Landscape Ecological Security of the Lijiang River Basin in China: Spatiotemporal Evolution and Pattern Optimization
Abstract
1. Introduction
2. Materials and Methods
2.1. Study Area
2.2. Data Sources
2.3. Research Framework
2.4. Landscape Ecological Security Evaluation Model
2.5. Spatial Autocorrelation Analysis
- (1)
- Global Spatial Autocorrelation (Moran’s I): It refers to the distribution characteristics of unit features across the entire space [35]. The formula for Moran’s I index is as follows:where I represents the global spatial autocorrelation index; is the sample variance; means the spatial weight matrix; n means total number of regions; is the observed value of region i; and is the sample mean.
- (2)
- LISA: Local spatial autocorrelation refers to the spatial clustering or dispersion characteristics of spatial features within a local range [36]. The formula for calculating the LISA index is as follows:where represents the LISA index; is the sample variance; means the spatial weight matrix; means the total number of regions; is the observed value of region ; and is the sample mean.
2.6. Ecological Security Pattern Model
2.6.1. Identification of Ecological Sources
2.6.2. Construction of Ecological Resistance Surface
2.6.3. Extraction of Ecological Corridors
2.6.4. Determination of Ecological Nodes
3. Results
3.1. Spatiotemporal Evolution of Landscape Ecological Security
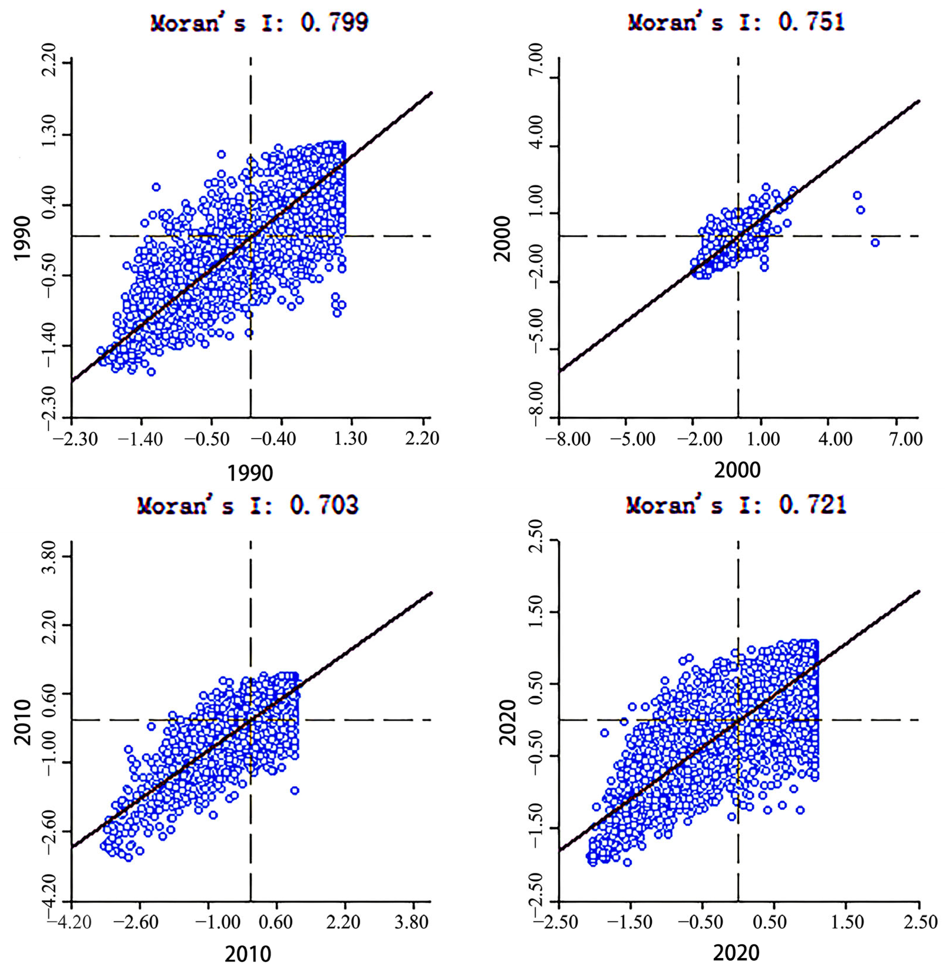
3.2. Spatial Autocorrelation of Landscape Ecological Security Index
3.3. Construction and Optimization of Landscape Ecological Patterns
3.3.1. Identification of Ecological Sources Based on the MSPA and InVEST Model
3.3.2. Identification of Ecological Sources
3.3.3. Construction of Ecological Resistance Surface
3.3.4. Extraction of Ecological Corridors
3.3.5. Determination of Ecological Nodes
4. Discussion
4.1. Spatiotemporal Evolution of Landscape Ecological Security
4.2. Optimization Strategy for Ecological Security Pattern
4.3. Highlights and Deficiencies of the Research
5. Conclusions
Author Contributions
Funding
Institutional Review Board Statement
Informed Consent Statement
Data Availability Statement
Acknowledgments
Conflicts of Interest
References
- Zeng, W.; He, Z.; Bai, W.; He, L.; Chen, X.; Chen, J. Identification of ecological security patterns of alpine wetland grasslands based on landscape ecological risks: A study in Zoigê County. Sci. Total Environ. 2024, 928, 172302. [Google Scholar] [CrossRef]
- Wu, S.; Zhao, C.; Yang, L.; Huang, D.; Wu, Y.; Xiao, P. Spatial and temporal evolution analysis of ecological security pattern in Hubei Province based on ecosystem service supply and demand analysis. Ecol. Indic. 2024, 162, 112051. [Google Scholar] [CrossRef]
