Spatio-Temporal Variations and Drivers of Carbon Storage in the Tibetan Plateau under SSP-RCP Scenarios Based on the PLUS-InVEST-GeoDetector Model
Abstract
1. Introduction
2. Materials and Methods
2.1. Study Area
2.2. Data Sources and Descriptions
2.3. Research Framework
2.4. Methods
2.4.1. PLUS Model
2.4.2. InVEST Model
2.4.3. GeoDetector Model
3. Results
3.1. Changes in Land Use Types from 2000 to 2030
3.2. Changes in Carbon Storage from 2000 to 2030
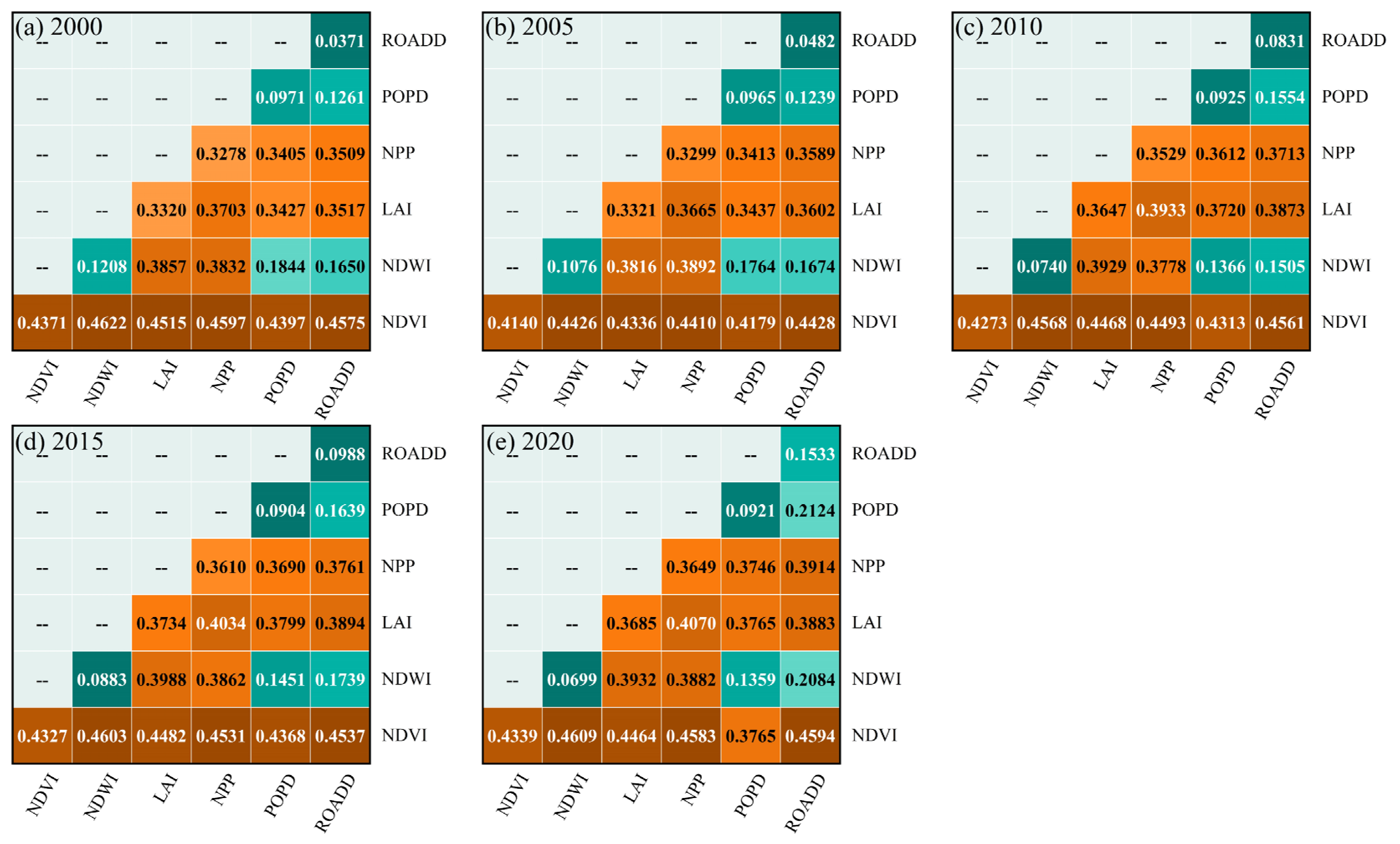
3.3. Drivers of Ecosystem Carbon Storage
4. Discussion
4.1. Explanation of the Drivers of Carbon Storage and Their Suggestions
4.2. Limitations and Future Perspectives
5. Conclusions
Author Contributions
Funding
Institutional Review Board Statement
Informed Consent Statement
Data Availability Statement
Acknowledgments
Conflicts of Interest
References
- Alkama, R.; Forzieri, G.; Duveiller, G.; Grassi, G.; Liang, S.; Cescatti, A. Vegetation-Based Climate Mitigation in a Warmer and Greener World. Nat. Commun. 2022, 13, 606. [Google Scholar] [CrossRef]
- Roebroek, C.T.J.; Duveiller, G.; Seneviratne, S.I.; Davin, E.L.; Cescatti, A. Releasing Global Forests from Human Management: How Much More Carbon Could Be Stored? Science 2023, 380, 749–753. [Google Scholar] [CrossRef]
- Feng, Z.; Jin, X.; Chen, T.; Wu, J. Understanding Trade-Offs and Synergies of Ecosystem Services to Support the Decision-Making in the Beijing–Tianjin–Hebei Region. Land Use Policy 2021, 106, 105446. [Google Scholar] [CrossRef]
- Hong, C.; Burney, J.A.; Pongratz, J.; Nabel, J.E.M.S.; Mueller, N.D.; Jackson, R.B.; Davis, S.J. Global and Regional Drivers of Land-Use Emissions in 1961–2017. Nature 2021, 589, 554–561. [Google Scholar] [CrossRef]
- Pratiwi, D.; Sumiarsa, D.; Oktavia, D.; Fatharani, R.H. Sunardi Effect of Land Use Type on Macrobenthos Assemblages, Distribution, and Functional Guild in Upstream Citarum River. Ecol. Indic. 2024, 160, 111849. [Google Scholar] [CrossRef]
- Hasan, S.S.; Zhen, L.; Miah, M.G.; Ahamed, T.; Samie, A. Impact of Land Use Change on Ecosystem Services: A Review. Environ. Dev. 2020, 34, 100527. [Google Scholar] [CrossRef]
- Jalayer, S.; Sharifi, A.; Abbasi-Moghadam, D.; Tariq, A.; Qin, S. Modeling and Predicting Land Use Land Cover Spatiotemporal Changes: A Case Study in Chalus Watershed, Iran. IEEE J. Sel. Top. Appl. Earth Obs. Remote Sens. 2022, 15, 5496–5513. [Google Scholar] [CrossRef]
- Tariq, A.; Yan, J.; Gagnon, A.S.; Riaz Khan, M.; Mumtaz, F. Mapping of Cropland, Cropping Patterns and Crop Types by Combining Optical Remote Sensing Images with Decision Tree Classifier and Random Forest. Geo-Spat. Inf. Sci. 2023, 26, 302–320. [Google Scholar] [CrossRef]
