A Multi-Hazard Climate, Displacement and Socio-Vulnerability Score for New York City
Abstract
:1. Introduction
2. Materials and Methods
2.1. The FEMA National Risk Index (NRI)
2.2. The New York City Displacement Dataset
2.3. The Social Vulnerability SoVI Dataset
2.4. Computation of the Climate Displacement and Socio-Vulnerability (CDSV) Score
3. Results
3.1. Spatial Analysis
3.2. Temporal Analysis
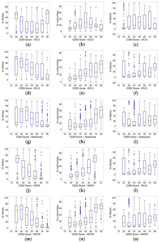
3.3. CDSV and Racial, Ethnic and Health Factors
4. Discussion
5. Conclusions
Supplementary Materials
Author Contributions
Funding
Institutional Review Board Statement
Informed Consent Statement
Data Availability Statement
Acknowledgments
Conflicts of Interest
References
- Stoutenburg, J.G. Jane McAdam (ed.), Climate Change and Displacement. Multidisciplinary Perspectives. Eur. J. Int. Law 2011, 22, 1196–1200. [Google Scholar] [CrossRef]
- Marandi, A.; Main, K.L. Vulnerable City, recipient city, or climate destination? Towards a typology of domestic climate migration impacts in US cities. J. Environ. Stud. Sci. 2021, 11, 465–480. [Google Scholar] [CrossRef] [PubMed]
- Aune, K.T.; Gesch, D.; Smith, G.S. A spatial analysis of climate gentrification in Orleans Parish, Louisiana post-Hurricane Katrina. Environ. Res. 2020, 185, 109384. [Google Scholar] [CrossRef] [PubMed]
- Keenan, J.M.; Hill, T.; Gumber, A. Climate gentrification: From theory to empiricism in Miami-Dade County, Florida. Environ. Res. Lett. 2018, 13, 054001. [Google Scholar] [CrossRef]
- Agrawal, A.; Redford, K. Conservation and Displacement. Conserv. Soc. 2009, 7, 1–10. [Google Scholar] [CrossRef]
- Hunter, L.M.; Koning, S.; Fussell, E.; King, B.; Rishworth, A.; Merdjanoff, A.; Muttarak, R.; Riosmena, F.; Simon, D.H.; Skop, E.; et al. Scales and sensitivities in climate vulnerability, displacement, and health. Popul. Environ. 2021, 43, 61–81. [Google Scholar] [CrossRef]
- Hiraide, L.A. Climate refugees: A useful concept? Towards an alternative vocabulary of ecological displacement. Politics 2022, 43, 267–282. [Google Scholar] [CrossRef]
- Miller, J.T.; Vu, A.T. Emerging research methods in environmental displacement and forced migration research. Geogr. Compass 2021, 15, e12558. [Google Scholar] [CrossRef]
- de Sherbinin, A.; Levy, M.; Adamo, S.; MacManus, K.; Yetman, G.; Mara, V.; Razafindrazay, L.; Goodrich, B.; Srebotnjak, T.; Aichele, C.; et al. Global Estimated Net Migration Grids by Decade: 1970–2000; NASA Socioeconomic Data and Applications Center (SEDAC): Palisades, NY, USA, 2015. [Google Scholar] [CrossRef]
- Rising, J.; Tedesco, M.; Piontek, F.; Stainforth, D.A. The missing risks of climate change. Nature 2022, 610, 643–651. [Google Scholar] [CrossRef]
- Nayak, S.; Shrestha, S.; Kinney, P.; Ross, Z.; Sheridan, S.; Pantea, C.; Hsu, W.; Muscatiello, N.; Hwang, S. Development of a heat vulnerability index for New York State. Public Health 2018, 161, 127–137. [Google Scholar] [CrossRef]
- Malakar, K.; Mishra, T. Assessing socio-economic vulnerability to climate change: A city-level index-based approach. Clim. Dev. 2017, 9, 348–363. [Google Scholar] [CrossRef]
- Tedesco, M.; Keenan, J.M.; Hultquist, C. Measuring, mapping, and anticipating climate gentrification in Florida: Miami and Tampa case studies. Cities 2022, 131, 103991. [Google Scholar] [CrossRef]
- Freitas, C.R.; D’avignon, A.L.d.A.; Castro, A.C. Urban social vulnerability and climate change in Rio de Janeiro city associated with population mobility. J. Environ. Policy Plan. 2019, 21, 797–810. [Google Scholar] [CrossRef]
- Balica, S.F.; Wright, N.G.; Van Der Meulen, F. A flood vulnerability index for coastal cities and its use in assessing climate change impacts. Nat. Hazards 2012, 64, 73–105. [Google Scholar] [CrossRef]
- Johnson, D.P.; Stanforth, A.; Lulla, V.; Luber, G. Developing an applied extreme heat vulnerability index utilizing socioeconomic and environmental data. Appl. Geogr. 2012, 35, 23–31. [Google Scholar] [CrossRef]
- Reckien, D. What is in an index? Construction method, data metric, and weighting scheme determine the outcome of composite social vulnerability indices in New York City. Reg. Environ. Chang. 2018, 18, 1439–1451. [Google Scholar] [CrossRef]
- Keenan, J.M.; Bradt, J.T. Underwaterwriting: From theory to empiricism in regional mortgage markets in the U.S. Clim. Chang. 2020, 162, 2043–2067. [Google Scholar] [CrossRef]
- Anderson, G.B.; Oleson, K.W.; Jones, B.; Peng, R.D. Projected trends in high-mortality heatwaves under different scenarios of climate, population, and adaptation in 82 US communities. Clim. Chang. 2018, 146, 455–470. [Google Scholar] [CrossRef]
- Cutter, S.L. The Role of Vulnerability Science in Disaster Preparedness and Response. 2005. Available online: https://www.researchgate.net/publication/268289781_The_Role_of_Vulnerability_Science_in_Disaster_Preparedness_and_Response (accessed on 13 December 2023).
