 *** | −0.059 ** | −0.057 ** | −0.144 *** | −0.056 ** | −0.054 ** | |
| (0.001) | (0.027) | (0.034) | (0.000) | (0.036) | (0.044) | |
| −0.393 * | −0.389 * | |||||
| (0.053) | (0.055) | |||||
| 0.041 *** | 0.041 *** | |||||
| (0.003) | (0.003) | |||||
| Constant | −0.126 *** | −0.721 | −0.709 | 6.522 *** | −0.939 * | −0.927 * |
| (0.004) | (0.181) | (0.188) | (0.000) | (0.085) | (0.089) | |
| Control | Y | Y | Y | Y | Y | Y |
| Year FE | Y | Y | Y | Y | Y | Y |
| City FE | Y | Y | Y | Y | Y | Y |
| Observations | 4050 | 4050 | 4050 | 4050 | 4050 | 4050 |
| R-squared | 0.208 | 0.451 | 0.365 | 0.104 | 0.451 | 0.366 |
| Variables | ||||
|---|---|---|---|---|
| (1) | (2) | (3) | (4) | |
| −0.065 ** | −0.968 *** | −0.063 ** | −0.984 *** | |
| (0.015) | (0.002) | (0.019) | (0.001) | |
| 0.097 ** | 0.111 *** | 0.098 ** | 0.112 *** | |
| (0.023) | (0.010) | (0.022) | (0.009) | |
| −0.205 *** | −0.209 *** | |||
| (0.003) | (0.002) | |||
| Constant | −0.218 | 0.054 | −0.202 | 0.075 |
| (0.705) | (0.926) | (0.724) | (0.897) | |
| Control | Y | Y | Y | Y |
| Year fixed | Y | Y | Y | Y |
| City FE | Y | Y | Y | Y |
| Observations | 4050 | 4050 | 4050 | 4050 |
| R-squared | 0.451 | 0.452 | 0.366 | 0.367 |
| Variables | G-Resource | M-Resource | R-Resource | D-Resource | ||||
|---|---|---|---|---|---|---|---|---|
| −0.098 ** | −0.098 ** | −1.538 *** | −1.531 *** | −0.116 * | −0.112 * | 0.021 | 0.022 | |
| (0.035) | (0.035) | (0.000) | (0.000) | (0.060) | (0.069) | (0.804) | (0.797) | |
| Constant | 0.552 | 0.383 | −8.264 ** | −8.188 ** | −1.578 | −1.545 | −6.574 *** | −6.471 *** |
| (0.671) | (0.768) | (0.010) | (0.010) | (0.190) | (0.200) | (0.002) | (0.002) | |
| Control | Y | Y | Y | Y | Y | Y | Y | Y |
| Year FE | Y | Y | Y | Y | Y | Y | Y | Y |
| City FE | Y | Y | Y | Y | Y | Y | Y | Y |
| Observations | 345 | 345 | 195 | 195 | 885 | 885 | 225 | 225 |
| R-squared | 0.797 | 0.289 | 0.300 | 0.521 | 0.424 | 0.313 | 0.586 | 0.437 |
| Variables | High Industrialization Level | Low Industrialization Level | ||
|---|---|---|---|---|
| −0.133 *** | −0.130 *** | 0.008 | 0.010 | |
| (0.002) | (0.002) | (0.808) | (0.759) | |
| Constant | 0.737 | 0.698 | −0.588 | −0.563 |
| (0.439) | (0.463) | (0.426) | (−0.446) | |
| Control | Y | Y | Y | Y |
| Year FE | Y | Y | Y | Y |
| City FE | Y | Y | Y | Y |
| Observations | 1410 | 1410 | 2640 | 2640 |
| R-squared | 0.537 | 0.211 | 0.418 | 0.455 |
| Variables | Eastern Region | Central Region | Western Region | Northeastern Region | ||||
|---|---|---|---|---|---|---|---|---|
| −0.049 | −0.048 | −0.098 ** | −0.100 ** | −0.056 | −0.049 | −0.099 | −0.096 | |
| (0.212) | (0.222) | (0.014) | (0.013) | (0.391) | (0.453) | (0.263) | (0.277) | |
| Constant | 1.094 | 1.079 | −1.261 | −1.225 | −4.133 *** | −4.150 *** | 1.533 | 1.606 |
| (0.365) | (0.370) | (0.277) | (0.290) | (0.003) | (0.003) | (0.294) | (0.271) | |
| Control | Y | Y | Y | Y | Y | Y | Y | Y |
| Year FE | Y | Y | Y | Y | Y | Y | Y | Y |
| City FE | Y | Y | Y | Y | Y | Y | Y | Y |
| Observations | 1290 | 1290 | 1170 | 1170 | 1095 | 1095 | 495 | 495 |
| R-squared | 0.445 | 0.512 | 0.660 | 0.431 | 0.337 | 0.304 | 0.484 | 0.248 |
| Variable | ||||||
|---|---|---|---|---|---|---|
| Moran’s I | z | p-Value | Moran’s I | z | p-Value | |
| 2006 | 0.168 | 4.127 | 0.000 | 0.209 | 5.125 | 0.000 |
| 2007 | 0.159 | 3.922 | 0.000 | 0.217 | 5.310 | 0.000 |
| 2008 | 0.155 | 3.827 | 0.000 | 0.213 | 5.206 | 0.000 |
| 2009 | 0.189 | 4.655 | 0.000 | 0.215 | 5.262 | 0.000 |
| 2010 | 0.234 | 5.716 | 0.000 | 0.241 | 5.890 | 0.000 |
