Sampling of Gas-Phase Intermediate Pyrolytic Species at Various Temperatures and Residence Times during Pyrolysis of Methane, Ethane, and Butane in a High-Temperature Flow Reactor
Abstract
1. Introduction
2. Experimental Methodology
2.1. Experimental Setup and Conditions
2.1.1. Sampling Generation
2.1.2. Sample Collection
2.1.3. Gas Sample Analysis
2.2. Test Fuels
- The initial temperature at which pyrolysis products were detected and the rate at which decomposition of the alkanes proceeded;
- The formation and conversion pathways of species contributing to benzene production;
- The influence of increasing carbon chain length on the quantities and distribution of potential PAH precursors.
3. Results and Discussion
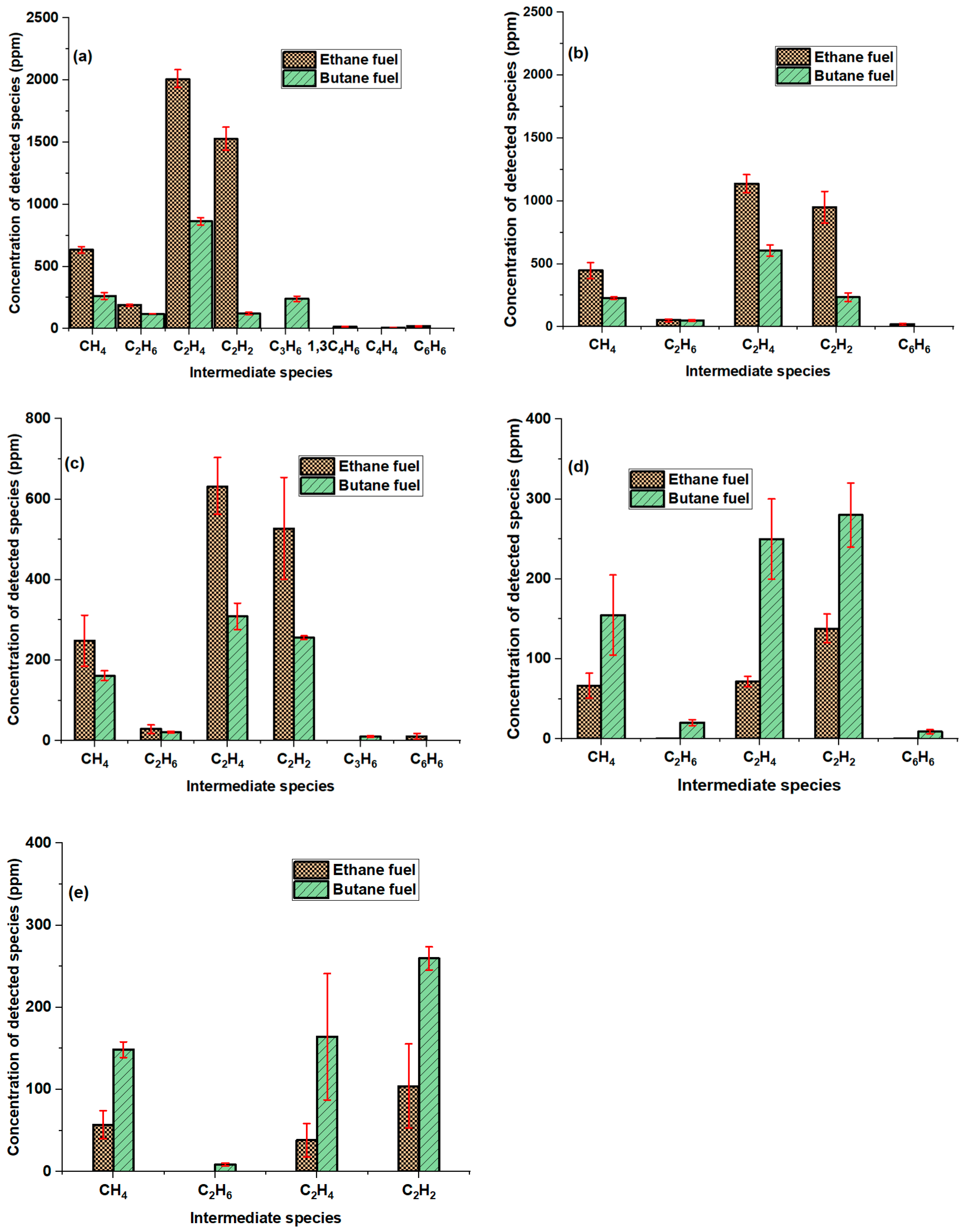
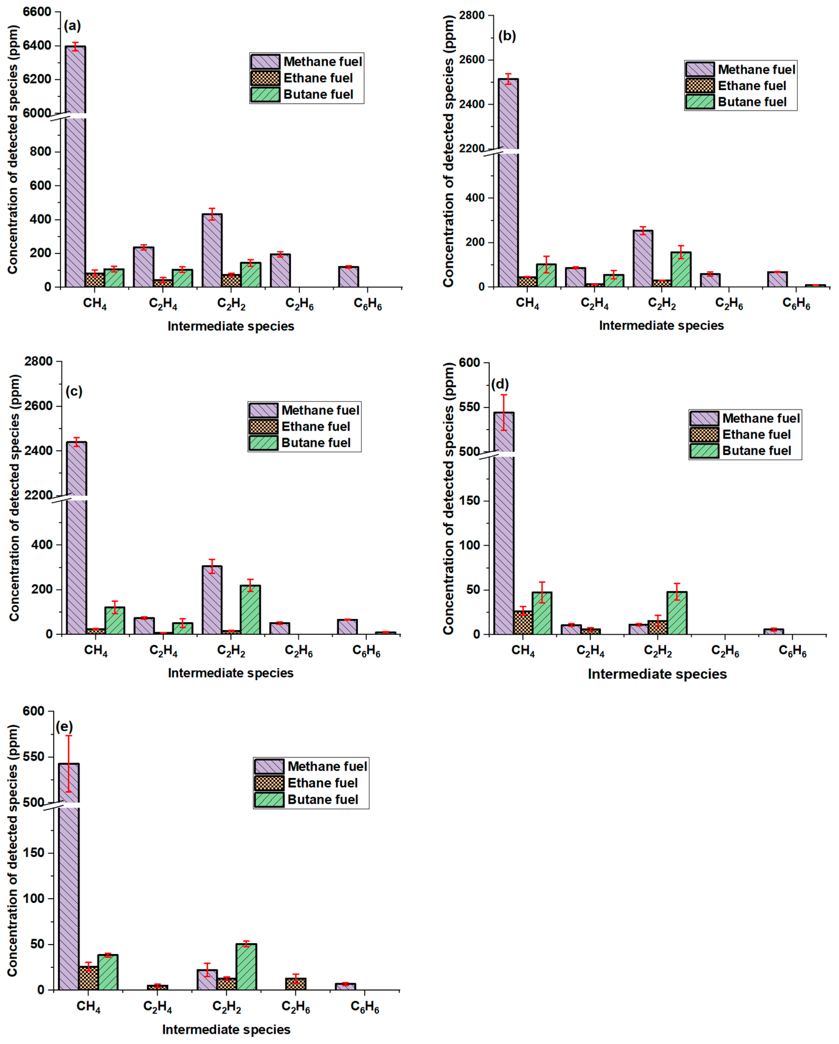
3.1. Pyrolysis of Methane, Ethane, and Butane at a Constant Temperature of 869 °C
3.2. Pyrolysis of Methane, Ethane, and Butane at a Constant Temperature of 1018 °C
3.3. Pyrolysis of Methane, Ethane, and Butane at a Constant Temperature of 1120 °C
3.4. Pyrolysis of Methane, Ethane, and Butane at a Constant Temperature of 1213 °C
4. Discussion
4.1. Methane Fuel
4.2. Ethane Fuel
4.3. Butane Fuel
4.4. Effect of Carbon Chain Length on the Intermediate Species Formation
5. Conclusions
- Methane pyrolysis required considerably higher temperature to initiate pyrolytic decomposition compared to lower temperatures required for ethane and butane decomposition. The major gaseous intermediate species detected during methane pyrolysis were C2 (ethane, ethylene, and acetylene) and C6 (benzene), implying that the first ring formation likely occurred via acetylene tricyclomerisation.
