Impact of Fruit Maturity on Internal Disorders in Vapor Heat Treated Mango Cv. ‘B74’
Abstract
1. Introduction
2. Materials and Methods
2.1. Supply Chain Monitoring
2.2. Fruit Sampling and Postharvest Treatment
2.3. Postharvest Quality Assessments
2.4. Experimental Design and Statistical Analyses
3. Results
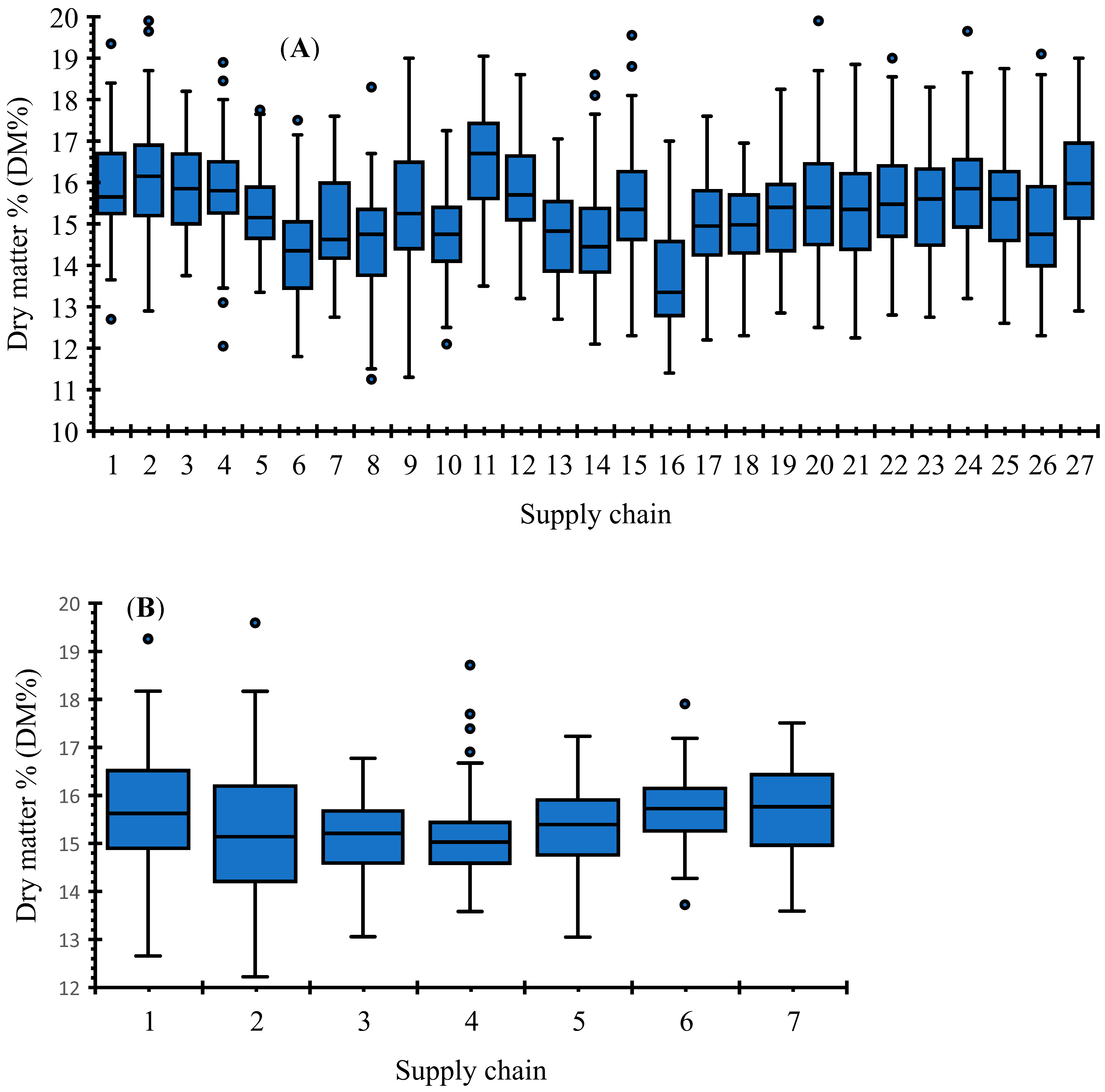
3.1. Fruit Characteristics
3.2. Internal Disorders
3.2.1. Flesh Cavity with White Patches
3.2.2. Flesh Browning
3.3. Relationship between DM%, FCWP, FB, and Shelf Life
3.4. Relationships between DM%, Postharvest Time-Temperature Units, and Time from Packing Shed to VHT with Incidence of FCWP and FB
4. Discussion
4.1. Flesh Cavity with White Patches
4.2. Flesh Browning
4.3. Plant Nutrition
5. Conclusions
6. Practical Implication of the Research Outcomes
7. Research Limitations and Future Research
Supplementary Materials
Author Contributions
Funding
Institutional Review Board Statement
Informed Consent Statement
Data Availability Statement
Acknowledgments
Conflicts of Interest
References
- UNDP. Sustainable Development Goals: The SDGS in Action. Available online: https://www.undp.org/sustainable-development-goals (accessed on 3 April 2024).
