Abstract
In the current investigation is presented the prospective substitution of cement and fine aggregates with fine slag material (Alccofine 1203) and coal bottom ash, respectively. The investigation was carried out in two steps, viz. Phase I and Phase II. In Phase I, a control mix was designed with basic ingredients of concrete, and then fine aggregates were partially replaced with five percentages (10%, 20%, 30%, 40% and 50%) of coal bottom ash (CBA). To improve the characteristics of coal bottom ash concrete mixtures, ultra-fine slag material, i.e., Alccofine 1203 (an innovative ultra-fine slag material, low calcium silicate, which offers reduced water demand depending upon the concrete performance) was used as a partial replacement of cement. In Phase II, the inspected effect of replacing 5%, 10%, 15% and 20% cement with Alccofine, a concrete mix containing 40% coal bottom ash, on concrete properties such as workability, compressive strength, split tensile strength, flexural strength, pulse velocity, rapid chloride penetration along with a microstructural analysis using SEM was studied. It was concluded from cost analysis that the 15% replacement of cement with ultra-fine material Alccofine in 40% coal bottom ash concrete achieved the properties of high-strength concrete, with an 8.14% increase in cost compared to the control increase. The significance of this work lies in the fact that we achieved a high-strength concrete by using 40% industrial waste, i.e., coal bottom ash, as a partial replacement of fine aggregates in combination with the 15% Alccofine inclusion as a partial replacement of cement. About 58% improvement in compressive strength was recorded for 40% coal bottom ash and 15% Alccofine mix.
1. Introduction
A variety of buildings, both structural and non-structural, have been built all over the world using sustainable and affordable concrete [1,2,3]. A ban imposed on the illegal mining of natural sand and the increased cost of its procurement has limited the usage of fine aggregates in concretes. However, it is an essential commodity in concrete, and thus, to minimize its consumption, there is a need to find other suitable alternatives.
To minimize their adverse environmental effects and expenses, numerous industrial and agricultural wastes have been incorporated into numerous types of concrete over the years [4]. These wastes may be incorporated into cementitious materials as an aggregate or as a stabilizer [5,6]. Coal bottom ash (CBA) is one of a variety of potential industrial wastes that are widely accessible throughout the world and can be used as fine aggregate in concrete compositions. According to [3], one of the wastes produced by coal-fired power plants is CBA. In order to generate electricity in coal power plants, a sizeable amount of coal is burned in particular boilers, producing a large quantity of various sorts of ashes. CBA refers to the larger particles that are taken out of the furnace’s bottom. Around 10–20% of the coal ash produced as trash during the operation of coal-fired power stations is made up of CBA, which is made up of a complex mixture of metal carbonates and oxides [7]. On the other hand, cement production causes environmental issues where the potential ozone layer depletion creates serious concern about the further usage of cement as construction material [8]. For each ton of clinker manufacturing, nearly a ton of carbon dioxide is released to the atmosphere [9], which contributes to about 5–7% of greenhouse gas emissions due to the fuel consumption and decomposition of calcium carbonate into calcium oxide and carbon dioxide.
Initially, the focus was on the exploitation of industrial wastes as an alternative for cement to achieve dual benefits in terms of minimizing carbon footprints and the over-utilization of natural resources to manufacture cement. However, in the present scenario, efforts have been made to discover the potential ecological alternatives to procure natural aggregates. Aggregates are an essential part of any concrete mix, and about 70% of the total mass of concrete consists of aggregates, which are generally collected from river beds. In the past few decades, the exploitation of such natural aggregates has reached its maximum, as construction activities have been increased to meet the needs of humanity. Therefore, it becomes essential to discover alternatives that can limit the exploitation of natural resources and can provide similar properties to concrete. Implementation of industrial waste materials as an alternative to fine aggregates can only be possible if the substitute material has similar physical characteristics as that of natural aggregate and be chemically inert [10]. There are numerous such materials that have been tested as an effective alternative to fine aggregates, viz. quarry dust [11,12], granite sand [13,14], glass [15,16], foundry sand [17,18], CBA [19,20,21], limestone [22], recycled waste materials [23,24,25,26,27,28,29] and other industrial material wastes [30,31,32,33,34], etc.