- Temperature and residence time both influenced ethane breakdown routes. Ethane pyrolysis resulted in a higher concentration of C2 intermediate species (ethylene and acetylene) relative to methane, suggesting that pyrolytic breakdown of ethane was mainly via dehydrogenation processes. Ethane and methane appear to undergo identical decomposition pathways, since both fuels primarily resulted in C1, C2, and C6 (benzene) intermediate species.
- During butane pyrolysis, the detection of C1 and C2 species suggested that, similarly to methane and ethane, the main pathways to form benzene were via C2 species; in addition, the existence of certain C3 and C4 species implied further reaction pathways for benzene formation are likely to have been available, resulting in additional soot mass and PAHs.
- In the case of butane, increasing the temperature from 869 to 1018 °C resulted in a significant decrease in concentrations of detected species at all residence times, and the influence of residence time was only secondary in the case of both temperatures.
- Acetylene was a common species in the pyrolysis of all three alkane fuels, which would have served as a precursor to both PAHs formation via cyclisation as well as PAH surface growth via the HACA mechanism. Dehydrogenation processes appear to be the most important in the formation of acetylene. At higher temperatures and longer residence times, the equilibrium between the C2 species (particularly ethylene and acetylene) moved towards acetylene formation for all three fuels studied.
Author Contributions
Funding
Institutional Review Board Statement
Informed Consent Statement
Data Availability Statement
Acknowledgments
Conflicts of Interest
References
- Masson-Delmotte, V.; Zhai, P.; Pirani, A.; Connors, S.L.; Péan, C.; Berger, S.; Caud, N.; Chen, Y.; Goldfarb, L.; Gomis, M.I.; et al. Climate Change 2021: The Physical Science Basis; Cambridge University Press: Cambridge, UK, 2021. [Google Scholar] [CrossRef]
- Marris, C.R.; Kompella, S.N.; Miller, M.R.; Incardona, J.P.; Brette, F.; Hancox, J.C.; Sørhus, E.; Shiels, H.A. Polyaromatic hydrocarbons in pollution: A heart-breaking matter. J. Physiol. 2020, 598, 227–247. [Google Scholar] [CrossRef]
- Inal, O.B.; Charpentier, J.F.; Deniz, C. Hybrid power and propulsion systems for ships: Current status and future challenges. Renew. Sustain. Energy Rev. 2022, 156, 111965. [Google Scholar] [CrossRef]
- Verger, T.; Azimov, U.; Adeniyi, O. Biomass-based fuel blends as an alternative for the future heavy-duty transport: A review. Renew. Sustain. Energy Rev. 2022, 161, 112391. [Google Scholar] [CrossRef]
- European Commission. Renewable Energy Directive. Eur Union 2021. Available online: https://energy.ec.europa.eu/topics/renewable-energy/renewable-energy-directive-targets-and-rules/renewable-energy-directive_en (accessed on 1 July 2021).