- Khanal, A. Relationship between Fruit Maturity and Internal Disorders of Vapour Heat Treated ‘B74’ Mango Fruit. Ph.D. Thesis, The University of Queensland, Brisbane, Australia, 2024; p. 197. [Google Scholar]
- Arpaia, M.L. Preharvest factors influencing postharvest quality of tropical and subtropical fruit. HortScience 1994, 29, 982–985. [Google Scholar] [CrossRef]
- Torres, M.; Hermoso, J.; Farre, J. Influence of nitrogen and calcium fertilisation on productivity and fruit quality of the mango cv. Sensation. In Proceedings of the VII International Mango Symposium, Recife, Brazil, 2–27 September 2002; pp. 395–401. [Google Scholar]
- Bally, I. The Effect of Preharvest Nutrition and Crop Load on Fruit Quality and Postharvest Disease in Mango (Mangifera indica L.). Ph.D. Thesis, The University of Queensland, Brisbane, Australia, 2006; p. 196. [Google Scholar]
- Jha, S.; Narsaiah, K.; Sharma, A.; Singh, M.; Bansal, S.; Kumar, R. Quality parameters of mango and potential of non-destructive techniques for their measurement—A review. J. Food Sci. Technol. 2010, 47, 1–14. [Google Scholar] [CrossRef] [PubMed]
- Ma, X.; Yao, Q.; Ma, H.; Wu, H.; Zhou, Y.; Wang, S. Relationship between internal breakdown and mineral nutrition in the flesh of ‘Keitt’ mango. In Proceedings of the VIII International Symposium on Mineral Nutrition of Fruit Crops, Bozen-Bolzano, Italy, 27–30 June 2017; pp. 351–356. [Google Scholar]
- Hofman, P. Mango fruit quality at harvest is affected by production condition. In Proceedings of the Mango 2000 Marketing Seminar and Production Workshop, DPI, Brisbane, Australia, 30 July–3 August 1995; pp. 199–207. [Google Scholar]
- Ledger, S. Quality problems test consumer faith. In Mango Care; Department of Primary Industry: Brisbane, Australia, 1996; pp. 4–5. [Google Scholar]
- Holmes, D. Calypso Export to Asia Protocol Markets End of Season Report-2018-19; Perfection Fresh Australia: Brisbane, Australia, 2019; p. 13. [Google Scholar]
- Holmes, D. Assessment-VHT Calypso Mango 40’’ Sea Freight; Perfection Australia: Brisbane, Australia, 2019; p. 10. [Google Scholar]
- Joyce, D.C.; Shorter, A.J. High-temperature conditioning reduces hot water treatment injury of ‘Kensington Pride’ mango fruit. HortScience 1994, 29, 1047–1051. [Google Scholar] [CrossRef]
- Jacobi, K.K.; MacRae, E.A.; Hetherington, S.E. Postharvest heat disinfestation treatments of mango fruit. Sci. Hortic. 2001, 89, 171–193. [Google Scholar] [CrossRef]
- Johnson, D. The effect of flower and fruit thinning on the firmness of ‘Cox’s Orange Pippin’ apples at harvest and after storage. J. Hortic. Sci. 1992, 67, 95–101. [Google Scholar] [CrossRef]
- Jacobi, K.; Wong, L. The effect of simulated air freight conditions on the quality of high humidity hot air treated “Kensington” mango (Mangifera indica Linn.). In Proceedings of the Australasian Postharvest Conference, The University of Queensland, Gatton College, Gatton, Australia, 20–24 September 1993; pp. 20–24. [Google Scholar]
- Cooke, T.; Johnson, G. Mango Postharvest Disease Control: Effect of Rain at Harvest, Fungicide Treatments, and Fruit Brushing on Fruit Appearance [Poster Paper]; ACIAR Proceeding; Australian Centre for International Agricultural Research (Australia): Bruce, Australia, 1994; Volume 50.