When CBA is utilized in place of traditional natural fine aggregates, there is no longer a need to dispose of CBA trash in landfills, and it also provides a different source of natural raw materials, both of which contribute to CBA’s sustainability advantages. As a result, the negative environmental effects related to the processing and extraction of natural fine aggregates are eradicated. Furthermore, it has been discovered that the location of natural fine particles affects the aesthetics of the surroundings. The long-term benefit of CBA use in the construction sector has also been thoroughly investigated when it comes to soil stabilization [35]. The inclusion of CBA in cementitious materials as a sustainable replacement for the traditional natural fine aggregate is gaining a lot of traction; therefore, it is crucial that people are aware of its features and how they affect the characteristics of various types of concrete. Thus, CBA can be used in concrete applications [36,37] as it is proven to be a workable material to be used in place of fine aggregate in concrete production.
On the other hand, various strategies have been established to work out an effective alternative to cement, with fly ash [38,39], blast furnace slag [40,41], silica fume [42,43], fly ash [44,45] metakaolin [46,47] and Alccofine [48,49,50] having been used as alternatives for supplementary cementitious material.
Alccofine 1203 is a manufactured cementitious material that can be used in order to partially replace cement. It is an ultra-fine slag material and hence does not increase water demand, and its pozzolanic reactions are excellent, comprising both primary and secondary reactions. Studies have shown that if Alccofine is exercised in combination with fly ash as supplementary material in the concrete, then improved mechanical properties can be achieved; however, it was also noticed that the workability of the concrete mix is reduced [49]. Additionally, it is a bit obvious that Alccofine 1203 can behave differently for different types of replacement, which is a matter of further research investigations.
Therefore, keeping the above issues in mind, in this manuscript, an experimental program was initiated where fine aggregates were partially replaced with CBA, and simultaneously, Alccofine was introduced as an alternative to cement in the CBA mix. Further, the combination of CBA and Alccofine has not been studied simultaneously, and no research has been reported on this to date. The objective of this research work is to reduce the simultaneous use of natural sand and cement by partial replacement of such ingredients with coal bottom ash, which is a waste material acquired from a power plant dump site, and Alccofine, which is a highly dense fine powder. This research program is dedicated to waste-to-wealth creation initiatives undertaken by the govt. of India. Further, as Alccofine manufacturing release less CO2 compared to cement production, cement replacement with Alccofine will reduce the overall CO2 emissions; thus, this research contributes to achieving a sustainable and green environment.
2. Materials and Experimental Procedures
2.1. Coal Bottom Ash
2.1.1. Health and Environmental Concerns of CBA
Since CBA is often seen as a waste product that should be dumped, it is typically disposed of in places such as landfills and ponds [50]. However, inappropriate dumping of CBA from coal-fired power plants could lead to dangerous environmental contamination and major health issues, particularly when taking place in open spaces or water. Due to its high concentration of toxic components, such as chromium (24.25 mg/L) and nickel (175.3 mg/L), CBA could be categorized as one of the dangerous wastes under the European Community’s requirements for the identification of wastes at landfills and open areas [35].
2.1.2. CBA Treatment
CBA should be subjected to some type of processing, or treatments should be given to the concrete containing the raw CBA in order to use it as aggregate in concrete mixtures. Due to their physical features, raw CBA is typically not a suitable material for use in concrete since they weaken the mechanical properties of concrete mixtures. The qualities of CBA and the related concrete could be improved through treatment procedures, which may involve the inclusion of chemical additives or physical processing [51]. Alkali activators and certain other artificial additives are added to cementitious materials as part of the alkaline treatment to speed up the pozzolanic activity of CBA. CBA is physically treated by being ground, sieved, soaked and burned before being added as a fine aggregate to concrete mixtures. Several studies use both chemical and physical treatments to attain desired qualities because they each have different effects on CBA. To obtain the highest level of fineness, sieving is frequently performed in conjunction with grinding. In order to remove contaminants from CBA, such as water-soluble chlorides and unburned carbon, techniques such as saturation and burning are typically used [52]. CBA particles may contain chloride ions, and when they are used in concrete mixtures, they may cause the steel reinforcing in concrete to corrode.
2.2. Alccofine
Alccofine is obtained from the store of Ambuja cement. The plant from which the Alccofine is manufactured is located at Pissurlem Industrial Estate, Goa (India). Superplasticizer used in this study is Glenium–51, which is based on modified polycarboxylic ether. Glenium was purchased from BASF INDIA LIMITED, Chandigarh, India.
2.3. Material Classification
Concrete is majorly a mix of two constituents; cement paste and aggregates (coarse and fine aggregates). The ultimate strength of concrete depends upon its adhesion and mechanical properties among cement and aggregate’s surface. OPC confining to BIS:8112-1989 standard [20] was used. The specific gravities of cement, coarse and fine aggregates, CBA and Alccofine are tabulated in Table 1. The fineness modules of coarse and fine aggregates were evaluated using BIS:2386 (Part I and II)-1963 standards [20]. In this research work, coarse aggregates of size 20 mm were used. CBA was collected from Guru Gobind Singh Thermal Power Plant, Ropar, Punjab. A sieve of mesh size 4.75 mm was used while sieving the CBA and sand in order to obsolete the coarser particles.