- Liu, C.; Li, W.; Xu, J.; Zhou, H.; Li, C.; Wang, W. Global trends and characteristics of ecological security research in the early 21st century: A literature review and bibliometric analysis. Ecol. Indic. 2022, 137, 108734. [Google Scholar] [CrossRef]
- Cai, X.; Zhang, B.; Lyu, J. Endogenous transmission mechanism and spatial effect of forest ecological security in China. Forests 2021, 12, 508. [Google Scholar] [CrossRef]
- Ding, T.; Chen, J.; Fang, L.; Ji, J. Identifying and optimizing ecological security patterns from the perspective of the water-energy-food nexus. J. Hydrol. 2024, 632, 130912. [Google Scholar] [CrossRef]
- Stoett, P.J. Global environmental security, energy resources and planning: A framework and application. Futures 1994, 26, 741–758. [Google Scholar] [CrossRef]
- Su, J.; Zhang, R.; Wu, M.; Yang, R.; Liu, Z.; Xu, X. Correlation between Spatial-Temporal Changes in Landscape Patterns and Habitat Quality in the Yongding River Floodplain, China. Land 2023, 12, 807. [Google Scholar] [CrossRef]
- Qu, Y.; Zong, H.; Su, D.; Ping, Z.; Guan, M. Land Use Change and Its Impact on Landscape Ecological Risk in Typical Areas of the Yellow River Basin in China. Int. J. Environ. Res. Public Health 2021, 18, 11301. [Google Scholar] [CrossRef]
- Tong, H.-L.; Shi, P.-J. Using ecosystem service supply and ecosystem sensitivity to identify landscape ecology security patterns in the Lanzhou-Xining urban agglomeration, China. J. Mt. Sci. 2020, 17, 2758–2773. [Google Scholar] [CrossRef]
- Fu, Y.; Shi, X.; He, J.; Yuan, Y.; Qu, L. Identification and optimization strategy of county ecological security pattern: A case study in the Loess Plateau, China. Ecol. Indic. 2020, 112, 106030. [Google Scholar] [CrossRef]
- Li, J.; Xu, J.; Chu, J. The construction of a regional ecological security pattern based on circuit theory. Sustainability 2019, 11, 6343. [Google Scholar] [CrossRef]
- Liu, M.; Peng, J.; Dong, J.; Jiang, H.; Xu, D.; Meersmans, J. Trade-offs of landscape connectivity between regional and interregional ecological security patterns in a junction area of Beijing-Tianjin-Hebei region. Appl. Geogr. 2024, 167, 103272. [Google Scholar] [CrossRef]
- Chen, J.; Wang, S.; Zou, Y. Construction of an ecological security pattern based on ecosystem sensitivity and the importance of ecological services: A case study of the Guanzhong Plain urban agglomeration, China. Ecol. Indic. 2022, 136, 108688. [Google Scholar] [CrossRef]
- Liu, Y.; Cui, N.; Han, R.; Guo, L. Establishing Ecological Security Patterns Based on Reconstructed Ecosystem Services Value in Rapidly Urbanizing Areas: A Case Study in Zhuhai City, China. Sustainability 2020, 12, 6629. [Google Scholar] [CrossRef]
- Wang, J.; Bai, Y.; Huang, Z.; Ashraf, A.; Ali, M.; Fang, Z.; Lu, X. Identifying ecological security patterns to prioritize conservation and restoration: A case study in Xishuangbanna tropical region, China. J. Clean. Prod. 2024, 444, 141222. [Google Scholar] [CrossRef]