- Cutter, S.L.; Boruff, B.J.; Shirley, W.L. Social Vulnerability to Environmental Hazards. Soc. Sci. Q. 2003, 84, 242–261. [Google Scholar] [CrossRef]
- Beccari, B.; Frison, S.; Smith, J.; Blanchet, K. A Comparative Analysis of Disaster Risk, Vulnerability and Resilience Composite Indicators. PLoS Curr. 2016, 8. [Google Scholar] [CrossRef]
- Zhou, P.; Ang, B.W. Comparing MCDA Aggregation Methods in Constructing Composite Indicators Using the Shannon-Spearman Measure. Soc. Indic. Res. 2009, 94, 83–96. [Google Scholar] [CrossRef]
- Abson, D.J.; Dougill, A.J.; Stringer, L.C. Using Principal Component Analysis for information-rich socio-ecological vulnerability mapping in Southern Africa. Appl. Geogr. 2012, 35, 515–524. [Google Scholar] [CrossRef]
- Sillmann, J.; Aunan, K.; Emberson, L.; Bueker, P.; Van Oort, B.; O’neill, C.; Otero, N.; Pandey, D.; Brisebois, A. Combined impacts of climate and air pollution on human health and agricultural productivity. Environ. Res. Lett. 2021, 16, 093004. [Google Scholar] [CrossRef]
- Wu, J. Advances in K-Means Clustering: A Data Mining Thinking; Springer: Heidelberg/Berlin, Germany, 2012. [Google Scholar]
- Nuzzo, R.L. The Box Plots Alternative for Visualizing Quantitative Data. PM&R 2016, 8, 268–272. [Google Scholar] [CrossRef]
- Madrigano, J.; Ito, K.; Johnson, S.; Kinney, P.L.; Matte, T. A Case-Only Study of Vulnerability to Heat Wave–RelatedMortality in New York City (2000–2011). Environ. Health Perspect. 2015, 123, 672–678. [Google Scholar] [CrossRef] [PubMed]
- Shi, L.; Fisher, A.; Brenner, R.M.; Greiner-Safi, A.; Shepard, C.; Vanucchi, J. Equitable buyouts? Learning from state, county, and local floodplain management programs. Clim. Chang. 2022, 174, 29. [Google Scholar] [CrossRef] [PubMed]
- McGhee, D.J.; Binder, S.B.; Albright, E.A. First, Do No Harm: Evaluating the Vulnerability Reduction of Post-Disaster Home Buyout Programs. Nat. Hazards Rev. 2020, 21, 05019002. [Google Scholar] [CrossRef]
- Elliott, J.R.; Wang, Z. Managed retreat: A nationwide study of the local, racially segmented resettlement of homeowners from rising flood risks. Environ. Res. Lett. 2023, 18, 064050. [Google Scholar] [CrossRef]
- Shokry, G.; Anguelovski, I.; Connolly, J.J.T.; Maroko, A.; Pearsall, H. “They Didn’t See It Coming”: Green Resilience Planning and Vulnerability to Future Climate Gentrification. Hous. Policy Debate 2022, 32, 211–245. [Google Scholar] [CrossRef]
- Triguero-Mas, M.; Anguelovski, I.; Connolly, J.J.T.; Martin, N.; Matheney, A.; Cole, H.V.S.; Pérez-Del-Pulgar, C.; García-Lamarca, M.; Shokry, G.; Argüelles, L.; et al. Exploring green gentrification in 28 global North cities: The role of urban parks and other types of greenspaces. Environ. Res. Lett. 2022, 17, 104035. [Google Scholar] [CrossRef]










| Rank | Coastal Flooding | Riverine Flooding | Heatwaves | Hurricanes | Winter Weather | |||||
|---|---|---|---|---|---|---|---|---|---|---|
| Score | FIPS | Score | FIPS | Score | FIPS | Score | FIPS | Score | FIPS | |
| 1 | 75.00 | 36047036002 | 81.00 | 36005005300 | 78.34 | 36061027700 | 60.34 | 36081038302 | 53.34 | 36061027700 | 
| 2 | 72.67 | 36047038200 | 79.67 | 36047034000 | 75.67 | 36061000600 | 59.00 | 36047029400 | 50.67 | 36061000600 | 