Table 1.
Concrete constituent properties.
The chemical compositions of cement are tabulated in Table 2, and the chemical compositions of CBA and Alccofine 1203 are given in Table 3. Particle size distribution of natural sand and CBA is given in Figure 1. From the curve, it can be illustrated that CBA has finer particle sizes compared to natural sand for all sieve sizes. Additionally, it can be seen from Figure 2 that Alccofine has much finer particle size for all sieve sizes compared to OPC. The same morphology can be visualized in Figure 3, and it can be perceived from Figure 3a,b that CBA has irregularly shaped and rough-textured morphology, whereas Alccofine is an ultra-fine slag material and has well-round-shaped structure in Figure 3c,d. This implies CBA molecules have interlocking properties as they are angular-shaped particles, and as Alccofine particles are extra-fine, they thus can occupy void space easily.
Table 2.
Properties of cement.
Table 3.
Chemical composition of constituents.
Figure 1.
Particle size distribution of natural sand and coal bottom ash.
Figure 2.
Particle size distribution of OPC and Alccofine 1203.
Figure 3.
Morphology of coal bottom ash at (a) 500 magnification and (b) 2000 magnification, and Alccofine particles at (c) 500 magnification and (d) 2000 magnification.
Ten mix proportions were prepared, where first was controlled concrete mix of Grade M40 (MB0), in which no CBA and Alccofine were added, and this mix was designed as per IS:10262-1982 [53]. Other five mixes consisted of CBA as a partial replacement of fine aggregates in five different CBA proportions in the mix, i.e., MB1 (10% CBA), MB2 (20% CBA), MB3 (30% CBA), MB4 (40% CBA) and MB5 (50% CBA). The remaining four mixes consisted of four different concentrations of Alccofine in 40% CBA concrete mix (MB4), i.e., MB4A5 (5% Alccofine), MB4A10 (10% Alccofine), MB4A15 (15% Alccofine) and MB4A20 (20% Alccofine). Various mix proportions are given in Table 4. A total of three samples for each experiment were prepared.
Table 4.
Mix proportions of various concrete mixes at water/cement ratio = 0.38.
2.4. Mix Design
Concrete Mix Design for M40 Grade was performed as per IS 10262:2009 [54] and IS 456:2000 [55]. The present work is divided into two phases, where in Phase I, the effect of CBA concentrations as partial replacement of fine aggregates on the concrete strength was examined. Then, for Phase II of the investigation, the CBA concentration in the concrete was finalized on the following criterion:
- Achieving maximum replacement of fine aggregates with coal bottom ash between 10% and 50%;
- Dosage of superplasticizer should be limited to 2% to ensure the designed slump value, i.e., 100 mm, after the successful maximum partial replacement of fine aggregates with CBA in combination with Alccofine. To correct this parameter, slump tests were rigorously carried out to analyze the variations in dosage of superplasticizer for CBA concrete mixtures and Alccofine-assisted CBA concrete mixtures. The required dosage of superplasticizer to achieve a slump value of 100 mm is tabulated in Table 4. The detailed research program for Phases I and II can be established in Figure 4.
Figure 4. Research program.
In the Phase II studies, Alccofine 1203 was added in a proportion of 5%, 10%, 15% and 20% to the 40% coal bottom ash concrete mixture (MB4). The motivation behind choosing 40% of CBA as partial replacement for fine aggregates is to maximize the usage of industrial waste for green environment, restricting the dosage of superplasticizer.
2.5. Testing Procedures
Using BIS:1199-1959 standards [20], the workability of the mixed concrete was evaluated by conducting slump test. The cleaned mold was filled with four layers of concrete. Using tamping rod (16 mm diameter with rounded end), the layers of the concrete were compacted through 25 strokes such that the concrete gets uniformly distributed among the mold. After the tamping of top surface, by using trowel, the extra concrete mass was removed. The concrete was then extracted through the mold immediately by raising the mold in vertical direction. The slump was measured by evaluating the height difference between the mold and the peak point of the specimen after the subsidence of concrete. Using BIS 516:1959 standards [20], the compressive strength of concrete was examined. Test was executed on standard cube with the dimensions (150 × 150 × 150) mm. Specimens were taken out from curing tank after 7 days, 28 days, 56 days, 90 days and 180 days of water curing, and then tested at a load of 4.5 kN/s using Compression Testing Machine (CTM). The average measured value for the three cube concrete specimens indicates the compressive strength of that concrete. Using BIS 5816:1999 standards [20], the splitting tensile strength of the concrete mixtures was evaluated. Cylindrical specimens of length 300 mm and diameter 150 mm were placed in CTM and loaded at 1.5 kN/s. Splitting tensile strength of the concrete specimen was evaluated using the following relationship:
where STS = splitting tensile strength (kN/m2), W = maximum load at failure in kN and D and L are diameter and length of cylindrical specimen in ‘m’. The average measured value for the three cylindrical concrete specimens indicates the splitting tensile strength of that concrete.