- Jacobi, K.; Giles, J. Quality of ‘Kensington’ mango fruit following combined vapour heat disinfestation and hot water disease control treatments. Postharvest Biol. Technol. 1997, 12, 285–292. [Google Scholar] [CrossRef]
- Raymond, L.; Schaffer, B.; Brecht, J.K.; Crane, J.H. Internal breakdown in mango fruit: Symptomology and histology of jelly seed, soft nose and stem-end cavity. Postharvest Biol. Technol. 1998, 13, 59–70. [Google Scholar] [CrossRef]
- Whangchai, K.; Gemma, H.; Uthaibutra, J.; Iwahori, S. Postharvest physiology and microanalysis of mineral elements of ‘Nam Dork Mai’ mango fruit grown under different soil composition. J. Jpn. Soc. Hortic. Sci. 2001, 70, 463–465. [Google Scholar] [CrossRef]
- Hofman, P.; Whiley, T. Calypso™ Best Practices Guide—Tree to Taste; One Harvest, Horticulture Australia Ltd., Department of Employment, Economic Development and Innovation, Central Queensland University, and Sunshine Horticultural Services Pty Ltd.: Norman Gardens, Australia, 2010; p. 50. [Google Scholar]
- Yahia, E.M. Modified and controlled atmospheres for tropical fruits. Hortic. Rev. Westport Then New York 1998, 22, 123–183. [Google Scholar]
- Yahia, E.M. Postharvest technology and handling of mango. In Crops: Quality, Growth and Biotechnolog; WFL Publisher: Helsinki, Finland, 2005; pp. 478–512. [Google Scholar]
- Esguerrra, E.B.; Lizada, M.C.C. The postharvest behaviour and quality of “Carabao” mangoes subjected to vapor heat treatment. ASEAN Food J. (Malays.) 1990, 5, 6–11. [Google Scholar]
- Hort Innovation. Mango Export Strategy. Available online: https://www.industry.mangoes.net.au/cmsb/media/mg21000-mangoes-final-export-strategy_080422.pdf (accessed on 16 March 2023).
- IPPC. Vapour Heat Treatment for Bactrocera tryoni on Mangifera indica Phytosanitary Treatment No 31 Annex to International Standard for Phytosanitary Measures 28. Available online: https://www.ippc.int/en/publications/84357/ (accessed on 30 July 2023).
- Hort Innovation. Market Prioritisation and Opportunity Development Report. Available online: https://www.industry.mangoes.net.au/cmsb/media/mg21000_market-prioritisation-final-report_080422.pdf (accessed on 16 March 2023).
