A Novel Rotating Wireless Power Transfer System for Slipring with Redundancy Enhancement Characteristics
Abstract
1. Introduction
2. Topology Selection and Circuit Design
2.1. Topology Transmission Model
- (a)
- For the multi-coil parallel connection form, the system topology needs to meet the constant voltage input and constant current source output characteristics;
- (b)
- As the system is designed for lithium battery charging, and considering the load of the lithium battery changes during charging, the topology must ensure the stability of output across varying loads;
- (c)
- As the satellite slip ring system will maintain a rotational attitude during operation, which will lead the magnetic coupling mechanism to produce a rotational offset, which in turn leads to mutual inductance fluctuations, the topology needs to be rotated in the process, but still maintain a stable output power and efficiency.
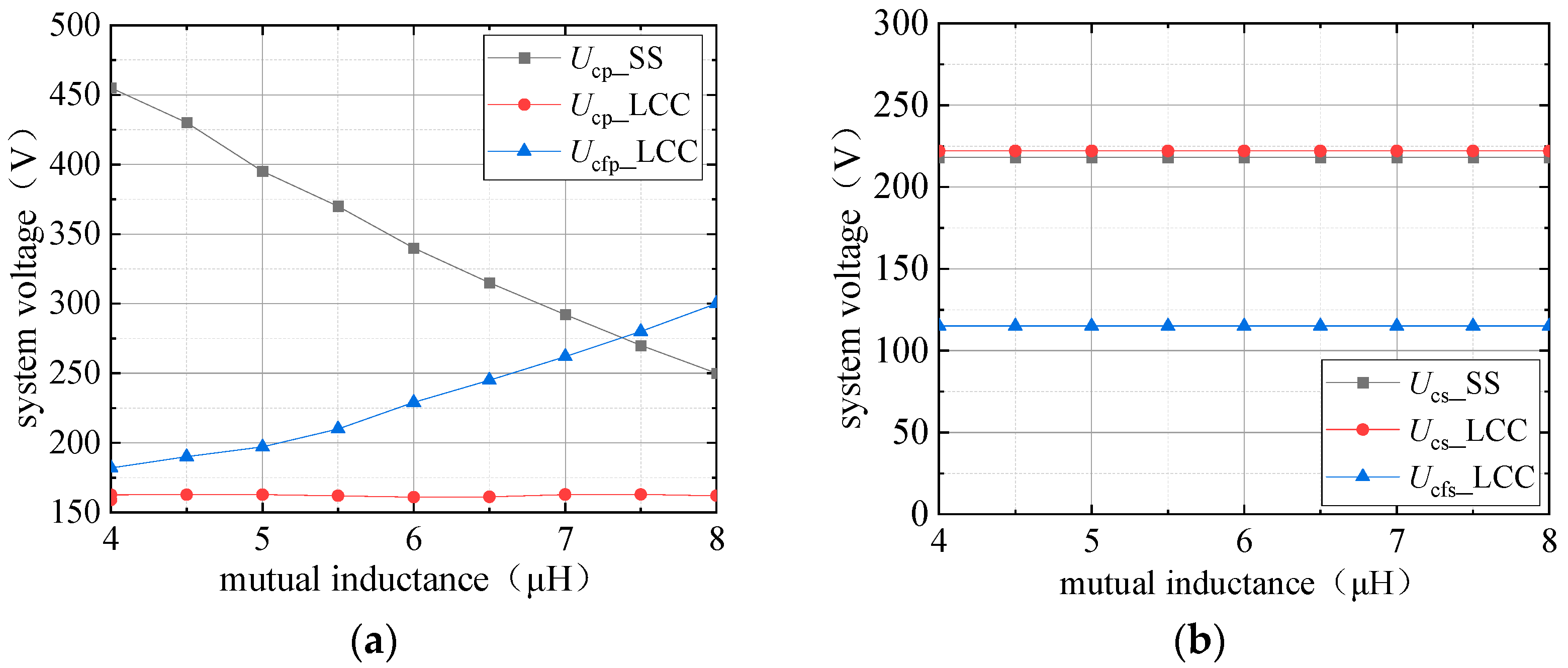
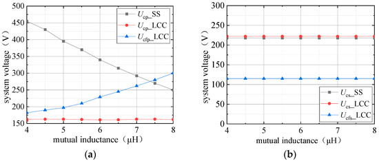
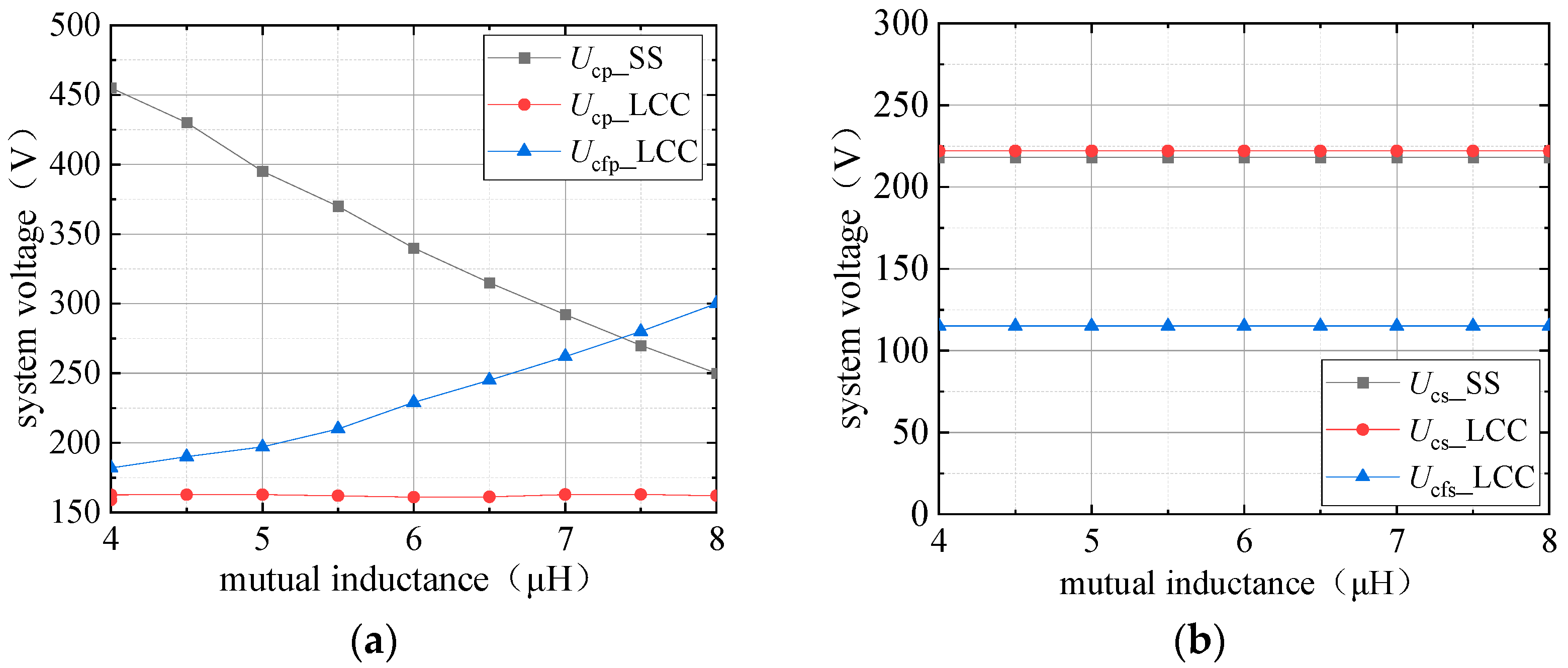
2.2. Comparative Topological Analysis
3. Magnetic Coupling Mechanism Design
3.1. Decoupling Analysis
3.2. Parameter Design and Performance Comparison
3.3. Comparison of the Advantages and Disadvantages of the Coupling Mechanism
3.4. Experimental Verification
4. Conclusions
- (1)
- The circuit model of multi-coil parallel-connected wireless power transmission is established, the resonant topologies in the wireless power transmission system are analysed, and the transmission performance of SS topology and bilateral LCC topology is determined to meet the requirements according to the basic characteristics of each resonant topology and the requirements of the multi-coil parallel-connected wireless power transmission system. The transmission models of SS topology and bilateral LCC topology are established, and the power transfer capability, system electrical stress, and system power consumption of the two topologies are analysed in depth through comparison under mutual inductance fluctuation, and the bilateral LCC topology is finally determined to be the most suitable resonant topology for this system.
