Optimizing Tomato Cultivation: Impact of Ammonium–Nitrate Ratios on Growth, Nutrient Uptake, and Fertilizer Utilization
Abstract
1. Introduction
2. Materials and Methods
2.1. Experimental Materials
2.2. Experimental Design
- C: No nitrogen fertilizer treatment;
- A0N100: Nitrogen mass ratio of ammonium nitrogen and nitrate nitrogen 0:100;
- A25N75: Nitrogen mass ratio of ammonium nitrogen and nitrate nitrogen 25:75;
- A50N50: Nitrogen mass ratio of ammonium nitrogen and nitrate nitrogen 50:50;
- A75N25: Nitrogen mass ratio of ammonium nitrogen and nitrate nitrogen 75:25;
- A100N0: Nitrogen mass ratio of ammonium nitrogen and nitrate nitrogen 100:0.
2.3. Sample Collection and Processing
2.4. Data Processing and Analysis
3. Results
3.1. Growth Traits
3.2. Yield
3.3. Quality
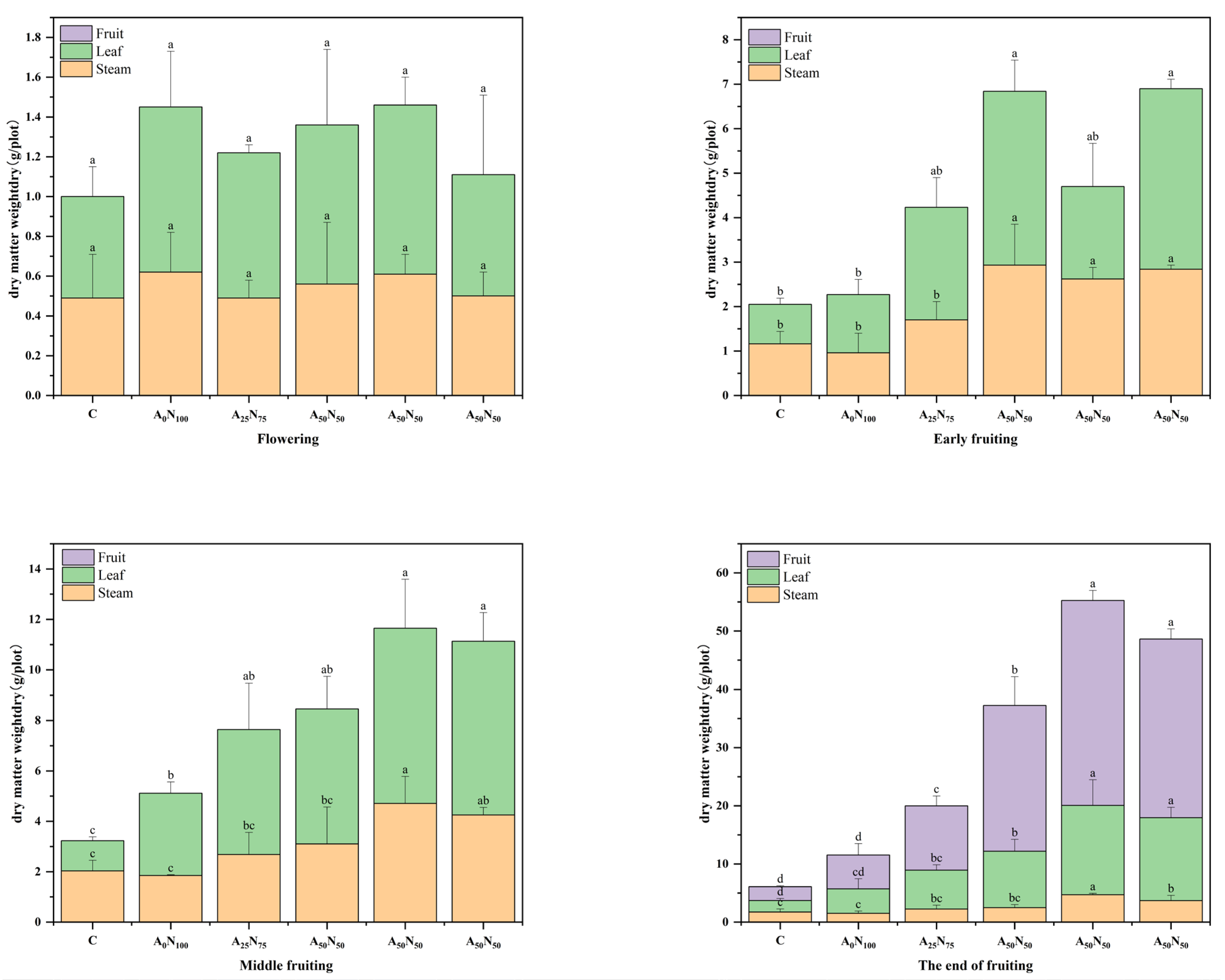
3.4. Dry Matter Accumulation
3.5. Nutrient Accumulation



3.6. Nitrogen Fertilizer Utilization Rate
4. Discussion
5. Conclusions
Author Contributions
Funding
Institutional Review Board Statement
Informed Consent Statement
Data Availability Statement
Conflicts of Interest
References
- Kushwaha, P.; Choudhri, H.P.S.; Singh, G. A Study on the Farm Asset Structures, Cropping Pattern and Cropping Intensity of Sample Farms in Ghazipur District of Eastern Uttar Pradesh, India. Int. J. Curr. Microbiol. Appl. Sci. 2018, 7, 971–978. [Google Scholar] [CrossRef][Green Version]
- Shanmukhi, C.; Reddy, M.; Rao, A.D.; Babu, P.A. Frequency of Pickings and Yield Characteristics as Influenced by Fertigation at Varied Planting Densities in Processing Tomato Varieties. Int. J. Curr. Microbiol. Appl. Sci. 2018, 7, 651–661. [Google Scholar] [CrossRef]
- Taiz, L.; Zeiger, E.; Møller, I.M.; Murphy, A. Plant Physiology and Development; CABI: Wallingford, CT, USA, 2015. [Google Scholar]
- Chen, J.; Li, J.; Li, W.; Li, P.; Zhu, R.; Zhong, Y.; Zhang, W.; Li, T. The optimal ammonia-nitrate ratio for various crops: A Meta-analysis. Field Crops Res. 2024, 307, 109240. [Google Scholar] [CrossRef]
- Zheng, C.; Huang, J.; Bin-Shafique, S.; Matamoros, A. Performance Evaluation for Cohesionless Soil Stabilized with Lignin and Polymerized Lignin. Geotech. Test. J. 2024, 47, GTJ20220260. [Google Scholar] [CrossRef]
- Sarker, D.; Apu, O.S.; Kumar, N.; Wang, J.X.; Lynam, J.G. Sustainable Lignin to Enhance Engineering Properties of Unsaturated Expansive Subgrade Soils. J. Mater. Civ. Eng. 2023, 35, 04023259. [Google Scholar] [CrossRef]
- Li, P.; Lu, J.; Hou, W.; Pan, Y.; Wang, Y.; Khan, M.R.; Ren, T.; Cong, R.; Li, X. Reducing nitrogen losses through ammonia volatilization and surface runoff to improve apparent nitrogen recovery of double cropping of late rice using controlled release urea. Environ. Sci. Pollut. Res. 2017, 24, 11722–11733. [Google Scholar] [CrossRef] [PubMed]
