Multi-Objective Control Strategy for Switched Reluctance Generators in Small-Scale Wind Power Generations
Abstract
1. Introduction
- The output power can meet the users’ requirement and remains stable under the dynamic changes of wind speed. The entire optimization system can keep up with dynamic changes in wind speed.
- A multi-objective function including system efficiency, voltage ripple and power converter loss is constructed, which avoids the disadvantage of single-objective optimization. The overall performance of SRG is improved by online adjustment of the turn-on angle.
- The proposed strategy can be flexibly applied to SRG with different structures and does not require complex mathematical models. The optimization system is stable and easy to implement, which is conducive to the promotion of SRG in wind power generation.
2. Operating Principles of SRG
2.1. Characteristics of Power Generation
2.2. Characteristics of Efficiency
2.3. Characteristics of Output Voltage Ripple
3. Multi-Objective Control
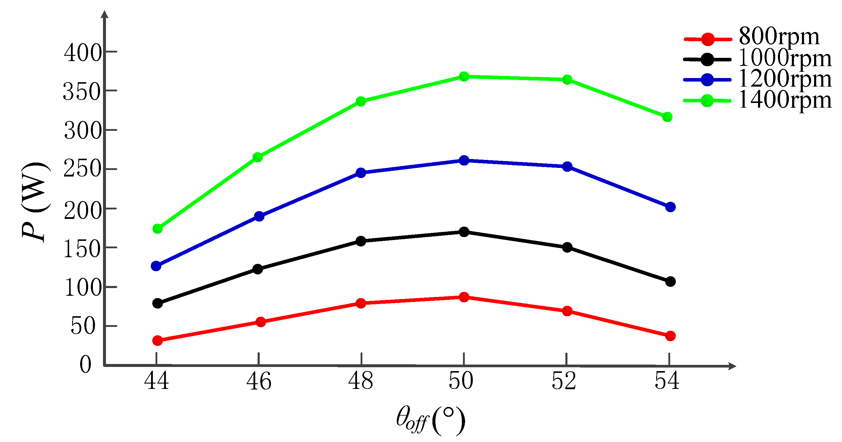
3.1. Off-Line Turn-Off Angle Optimization
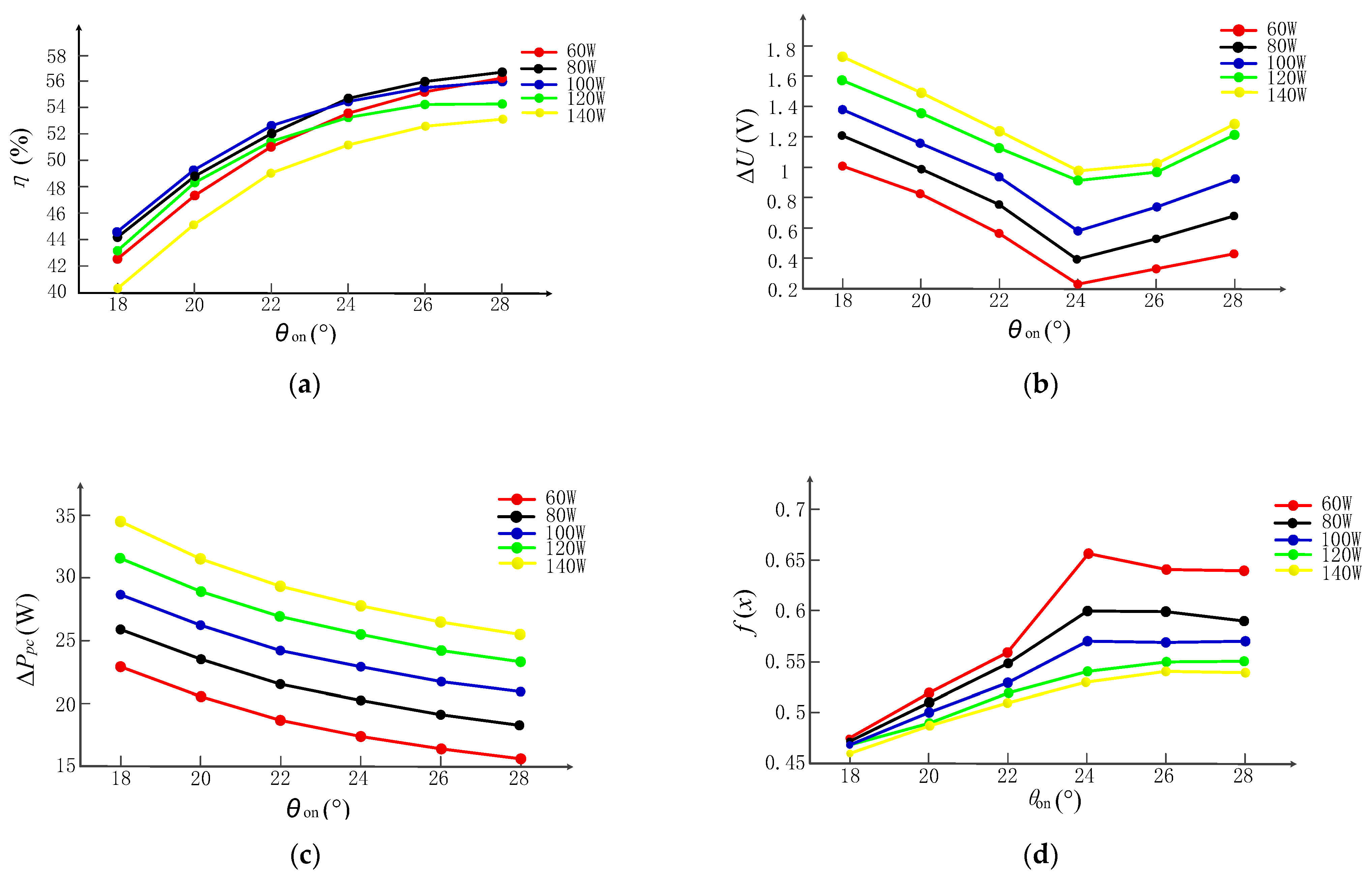
3.2. Multi-Objective Control and On-Line Turn-On Angle Tuning
- (i)
- According to the difference between the required output power P* and actual output voltage P(t), the reference current i* is regulated by the PI regulator.
- (ii)
- Throughout the optimization process, the turn-off angle θoff is calculated according to the real-time rotor speed in regulator2 by (12).
- (iii)
- After the actual output power P(t) reaches the target value P*, the controller evaluates the system performance according to (13) and (14).
- (iv)
- Finally, according to the evaluation in iii, the regulator1 tunes the turn-on angle on-line by SAA and the flow chart is shown as Figure 5.
4. Simulation Analysis
5. Experimental Verification
6. Conclusions
Author Contributions
Funding
Institutional Review Board Statement
Informed Consent Statement
Data Availability Statement
Conflicts of Interest
Nomenclature
| SRG, SRM | Switched reluctance generator, Switched reluctance machine |
| SAA | Simulated annealing algorithm |
| DC | Direct current |
| DPC | Direct power control |
| ASHB | Asymmetric half-bridge |
| P, Pm | The output power, Absorbed mechanical power |
| ΔW | Mechanical energy |
| UDC, IDC | DC bus voltage, Averaged output current |
| Uk, ik | Phase voltage, Phase current |
| m | Phase number |
| RL | Load |
| θon, θoff | Turn-on angle, Turn-off angle |
| θext | Angle positions where phase current extinguishes |
| RESR | Equivalent resistance |
| Nr | Rotor teeth number |
| ω | Angular velocity |
| k | Phase A, Phase B, Phase C, or Phase D |
| φx | The flux-linkage |
| Sx | The area surrounded by flux-link trajectories |
| Ppc-in, Ppc-out | The average input power of the converter, The average output power of the converter |
| ig, ie | Total delivered current, Exciting current |
| C | The output capacitance |