Flexural strength test was conducted on 100 × 100 × 500 mm-sized concrete beam using CTM integrated flexural testing setup. As per the method given in ASTM C 597-02 [20], the pulse velocity was determined through the concrete using portable ultrasonic non-destructive battery-operated digital indicating tester. An electro-acoustical transducer generates longitudinal stress pulses, where transducer is held in contact with one face, and the signal is received at the other end, which is in contact with the other end. Transit time is the time taken by the pulse to pass through the specimen of length (L). Thus, by taking ratio of length of the specimen and transit time, pulse velocity can be calculated. By taking average value of three experiments, the pulse velocity of the concrete mix can be evaluated. Using ASTM C 1202-10 standards [20], resistance to chloride ion penetration of concrete mixtures was evaluated. The specimens (cylindrical of size 100 mm diameter and 50 mm thickness) were placed in the assembly in such a way that one end of it was exposed to 0.3% sodium hydroxide solution and another end to sodium chloride solution. Thus, chloride penetration was measured by evaluating the total charge passed through the concrete mix after duration of 6 h. To analyze the morphological behavior of various phases of the hardened concrete mix, SEM technique was employed through ImageJ tool for image processing.
3. Results and Discussions
3.1. Phase I Studies
In Phase I, a controlled concrete mix of M40 grade was designed, and CBA was used as a partial replacement of fine aggregates (10–50%). The purpose of choosing the M40 design mixture was to achieve a high-strength concrete mixture from a medium-strength concrete mixture. Table 5 shows the variation of slump value with different superplasticizer dosages (in %age by weight of cement) for various lone coal bottom ash concrete mixes (Phase I) and Alccofine-assisted coal bottom ash mixtures (Phase II). With the inclusion of CBA, it was noticed that the workability of the concrete mix decreased. It can be observed that for the controlled concrete mix (MB0), a 1.2% dose of superplasticizer is required to achieve a slump value of 100 mm. Furthermore, the addition of CBA in concrete resulted in an increase in the superplasticizer dosage as follows: for MB1 (10% CBA), the dose is 1.2%, 1.6% for MB2 (20% CBA), 2.2% for MB3 (30% CBA), around 2.5% for MB4 (40% CBA) and 3% for MB5 (50% CBA). It was discovered that for the MB5 mix, the required dosage of superplasticizer increased to 3% to attain the desired slump value of 100 mm. The aim of the investigation was to replace the maximum percentage of fine aggregate in such a way that adverse impacts of the inclusion of CBA on fresh and hardened properties of CBA concrete mixtures are compensated by the inclusion of Alccofine as a partial replacement of cement, and, at the same time, the required dosage of superplasticizer is also restricted to 2%. To achieve the target, Slump tests were carried out initially on the combination of MB5 mix and partial replacement of 5%, 10%, 15% and 20% of cement with Alccofine. It was found that the best result (maximum reduction in dosage of superplasticizer) was obtained at a 15% replacement level, with a Glenium dosage percentage of 2.4% (for 100 mm slump value), and that too was on the higher side, which is not acceptable. Hence, the MB4 mix was selected for further investigation. In Phase II, Alccofine was mixed in MB4 concrete mix in varying percentages (5%, 10%, 15% and 20%) as a partial replacement of cement to obtain the preeminent results leading to the improvement in workability and the reduction in usage of superplasticizer along with improved mechanical and durability characteristics in comparison to the CBA mix.
Table 5.
Variation of slump value with the different dosages of superplasticizer in different concrete mixtures.
3.1.1. Fresh Concrete Properties
Fresh concrete workability is a composite property whose characteristics include mobility, placeability, stability, compactability and finishability. The slump is a measure of the workability or consistency of the control mix. The controlled concrete mix was designed to achieve a 100 mm slump value. An attempt is made to maintain the same slump value and fixed water/cement ratio of 0.38 for all concrete mixtures, by varying the dosage of superplasticizer experimentally. Coal bottom ash is a porous material compared to river sand; thus, in order to recompense the water necessity, a superplasticizer is used in this study, as suggested in [20]. The test results (Table 5) show that the slump value of the concrete dropped with the enhancement in the level of CBA as a river sand substitute.