- Li, G.; Zhang, L.; Wu, J.; Wang, Z.; Wang, M.; Kronzucker, H.J.; Shi, W. Plant iron status regulates ammonium-use efficiency through protein N-glycosylation. Plant Physiol. 2024, 2, kiae103. [Google Scholar] [CrossRef] [PubMed]
- Ding, L.; Lu, Z.; Gao, L.; Guo, S.; Shen, Q. Is nitrogen a key determinant of water transport and photosynthesis in higher plants upon drought stress? Front. Plant Sci. 2018, 9, 372304. [Google Scholar] [CrossRef] [PubMed]
- Deshmukh, R.; Sonah, H.; Belanger, R.R. New evidence defining the evolutionary path of aquaporins regulating silicon uptake in land plants. J. Exp. Bot. 2020, 71, 6775–6788. [Google Scholar] [CrossRef]
- Billah, M.; Khan, M.; Bano, A.; Hassan, T.U.; Munir, A.; Gurmani, A.R. Phosphorus and phosphate solubilizing bacteria: Keys for sustainable agriculture. Geomicrobiol. J. 2019, 36, 904–916. [Google Scholar] [CrossRef]
- Xun, Z.; Guo, X.; Li, Y.; Wen, X.; Wang, C.; Wang, Y. Quantitative proteomics analysis of tomato growth inhibition by ammonium nitrogen. Plant Physiol. Biochem. 2020, 154, 129–141. [Google Scholar] [CrossRef]
- Zhou, S.; Chang, T.; Zhang, Y.; Shaghaleh, H.; Zhang, J.; Yang, X.; Qin, H.; Talpur, M.M.A.; Hamoud, Y.A. Organic fertilizer compost alters the microbial composition and network structure in strongly acidic soil. Appl. Soil Ecol. 2024, 195, 105263. [Google Scholar] [CrossRef]
- Liu, G.; Du, Q.; Li, J. Interactive effects of nitrate-ammonium ratios and temperatures on growth, photosynthesis, and nitrogen metabolism of tomato seedlings. Sci. Hortic. 2017, 214, 41–50. [Google Scholar] [CrossRef]
- Sánchez, J.; Albornoz, F.; Contreras, S. High nitrogen fertilization decreases seed weight but increases longevity in tomato seeds. Horticulturae 2022, 8, 942. [Google Scholar] [CrossRef]
- Liu, W.; Muzolf-Panek, M.; Kleiber, T. Effect of Varied Nitrogen Sources and Type of Cultivation on the Yield and Physicochemical Parameters of Flowering Chinese Cabbage (Brassica campestris L. ssp. chinensis var. utilis Tsen et Lee). Appl. Sci. 2023, 13, 5691. [Google Scholar] [CrossRef]
- Lei, H.; Zhang, J.; Jia, C.; Feng, J.; Liang, L.; Cheng, Q.; Li, T.; Hao, J. Foliar application of fish protein peptide improved the quality of deep-netted melon. J. Plant Nutr. 2023, 46, 3683–3696. [Google Scholar] [CrossRef]
- Zhang, L.; Zhang, F.; Wang, Y.; Ma, X.; Shen, Y.; Wang, X.; Yang, H.; Zhang, W.; Lakshmanan, P.; Hu, Y. Physiological and metabolomic analysis reveals maturity stage-dependent nitrogen regulation of vitamin C content in pepper fruit. Front. Plant Sci. 2023, 13, 1049785. [Google Scholar] [CrossRef] [PubMed]