- Wei, Q.; Halike, A.; Yao, K.; Chen, L.; Balati, M. Construction and optimization of ecological security pattern in Ebinur Lake Basin based on MSPA-MCR models. Ecol. Indic. 2022, 138, 108857. [Google Scholar] [CrossRef]
- Peng, W.; Zhou, J. Development of Land Resources in Transitional Zones Based on Ecological Security Pattern: A Case Study in China. Nat. Resour. Res. 2019, 28, 43–60. [Google Scholar] [CrossRef]
- Zhao, X.Q.; Xu, X.H. Research on Landscape Ecological Security Pattern in a Eucalyptus Introduced Region Based on Biodiversity Conservation. Russ. J. Ecol. 2015, 46, 59–70. [Google Scholar] [CrossRef]
- Dai, Y. Identifying the ecological security patterns of the Three Gorges Reservoir Region, China. Environ. Sci. Pollut. Res. 2022, 29, 45837–45847. [Google Scholar] [CrossRef] [PubMed]
- Fan, F.; Wen, X.; Feng, Z.; Gao, Y.; Li, W. Optimizing urban ecological space based on the scenario of ecological security patterns: The case of central Wuhan, China. Appl. Geogr. 2022, 138, 102619. [Google Scholar] [CrossRef]
- Jia, Y.; Wang, B.; Zhang, S. Construction of ecological security pattern of the Chinese section of the “Silk Road Economic Belt” based on the minimum cumulative resistance model. GeoJournal 2023, 88, 409–424. [Google Scholar] [CrossRef]
- Peifeng, T.; Ping, L.; Yi, D.; Jian, L.; Guangpu, Y.; He, X. Construction of ecological security pattern based on ecological importance assessment and minimum cumulative resistance model in Chongqing city. Bull. Sur. Map. 2022, 15, 15–20. [Google Scholar] [CrossRef]
- Kong, F.; Yin, H.; Nakagoshi, N.; Zong, Y. Urban green space network development for biodiversity conservation: Identification based on graph theory and gravity modeling. Landsc. Urban Plan. 2010, 95, 16–27. [Google Scholar] [CrossRef]
- Urban, D.L.; Minor, E.S.; Treml, E.A.; Schick, R.S. Graph models of habitat mosaics. Ecol. Lett. 2009, 12, 260–273. [Google Scholar] [CrossRef]
- Ma, J.; Li, L.; Jiao, L.; Zhu, H.; Liu, C.; Li, F.; Li, P. Identifying Ecological Security Patterns Considering the Stability of Ecological Sources in Ecologically Fragile Areas. Land 2024, 13, 214. [Google Scholar] [CrossRef]
- Wu, J.; Zhang, S.; Luo, Y.; Wang, H.; Zhao, Y. Assessment of risks to habitat connectivity through the stepping-stone theory: A case study from Shenzhen, China. Urban For. Urban Green. 2022, 71, 127532. [Google Scholar] [CrossRef]
- Liu, G.; Jin, Q.; Li, J.; Li, L.; He, C.; Huang, Y.; Yao, Y. Policy factors impact analysis based on remote sensing data and the CLUE-S model in the Lijiang River Basin, China. Catena 2017, 158, 286–297. [Google Scholar] [CrossRef]
- Zhu, H.; Li, Y.; Wu, L.; Yu, S.; Xin, C.; Sun, P.; Xiao, Q.; Zhao, H.; Zhang, Y.; Qin, T. Impact of the atmospheric deposition of major acid rain components, especially NH4, on carbonate weathering during recharge in typical karst areas of the Lijiang River basin, southwest China. Appl. Geochem. 2020, 114, 104518. [Google Scholar] [CrossRef]