- Keramiotis, C.; Vourliotakis, G.; Skevis, G.; Founti, M.A.; Esarte, C.; Sánchez, N.E.; Millera, A.; Bilbao, R.; Alzueta, M.U. Experimental and computational study of methane mixtures pyrolysis in a flow reactor under atmospheric pressure. Energy 2012, 43, 103–110. [Google Scholar] [CrossRef]
- Xu, C.; Al Shoaibi, A.S.; Wang, C.; Carstensen, H.H.; Dean, A.M. Kinetic modeling of ethane pyrolysis at high conversion. J. Phys. Chem. A 2011, 115, 10470–10490. [Google Scholar] [CrossRef]
- Marinov, N.M.; Pitz, W.J.; Westbrook, C.K.; Vincitore, A.M.; Castaldi, M.J.; Senkan, S.M.; Melius, C.F. Aromatic and polycyclic aromatic hydrocarbon formation in a laminar premixed n-butane flame. Combust. Flame 1998, 114, 192–213. [Google Scholar] [CrossRef]
- Dong, L.L.; Cheung, C.S.; Leung, C.W. Heat transfer from an impinging premixed butane/air slot flame jet. Int. J. Heat Mass Transf. 2002, 45, 979–992. [Google Scholar] [CrossRef]
- Kronemayer, H.; Barzan, D.; Horiuchi, M.; Suganuma, S.; Tokutake, Y.; Schulz, C.; Bessler, W.G. A direct-flame solid oxide fuel cell (DFFC) operated on methane, propane, and butane. J. Power Sources 2007, 166, 120–126. [Google Scholar] [CrossRef]
- Hirasawa, T.; Sung, C.J.; Joshi, A.; Yang, Z.; Wang, H.; Law, C.K. Determination of laminar flame speeds using digital particle image velocimetry: Binary fuel blends of ethylene, n-butane, and toluene. Proc. Combust. Inst. 2002, 29, 1427–1434. [Google Scholar] [CrossRef]
- Dong, Y.; Vagelopoulos, C.M.; Spedding, G.R.; Egolfopoulos, F.N. Measurement of laminar flame speeds through digital particle image velocimetry: Mixtures of methane and ethane with hydrogen, oxygen, nitrogen, and helium. Proc. Combust. Inst. 2002, 29, 1419–1426. [Google Scholar] [CrossRef]
- Göttgens, J.; Mauss, F.; Peters, N. Analytic Approximations of Burning Velocities and Flame Thicknesses of Lean Hydrogen, Methane, Ethylene, Ethane, Acetylene, and Propane Flames. In Symposium (International) on Combustion; Elsevier: Amsterdam, The Netherlands, 1992; Volume 24, pp. 129–135. [Google Scholar] [CrossRef]
- Turányi, T.; Zádor, J.; Zsély, I.G. Local and global uncertainty analyses of a methane flame model. J. Phys. Chem. 2005, 228, 9795–9807. [Google Scholar] [CrossRef]
- Bradley, D.; Gaskell, P.H.; Gu, X.J. Burning velocities, Markstein lengths, and flame quenching for spherical methane-air flames: A computational study. Combust. Flame 1996, 104, 176–198. [Google Scholar] [CrossRef]
- Egolfopoulos, F.N.; Cho, P.; Law, C.K. Laminar flame speeds of methane-air mixtures under reduced and elevated pressures. Combust. Flame 1989, 76, 375–391. [Google Scholar] [CrossRef]
- Li, W.; Wang, G.; Li, Y.; Li, T.; Zhang, Y.; Cao, C.; Zou, J.; Law, C.K. Experimental and kinetic modeling investigation on pyrolysis and combustion of n-butane and i-butane at various pressures. Combust. Flame 2018, 191, 126–141. [Google Scholar] [CrossRef]
- Stadnichenko, O.A.; Snytnikov, V.N.; Snytnikov, V.N.; Masyuk, N.S. Mathematical modeling of ethane pyrolysis in a flow reactor with allowance for laser radiation effects. Chem. Eng. Res. Des. 2016, 109, 405–413. [Google Scholar] [CrossRef]
- Hashemi, H.; Jacobsen, J.G.; Rasmussen, C.T.; Christensen, J.M.; Glarborg, P.; Gersen, S.; van Essen, M.; Levinsky, H.B.; Klippenstein, S.J. High-pressure oxidation of ethane. Combust. Flame 2017, 182, 150–166. [Google Scholar] [CrossRef]