- Tong, X.; Xia, G.; Lu, Q.; Shen, H.; Li, S.; You, S.; Zhang, L. Land-Cover Classification with High-Resolution Remote Sensing Images Using Transferable Deep Models. Remote Sens. Environ. 2020, 237, 111322. [Google Scholar] [CrossRef]
- Fu, F.; Deng, S.; Wu, D.; Liu, W.; Bai, Z. Research on the Spatiotemporal Evolution of Land Use Landscape Pattern in a County Area Based on CA-Markov Model. Sustain. Cities Soc. 2022, 80, 103760. [Google Scholar] [CrossRef]
- Xu, H.; Song, Y.; Tian, Y. Simulation of Land-Use Pattern Evolution in Hilly Mountainous Areas of North China: A Case Study in Jincheng. Land Use Policy 2022, 112, 105826. [Google Scholar] [CrossRef]
- Gao, L.; Tao, F.; Liu, R.; Wang, Z.; Leng, H.; Zhou, T. Multi-Scenario Simulation and Ecological Risk Analysis of Land Use Based on the PLUS Model: A Case Study of Nanjing. Sustain. Cities Soc. 2022, 85, 104055. [Google Scholar] [CrossRef]
- Liang, X.; Guan, Q.; Clarke, K.C.; Liu, S.; Wang, B.; Yao, Y. Understanding the Drivers of Sustainable Land Expansion Using a Patch-Generating Land Use Simulation (PLUS) Model: A Case Study in Wuhan, China. Comput. Environ. Urban Syst. 2021, 85, 101569. [Google Scholar] [CrossRef]
- Yu, Y.; Guo, B.; Wang, C.; Zang, W.; Huang, X.; Wu, Z.; Xu, M.; Zhou, K.; Li, J.; Yang, Y. Carbon Storage Simulation and Analysis in Beijing-Tianjin-Hebei Region Based on CA-plus Model under Dual-Carbon Background. Geomat. Nat. Hazards Risk 2023, 14, 2173661. [Google Scholar] [CrossRef]
- Wang, M.; Jiang, Z.; Li, T.; Yang, Y.; Jia, Z. Analysis on Absolute Conflict and Relative Conflict of Land Use in Xining Metropolitan Area under Different Scenarios in 2030 by PLUS and PFCI. Cities 2023, 137, 104314. [Google Scholar] [CrossRef]
- Wang, Q.; Guan, Q.; Sun, Y.; Du, Q.; Xiao, X.; Luo, H.; Zhang, J.; Mi, J. Simulation of Future Land Use/Cover Change (LUCC) in Typical Watersheds of Arid Regions under Multiple Scenarios. J. Environ. Manag. 2023, 335, 117543. [Google Scholar] [CrossRef]
- Wu, C.; Coffield, S.R.; Goulden, M.L.; Randerson, J.T.; Trugman, A.T.; Anderegg, W.R.L. Uncertainty in US Forest Carbon Storage Potential Due to Climate Risks. Nat. Geosci. 2023, 16, 422–429. [Google Scholar] [CrossRef]
- Abalori, T.A.; Cao, W.; Atogi-Akwoa Weobong, C.; Sam, F.E.; Li, W.; Osei, R.; Wang, S. Effects of Vegetation Patchiness on Ecosystem Carbon and Nitrogen Storage in the Alpine Grassland of the Qilian Mountains. Front. Environ. Sci. 2022, 10, 879717. [Google Scholar] [CrossRef]
- Croft, H.; Chen, J.M.; Wang, R.; Mo, G.; Luo, S.; Luo, X.; He, L.; Gonsamo, A.; Arabian, J.; Zhang, Y.; et al. The Global Distribution of Leaf Chlorophyll Content. Remote Sens. Environ. 2020, 236, 111479. [Google Scholar] [CrossRef]
- Babbar, D.; Areendran, G.; Sahana, M.; Sarma, K.; Raj, K.; Sivadas, A. Assessment and Prediction of Carbon Sequestration Using Markov Chain and InVEST Model in Sariska Tiger Reserve, India. J. Clean. Prod. 2021, 278, 123333. [Google Scholar] [CrossRef]