- Dong, S.; Ma, J.; Mo, Y.; Yang, H. GIS-Based Watershed Unit Forest Landscape Visual Quality Assessment in Yangshuo Section of Lijiang River Basin, China. Sustainability 2022, 14, 14895. [Google Scholar] [CrossRef]
- Wang, Z.; Shi, P.; Zhang, X.; Tong, H.; Zhang, W.; Liu, Y. Research on Landscape Pattern Construction and Ecological Restoration of Jiuquan City Based on Ecological Security Evaluation. Sustainability 2021, 13, 5732. [Google Scholar] [CrossRef]
- Lyu, R.; Zhao, W.; Tian, X.; Zhang, J. Non-linearity impacts of landscape pattern on ecosystem services and their trade-offs: A case study in the City Belt along the Yellow River in Ningxia, China. Ecol. Indic. 2022, 136, 108608. [Google Scholar] [CrossRef]
- Jiao, X.; Tian, Z.; Yang, H.; Shang, G.; Ma, J. Identification of key areas for ecological restoration of territorial space based on ecological security pattern: A case study of Kangbao County. Front. Ecol. Evol. 2024, 11, 1301149. [Google Scholar] [CrossRef]
- Xia, H.; Ge, S.; Zhang, X.; Kim, G.; Lei, Y.; Liu, Y. Spatiotemporal dynamics of green infrastructure in an agricultural peri-urban area: A case study of Baisha district in Zhengzhou, China. Land 2021, 10, 801. [Google Scholar] [CrossRef]
- Fortin, M.-J.; Dale, M.R. Spatial autocorrelation. In The SAGE Handbook of Spatial Analysis; Springer: Berlin/Heidelberg, Germany, 2009; pp. 89–103. [Google Scholar]
- Zhang, J.; Zhang, K.; Zhao, F. Research on the regional spatial effects of green development and environmental governance in China based on a spatial autocorrelation model. Struct. Chang. Econ. Dyn. 2020, 55, 1–11. [Google Scholar] [CrossRef]
- Guillain, R.; Le Gallo, J. Agglomeration and dispersion of economic activities in and around Paris: An exploratory spatial data analysis. Environ. Plann. B Plann. Des. 2010, 37, 961–981. [Google Scholar] [CrossRef]
- An, Y.; Liu, S.; Sun, Y.; Shi, F.; Beazley, R. Construction and optimization of an ecological network based on morphological spatial pattern analysis and circuit theory. Landsc. Ecol. 2021, 36, 2059–2076. [Google Scholar] [CrossRef]
- Huang, C.; Zhao, D.; Liao, Q.; Xiao, M. Linking landscape dynamics to the relationship between water purification and soil retention. Ecosyst. Serv. 2023, 59, 101498. [Google Scholar] [CrossRef]
- Gao, M.; Hu, Y.; Bai, Y. Construction of ecological security pattern in national land space from the perspective of the community of life in mountain, water, forest, field, lake and grass: A case study in Guangxi Hechi, China. Ecol. Indic. 2022, 139, 108867. [Google Scholar] [CrossRef]
- Huang, C.; Zhou, Z.; Peng, C.; Teng, M.; Wang, P. How is biodiversity changing in response to ecological restoration in terrestrial ecosystems? A meta-analysis in China. Sci. Total Environ. 2019, 650, 1–9. [Google Scholar] [CrossRef]