- Esguerra, E.B.; Brena, S.R.; Reyes, M.U.; Lizada, M.C.C. Physiological breakdown in vapor heat-treated ‘Carabao’ mango. Acta Hortic. 1990, 269, 425–434. [Google Scholar]
- Joyce, D.C.; Hockings, P.D.; Mazucco, R.A.; Shorter, A.J.; Brereton, I.M. Heat treatment injury of mango fruit revealed by nondestructive magnetic resonance imaging. Postharvest Biol. Technol. 1993, 3, 305–311. [Google Scholar] [CrossRef]
- Mitcham, E.J.; McDonald, R.E. Respiration rate, internal atmosphere, and ethanol and acetaldehyde accumulation in heat-treated mango fruit. Postharvest Biol. Technol. 1993, 3, 77–86. [Google Scholar] [CrossRef]
- Katrodia, J.; Sheth, I. Spongy tissue development in mango fruit of cultivar Alphonso in relation to temperature and its control. Acta Hortic. 1989, 231, 827–834. [Google Scholar]
- Wainwright, H.; Burbage, M. Physiological disorders in mango (Mangifera indica L.) fruit. J. Hortic. Sci. 1989, 64, 125–135. [Google Scholar] [CrossRef]
- Hort Innovation. Australian Horticulture Statistics Handbook: Fruit; Horticulture Innovation Australia Limited: Sydney, Australia, 2020; pp. 1–237. [Google Scholar]
- Hofman, P. Development of Best Practice Pre- and Postharvest Protocols for Production of Calypso Mango: Phase II; Agri-Science Queensland, Department of Employment, Economic Development and Innovation, Maroochy Research Station: Nambour, QLD, Australia, 2011.
- Hofman, P.; Holmes, R.; Barker, L. B74 Mango Quality Assessment Manual; Agri-Science Queensland, Department of Employment, Economic Development and Innovation: Brisbane, Australia, 2010.
- Holmes, D. (Perfection Fresh Pty Ltd., Homebush, NSW, Australia). Personal communication, 2020.
- Cohen, J. Statistical Power Analysis for the Behavioral Sciences, 2nd ed.; Lawrence Erbbaum Associates, Routledge: London, UK, 2013. [Google Scholar]
- Cochran, W.G. Sampling Techniques, 2nd ed.; John Wiley & Sons: New York, NY, USA, 1977. [Google Scholar]
- Felix Instruments. Mango Model Building Standard Operating Procedure (SOP). Available online: https://felixinstruments.com/static/media/uploads/mango_data-collection_sop.pdf (accessed on 7 April 2022).
- Padda, M.S.; do Amarante, C.V.; Garcia, R.M.; Slaughter, D.C.; Mitcham, E.J. Methods to analyze physico-chemical changes during mango ripening: A multivariate approach. Postharvest Biol. Technol. 2011, 62, 267–274. [Google Scholar] [CrossRef]
- Mishra, P.; Singh, U.; Pandey, C.M.; Mishra, P.; Pandey, G. Application of student’s t-test, analysis of variance, and covariance. Ann. Card. Anaesth. 2019, 22, 407–411. [Google Scholar] [CrossRef] [PubMed]
- Hauke, J.; Kossowski, T. Comparison of values of Pearson’s and Spearman’s correlation coefficients on the same sets of data. Quaest. Geogr. 2011, 30, 87–93. [Google Scholar] [CrossRef]