- He, Y.; Ma, J.; Zhang, C.; Yang, H. Spatio-Temporal Evolution and Prediction of Carbon Storage in Guilin Based on FLUS and InVEST Models. Remote Sens. 2023, 15, 1445. [Google Scholar] [CrossRef]
- Tian, L.; Tao, Y.; Fu, W.; Li, T.; Ren, F.; Li, M. Dynamic Simulation of Land Use/Cover Change and Assessment of Forest Ecosystem Carbon Storage under Climate Change Scenarios in Guangdong Province, China. Remote Sens. 2022, 14, 2330. [Google Scholar] [CrossRef]
- Gong, J.; Cao, E.; Xie, Y.; Xu, C.; Li, H.; Yan, L. Integrating Ecosystem Services and Landscape Ecological Risk into Adaptive Management: Insights from a Western Mountain-Basin Area, China. J. Environ. Manag. 2021, 281, 111817. [Google Scholar] [CrossRef]
- Fang, Z.; Ding, T.; Chen, J.; Xue, S.; Zhou, Q.; Wang, Y.; Wang, Y.; Huang, Z.; Yang, S. Impacts of Land Use/Land Cover Changes on Ecosystem Services in Ecologically Fragile Regions. Sci. Total Environ. 2022, 831, 154967. [Google Scholar] [CrossRef]
- Daigneault, A.; Baker, J.S.; Guo, J.; Lauri, P.; Favero, A.; Forsell, N.; Johnston, C.; Ohrel, S.B.; Sohngen, B. How the Future of the Global Forest Sink Depends on Timber Demand, Forest Management, and Carbon Policies. Glob. Environ. Chang. 2022, 76, 102582. [Google Scholar] [CrossRef]
- Walker, W.S.; Gorelik, S.R.; Cook-Patton, S.C.; Baccini, A.; Farina, M.K.; Solvik, K.K.; Ellis, P.W.; Sanderman, J.; Houghton, R.A.; Leavitt, S.M.; et al. The Global Potential for Increased Storage of Carbon on Land. Proc. Natl. Acad. Sci. USA 2022, 119, e2111312119. [Google Scholar] [CrossRef]
- Li, X.; Long, D.; Scanlon, B.R.; Mann, M.E.; Li, X.; Tian, F.; Sun, Z.; Wang, G. Climate Change Threatens Terrestrial Water Storage over the Tibetan Plateau. Nat. Clim. Chang. 2022, 12, 801–807. [Google Scholar] [CrossRef]
- Wei, Y.; Lu, H.; Wang, J.; Wang, X.; Sun, J. Dual Influence of Climate Change and Anthropogenic Activities on the Spatiotemporal Vegetation Dynamics Over the Qinghai-Tibetan Plateau From 1981 to 2015. Earth’s Futur. 2022, 10, e2021EF002566. [Google Scholar] [CrossRef]
- Wang, J.; Li, M.; Yu, C.; Fu, G. The Change in Environmental Variables Linked to Climate Change Has a Stronger Effect on Aboveground Net Primary Productivity Than Does Phenological Change in Alpine Grasslands. Front. Plant Sci. 2022, 12, 798633. [Google Scholar] [CrossRef]
- Sun, H.; Chen, Y.; Xiong, J.; Ye, C.; Yong, Z.; Wang, Y.; He, D.; Xu, S. Relationships between Climate Change, Phenology, Edaphic Factors, and Net Primary Productivity across the Tibetan Plateau. Int. J. Appl. Earth Obs. Geoinf. 2022, 107, 102708. [Google Scholar] [CrossRef]