| d | The chopping frequency for phase current control |
| n | The actual rotor speed |
| η | System efficiency |
| ΔU | Output voltage ripple |
| ΔPPC, P*, P(t) | Power converter loss, The required output power, The actual output voltage |
| f(x) | Multi-objective evaluations |
References
- Li, S.; Zhang, S.; Habetler, T.G.; Harley, R.G. Modeling, Design Optimization, and Applications of Switched Reluctance Machines—A Review. IEEE Trans. Ind. Appl. 2019, 55, 2660–2681. [Google Scholar] [CrossRef]
- Bilgin, B.; Emadi, A. Electric Motors in Electrified Transportation: A step toward achieving a sustainable and highly efficient transportation system. IEEE Power Electron. Mag. 2014, 1, 10–17. [Google Scholar] [CrossRef]
- Bilgin, B.; Howey, B.; Callegaro, A.D.; Liang, J.; Kordic, M.; Taylor, J.; Emadi, A. Making the Case for Switched Reluctance Motors for Propulsion Applications. IEEE Trans. Veh. Technol. 2020, 69, 7172–7186. [Google Scholar] [CrossRef]
- Gan, C.; Wu, J.; Sun, Q.; Kong, W.; Li, H.; Hu, Y. A Review on Machine Topologies and Control Techniques for Low-Noise Switched Reluctance Motors in Electric Vehicle Applications. IEEE Access 2018, 6, 31430–31443. [Google Scholar] [CrossRef]
- Scalcon, F.P.; Fang, G.; Filho, C.J.V.; Grundling, H.A.; Vieira, R.P.; Nahid-Mobarakeh, B. A Review on Switched Reluctance Generators in Wind Power Applications: Fundamentals, Control and Future Trends. IEEE Access 2022, 10, 69412–69427. [Google Scholar] [CrossRef]
- Fang, G.; Scalcon, F.P.; Xiao, D.; Vieira, R.P.; Grundling, H.A.; Emadi, A. Advanced Control of Switched Reluctance Motors (SRMs): A Review on Current Regulation, Torque Control and Vibration Suppression. IEEE Open J. Ind. Electron. Soc. 2021, 2, 280–301. [Google Scholar] [CrossRef]
- Ye, J.; Malysz, P.; Emadi, A. A Fixed-Switching-Frequency Integral Sliding Mode Current Controller for Switched Reluctance Motor Drives. IEEE J. Emerg. Sel. Top. Power Electron. 2014, 3, 381–394. [Google Scholar] [CrossRef]
- Barros, T.A.D.S.; Neto, P.J.D.S.; Filho, P.S.N.; Moreira, A.B.; Filho, E.R. An Approach for Switched Reluctance Generator in a Wind Generation System With a Wide Range of Operation Speed. IEEE Trans. Power Electron. 2017, 32, 8277–8292. [Google Scholar] [CrossRef]
- Ling, L.; Dong, L.; Liao, X. Comparison of two control methods of switched reluctance generator. In Proceedings of the 2017 12th IEEE Conference on Industrial Electronics and Applications (ICIEA), Siem Reap, Cambodia, 18–20 June 2017; pp. 792–796. [Google Scholar]
- Kosmatin, P.; Miljavec, D.; Vončina, D. Increasing efficiency of the switched reluctance generator at low-speed operation. In Proceedings of the 2013 International Conference-Workshop Compatibility And Power Electronics, Ljubljana, Slovenia, 5–7 June 2013; pp. 197–202. [Google Scholar]
- Xiao, P.; Pan, J.; Wang, C.; Huang, R.; Fu, P. Dual-Loop Compensation Voltage Control for Linear Switched Reluctance Generators. In Proceedings of the 2019 22nd International Conference on Electrical Machines and Systems (ICEMS), Harbin, China, 11–14 August 2019; pp. 1–5. [Google Scholar]