- Moore, D.S.; McCabe, G.P.; Craig, B.A. Introduction to the Practice of Statistics, 9th ed.; Freeman and Company: Dallas, TX, USA, 2017. [Google Scholar]
- Verbeke, G.; Molenberghs, G. Linear Mixed Models for Longitudinal Data; Springer: Berlin/Heidelberg, Germany, 2009. [Google Scholar] [CrossRef]
- Jacobi, K.; Giles, J.; MacRae, E.; Wegrzyn, T. Conditioning Kensington mango with hot air alleviates hot water disinfestation injuries. HortScience 1995, 30, 562–565. [Google Scholar] [CrossRef]
- Jacobi, K.; Hetherington, S.; MacRae, E. Starch degradation in’Kensington’mango fruit following heat treatments. Aust. J. Exp. Agric. 2002, 42, 83–92. [Google Scholar] [CrossRef]
- Sivakumar, D.; Jiang, Y.; Yahia, E.M. Maintaining mango (Mangifera indica L.) fruit quality during the export chain. Food Res. Int. 2011, 44, 1254–1263. [Google Scholar] [CrossRef]
- Brecht, J.; Schaffer, B.; Crane, J.; Li, Y.; Vargas, A. Mango Internal Discoloration (“Cutting Black” or “Corte Negro”); National Mango Board: Orlando, FL, USA, 2019; pp. 1–88. [Google Scholar]
- Miguel, A.C.A.; Durigan, J.F.; Barbosa, J.C.; Morgado, C.M.A. Qualidade de mangas cv. Palmer após armazenamento sob baixas temperaturas. Rev. Bras. Frutic. 2013, 35, 398–408. [Google Scholar] [CrossRef]
- Costa, J.D.S.; Figueiredo Neto, A.; Olivier, N.C.; Irmão, M.A.S.; Costa, M.S.; Gomes, J.P. Road transport vibration stress impact on ‘Palmer’mangoes quality and shelflife. Rev. Bras. Frutic. 2021, 43, 1–11. [Google Scholar] [CrossRef]
- Brecht, J.K.; Sargent, S.A.; Kader, A.A.; Mitcham, E.J.; Maul, F.; Berecht, P.E.; Menocal, O. Mango Postharvest Best Management Practices Manual; Institute of Food and Agricultural Sciences, University of Florida: Gainesville, FL, USA, 2020; Volume 2020. [Google Scholar]
- Brecht, J.K.; Nunes, M.C.N.; Fernando, M. Time-Temperature Combinations that Induce Chilling Injury of Mangoes; National Mango Board: Orlando, FL, USA, 2012; pp. 1–21. [Google Scholar]
- Subedi, P.; Walsh, K.; Purdy, P. Determination of optimum maturity stages of mangoes using fruit spectral signatures. Acta Hortic. 2013, 992, 521–527. [Google Scholar] [CrossRef]












| Year | Region | Orchard Block Code | Supply Chain Number |
|---|---|---|---|
| 2020/21 | NT | B1 | 1–3 |
| B2 | 4 | ||
| B3 | 5 | ||
| NQ | B4 | 6–7 | |
| B5 | 8–9 | ||
| 2021/22 | NT | B3 | 1–5 |
| B2 | 6–13 | ||
| B1 | 14 | ||
| NQ | B4 | 15–25 | |
| B6 | 26–27 | ||
| 2022/23 | NT | B3 | 1 |
| B2 | 2 | ||
| NQ | B4 | 3–5 | |
| B6 | 6 | ||
| B7 | 7 |
| Supply Chain | Shelf Life (Days) | ||
|---|---|---|---|
| +VHT | −VHT | Sig. | |
| 1 | 13.46 ± 0.83 b | 18.27 ± 0.13 a | * |
| 2 | 13.75 ± 0.25 b | 16.40 ± 0.82 a | * |
| 3 | 14.55 ± 1.41 b | 19.43 ± 0.97 a | * |
| 4 | 12.00 ± 1.73 b | 18.33 ± 0.33 a | * |