- Xiao, S.; Wu, W.; Guo, J.; Ou, M.; Pueppke, S.G.; Ou, W.; Tao, Y. An evaluation framework for designing ecological security patterns and prioritizing ecological corridors: Application in Jiangsu Province, China. Landsc. Ecol. 2020, 35, 2517–2534. [Google Scholar] [CrossRef]
- Shi, X.; Qin, M. Research on the Optimization of Regional Green Infrastructure Network. Sustainability 2018, 10, 4649. [Google Scholar] [CrossRef]
- McRae, B.H.; Dickson, B.G.; Keitt, T.H.; Shah, V.B. Using circutt theory to model connectivity in ecology, evolution, and conservation. Ecology 2008, 89, 2712–2724. [Google Scholar] [CrossRef] [PubMed]
- Farina, A. Landscape Ecology in Action; Springer Science & Business Media: Berlin, Germany, 2012. [Google Scholar]
- Kang, J.; Zhang, X.; Zhu, X.; Zhang, B. Ecological security pattern: A new idea for balancing regional development and ecological protection. A case study of the Jiaodong Peninsula, China. Glob. Ecol. Conserv. 2021, 26, e01472. [Google Scholar] [CrossRef]
- Hou, M.; Li, L.; Yu, H.; Jin, R.; Zhu, W. Ecological security evaluation of wetlands in Changbai Mountain area based on DPSIRM model. Ecol. Indic. 2024, 160, 111773. [Google Scholar] [CrossRef]
- Huang, C.; Zhou, Z.; Teng, M.; Wu, C.; Wang, P. Effects of climate, land use and land cover changes on soil loss in the Three Gorges Reservoir area, China. Geogr. Environ. Sustain. 2020, 1, 200–208. [Google Scholar] [CrossRef]
- Yang, R.; Bai, Z.; Shi, Z. Linking Morphological Spatial Pattern Analysis and Circuit Theory to Identify Ecological Security Pattern in the Loess Plateau: Taking Shuozhou City as an Example. Land 2021, 10, 907. [Google Scholar] [CrossRef]
- Li, S.; Xiao, W.; Zhao, Y.; Lv, X. Incorporating ecological risk index in the multi-process MCRE model to optimize the ecological security pattern in a semi-arid area with intensive coal mining: A case study in northern China. J. Clean. Prod. 2020, 247, 119143. [Google Scholar] [CrossRef]
- Zhang, Y.-Z.; Jiang, Z.-Y.; Li, Y.-Y.; Yang, Z.-G.; Wang, X.-H.; Li, X.-B. Construction and Optimization of an Urban Ecological Security Pattern Based on Habitat Quality Assessment and the Minimum Cumulative Resistance Model in Shenzhen City, China. Forests 2021, 12, 847. [Google Scholar] [CrossRef]
- Zhou, S.; Song, Y.; Li, Y.; Wang, J.; Zhang, L. Construction of Ecological Security Pattern for Plateau Lake Based on MSPA-MCR Model: A Case Study of Dianchi Lake Area. Sustainability 2022, 14, 14532. [Google Scholar] [CrossRef]













| Indices name | Calculation Formula | Parameter Meaning |
|---|---|---|
| Degree of breakage | and represent the number and area of landscape-type patches, respectively. | |
| Degree of separation | respectively represent the distance index and relative coverage of landscape types, and represents the total landscape area. | |