- Amirahmadi, E.; Ghorbani, M.; Moudrý, J.; Konvalina, P.; Kopecký, M. Impacts of environmental factors and nutrients management on tomato grown under controlled and open field conditions. Agronomy 2023, 13, 916. [Google Scholar] [CrossRef]
- Talpur, M.M.A.; Shaghaleh, H.; Ali Adam Hamad, A.; Chang, T.; Zia-ur-Rehman, M.; Usman, M.; Alhaj Hamoud, Y. Effect of Planting Geometry on Growth, Water Productivity, and Fruit Quality of Tomatoes under Different Soil Moisture Regimes. Sustainability 2023, 15, 9526. [Google Scholar] [CrossRef]
- Saleem, S.; Mushtaq, N.U.; Rasool, A.; Shah, W.H.; Tahir, I.; Rehman, R.U. Plant nutrition and soil fertility: Physiological and molecular avenues for crop improvement. In Sustainable Plant Nutrition; Elsevier: Amsterdam, The Netherlands, 2023; pp. 23–49. [Google Scholar]
- Almeida, L.G.d.; Cardoso, A.I.I.; Candian, J.S.; Grassi Filho, H.; Sartori, M.M.P. Growth and macronutrient accumulation in tomato cultivated in an organic system. Hortic. Bras. 2023, 41, e2532. [Google Scholar] [CrossRef]
- Pachlaniya, N.; Jain, R.; Shukla, A. Evaluations of soil fertility status of available major nutrients and micro nutrients in vertisol of indore district of madhya pradesh india. Plant Arch. 2023, 23, 100–104. [Google Scholar] [CrossRef]
- Veringa, D.; Dumitrescu, I.L.; Bogoescu, M. The effect of storage conditions on some tomato varieties, during the postharvest period. Not. Bot. Horti Agrobot. 2023, 51, 13027. [Google Scholar] [CrossRef]
- Shrivastav, P.; Prasad, M.; Singh, T.B.; Yadav, A.; Goyal, D.; Ali, A.; Dantu, P.K. Role of nutrients in plant growth and development. In Contaminants in Agriculture: Sources, Impacts and Management; Springer: Berlin/Heidelberg, Germany, 2020; pp. 43–59. [Google Scholar]
- Sobrinho, O.P.L.; dos Santos, L.N.S.; Soares, F.A.L. Physical and physicochemical characteristics of tomato fruits grown under different irrigation water levels and phosphorus sources and rates. Emir. J. Food Agric. 2022, 34, 717–730. [Google Scholar] [CrossRef]
- Miswan, M.S.; Hamdan, R.; Azman, M.H.A.; Aziz, N.A.A.; Siddiqui, Z. Determination of Nitrogen, Phosphorus and Potassium in Soil and Plant Due to Husbandry Farming in Parit Rasipan Drainage System. Int. J. Sustain. Constr. Eng. Technol. 2023, 14, 197–204. [Google Scholar] [CrossRef]
- Mazumder, M.N.N.; Misran, A.; Ding, P.; Wahab, P.E.M.; Mohamad, A. Effect of harvesting stages and calcium chloride application on postharvest quality of tomato fruits. Coatings 2021, 11, 1445. [Google Scholar] [CrossRef]
- Hamad, S.; Shanan, S.; Mohammed, A.; AE Ashmawi, A. Determination of the maturity stage and most proper age for harvesting the fruit of cherry tomato (Solanum lycopersicum var. cerasiforme). Al-Azhar J. Agric. Res. 2022, 47, 191–205. [Google Scholar]