| 5 | 18.50 ± 0.32 b | 21.67 ± 0.43 a | ** |
| 6 | 15.80 ± 0.71 b | 19.47 ± 0.61 a | ** |
| 7 | 13.87 ± 0.99 b | 19.16 ± 0.73 a | ** |
| 8 | 16.47 ± 0.92 | 16.94 ± 3.38 | NS |
| 9 | 15.64 ± 1.52 | 17.22 ± 2.42 | NS |
| 10 | 19.90 ± 0.45 | 21.13 ± 0.34 | NS |
| 11 | 21.98 ± 0.51 a | 20.61 ± 0.63 b | * |
| 12 | 19.75 ± 0.11 | 20.92 ± 0.92 | NS |
| 13 | 22.39 ± 0.84 | 23.3 ± 0.49 | NS |
| 14 | 16.35 ± 16.35 | 14.25 ± 0.67 | NS |
| 15 | 22.65 ± 0.07 | 22.88 ± 0.06 | NS |
| 16 | - | - | - |
| 17 | 18.08 ± 0.13 b | 19.47 ± 0.35 a | * |
| 18 | 20.16 ± 0.83 | 22.25 ± 0.62 | NS |
| 19 | 20.12 ± 1.09 | 21.44 ± 0.61 | NS |
| 20 | 20.51 ± 0.91 b | 23.88 ± 0.67 a | * |
| 21 | 20.87 ± 1.82 | 23.10 ± 0.56 | NS |
| 22 | 21.16 ± 0.42 | 22.18 ± 0.66 | NS |
| 23 | 18.7 ± 0.21 b | 24.08 ± 0.50 a | ** |
| 24 | 22.33 ± 0.90 | 23.9 ± 1.21 | NS |
| 25 | 20.12 ± 0.89 | 21.79 ± 1.35 | NS |
| 26 | 21.76 ± 1.10 | 21.80 ± 0.53 | NS |
| 27 | 17.1 ± 0.99 | 23.02 ± 2.60 | NS |
| Variable | Incidence % | Standard Error (SE) % | Adjusted SE | z Value | p Value |
|---|---|---|---|---|---|
| Intercept | 8.1 | 5.2 | 5.2 | 1.6 | 0.11 |
| Treatment VHT | 39.8 | 2.5 | 2.5 | 15.8 | 0.00 *** |
| Region NT | −18.7 | 2.6 | 2.6 | 7.3 | 0.00 *** |
| Harvest season 2021/22 | 4.8 | 3.5 | 3.5 | 1.4 | 0.16 |
| Harvest season 2022/23 | −9.0 | 4.6 | 4.6 | 1.7 | 0.04 * |
| Block B1 | −29.3 | 10.2 | 10.3 | 2.8 | 0.00 ** |
| Block B2 | −25.0 | 9.3 | 9.3 | 2.7 | 0.00 ** |
| Block B3 | −22.1 | 9.4 | 9.4 | 2.3 | 0.02 * |
| Block B4 | −6.1 | 9.0 | 9.1 | 0.7 | 0.50 |
| Block B5 | −14.8 | 11.3 | 11.4 | 1.3 | 0.19 |
| Block B6 | 0.7 | 9.8 | 9.9 | 0.1 | 0.94 |
| Variable | Incidence % | Standard Error (SE) % | Adjusted SE | z Value | p Value |
|---|---|---|---|---|---|
| Intercept | 64.8 | 11.4 | 11.5 | 5.6 | 0.00 *** |
| Treatment VHT | −13.5 | 2.7 | 2.7 | 4.9 | 0.00 *** |
| Region NT | −5.1 | 3.1 | 3.1 | 1.6 | 0.11 |
| Harvest season 2021/22 | 8.3 | 4.4 | 4.4 | 1.9 | 0.06 |
| Harvest season 2022/23 | 16.6 | 5.6 | 5.6 | 3.0 | 0.00 ** |
| Block B1 | −41.1 | 11.7 | 11.8 | 3.5 | 0.00 *** |
| Block B2 | −56.8 | 10.3 | 10.3 | 5.5 | 0.00 *** |
| Block B3 | −26.2 | 10.4 | 10.4 | 2.5 | 0.01 * |
| Block B4 | −38.3 | 10.0 | 10.0 | 3.8 | 0.00 *** |
| Block B5 | −55.5 | 13.0 | 13.1 | 4.3 | 0.00 *** |
| Block B6 | −32.8 | 10.8 | 10.8 | 3.0 | 0.00 ** |
| Supply Chain | FCWP | FB | Supply Chain | FB | ||
|---|---|---|---|---|---|---|
| DM% | 1 | −0.29 | 0.35 ** | Shelf life | 1 | 0.21 |
| 2 | 0.17 | 0.24 * | 2 | 0.26 * | ||
| 3 | −0.16 | 0.02 | 3 | 0.21 * | ||
| 4 | 0.2 | 0.26 * | 4 | 0.12 | ||
| 5 | 0.21 | 0.29 ** | 5 | 0.15 | ||
| 6 | −0.04 | 0.00 | 6 | 0.00 | ||
| 7 | 0.49 *** | 0.00 | 7 | 0.18 | ||
| 8 | 0.05 | 0.00 | 8 | 0.00 | ||
| 9 | 0.18 | 0.18 | 9 | 0.08 | ||