- Naik, C.V.; Dean, A.M. Detailed kinetic modeling of ethane oxidation. Combust. Flame 2006, 145, 16–37. [Google Scholar] [CrossRef]
- Kikui, S.; Kamada, T.; Nakamura, H.; Tezuka, T.; Hasegawa, S.; Maruta, K. Characteristics of n-butane weak flames at elevated pressures in a micro flow reactor with a controlled temperature profile. Proc. Combust. Inst. 2015, 35, 3405–3412. [Google Scholar] [CrossRef]
- Klotz, S.D.; Brezinsky, K.; Glassman, I. Modeling the Combustion of Toluene-Butane Blends. In Symposium (International) on Combustion; Elsevier: Amsterdam, The Netherlands, 1998; Volume 27, pp. 337–344. [Google Scholar] [CrossRef]
- Dandajeh, H.A.; Ladommatos, N.; Hellier, P.; Eveleigh, A. Effects of unsaturation of C2 and C3 hydrocarbons on the formation of PAHs and on the toxicity of soot particles. Fuel 2017, 194, 306–320. [Google Scholar] [CrossRef]
- Dandajeh, H.A.; Ladommatos, N.; Hellier, P.; Eveleigh, A. In fluence of carbon number of C1–C7 hydrocarbons on PAH formation. Fuel 2018, 228, 140–151. [Google Scholar] [CrossRef]
- Kaiser, E.W.; Siegl, W.O.; Cotton, D.F.; Anderson, R.W. Effect of Fuel Structure on Emissions from a Spark-Ignited Engine. 3. Olefinic Fuels. Environ. Sci. Technol. 1993, 27, 1440–1447. [Google Scholar] [CrossRef]
- Karim, G.A. Combustion in gas fueled compression: Ignition engines of the dual fuel type. J. Eng. Gas Turbines Power 2003, 125, 827–836. [Google Scholar] [CrossRef]
- Selim, M.Y.E. Sensitivity of dual fuel engine combustion and knocking limits to gaseous fuel composition. Energy Convers. Manag. 2004, 45, 411–425. [Google Scholar] [CrossRef]
- Gerö, L. Bond Energies of Hydrocarbons. J. Chem. Phys. 2004, 16, 1011. [Google Scholar] [CrossRef]
- Bernstein, H.J. Bond energies in hydrocarbons. Trans. Faraday Soc. 1962, 58, 2285–2306. [Google Scholar] [CrossRef]
- Glassman, I.; Yetter, R.A.; Glassman, I. Combustion, 4th ed.; Academic Press: Cambridge, MA, USA, 2008. [Google Scholar]
- Guéret, C.; Daroux, M.; Billaud, F. Methane pyrolysis: Thermodynamics. Chem. Eng. Sci. 1997, 52, 815–827. [Google Scholar] [CrossRef]
- Murphy, D.B.; Carroll, R.W.; Klonowski, J.E. Analysis of products of high-temperature pyrolysis of various hydrocarbons. Carbon 1997, 35, 1819–1823. [Google Scholar] [CrossRef]
- Bunker, C.E.; Deblase, A.F.; Youtsler, T.A.; Sanders, N.L.; Lewis, W.K. Enhanced Bimolecular Reaction in a Two-Component Fluid under Pyrolytic Conditions: In Situ Probing of the Pyrolysis of Jet Fuel Surrogates Using a Supersonic Expansion Molecular Beam Mass Spectrometer. Energy Fuels 2018, 32, 3391–3398. [Google Scholar] [CrossRef]
- Dryer, F.L.; Glassman, I. High-temperature oxidation of CO and CH4. In Symposium (International) on Combustion; Elsevier: Amsterdam, The Netherlands, 1973; Volume 14, pp. 987–1003. [Google Scholar] [CrossRef]
- Frost, J.; Hellier, P.; Ladommatos, N. A systematic study into the effect of lignocellulose-derived biofuels on the combustion and emissions of fossil diesel blends in a compression ignition engine. Fuel 2022, 313, 122663. [Google Scholar] [CrossRef]
- Russo, C.; Alfe, M.; Rouzaud, J.N.; Stanzione, F.; Tregrossi, A.; Ciajolo, A. Probing structures of soot formed in premixed flames of methane, ethylene and benzene. Proc. Combust. Inst. 2013, 34, 1885–1892. [Google Scholar] [CrossRef]