- Feng, H.; Fan, X.; Miller, A.J.; Xu, G. Plant nitrogen uptake and assimilation: Regulation of cellular pH homeostasis. J. Exp. Bot. 2020, 71, 4380–4392. [Google Scholar] [CrossRef] [PubMed]
- Jing, B.; Shi, W.; Diao, M. Nitrogen application levels based on critical nitrogen absorption regulate processing tomatoes productivity, nitrogen uptake, nitrate distributions, and root growth in Xinjiang, China. J. Arid Land 2023, 15, 1231–1244. [Google Scholar] [CrossRef]
- Rodriguez-Ortega, W.M.; Martinez, V.; Nieves, M.; Camara-Zapata, J.M.; Garcia-Sanchez, F. Agronomic and Physiological Responses of Tomato Plants Grown in Different Soilless Systems to Saline Conditions; PeerJ Preprints: London, UK; San Diego, CA, USA, 2017; pp. 1–33. [Google Scholar]
- Cohen, I.; Halpern, M.; Yermiyahu, U.; Bar-Tal, A.; Gendler, T.; Rachmilevitch, S. CO2 and nitrogen interaction alters root anatomy, morphology, nitrogen partitioning and photosynthetic acclimation of tomato plants. Planta 2019, 250, 1423–1432. [Google Scholar] [CrossRef]
- Ferrise, R.; Triossi, A.; Stratonovitch, P.; Bindi, M.; Martre, P. Sowing date and nitrogen fertilisation effects on dry matter and nitrogen dynamics for durum wheat: An experimental and simulation study. Field Crops Res. 2010, 117, 245–257. [Google Scholar] [CrossRef]
- Fernández-Crespo, E.; Scalschi, L.; Llorens, E.; García-Agustín, P.; Camañes, G. NH4+ protects tomato plants against Pseudomonas syringae by activation of systemic acquired acclimation. J. Exp. Bot. 2015, 66, 6777–6790. [Google Scholar] [CrossRef] [PubMed]
- Heeb, A.; Lundegårdh, B.; Ericsson, T.; Savage, G.P. Nitrogen form affects yield and taste of tomatoes. J. Sci. Food Agric. 2005, 85, 1405–1414. [Google Scholar] [CrossRef]
- Basuchaudhuri, P. Physiology of Soybean Plant; CRC Press: Boca Raton, FL, USA, 2020. [Google Scholar]
- Zhang, M.; Liu, Y.; Wei, Q.; Gu, X.; Liu, L.; Gou, J. Biochar application ameliorated the nutrient content and fungal community structure in different yellow soil depths in the karst area of Southwest China. Front. Plant Sci. 2022, 13, 1020832. [Google Scholar] [CrossRef] [PubMed]
- Liu, X.-Y.; Wang, D.-M.; Zhang, Z.-Z.; Zhang, P.; Fan, T.-T. Effect of Biochar with Phosphorus Fertilizer on Soil Nutrients, Enzyme Activity, and Nutrient Uptake of Alfalfa. Huan Jing Ke Xue = Huanjing Kexue 2023, 44, 4162–4169. [Google Scholar] [PubMed]
- Yuan, F.; Li, K.-Y.; Yang, H.; Deng, C.-J.; Liang, H.; Song, L.-H. Effects of biochar application on yellow soil nutrients and enzyme activities. Huan Jing Ke Xue = Huanjing Kexue 2022, 43, 4655–4661. [Google Scholar]