- Araujo, W.R.; Ganzaroli, C.A.; Calixto, W.P.; Alves, A.J.; Viajante, G.P.; Reis, M.R.; Silveira, A.F. Firing angles optimization for Switched Reluctance Generator using Genetic Algorithms. In Proceedings of the 2013 13th International Conference on Environment and Electrical Engineering (EEEIC), Wroclaw, Poland, 1–3 November 2013; pp. 217–222. [Google Scholar]
- Choi, D.-W.; Byun, S.-I.; Cho, Y.-H. A Study on the Maximum Power Control Method of Switched Reluctance Generator for Wind Turbine. IEEE Trans. Magn. 2014, 50, 1–4. [Google Scholar] [CrossRef]
- Fan, B.; Liu, Y.; Li, Y.; Zhou, Z. Optimized control of SRG based on fuzzy logic by turn-on and turn-off angle. In Proceedings of the 2016 IEEE International Conference on Aircraft Utility Systems (AUS), Beijing, China, 10–12 October 2016; pp. 82–86. [Google Scholar]
- Sozer, Y.; Torrey, D. Closed Loop Control of Excitation Parameters for High Speed Switched-Reluctance Generators. IEEE Trans. Power Electron. 2004, 19, 355–362. [Google Scholar] [CrossRef]
- Shi, Z.; Sun, X.; Cai, Y.; Yang, Z. Robust Design Optimization of a Five-Phase PM Hub Motor for Fault-Tolerant Operation Based on Taguchi Method. IEEE Trans. Energy Convers. 2020, 35, 2036–2044. [Google Scholar] [CrossRef]
- Diao, K.; Sun, X.; Lei, G.; Bramerdorfer, G.; Guo, Y.; Zhu, J. System-Level Robust Design Optimization of a Switched Reluctance Motor Drive System Considering Multiple Driving Cycles. IEEE Trans. Energy Convers. 2020, 36, 348–357. [Google Scholar] [CrossRef]
- Zhu, X.; Wu, W.; Quan, L.; Xiang, Z.; Gu, W. Design and Multi-Objective Stratified Optimization of a Less-Rare-Earth Hybrid Permanent Magnets Motor With High Torque Density and Low Cost. IEEE Trans. Energy Convers. 2018, 34, 1178–1189. [Google Scholar] [CrossRef]
- Guo, Y.; Si, J.; Gao, C.; Feng, H.; Gan, C. Improved Fuzzy-Based Taguchi Method for Multi-Objective Optimization of Di-rect-Drive Permanent Magnet Synchronous Motors. IEEE Trans. Magn. 2019, 55, 1–4. [Google Scholar]
- Ma, C.; Qu, L. Multiobjective Optimization of Switched Reluctance Motors Based on Design of Experiments and Particle Swarm Optimization. IEEE Trans. Energy Convers. 2015, 30, 1144–1153. [Google Scholar] [CrossRef]
- Yueying, Z.; Chuantian, Y.; Chengwen, Z. Multi-Objective Optimization of Switched Reluctance Generator for Electric Vehicles. In Proceedings of the 2018 21st International Conference on Electrical Machines and Systems (ICEMS), Jeju, Republic of Korea, 7–10 October 2018; pp. 1903–1907. [Google Scholar]
- Wang, Q.; Chen, H.; Zhao, R. Double-loop control strategy for SRGs. IET Electr. Power Appl. 2017, 11, 29–40. [Google Scholar] [CrossRef]
- Fatemi, S.A.; Cheshmehbeigi, H.M.; Afjei, E. Self-tuning approach to optimization of excitation angles for switched-reluctance motor drives. In Proceedings of the 2009 European Conference on Circuit Theory and Design, Antalya, Turkey, 23–27 August 2009; pp. 851–856. [Google Scholar] [CrossRef]