- (2)
- For the shape of the coupling mechanism, a form of coupling mechanism with multiple sector coils is proposed, and the parameter design and verification are completed by taking the actual system as an example, the important dimensional parameters affecting its performance are derived through theoretical derivation, and the effects of the relevant dimensional parameters on the performance of the coupling mechanism are investigated through simulation analysis. The loss and mutual inductance fluctuation of the traditional multi-coil model and the optimized model are compared, and it is proved that the proposed coupling mechanism can reduce the loss and mutual inductance fluctuation. Optimizing the number of multi-coils further minimizes mutual inductance fluctuation during rotation. An experimental platform was built to carry out the experimental verification of the static and rotating conditions of the coupling mechanism, which verifies that the system can meet the output of 3 kW power with an efficiency of 91.4%.
Author Contributions
Funding
Institutional Review Board Statement
Informed Consent Statement
Data Availability Statement
Conflicts of Interest
References
- Tai, K.; Mo, C.; Hang, C. Influence of local shadow on output of photovoltaic array. J. Phys. Conf. Ser. 2021, 2087, 012015. [Google Scholar] [CrossRef]
- Tang, Z.; Xiao, W.; Qiu, D.; Zhang, B.; Xie, F.; Chen, Y. Resonant Reactive Shield of contactless slipring Based on WPT Technology for Rotating Equipment. In Proceedings of the 2021 IEEE 1st International Power Electronics and Application Symposium (PEAS), Shanghai, China, 13–15 November 2021; pp. 1–4. [Google Scholar] [CrossRef]
- Deng, W.; Chen, C.; Zhang, Y.; Cheng, R.; Dai, S.; Zhou, X. A hybrid adaptive-prediction maximum power point tracking method for the smart city with massive photovoltaic. Energy Rep. 2022, 8, 240–251. [Google Scholar] [CrossRef]
- He, X.; He, B.; Zhao, Y.; Cui, R.; Zhang, J.; Dong, Y.; Jiang, R. MPPT control based on improved mayfly optimization algorithm under complex shading conditions. Int. J. Emerg. Electr. Power Syst. 2021, 22, 661–674. [Google Scholar] [CrossRef]
- Xu, S.; Zhu, Q.; Hu, Y.; Zhang, T. Design and performance research of a new non-tracking low concentrating with lens for photovoltaic systems. Renew. Energy 2022, 192, 174–187. [Google Scholar] [CrossRef]
- Ji, L.; Ge, F.; Zhang, C. Design of wireless power transmission coupling structure based on rotary steerable drilling. IEEE Trans. Power Electron. 2023, 1–11. [Google Scholar] [CrossRef]
- Li, T.; Wang, Y.; Lang, Z.; Qi, C.; Jin, X.; Chen, X.; Xu, D. Analysis and Design of Rotary Wireless Power Transfer System with Dual-Coupled XLC/S Compensation Topology. IEEE Trans. Ind. Appl. 2023, 59, 2639–2649. [Google Scholar] [CrossRef]
- Mo, Y.; Feng, T.; Xiao, J.; Wang, Z.; Wu, X.; Sun, Y. A 3-D Rotating Magnetic Field Modulation Method for Omnidirectional Wireless Power Transfer Systems. In Proceedings of the 2022 IEEE 9th International Conference on Power Electronics Systems and Applications (PESA), Hong Kong, 20–22 September 2022; pp. 1–6. [Google Scholar] [CrossRef]
- Maier, M.; Parspour, N. Operation of an Electrical Excited Synchronous Machine by Contactless Energy Transfer to the Rotor. IEEE Trans. Ind. Appl. 2018, 54, 3217–3225. [Google Scholar] [CrossRef]