- Bai, M.-X.; Situ, G.-M.; Li, S.-H.; Wu, Q.-F.; Liang, C.-F.; Qin, H.; Chen, J.-H. Effects of combined application of biochar with organic amendments on enzyme activity and microbial metabolic function of carbon sources in infertile red soil. Ying Yong Sheng Tai Xue Bao = J. Appl. Ecol. 2022, 33, 1283–1290. [Google Scholar]
- Li, C.; Yang, Z.; Zhang, C.; Luo, J.; Zhang, F.; Qiu, R. Effects of Nitrogen Application in Recovery Period after Different High Temperature Stress on Plant Growth of Greenhouse Tomato at Flowering and Fruiting Stages. Agronomy 2023, 13, 1439. [Google Scholar] [CrossRef]
- Scuderi, D.; Caturano, E.; Leonardi, C.; Giuffrida, F.; Cassaniti, C. Tomato yield, nitrogen uptake and use efficiency in relation to nitrogen fertilization levels. In Proceedings of the XXVIII International Horticultural Congress on Science and Horticulture for People (IHC2010), Lisbon, Portugal, 22–27 August 2010; pp. 149–154. [Google Scholar]
- Plaza, B.M.; Lao, M.T.; Jiménez-Becker, S. Fertigation strategies to alleviate fertilizer contamination generated by tomato crops under plastic greenhouses. Agronomy 2021, 11, 444. [Google Scholar] [CrossRef]


| Characteristics | C | A0N100 | A25N75 | A50N50 | A100N0 |
|---|---|---|---|---|---|
| Number of fruit sets | 1.33 ± 0.58 b | 1.67 ± 0.58 b | 2.67 ± 0.58 b | 6.67 ± 1.15 a | 7.33 ± 0.58 a |
| Single fruit weight (g) | 14.74 ± 5.63 c | 21.58 ± 3.39 b | 24.17 ± 1.45 b | 27.51 ± 3.95 b | 44.97 ± 3.73 a |
| Yield (g plot−1) | 21.81 ± 17.83 c | 34.7 ± 8.19 c | 64.82 ± 16.55 c | 180.35 ± 3.24 b | 328.51 ± 12.39 a |
| Characteristics | C | A0N100 | A25N75 | A50N50 | A75N25 | A100N0 |
|---|---|---|---|---|---|---|
| Anthesis | ||||||
| Plant height (cm) | 30.97 ± 1.78 a | 26.91 ± 5.56 a | 27.64 ± 1.87 a | 27.08 ± 5.08 a | 27.76 ± 3.49 a | 31.05 ± 3.06 a |
| Stem thickness (mm) | 4.01 ± 0.05 b | 4.02 ± 0.17 b | 4.10 ± 0.41 b | 3.90 ± 0.21 b | 4.07 ± 0.18 b | 4.51 ± 0.02 a |
| Early Fruiting Stage | ||||||
| Plant height (cm) | 48.06 ± 3.99 c | 46.24 ± 4.23 c | 51.14 ± 1.43 bc | 55.93 ± 7.36 ab | 58.09 ± 3.09 ab | 61.02 ± 1.99 a |
| Stem thickness (mm) | 4.71 ± 0.22 bc | 4.22 ± 0.08 c | 4.79 ± 0.38 b | 4.82 ± 0.53 b | 5.21 ± 0.1 a | 5.61 ± 0.1 a |
| Mid-term Fruiting Stage | ||||||
| Plant height (cm) | 54.33 ± 2.68 bc | 48.30 ± 5.12 c | 59.70 ± 5.57 ab | 65.26 ± 9.49 ab | 65.28 ± 1.68 ab | 70.04 ± 8.02 a |
| Stem thickness (mm) | 4.71 ± 0.1 c | 4.3 ± 0.1 c | 4.65 ± 0.26 bc | 5.12 ± 0.34 b | 5.51 ± 0.15 ab | 5.79 ± 0.28 a |
| End of Fruiting Stage | ||||||
| Plant height (cm) | 52.20 ± 7.89 b | 50.27 ± 8.95 b | 61.10 ± 6.38 ab | 63.17 ± 13.50 ab | 79.93 ± 10.26 a | 70.23 ± 13.02 a |