| 2011 | 0.201 | 4.929 | 0.000 | 0.222 | 5.434 | 0.000 |
| 2012 | 0.148 | 3.645 | 0.000 | 0.235 | 5.753 | 0.000 |
| 2013 | 0.156 | 3.843 | 0.000 | 0.256 | 6.258 | 0.000 |
| 2014 | 0.203 | 4.993 | 0.000 | 0.244 | 5.963 | 0.000 |
| 2015 | 0.282 | 6.874 | 0.000 | 0.278 | 6.772 | 0.000 |
| 2016 | 0.310 | 7.565 | 0.000 | 0.271 | 6.605 | 0.000 |
| 2017 | 0.319 | 7.807 | 0.000 | 0.265 | 6.477 | 0.000 |
| 2018 | 0.327 | 8.023 | 0.000 | 0.257 | 6.285 | 0.000 |
| 2019 | 0.335 | 8.253 | 0.000 | 0.232 | 5.684 | 0.000 |
| 2020 | 0.328 | 8.084 | 0.000 | 0.229 | 5.612 | 0.000 |
| Variable | SLM-DID | SEM-DID | ||
|---|---|---|---|---|
| LM-test | 3.743 ** | 26.402 *** | 23.921 *** | 5.307 ** |
| LR-test | 90.35 *** | 106.66 *** | 99.39 *** | 100.03 *** |
| Wald-test | 91.21 *** | 108.08 *** | 100.11 *** | 100.76 *** |
| Variable | Spatial Adjacency | Geographic Distance | Economic Distance | |||
|---|---|---|---|---|---|---|
| −0.050 ** | −0.047 * | −0.062 ** | −0.059 ** | −0.053 ** | −0.050 ** | |
| (0.046) | (0.060) | (0.015) | (0.020) | (0.036) | (0.048) | |
| −0.382 *** | −0.382 *** | −0.340 ** | −0.339 ** | −0.348 *** | −0.345 *** | |
| (0.000) | (0.000) | (0.016) | (0.016) | (0.000) | (0.000) | |
| ρ | 0.143 *** | 0.143 *** | 0.534 *** | 0.539 *** | 0.271 *** | 0.273 *** |
| (0.000) | (0.000) | (0.000) | (0.000) | (0.000) | (0.000) | |
| Direct Effect | −0.062 ** | −0.059 ** | −0.064 ** | −0.061 ** | −0.058 ** | −0.055 ** |
| (0.018) | (0.023) | (0.016) | (0.020) | (0.028) | (0.035) | |
| Indirect Effect | −0.430 *** | −0.428 *** | −0.819 ** | −0.819 ** | −0.491 *** | −0.487 *** |
| (0.000) | (0.000) | (0.018) | (0.029) | (0.000) | (0.000) | |
| Total Effect | −0.492 *** | −0.487 *** | −0.882 ** | −0.880 ** | −0.549 *** | −0.542 *** |
| (0.000) | (0.000) | (0.012) | (0.020) | (0.000) | (0.000) | |
| Control | Y | Y | Y | Y | Y | Y |
| Year FE | Y | Y | Y | Y | Y | Y |
| City FE | Y | Y | Y | Y | Y | Y |
| Observations | 4050 | 4050 | 4050 | 4050 | 4050 | 4050 |
| R-squared | 0.104 | 0.520 | 0.121 | 0.609 | 0.128 | 0.617 |
Disclaimer/Publisher’s Note: The statements, opinions and data contained in all publications are solely those of the individual author(s) and contributor(s) and not of MDPI and/or the editor(s). MDPI and/or the editor(s) disclaim responsibility for any injury to people or property resulting from any ideas, methods, instructions or products referred to in the content. |
© 2024 by the authors. Licensee MDPI, Basel, Switzerland. This article is an open access article distributed under the terms and conditions of the Creative Commons Attribution (CC BY) license (https://creativecommons.org/licenses/by/4.0/).
Share and Cite
Li, S.; Hu, Z. The Impact of the Circular Economy Pilot Policy on Carbon Emissions in Chinese Cities and Its Underlying Mechanisms. Sustainability 2024, 16, 7859. https://doi.org/10.3390/su16177859
Li S, Hu Z. The Impact of the Circular Economy Pilot Policy on Carbon Emissions in Chinese Cities and Its Underlying Mechanisms. Sustainability. 2024; 16(17):7859. https://doi.org/10.3390/su16177859
Chicago/Turabian StyleLi, Shanshan, and Zhengjun Hu. 2024. "The Impact of the Circular Economy Pilot Policy on Carbon Emissions in Chinese Cities and Its Underlying Mechanisms" Sustainability 16, no. 17: 7859. https://doi.org/10.3390/su16177859
APA StyleLi, S., & Hu, Z. (2024). The Impact of the Circular Economy Pilot Policy on Carbon Emissions in Chinese Cities and Its Underlying Mechanisms. Sustainability, 16(17), 7859. https://doi.org/10.3390/su16177859