- Boehm, H.; Jander, H.; Tanke, D. PAH Growth and Soot Formation in the Pyrolysis of Acetylene and Benzene at High Temperatures and Pressures: Modeling and Experiment. In Symposium (International) on Combustion; Elsevier: Amsterdam, The Netherlands, 1998; Volume 1, pp. 1605–1612. [Google Scholar]
- McEnally, C.S.; Pfefferle, L.D. The effects of dimethyl ether and ethanol on benzene and soot formation in ethylene nonpremixed flames. Proc. Combust. Inst. 2007, 31, 603–610. [Google Scholar] [CrossRef]
- Richter, H.; Grieco, W.J.; Howard, J.B. Formation mechanism of polycyclic aromatic hydrocarbons and fullerenes in premixed benzene flames. Combust. Flame 1999, 119, 1–22. [Google Scholar] [CrossRef]
- Bruinsma, O.S.L.; Moulijn, J.A. The pyrolytic formation of polycyclic aromatic hydrocarbons from benzene, toluene, ethylbenze,e, styrene, phenylacetylene and n-decane in relation to fossil fuels utilization. Fuel Process. Technol. 1988, 18, 213–236. [Google Scholar] [CrossRef]
- Liu, P.; Li, Z.; Bennett, A.; Lin, H.; Sarathy, S.M.; Roberts, W.L. The site effect on PAHs formation in HACA-based mass growth process. Combust. Flame 2019, 199, 54–68. [Google Scholar] [CrossRef]
- Wang, H.; Frenklach, M. A detailed kinetic modeling study of aromatics formation in laminar premixed acetylene and ethylene flames. Combust. Flame 1997, 110, 173–221. [Google Scholar] [CrossRef]
- Eveleigh, A.; Ladommatos, N.; Hellier, P.; Jourdan, A.L. Quantification of the Fraction of Particulate Matter Derived from a Range of 13C-Labeled Fuels Blended into Heptane, Studied in a Diesel Engine and Tube Reactor. Energy Fuels 2016, 30, 7678–7690. [Google Scholar] [CrossRef]
- Marsh, N.D.; Ledesma, E.B.; Sandrowitz, A.K.; Wornat, M.J. Yields of Polycyclic Aromatic Hydrocarbons from the Pyrolysis of Catechol [ortho-Dihydroxybenzene]: Temperature and Residence Time Effects. Energy Fuels 2004, 18, 209–217. [Google Scholar] [CrossRef]
- Eveleigh, A.; Ladommatos, N.; Balachandran, R.; Marca, A. Conversion of oxygenated and hydrocarbon molecules to particulate matter using stable isotopes as tracers. Combust. Flame 2014, 161, 2966–2974. [Google Scholar] [CrossRef]
- Eveleigh, A.; Ladommatos, N.; Hellier, P.; Jourdan, A. An investigation into the conversion of specific carbon atoms in oleic acid and methyl oleate to particulate matter in a diesel engine and tube reactor. Fuel 2015, 153, 604–611. [Google Scholar] [CrossRef]
- Khan, Z.A.; Hellier, P.; Ladommatos, N. Measurement of soot mass and PAHs during the pyrolysis of C2—C4 alcohols at high temperatures. Combust. Flame 2022, 236, 111803. [Google Scholar] [CrossRef]
- Matar, S.; Hatch, L.F. (Eds.) Chapter Two—Hydrocarbon Intermediates. In Chemistry of Petrochemical Processes, 2nd ed.; Gulf Professional Publishing: Woburn, UK, 2001; pp. 29–48. [Google Scholar] [CrossRef]
- Khan, M.S.; Crynes, B.L. Survey of Recent Methane Pyrolysis Literature. Ind. Eng. Chem. 1970, 62, 54–59. [Google Scholar] [CrossRef]
- Richter, H.; Howard, J.B. Formation of polycyclic aromatic hydrocarbons and their growth to soot-a review of chemical reaction pathways. Prog. Energy Combust. Sci. 2000, 26, 565–608. [Google Scholar] [CrossRef]
- Nurislamova, L.F.; Stoyanovskaya, O.P.; Stadnichenko, O.A.; Gubaidullin, I.M.; Snytnikov, V.N.; Novichkova, A.V. Few-step kinetic model of gaseous autocatalytic ethane Pyrolysis and its evaluation by means of uncertainty and sensitivity analysis. Chem. Prod. Process Model. 2014, 9, 143–154. [Google Scholar] [CrossRef]