| 3 | 72.34 | 36047061004 | 78.00 | 36005001900 | 75.67 | 36061000600 | 58.34 | 36047036002 | 50.67 | 36061000600 | 
| 4 | 70.34 | 36047060800 | 76.67 | 36081038302 | 75.67 | 36047029400 | 57.34 | 36081044301 | 57.34 | 36005014702 | 
| 5 | 68.67 | 36047061200 | 75.00 | 36047034200 | 75.00 | 36061000800 | 57.34 | 36005014702 | 57.34 | 36005014701 | 
| 6 | 68.34 | 36081038302 | 74.00 | 36061017000 | 75.00 | 36061000800 | 57.34 | 36005014701 | 57.34 | 36005023704 | 
| 7 | 67.34 | 36047029400 | 73.67 | 36047033000 | 75.00 | 36047036002 | 57.34 | 36005023704 | 57.00 | 36005002300 | 
| 8 | 64.67 | 36047097400 | 73.34 | 36047032600 | 74.34 | 36061029100 | 57.34 | 36005015900 | 56.67 | 36061024302 | 
| 9 | 64.67 | 36047111000 | 73.34 | 36061024302 | 74.00 | 36081044301 | 57.00 | 36005002300 | 56.67 | 36061024302 | 
| 10 | 64.34 | 36047110600 | 73.34 | 36061024302 | 74.00 | See note * | 57.00 | 36047090800 | 56.67 | 36005006700 | 
| FIPS | CVSD Instances | Tot. Pop. | % Pov | % Unemp | PCI (USD) | % NHSD. | % 65 Yrs | % 17 Yrs | % Disab. | % Sngpr | % Minrty | % LimEn | % M-Unit | % Crowd | % No Veh | 
|---|---|---|---|---|---|---|---|---|---|---|---|---|---|---|---|
| 36061024302 | 4 | 7601 | 49.3 | 27.7 | 10,982 | 34 | 11.1 | 30.2 | 18.9 | 31.8 | 99.8 | 16.6 | 95.6 | 5.4 | 85.3 | 
| 36005023704 | 3 | 4142 | 52.4 | 12.2 | 11,675 | 39.2 | 6.7 | 30.6 | 16.9 | 31.7 | 99.3 | 31.9 | 91 | 19.8 | 82.2 | 
| 36061000600 | 3 | 10,765 | 39.3 | 10.7 | 14,554 | 49.8 | 26.3 | 17.9 | 26 | 7.7 | 95.6 | 43.8 | 90.3 | 5.1 | 81.2 | 
| 36047029400 | 3 | 2460 | 27.3 | 11.8 | 22,011 | 27 | 30.8 | 13.5 | 34.9 | 8.2 | 43.9 | 24.1 | 54.2 | 15 | 55.5 | 
| 36047036002 | 3 | 4062 | 42.7 | 15.7 | 17,489 | 9.1 | 37.2 | 13.4 | 29 | 2.1 | 12.2 | 49.8 | 93.3 | 13.9 | 69.4 | 
| Disclaimer/Publisher’s Note: The statements, opinions and data contained in all publications are solely those of the individual author(s) and contributor(s) and not of MDPI and/or the editor(s). MDPI and/or the editor(s) disclaim responsibility for any injury to people or property resulting from any ideas, methods, instructions or products referred to in the content. | 
© 2023 by the authors. Licensee MDPI, Basel, Switzerland. This article is an open access article distributed under the terms and conditions of the Creative Commons Attribution (CC BY) license (https://creativecommons.org/licenses/by/4.0/).
Share and Cite
Tedesco, M.; Foster, S.; Baptista, A.; Zuzak, C. A Multi-Hazard Climate, Displacement and Socio-Vulnerability Score for New York City. Sustainability 2024, 16, 42. https://doi.org/10.3390/su16010042
Tedesco M, Foster S, Baptista A, Zuzak C. A Multi-Hazard Climate, Displacement and Socio-Vulnerability Score for New York City. Sustainability. 2024; 16(1):42. https://doi.org/10.3390/su16010042
Chicago/Turabian StyleTedesco, Marco, Sheila Foster, Ana Baptista, and Casey Zuzak. 2024. "A Multi-Hazard Climate, Displacement and Socio-Vulnerability Score for New York City" Sustainability 16, no. 1: 42. https://doi.org/10.3390/su16010042
APA StyleTedesco, M., Foster, S., Baptista, A., & Zuzak, C. (2024). A Multi-Hazard Climate, Displacement and Socio-Vulnerability Score for New York City. Sustainability, 16(1), 42. https://doi.org/10.3390/su16010042
 
        



 
       