- Ge, W.; Deng, L.; Wang, F.; Han, J. Quantifying the Contributions of Human Activities and Climate Change to Vegetation Net Primary Productivity Dynamics in China from 2001 to 2016. Sci. Total Environ. 2021, 773, 145648. [Google Scholar] [CrossRef] [PubMed]
- You, Q.; Cai, Z.; Pepin, N.; Chen, D.; Ahrens, B.; Jiang, Z.; Wu, F.; Kang, S.; Zhang, R.; Wu, T.; et al. Warming Amplification over the Arctic Pole and Third Pole: Trends, Mechanisms and Consequences. Earth Sci. Rev. 2021, 217, 103625. [Google Scholar] [CrossRef]
- Zhang, G.; Yao, T.; Xie, H.; Yang, K.; Zhu, L.; Shum, C.K.; Bolch, T.; Yi, S.; Allen, S.; Jiang, L.; et al. Response of Tibetan Plateau Lakes to Climate Change: Trends, Patterns, and Mechanisms. Earth Sci. Rev. 2020, 208, 103269. [Google Scholar] [CrossRef]
- Wang, Y.; Liu, Y.; Chen, P.; Song, J.; Fu, B. Interannual Precipitation Variability Dominates the Growth of Alpine Grassland Above-Ground Biomass at High Elevations on the Tibetan Plateau. Sci. Total Environ. 2024, 931, 172745. [Google Scholar] [CrossRef]
- Zhang, P.; Liu, L.; Yang, L.; Zhao, J.; Li, Y.; Qi, Y.; Ma, X.; Cao, L. Exploring the Response of Ecosystem Service Value to Land Use Changes under Multiple Scenarios Coupling a Mixed-Cell Cellular Automata Model and System Dynamics Model in Xi’an, China. Ecol. Indic. 2023, 147, 110009. [Google Scholar] [CrossRef]
- Wang, J.; Zhang, J.; Xiong, N.; Liang, B.; Wang, Z.; Cressey, E. Spatial and Temporal Variation, Simulation and Prediction of Land Use in Ecological Conservation Area of Western Beijing. Remote Sens. 2022, 14, 1452. [Google Scholar] [CrossRef]
- Rong, T.; Zhang, P.; Zhu, H.; Jiang, L.; Li, Y.; Liu, Z. Spatial Correlation Evolution and Prediction Scenario of Land Use Carbon Emissions in China. Ecol. Inform. 2022, 71, 101802. [Google Scholar] [CrossRef]
- Zhai, H.; Lv, C.; Liu, W.; Yang, C.; Fan, D.; Wang, Z.; Guan, Q. Understanding Spatio-Temporal Patterns of Land Use/Land Cover Change under Urbanization in Wuhan, China, 2000–2019. Remote Sens. 2021, 13, 3331. [Google Scholar] [CrossRef]
- Zhang, S.; Yang, P.; Xia, J.; Wang, W.; Cai, W.; Chen, N.; Hu, S.; Luo, X.; Li, J.; Zhan, C. Land Use/Land Cover Prediction and Analysis of the Middle Reaches of the Yangtze River under Different Scenarios. Sci. Total Environ. 2022, 833, 155238. [Google Scholar] [CrossRef]
- Islam, I.; Cui, S.; Hoque, M.Z.; Abdullah, H.M.; Tonny, K.F.; Ahmed, M.; Ferdush, J.; Xu, L.; Ding, S. Dynamics of Tree Outside Forest Land Cover Development and Ecosystem Carbon Storage Change in Eastern Coastal Zone, Bangladesh. Land 2022, 11, 76. [Google Scholar] [CrossRef]
- Aneseyee, A.B.; Soromessa, T.; Elias, E.; Noszczyk, T.; Hernik, J.; Benti, N.E. Expressing Carbon Storage in Economic Terms: The Case of the Upper Omo Gibe Basin in Ethiopia. Sci. Total Environ. 2022, 808, 152166. [Google Scholar] [CrossRef]