| Dominance degree | represents the relative density of landscape types. According to the actual situation of the study area, d and e are assigned with analytic hierarchy process (AHP), = 0.6, = 0.4. | |
| Interference degree | , and respectively represent degree of fragmentation, degree of separation, and degree of dominance. According to the actual situation of the study area, a, b, and c are assigned by AHP, = 0.5, = 0.3, = 0.2. | |
| Vulnerability | Cultivated land 0.2857, unutilized 0.2381, meadow 0.1905, Water body 0.1429, Forest land 0.0952, Construction land 0.0476 | Assign values to each landscape type: cultivated land is 6, unused land is 5, grassland is 4, water body is 3, forest land is 2, and construction land is 1. After assigning values, normalization is processed. |
| Loss degree | represents landscape disturbance index, represents vulnerability index (same as the former vulnerability index). | |
| Ecological risk index | is the total area of the k sample plot, is the total area of landscape type of the k sample plot, is the category i ecological risk intensity parameter of AHP: forest land 0.0427, cultivated land 0.1916, construction land 0.3934, water body 0.1425, grassland 0.0726, and unused land 0.1572. | |
| Ecological security index | stands for landscape ecological security index. |
| Landscape Types | Habitat Suitability | ) | ||
|---|---|---|---|---|
| Cultivated Land | Construction Land | Unutilized | ||
| Forest land | 1.0 | 0.6 | 0.4 | 0.2 |
| Cultivated land | 0.1 | 0.2 | 0.8 | 0.5 |
| Construction land | 0.0 | 0.0 | 0.0 | 0.0 |
| Water body | 0.7 | 0.3 | 0.3 | 0.2 |
| meadow | 0.8 | 0.8 | 0.6 | 0.5 |
| unutilized | 0.4 | 0.5 | 0.4 | 0.2 |
| Types | Weight (%) | Reclassification Name | Reclassification Grade |
|---|---|---|---|
| MSPA analysis results | 40 | Core | 1 |
| Islet | 2 | ||
| Perforation | 3 | ||
| Edge | 3 | ||
| Bridge | 2 | ||
| Loop | 2 | ||
| Branch | 3 | ||
| Results of habitat quality analysis | 60 | High habitat quality areas (0.82–1.00) | 1 |
| Medium habitat quality area (0.30–0.82) | 2 | ||
| Low habitat quality area (0.00–0.30) | 3 |
| Landscape Types | Time | Area/km2 | ||||||||
|---|---|---|---|---|---|---|---|---|---|---|
| Forest land | 1990 | 4178.946 | 0.023 | 0.054 | 0.438 | 0.115 | 0.095 | 0.011 | 0.083 | 11.985 |
| 2000 | 4334.957 | 0.014 | 0.043 | 0.407 | 0.101 | 0.095 | 0.010 | 0.081 | 12.348 | |
| 2010 | 4528.033 | 0.006 | 0.030 | 0.405 | 0.093 | 0.095 | 0.009 | 0.078 | 12.879 | |
| 2020 | 4633.304 | 0.005 | 0.028 | 0.433 | 0.098 | 0.095 | 0.009 | 0.083 | 12.112 | |
| Cultivated land | 1990 | 1284.440 | 0.092 | 0.033 | 0.277 | 0.112 | 0.286 | 0.032 | 0.083 | 11.985 |
| 2000 | 1102.731 | 0.075 | 0.026 | 0.230 | 0.091 | 0.286 | 0.026 | 0.081 | 12.348 | |
| 2010 | 835.191 | 0.026 | 0.012 | 0.134 | 0.043 | 0.286 | 0.012 | 0.078 | 12.879 | |