| Stem thickness (mm) | 5.02 ± 0.3 b | 4.46 ± 0.52 b | 5.15 ± 0.07 ab | 5.34 ± 0.31 ab | 5.71 ± 0.37 a | 5.65 ± 0.69 a |
| Characteristics | C | A0N100 | A25N75 | A50N50 | A75N25 | A100N0 |
|---|---|---|---|---|---|---|
| Titratable acid (%) | 0.19 ± 0.01 b | 0.24 ± 0.01 ab | 0.26 ± 0.02 a | 0.26 ± 0.01 a | 0.27 ± 0.05 a | 0.25 ± 0.02 a |
| Soluble sugar (%) | 2.49 ± 0.02 f | 3.2 ± 0.02 d | 3.45 ± 0.04 c | 3.44 ± 0.04 c | 3.68 ± 0.03 a | 3.53 ± 0.08 b |
| Soluble solids (%) | 5.64 ± 0.1 d | 6.31 ± 0.04 c | 6.4 ± 0.03 b | 6.28 ± 0.03 c | 6.5 ± 0.01 a | 6.47 ± 0.03 ab |
| Vitamin C (Vc) (mg 100 g−1) | 21.11 ± 0.51 b | 23.56 ± 0.02 a | 23.55 ± 0.04 a | 23.56 ± 0.04 a | 23.66 ± 0.04 a | 23.56 ± 0.02 a |
| Sugar–acid ratio | 12.89 ± 0.67 b | 13.56 ± 0.66 ab | 13.12 ± 0.71 b | 13.44 ± 0.7 ab | 13.95 ± 2.68 a | 13.94 ± 0.99 a |
Disclaimer/Publisher’s Note: The statements, opinions and data contained in all publications are solely those of the individual author(s) and contributor(s) and not of MDPI and/or the editor(s). MDPI and/or the editor(s) disclaim responsibility for any injury to people or property resulting from any ideas, methods, instructions or products referred to in the content. |
© 2024 by the authors. Licensee MDPI, Basel, Switzerland. This article is an open access article distributed under the terms and conditions of the Creative Commons Attribution (CC BY) license (https://creativecommons.org/licenses/by/4.0/).
Share and Cite
Wang, C.; Wu, G.; Wang, H.; Wang, J.; Yuan, M.; Guo, X.; Liu, C.; Xing, S.; Sun, Y.; Talpur, M.M.A. Optimizing Tomato Cultivation: Impact of Ammonium–Nitrate Ratios on Growth, Nutrient Uptake, and Fertilizer Utilization. Sustainability 2024, 16, 5373. https://doi.org/10.3390/su16135373
Wang C, Wu G, Wang H, Wang J, Yuan M, Guo X, Liu C, Xing S, Sun Y, Talpur MMA. Optimizing Tomato Cultivation: Impact of Ammonium–Nitrate Ratios on Growth, Nutrient Uptake, and Fertilizer Utilization. Sustainability. 2024; 16(13):5373. https://doi.org/10.3390/su16135373
Chicago/Turabian StyleWang, Chengshun, Gang Wu, Hong Wang, Jiabao Wang, Manman Yuan, Xiong Guo, Chuang Liu, Suzhi Xing, Yixiang Sun, and Mir Moazzam Ali Talpur. 2024. "Optimizing Tomato Cultivation: Impact of Ammonium–Nitrate Ratios on Growth, Nutrient Uptake, and Fertilizer Utilization" Sustainability 16, no. 13: 5373. https://doi.org/10.3390/su16135373
APA StyleWang, C., Wu, G., Wang, H., Wang, J., Yuan, M., Guo, X., Liu, C., Xing, S., Sun, Y., & Talpur, M. M. A. (2024). Optimizing Tomato Cultivation: Impact of Ammonium–Nitrate Ratios on Growth, Nutrient Uptake, and Fertilizer Utilization. Sustainability, 16(13), 5373. https://doi.org/10.3390/su16135373