- Adelisardou, F.; Zhao, W.; Chow, R.; Mederly, P.; Minkina, T.; Schou, J.S. Spatiotemporal Change Detection of Carbon Storage and Sequestration in an Arid Ecosystem by Integrating Google Earth Engine and InVEST (the Jiroft Plain, Iran). Int. J. Environ. Sci. Technol. 2022, 19, 5929–5944. [Google Scholar] [CrossRef]
- Wan, D.; Liu, J.; Zhao, D. Assessment of Carbon Storage under Different SSP-RCP Scenarios in Terrestrial Ecosystems of Jilin Province, China. Int. J. Environ. Res. Public Health 2023, 20, 3691. [Google Scholar] [CrossRef]
- Wang, R.; Cai, H.; Chen, L.; Li, T. Spatiotemporal Evolution and Multi-Scenario Prediction of Carbon Storage in the GBA Based on PLUS–InVEST Models. Sustainability 2023, 15, 8421. [Google Scholar] [CrossRef]
- Ngabire, M.; Wang, T.; Liao, J.; Sahbeni, G. Quantitative Analysis of Desertification-Driving Mechanisms in the Shiyang River Basin: Examining Interactive Effects of Key Factors through the Geographic Detector Model. Remote Sens. 2023, 15, 2960. [Google Scholar] [CrossRef]
- Gai, Z.; Xu, Y.; Du, G. Spatio-Temporal Differentiation and Driving Factors of Carbon Storage in Cultivated Land-Use Transition. Sustainability 2023, 15, 3897. [Google Scholar] [CrossRef]
- Zhu, C.; Fan, W.; Wu, X.; Zhang, Z.; Chen, Y. Spatial Mismatch and the Attribution Analysis of Carbon Storage Demand and Supply in the Yangtze River Economic Belt, China. J. Clean. Prod. 2024, 434, 140036. [Google Scholar] [CrossRef]
- Zhao, H.; Yang, C.; Lu, M.; Wang, L.; Guo, B. Patterns and Dominant Driving Factors of Carbon Storage Changes in the Qinghai–Tibet Plateau under Multiple Land Use Change Scenarios. Forests 2024, 15, 418. [Google Scholar] [CrossRef]
- Balasubramanian, D.; Zhou, W.-J.; Ji, H.-L.; Grace, J.; Bai, X.-L.; Song, Q.-H.; Liu, Y.-T.; Sha, L.-Q.; Fei, X.-H.; Zhang, X.; et al. Environmental and Management Controls of Soil Carbon Storage in Grasslands of Southwestern China. J. Environ. Manag. 2020, 254, 109810. [Google Scholar] [CrossRef]
- Zhao, H.; Guo, B.; Wang, G. Spatial–Temporal Changes and Prediction of Carbon Storage in the Tibetan Plateau Based on PLUS-InVEST Model. Forests 2023, 14, 1352. [Google Scholar] [CrossRef]
- Zhu, K.; He, J.; Tian, X.; Hou, P.; Wu, L.; Guan, D.; Wang, T.; Huang, S. Analysis of Evolving Carbon Stock Trends and Influencing Factors in Chongqing under Future Scenarios. Land 2024, 13, 421. [Google Scholar] [CrossRef]
- Sintayehu, D.W.; Belayneh, A.; Dechassa, N. Aboveground Carbon Stock Is Related to Land Cover and Woody Species Diversity in Tropical Ecosystems of Eastern Ethiopia. Ecol. Process. 2020, 9, 37. [Google Scholar] [CrossRef]
- Zhao, D.; Zhu, Y.; Wu, S.; Zheng, D. Projection of Vegetation Distribution to 1.5 °C and 2 °C of Global Warming on the Tibetan Plateau. Glob. Planet. Chang. 2021, 202, 103525. [Google Scholar] [CrossRef]