- Mir, S.; Husain, I.; Elbuluk, M. Switched reluctance motor modeling with on-line parameter identification. IEEE Trans. Ind. Appl. 1998, 34, 776–783. [Google Scholar] [CrossRef]
- Xue, X.D.; Cheng, K.W.E.; Ho, S.L. Online and offline rotary regressive analysis of torque estimator for SRM drives. IEEE Trans. Energy Convers 2007, 22, 810–818. [Google Scholar] [CrossRef]
- Song, S.; Fang, G.; Zhang, Z.; Ma, R.; Liu, W. Unsaturated-Inductance-Based Instantaneous Torque Online Estimation of Switched Reluctance Machine with Locally Linearized Energy Conversion Loop. IEEE Trans. Ind. Electron. 2017, 65, 6109–6119. [Google Scholar] [CrossRef]
- Abraham, Y.H.; Wen, H.; Xiao, W.; Khadkikar, V. Estimating power losses in Dual Active Bridge DC-DC converter. In Proceedings of the 2011 2nd International Conference on Electric Power and Energy Conversion Systems (EPECS), Sharjah, United Arab Emirates, 15–17 November 2011; pp. 1–5. [Google Scholar]
- Chen, J.; Zhu, J.; Guo, Y. Calculation of Power Loss in Output Diode of a Flyback Switching DC-DC Converter. In Proceedings of the 2006 CES/IEEE 5th International Power Electronics and Motion Control Conference, Shanghai, China, 14–16 August 2006; pp. 1–5. [Google Scholar]




















Disclaimer/Publisher’s Note: The statements, opinions and data contained in all publications are solely those of the individual author(s) and contributor(s) and not of MDPI and/or the editor(s). MDPI and/or the editor(s) disclaim responsibility for any injury to people or property resulting from any ideas, methods, instructions or products referred to in the content. |
© 2023 by the authors. Licensee MDPI, Basel, Switzerland. This article is an open access article distributed under the terms and conditions of the Creative Commons Attribution (CC BY) license (https://creativecommons.org/licenses/by/4.0/).
Share and Cite
Wang, L.; Liu, C.; Jiang, Z.; Xiao, W.; Ren, S.; Ding, J.; Wang, Q. Multi-Objective Control Strategy for Switched Reluctance Generators in Small-Scale Wind Power Generations. Sustainability 2023, 15, 6329. https://doi.org/10.3390/su15076329
Wang L, Liu C, Jiang Z, Xiao W, Ren S, Ding J, Wang Q. Multi-Objective Control Strategy for Switched Reluctance Generators in Small-Scale Wind Power Generations. Sustainability. 2023; 15(7):6329. https://doi.org/10.3390/su15076329
Chicago/Turabian StyleWang, Linqiang, Cheng Liu, Zongwen Jiang, Weiren Xiao, Shuaiwei Ren, Jiaxin Ding, and Qing Wang. 2023. "Multi-Objective Control Strategy for Switched Reluctance Generators in Small-Scale Wind Power Generations" Sustainability 15, no. 7: 6329. https://doi.org/10.3390/su15076329
APA StyleWang, L., Liu, C., Jiang, Z., Xiao, W., Ren, S., Ding, J., & Wang, Q. (2023). Multi-Objective Control Strategy for Switched Reluctance Generators in Small-Scale Wind Power Generations. Sustainability, 15(7), 6329. https://doi.org/10.3390/su15076329