- Zhang, Y.J.; Yuan, W.H.; Cai, J.H.; Zhang, L.D.; Qi, F.; Li, Y.Y. Product identification and mass spectrometric analysis of n-butane and i-butane pyrolysis at low pressure. Chin. J. Chem. Phys. 2013, 26, 151–156. [Google Scholar] [CrossRef]
- Sandler, S.; Chung, Y. High-Temperature Pyrolysis of n-Butane. Ind. Eng. Chem. 1961, 53, 391–394. [Google Scholar] [CrossRef]
- Cole, J.A.; Bittner, J.D.; Longwell, J.P.; Howard, J.B. Formation Mechanisms of Aromatic Compounds in Aiiphatic Flames. Combust. Flame 1984, 56, 51–70. [Google Scholar] [CrossRef]
- Miller, J.A.; Melius, C.F. Kinetic and Thermodynamic Issues in the Formation of Aromatic Compounds in Flames of Aliphatic Fuels. Combust. Flame 1992, 91, 21–39. [Google Scholar] [CrossRef]
- Eremin, A.; Mikheyeva, E. The Role of Methyl Radical in Soot Formation. Combust. Sci. Technol. 2019, 191, 2226–2242. [Google Scholar] [CrossRef]
- Colket, M.B.; Seery, D.J. Reaction Mechanisms for Toluene Pyrolysis. In Symposium (International) on Combustion; Elsevier: Amsterdam, The Netherland, 1994; Volume 25, pp. 883–891. [Google Scholar] [CrossRef]
- Appel, J.; Bockhorn, H.; Frenklach, M. Kinetic modeling of soot formation with detailed chemistry and physics: Laminar premixed flames of C2 hydrocarbons. Combust. Flame 2000, 121, 122–136. [Google Scholar] [CrossRef]
- Fahim, M.A.; Alsahhaf, T.A.; Elkilani, A. Chapter 5—Catalytic Reforming and Isomerization. In Fundamentals of Petroleum Refining; Elsevier: Amsterdam, The Netherland, 2010. [Google Scholar] [CrossRef]







Disclaimer/Publisher’s Note: The statements, opinions and data contained in all publications are solely those of the individual author(s) and contributor(s) and not of MDPI and/or the editor(s). MDPI and/or the editor(s) disclaim responsibility for any injury to people or property resulting from any ideas, methods, instructions or products referred to in the content. |
© 2023 by the authors. Licensee MDPI, Basel, Switzerland. This article is an open access article distributed under the terms and conditions of the Creative Commons Attribution (CC BY) license (https://creativecommons.org/licenses/by/4.0/).
Share and Cite
Khan, Z.A.; Hellier, P.; Ladommatos, N.; Almaleki, A. Sampling of Gas-Phase Intermediate Pyrolytic Species at Various Temperatures and Residence Times during Pyrolysis of Methane, Ethane, and Butane in a High-Temperature Flow Reactor. Sustainability 2023, 15, 6183. https://doi.org/10.3390/su15076183
Khan ZA, Hellier P, Ladommatos N, Almaleki A. Sampling of Gas-Phase Intermediate Pyrolytic Species at Various Temperatures and Residence Times during Pyrolysis of Methane, Ethane, and Butane in a High-Temperature Flow Reactor. Sustainability. 2023; 15(7):6183. https://doi.org/10.3390/su15076183
Chicago/Turabian StyleKhan, Zuhaib Ali, Paul Hellier, Nicos Ladommatos, and Ahmad Almaleki. 2023. "Sampling of Gas-Phase Intermediate Pyrolytic Species at Various Temperatures and Residence Times during Pyrolysis of Methane, Ethane, and Butane in a High-Temperature Flow Reactor" Sustainability 15, no. 7: 6183. https://doi.org/10.3390/su15076183
APA StyleKhan, Z. A., Hellier, P., Ladommatos, N., & Almaleki, A. (2023). Sampling of Gas-Phase Intermediate Pyrolytic Species at Various Temperatures and Residence Times during Pyrolysis of Methane, Ethane, and Butane in a High-Temperature Flow Reactor. Sustainability, 15(7), 6183. https://doi.org/10.3390/su15076183