- Zhang, Z.; Liu, Y.; Sun, J.; Wu, G.-L. Suitable Duration of Grazing Exclusion for Restoration of a Degraded Alpine Meadow on the Eastern Qinghai-Tibetan Plateau. Catena 2021, 207, 105582. [Google Scholar] [CrossRef]
- Zheng, H.; Zheng, H. Assessment and Prediction of Carbon Storage Based on Land Use/Land Cover Dynamics in the Coastal Area of Shandong Province. Ecol. Indic. 2023, 153, 110474. [Google Scholar] [CrossRef]
- Ghafoor, G.Z.; Sharif, F.; Shahid, M.G.; Shahzad, L.; Rasheed, R.; Khan, A.U.H. Assessing the Impact of Land Use Land Cover Change on Regulatory Ecosystem Services of Subtropical Scrub Forest, Soan Valley Pakistan. Sci. Rep. 2022, 12, 10052. [Google Scholar] [CrossRef]











| Data | Type | Year | Source | |
|---|---|---|---|---|
| Name | Link | |||
| Tibetan Plateau Boundary | Vector | 2020 | Resource and Environment Science and Data Center | http://www.resdc.cn/ |
| Land use types | Raster | 2000–2020 | Resource and Environment Science and Data Center | http://www.resdc.cn/ |
| GDP | Raster | 2020 | Resource and Environment Science and Data Center | http://www.resdc.cn/ |
| Future climatic projections | Raster | 2030 | Resource and Environment Science and Data Center | http://www.resdc.cn/ |
| DEM | Raster | 2020 | Earthdata | http://www.earthdata.nasa.gov/ |
| Slope | Raster | 2020 | Earthdata | http://www.earthdata.nasa.gov/ |
| Mean annual temperature | Vector | 2020 | Chinese meteorological station | http://data.cma.cn/ |
| Mean annual rainfall | Vector | 2020 | Chinese meteorological station | http://data.cma.cn/ |
| Nighttime light | Raster | 2020 | Google Earth Engine | http://code.earthengine.google.com/ |
| NDVI | Raster | 2000–2020 | Google Earth Engine | http://code.earthengine.google.com/ |
| NDWI | Raster | 2000–2020 | Google Earth Engine | http://code.earthengine.google.com/ |
| LAI | Raster | 2000–2020 | Google Earth Engine | http://code.earthengine.google.com/ |
| NPP | Raster | 2000–2020 | Google Earth Engine | http://code.earthengine.google.com/ |
| Population density | Raster | 2000–2020 | Google Earth Engine | http://code.earthengine.google.com/ |
| Road | Vector | 2000–2020 | OpenStreetMap | http://www.openstreetmap.org/ |
| Railway | Vector | 2020 | OpenStreetMap | http://www.openstreetmap.org/ |
| Waterway | Vector | 2020 | OpenStreetMap | http://www.openstreetmap.org/ |
| Type * | CL | FL | GL | WB | BL | UL |
|---|---|---|---|---|---|---|
| parametric | 0.030 | 0.167 | 0.412 | 0.121 | 0.009 | 0.261 |
| * | SSP1-2.6 | SSP2-4.5 | SSP5-8.5 | |||||||||||||||
|---|---|---|---|---|---|---|---|---|---|---|---|---|---|---|---|---|---|---|
| CL | FL | GL | WB | BL | UL | CL | FL | GL | WB | BL | UL | CL | FL | GL | WB | BL | UL | |