| 2020 | 554.331 | 0.045 | 0.010 | 0.164 | 0.059 | 0.286 | 0.017 | 0.083 | 12.112 | |
| Construction land | 1990 | 82.634 | 0.180 | 0.003 | 0.029 | 0.097 | 0.048 | 0.005 | 0.083 | 11.985 |
| 2000 | 119.303 | 0.264 | 0.005 | 0.067 | 0.147 | 0.048 | 0.007 | 0.081 | 12.348 | |
| 2010 | 176.450 | 0.060 | 0.004 | 0.049 | 0.041 | 0.048 | 0.002 | 0.078 | 12.879 | |
| 2020 | 379.746 | 0.062 | 0.008 | 0.145 | 0.062 | 0.048 | 0.003 | 0.083 | 12.112 | |
| Water body | 1990 | 111.572 | 0.233 | 0.005 | 0.049 | 0.128 | 0.143 | 0.018 | 0.083 | 11.985 |
| 2000 | 110.624 | 0.157 | 0.004 | 0.040 | 0.087 | 0.143 | 0.012 | 0.081 | 12.348 | |
| 2010 | 105.980 | 0.040 | 0.002 | 0.022 | 0.025 | 0.143 | 0.004 | 0.078 | 12.879 | |
| 2020 | 110.628 | 0.032 | 0.002 | 0.025 | 0.022 | 0.143 | 0.003 | 0.083 | 12.112 | |
| Meadow | 1990 | 167.676 | 0.710 | 0.012 | 0.201 | 0.399 | 0.191 | 0.076 | 0.083 | 11.985 |
| 2000 | 154.727 | 0.778 | 0.012 | 0.235 | 0.440 | 0.191 | 0.084 | 0.081 | 12.348 | |
| 2010 | 174.998 | 0.601 | 0.012 | 0.380 | 0.380 | 0.191 | 0.072 | 0.078 | 12.879 | |
| 2020 | 146.009 | 0.283 | 0.007 | 0.217 | 0.187 | 0.191 | 0.036 | 0.083 | 12.112 | |
| Unutilized | 1990 | 12.700 | 0.208 | 0.000 | 0.005 | 0.105 | 0.238 | 0.025 | 0.083 | 11.985 |
| 2000 | 15.587 | 0.164 | 0.001 | 0.006 | 0.083 | 0.238 | 0.020 | 0.081 | 12.348 | |
| 2010 | 17.278 | 0.155 | 0.001 | 0.011 | 0.080 | 0.238 | 0.019 | 0.078 | 12.879 | |
| 2020 | 13.952 | 0.201 | 0.001 | 0.015 | 0.104 | 0.238 | 0.025 | 0.083 | 12.112 |
| Ecological Security Level | 1990 | 2000 | 2010 | 2020 | ||||
|---|---|---|---|---|---|---|---|---|
| Area (km2) | Proportion (%) | Area (km2) | Proportion (%) | Area (km2) | Proportion (%) | Area (km2) | Proportion (%) | |
| Highest ecological security | 1869.75 | 32.02 | 1737 | 29.75 | 2214 | 37.92 | 1917 | 32.83 |
| Higher ecological security | 812.25 | 13.91 | 832.50 | 14.26 | 1377 | 23.58 | 967.50 | 16.57 |
| Medium ecological security | 949.50 | 16.26 | 1046.25 | 17.92 | 1262.25 | 21.62 | 1210.50 | 20.73 |
| Lower ecological security | 1212.75 | 20.77 | 1143 | 19.58 | 774 | 13.26 | 1111.50 | 19.04 |
| Lowest ecological security | 994.50 | 17.03 | 1080 | 18.50 | 211.50 | 3.62 | 632.25 | 10.83 |
| 2020 | Highest Ecological Security | Higher Ecological Security | Medium Ecological Security | Lower Ecological Security | Lowest Ecological Security | |
|---|---|---|---|---|---|---|
| 1990 | ||||||
| Highest ecological security | 519.75 | 445.50 | 0.00 | 0.00 | 0.00 | |
| Conversion rate | — | 46.15% | 0.00% | 0.00% | 0.00% | |
| Higher ecological security | 112.50 | 515.25 | 537.75 | 45.00 | 0.00 | |
| Conversion rate | 9.29% | — | 44.42% | 3.72% | 0.00% | |
| Medium ecological security | 0.00 | 101.25 | 528.75 | 292.5 | 27.00 | |
| Conversion rate | 0.00% | 10.66% | — | 30.81% | 2.84% | |