| 10 | −0.12 | 0.00 | 10 | 0.27 * | ||
| 11 | 0.00 | 0.07 | 11 | 0.41 *** | ||
| 12 | 0.08 | −0.09 | 12 | 0.09 | ||
| 13 | −0.12 | 0.23 | 13 | 0.33 *** | ||
| 14 | −0.04 | 0.00 | 14 | 0.00 | ||
| 15 | −0.21 | 0.31 ** | 15 | 0.16 | ||
| 16 | 0.00 | 0.16 | 16 | - | ||
| 17 | −0.44 ** | 0.36 *** | 17 | 0.27 *** | ||
| 18 | −0.38 ** | 0.32 ** | 18 | 0.27 *** | ||
| 19 | −0.03 | −0.02 | 19 | 0.43 *** | ||
| 20 | −0.11 | 0.45 *** | 20 | 0.40 *** | ||
| 21 | −0.44 ** | 0.34 *** | 21 | 0.16 | ||
| 22 | −0.34 * | 0.23 * | 22 | 0.33 *** | ||
| 23 | −0.24 | 0.33 * | 23 | 0.33 *** | ||
| 24 | −0.28 * | −0.01 | 24 | 0.12 | ||
| 25 | −0.40 * | 0.32 *** | 25 | 0.17 | ||
| 26 | −0.11 | 0.05 | 26 | 0.21 * | ||
| 27 | −0.43 ** | 0.20 * | 27 | 0.48 *** | ||
| Disorder | Correlation (r) | Probability Value | |
|---|---|---|---|
| Time (h) | FCWP incidence | 0.05 | 0.79 |
| FB incidence | 0.49 ** | 0.00 | |
| Postharvest TTUs | FCWP incidence | −0.04 | 0.83 |
| FB incidence | 0.39 * | 0.05 | |
| DM% | FCWP incidence | 0.15 | 0.45 |
| FB incidence | 0.61 *** | 0.00 |
Disclaimer/Publisher’s Note: The statements, opinions and data contained in all publications are solely those of the individual author(s) and contributor(s) and not of MDPI and/or the editor(s). MDPI and/or the editor(s) disclaim responsibility for any injury to people or property resulting from any ideas, methods, instructions or products referred to in the content. |
© 2024 by the authors. Licensee MDPI, Basel, Switzerland. This article is an open access article distributed under the terms and conditions of the Creative Commons Attribution (CC BY) license (https://creativecommons.org/licenses/by/4.0/).
Share and Cite
Khanal, A.; Ullah, M.A.; Joyce, P.; White, N.; Macnish, A.; Hoffman, E.; Irving, D.; Webb, R.; Joyce, D. Impact of Fruit Maturity on Internal Disorders in Vapor Heat Treated Mango Cv. ‘B74’. Sustainability 2024, 16, 5472. https://doi.org/10.3390/su16135472
Khanal A, Ullah MA, Joyce P, White N, Macnish A, Hoffman E, Irving D, Webb R, Joyce D. Impact of Fruit Maturity on Internal Disorders in Vapor Heat Treated Mango Cv. ‘B74’. Sustainability. 2024; 16(13):5472. https://doi.org/10.3390/su16135472
Chicago/Turabian StyleKhanal, Amit, Muhammad Asad Ullah, Priya Joyce, Neil White, Andrew Macnish, Eleanor Hoffman, Donald Irving, Richard Webb, and Daryl Joyce. 2024. "Impact of Fruit Maturity on Internal Disorders in Vapor Heat Treated Mango Cv. ‘B74’" Sustainability 16, no. 13: 5472. https://doi.org/10.3390/su16135472
APA StyleKhanal, A., Ullah, M. A., Joyce, P., White, N., Macnish, A., Hoffman, E., Irving, D., Webb, R., & Joyce, D. (2024). Impact of Fruit Maturity on Internal Disorders in Vapor Heat Treated Mango Cv. ‘B74’. Sustainability, 16(13), 5472. https://doi.org/10.3390/su16135472