- Feng, X.; Fu, Z.; Hao, G.; Wang, K.; Weng, Y. Modeling and Implementation of a New Non-Contact Slip Ring for Wireless Power Transfer. In Proceedings of the 2020 IEEE 9th International Power Electronics and Motion Control Conference, Nanjing, China, 29 November–2 December 2020; pp. 106–111. [Google Scholar]
- Zhou, J.; Li, X.; Liu, R.; Liu, Y. A scheme of satellite multi-sensor fault-tolerant attitude estimation. Trans. Inst. Meas. Control. 2016, 38, 1053–1063. [Google Scholar] [CrossRef]
- Hong, S.; Wang, Y.; Tang, C.; Wang, X.; Bai, X.; Qin, Y.; Qing, L. Research and design of rotary multi-channel wireless power transmission system. In Proceedings of the 2022 Wireless Power Week (WPW), Bordeaux, France, 5–8 July 2022; pp. 879–883. [Google Scholar] [CrossRef]
- Wu, Y.; Yuan, H.; Zhang, R.; Yang, A.; Wang, X.; Rong, M. Low-Frequency Wireless Power Transfer Via Rotating Permanent Magnets. IEEE Trans. Ind. Electron. 2022, 69, 10656–10665. [Google Scholar] [CrossRef]
- Abdullahi, Q.; Joshi, R.; Podilchak, S.; Chen, M.; Rooney, J.; Rooney, J.; Sun, D.; Georgiadis, A.; Anagnostou, D. A Wireless Power Charger System Using a 2-D Near-Field Array for Assisted Living Applications. In Proceedings of the 2019 13th European Conference on Antennas and Propagation (EuCAP), Krakow, Poland, 31 March–5 April 2019; pp. 1–5. [Google Scholar]
- Yan, Y.; Song, B.; Zhang, Y.; Zhang, K.; Mao, Z.; Hu, Y. A Rotation-Free Wireless Power Transfer System with Stable Output Power and Efficiency for Autonomous Underwater Vehicles. IEEE Trans. Power Electron. 2019, 34, 4005–4008. [Google Scholar] [CrossRef]
- Li, T.; Chen, X.; Lang, Z.; Jin, X.; Qi, C.; Wang, Y. Wireless Power Transfer System for Long-Term Sensor on Rotating Plane. In Proceedings of the 2021 IEEE Industrial Electronics and Applications Conference (IEACon), Penang, Malaysia, 22–23 November 2021; pp. 136–140. [Google Scholar]
- Sakamaki, Y.; Duong, Q.-T.; Okada, M. Experimental evaluation of series resonance scheme for 2 × 2 MIMO IPT. In Proceedings of the 2020 International Symposium on Antennas and Propagation (ISAP), Osaka, Japan, 25–28 January 2021; pp. 1–2. [Google Scholar]
- Wang, D.; Cui, S.; Bie, Z.; Zhang, J.; Song, K.; Zhu, C. A Redundancy Design of Wireless Power Transfer System for Satellite Slip Ring with High Reliability. In Proceedings of the 2021 IEEE 4th International Electrical and Energy Conference (CIEEC), Wuhan, China, 28–30 May 2021; pp. 1–6. [Google Scholar] [CrossRef]
- Kim, S.; Zaheer, A.; Covic, G.; Boys, J. Tripolar pad for inductive power transfer systems. In Proceedings of the IECON 2014—40th Annual Conference of the IEEE Industrial Electronics Society, Dallas, TX, USA, 29 October–1 November 2014; pp. 3066–3072. [Google Scholar] [CrossRef]
- Chowdhury, S.; Tarek, M.T.B.; Sozer, Y. Design of a 7.7 kW Three-Phase Wireless Charging System for Light Duty Vehicles based on Overlapping Windings. In Proceedings of the 2020 IEEE Energy Conversion Congress and Exposition (ECCE), Detroit, MI, USA, 11–15 October 2020; pp. 5169–5176. [Google Scholar]
- Cirimele, V.; Colussi, J.; Villa, J.L.; Ganga, A.L.; Guglielmi, P. Modelling of a 100 kW–85 kHz Three-Phase System for Static Wireless Charging and Comparison with a Classical Single-Phase System. In Proceedings of the 2020 IEEE International Symposium on Circuits and Systems (ISCAS), Seville, Spain, 10–21 October 2020; pp. 1–5. [Google Scholar]
- Kusui, R.; Kusaka, K.; Itoh, J.-I.; Obayashi, S.; Shijo, T.; Ishida, M. Downsizing of Three-Phase Wireless Power Transfer System with 12 coils by Reducing Magnetic Interference. In Proceedings of the 2020 IEEE 29th International Symposium on Industrial Electronics (ISIE), Delft, The Netherlands, 17–19 June 2020; pp. 1442–1447. [Google Scholar]