| Lower ecological security | 0.00 | 0.00 | 110.25 | 461.25 | 191.25 | |
| Conversion rate | 0.00% | 0.00% | 14.45% | — | 25.07% | |
| Lowest ecological security | 0.00 | 0.00 | 6.75 | 166.50 | 1696.50 | |
| Conversion rate | 0.00% | 0.00% | 0.36% | 8.90% | — | |
| Grade | Plaque Numbering | Area/km2 | Account for the Proportion of the Study Area/% | Patch Significance Index (dpc) |
|---|---|---|---|---|
| Core ecological source | 7 | 1150.80 | 19.71% | 59.69 |
| 15 | 686.59 | 11.76% | 57.28 | |
| 23 | 592.41 | 10.15% | 35.20 | |
| 21 | 263.61 | 4.52% | 15.80 | |
| 28 | 288.21 | 4.94% | 13.23 | |
| 2 | 27.71 | 0.47% | 12.59 | |
| 3 | 12.96 | 0.22% | 11.96 | |
| General ecological source | 10 | 193.96 | 3.32% | 9.55 |
| 6 | 104.96 | 1.80% | 5.43 | |
| 5 | 10.15 | 0.17% | 5.16 | |
| 9 | 92.26 | 1.58% | 4.72 | |
| 14 | 78.33 | 1.34% | 4.03 | |
| 1 | 59.43 | 1.02% | 2.99 | |
| 4 | 30.81 | 0.53% | 2.80 | |
| 20 | 26.91 | 0.46% | 1.57 | |
| 8 | 31.88 | 0.55% | 1.55 | |
| 29 | 25.09 | 0.43% | 1.54 | |
| 17 | 56.48 | 0.97% | 1.45 | |
| 11 | 26.24 | 0.45% | 1.43 | |
| 19 | 27.19 | 0.47% | 1.34 | |
| 27 | 26.08 | 0.45% | 1.24 | |
| 24 | 22.50 | 0.39% | 1.12 | |
| 16 | 17.87 | 0.31% | 1.03 | |
| 30 | 21.45 | 0.37% | 1.02 | |
| 22 | 15.43 | 0.26% | 0.87 |
Disclaimer/Publisher’s Note: The statements, opinions and data contained in all publications are solely those of the individual author(s) and contributor(s) and not of MDPI and/or the editor(s). MDPI and/or the editor(s) disclaim responsibility for any injury to people or property resulting from any ideas, methods, instructions or products referred to in the content. |
© 2024 by the authors. Licensee MDPI, Basel, Switzerland. This article is an open access article distributed under the terms and conditions of the Creative Commons Attribution (CC BY) license (https://creativecommons.org/licenses/by/4.0/).
Share and Cite
Hu, J.; Qing, G.; Wang, Y.; Qiu, S.; Luo, N. Landscape Ecological Security of the Lijiang River Basin in China: Spatiotemporal Evolution and Pattern Optimization. Sustainability 2024, 16, 5777. https://doi.org/10.3390/su16135777
Hu J, Qing G, Wang Y, Qiu S, Luo N. Landscape Ecological Security of the Lijiang River Basin in China: Spatiotemporal Evolution and Pattern Optimization. Sustainability. 2024; 16(13):5777. https://doi.org/10.3390/su16135777
Chicago/Turabian StyleHu, Jinlong, Guo Qing, Yingxue Wang, Sicheng Qiu, and Nan Luo. 2024. "Landscape Ecological Security of the Lijiang River Basin in China: Spatiotemporal Evolution and Pattern Optimization" Sustainability 16, no. 13: 5777. https://doi.org/10.3390/su16135777
APA StyleHu, J., Qing, G., Wang, Y., Qiu, S., & Luo, N. (2024). Landscape Ecological Security of the Lijiang River Basin in China: Spatiotemporal Evolution and Pattern Optimization. Sustainability, 16(13), 5777. https://doi.org/10.3390/su16135777