| CL | 1 | 1 | 1 | 1 | 1 | 0 | 1 | 0 | 0 | 0 | 1 | 0 | 1 | 0 | 0 | 0 | 0 | 0 |
| FL | 0 | 1 | 0 | 0 | 0 | 0 | 0 | 1 | 0 | 0 | 0 | 0 | 1 | 1 | 1 | 0 | 1 | 0 |
| GL | 0 | 1 | 1 | 1 | 0 | 0 | 1 | 1 | 1 | 1 | 1 | 0 | 1 | 1 | 1 | 0 | 1 | 0 |
| WB | 0 | 0 | 0 | 1 | 0 | 0 | 0 | 0 | 0 | 1 | 0 | 0 | 0 | 0 | 0 | 1 | 0 | 0 |
| BL | 1 | 0 | 0 | 0 | 1 | 0 | 1 | 0 | 0 | 0 | 1 | 0 | 0 | 0 | 0 | 0 | 1 | 0 |
| UL | 1 | 1 | 1 | 1 | 1 | 1 | 1 | 1 | 1 | 1 | 1 | 1 | 1 | 1 | 1 | 1 | 1 | 1 |
| Type | Aboveground Carbon Density | Belowground Carbon Density | Soil Carbon Density | Dead Carbon Density |
|---|---|---|---|---|
| Cropland | 2.484 | 0.374 | 95.722 | 0.971 |
| Forestland | 41.656 | 10.367 | 110.344 | 1.845 |
| Grassland | 0.402 | 4.110 | 88.816 | 0.077 |
| Water body | 0.280 | 0.990 | 17.846 | 1.194 |
| Built-up land | 1.793 | 4.483 | 73.174 | 0.262 |
| Unused land | 1.214 | 1.933 | 22.464 | 0.932 |
| Basis of Judgment | Interactive Relationship |
|---|---|
| Nonlinear weakening | |
| Single-factor nonlinear attenuation | |
| Two-factor enhancement | |
| Mutually independent | |
| Nonlinear enhancement |
Disclaimer/Publisher’s Note: The statements, opinions and data contained in all publications are solely those of the individual author(s) and contributor(s) and not of MDPI and/or the editor(s). MDPI and/or the editor(s) disclaim responsibility for any injury to people or property resulting from any ideas, methods, instructions or products referred to in the content. |
© 2024 by the authors. Licensee MDPI, Basel, Switzerland. This article is an open access article distributed under the terms and conditions of the Creative Commons Attribution (CC BY) license (https://creativecommons.org/licenses/by/4.0/).
Share and Cite
Huang, X.; Liu, X.; Wang, Y. Spatio-Temporal Variations and Drivers of Carbon Storage in the Tibetan Plateau under SSP-RCP Scenarios Based on the PLUS-InVEST-GeoDetector Model. Sustainability 2024, 16, 5711. https://doi.org/10.3390/su16135711
Huang X, Liu X, Wang Y. Spatio-Temporal Variations and Drivers of Carbon Storage in the Tibetan Plateau under SSP-RCP Scenarios Based on the PLUS-InVEST-GeoDetector Model. Sustainability. 2024; 16(13):5711. https://doi.org/10.3390/su16135711
Chicago/Turabian StyleHuang, Xiaodong, Xiaoqian Liu, and Ying Wang. 2024. "Spatio-Temporal Variations and Drivers of Carbon Storage in the Tibetan Plateau under SSP-RCP Scenarios Based on the PLUS-InVEST-GeoDetector Model" Sustainability 16, no. 13: 5711. https://doi.org/10.3390/su16135711
APA StyleHuang, X., Liu, X., & Wang, Y. (2024). Spatio-Temporal Variations and Drivers of Carbon Storage in the Tibetan Plateau under SSP-RCP Scenarios Based on the PLUS-InVEST-GeoDetector Model. Sustainability, 16(13), 5711. https://doi.org/10.3390/su16135711