- Pries, J.; Galigekere, V.P.N.; Onar, O.C.; Su, G. A 50-kW Three-Phase Wireless Power Transfer System Using Bipolar Windings and Series Resonant Networks for Rotating Magnetic Fields. IEEE Trans. Power Electron. 2020, 35, 4500–4517. [Google Scholar] [CrossRef]






















| Circuit Parameters | Cfp/nF | Cfs/nF | Cp/nF | Cs/nF | Lfp/μH | Lfs/μH |
|---|---|---|---|---|---|---|
| calculated value | 357.7 | 357.7 | 280.4 | 280.4 | 9.8 | 9.8 |
| Coil Parameters | Overlapping Model | Stacking Models |
|---|---|---|
| frequency/kHz | 85 | 85 |
| Number of turns/ts | 6 | 8 |
| self-consciousness/μH | 22.3 | 25.2 |
| Mutual inductance (single emitter coil)/μH | 5.95 | 6.52 |
| coil radius/mm | 133 | 145 |
| sector angle, β/deg | 150.2 | 140 |
| Parameter | Single Coil Model | Tri-Circular Model | Optimisation Models |
|---|---|---|---|
| Schematic of the model | ![]() | ![]() | ![]() |
| Coil radius (mm) | 135 | 75 | 135 |
| Number of turns (ts) | 7 | 7 | 6 |
| Decoupled approach | No decoupling required | Direct decoupling | Direct decoupling |
| iron loss (W) | 11.4 | 2.3 | 0.9 |
| Aluminium sheet loss (W) | 67.8 | 10.5 | 8.2 |
| copper loss (W) | 138 | 170.4 | 144 |
| total loss (W) | 217.2 | 183.2 | 153.1 |
| power density (W/kg) | 742.5 | 721.3 | 709.5 |
| Coil | Perceptual Value/μH | Internal Resistance Value/mΩ | Mutual Inductance between Coils | Mutual Inductance/μH |
|---|---|---|---|---|
| Transmitter coil 1 | 23.18 | 84.44 | Transmitter coil 1 and 2 | 0.17 |
| Transmitter coil 2 | 23.66 | 86.66 | Transmitter coil 2 and 3 | 0.21 |
| Transmitter coil 3 | 24.25 | 86.38 | Transmitter coil 1 and 3 | 0.08 |
| Receiving coil 1 | 24.15 | 83.6 | Receiver coils 1 and 2 | 0.33 |
| Receiving coil 2 | 24.59 | 90.3 | Receiver coils 2 and 3 | 0.31 |
| Receiving coil 3 | 24.43 | 72.25 | Receiver coils 1 and 3 | 0.225 |
Disclaimer/Publisher’s Note: The statements, opinions and data contained in all publications are solely those of the individual author(s) and contributor(s) and not of MDPI and/or the editor(s). MDPI and/or the editor(s) disclaim responsibility for any injury to people or property resulting from any ideas, methods, instructions or products referred to in the content. |
© 2024 by the authors. Licensee MDPI, Basel, Switzerland. This article is an open access article distributed under the terms and conditions of the Creative Commons Attribution (CC BY) license (https://creativecommons.org/licenses/by/4.0/).
Share and Cite
Wang, Q.; Wang, D.; Zhang, J. A Novel Rotating Wireless Power Transfer System for Slipring with Redundancy Enhancement Characteristics. Sustainability 2024, 16, 5628. https://doi.org/10.3390/su16135628
Wang Q, Wang D, Zhang J. A Novel Rotating Wireless Power Transfer System for Slipring with Redundancy Enhancement Characteristics. Sustainability. 2024; 16(13):5628. https://doi.org/10.3390/su16135628
Chicago/Turabian StyleWang, Qiyue, De’an Wang, and Jiantao Zhang. 2024. "A Novel Rotating Wireless Power Transfer System for Slipring with Redundancy Enhancement Characteristics" Sustainability 16, no. 13: 5628. https://doi.org/10.3390/su16135628
APA StyleWang, Q., Wang, D., & Zhang, J. (2024). A Novel Rotating Wireless Power Transfer System for Slipring with Redundancy Enhancement Characteristics. Sustainability, 16(13), 5628. https://doi.org/10.3390/su16135628