From Table 1, it is evident that the specific gravity of CBA is lesser than the river sand; thus, for a unit volume of the mix, the porosity of CBA concrete is higher than controlled concrete. Thus, during mixing, coal bottom ash particles absorb more water quickly compared to river sand particles, which results in a reduction in the accessibility of free water for particle lubrication, decreasing the slump value. Due to the partial replacement of river sand with CBA, the specific surface area of fine aggregate is also increased [20]. It is also established that the irregular-shaped rough texture of CBA can increase the inter-particle resistance, thus lowering the slump value. Analogous findings have been concluded by Singh and Siddique [20], Chun et al. [56] and Agrawal et al. [57].
3.1.2. Mechanical Properties of Coal Bottom Ash Concrete Mixtures
The strength properties were calculated for controlled (MB0) and coal bottom ash concrete mix at 10%, 20%, 30%, 40% and 50% partial replacement of fine aggregates. Mainly three types of strengths, i.e., compressive (Figure 5), splitting tensile (Figure 6) and flexural strength (Figure 7), were evaluated in this study and compared with Alccofine 1203 results in the later sections.
Figure 5.
Effect of coal bottom ash on the compressive strength of concrete.
Figure 6.
Effect of coal bottom ash on the splitting tensile strength of concrete.
Figure 7.
Effect of coal bottom ash on the flexural strength of concrete.
Compressive Strength of Coal Bottom Ash Concrete Mix
It can clearly be concluded from the test results that the compressive strength decreased with the rise in the replacement level of fine aggregate with CBA at all ages. The maximum reduction in the compressive strength was evaluated for the MB5 mix, i.e., at 50% replacement of fine aggregates. Figure 5 indicates the strength variations of concrete mix at different curing ages for all the concentrations of sand replacement, and the trend is similar to the controlled mix (MB0).
With the addition of CBA in the concrete mix, the compressive strength of CBA concrete drops gradually, up to a 30% replacement of fine aggregates with CBA for all the curing ages. Thereafter a sudden drop can be seen in compressive strength (Figure 5) between 30% and 40% replacement of fine aggregates with CBA for all curing ages. These test results for concrete mix design are comparable with the results of Siddique et al. [49], Kim and Lee 2011 [58] and Chun et al., 2008 [56], as in these studies, the authors found a decrease in compressive strength for mix design. Percentage change in compressive strength of the CBA concrete and Alccofine-assisted CBA concrete can be found in Figure 8, Figure 9 and Figure 10. It was observed that the concrete’s compressive strength decreased with the addition of CBA. As the proportion of coal bottom ash increased from 10% (MB1) to 50% (MB5), the decline of compressive strength is significant for 7 days (≈26%) and 28 days (≈20%) of curing age. This may be explained by keeping in view the following reasons: (1) increased porosity of CBA mixtures and (2) lower strength of CBA (low specific gravity leads to less dense structure and more interstitial voids).
Figure 8.
Percentage variation in compressive strength.
Figure 9.
Percentage variation in splitting tensile strength.
Figure 10.
Percentage variation in flexural strength.
Splitting Tensile and Flexural Strength
The effect of CBA on the concrete’s splitting tensile strength (STS) is presented in Figure 6. It is evident that splitting tensile strength decreased with the inclusion of CBA as a partial replacement of CBA for all curing ages; however, Singh and R. G. Siddique 2015 have found an increase in splitting tensile strength with the addition of CBA [49]. Due to the availability of more porous structure among coal bottom ash concrete, the quality of paste was not found to be appropriate, as a result of which STS was found to decrease with CBA concentrations in concrete mix for all curing ages.
Referring to Figure 7, the flexural strength of the control mix is found to be higher than coal bottom ash concrete for all the curing ages. It is also obvious from test results that the addition of coal bottom ash in the M40 grade concrete mix decreased the flexural strength of the concrete. Figure 8, Figure 9 and Figure 10 show the percentage variation in the compressive, STS and flexural strength of the coal bottom ash concrete mix (MB1, MB2, MB3, MB4 and MB5) w.r.t. to control mix.
The results pointed toward the fact that the addition of coal bottom ash decreased the strength properties for all the curing ages and coal bottom ash concentrations (10% to 50%). This decrease in both splitting tensile and flexural strength happens in a similar fashion as that of compressive strength due to increased voids in CBA mixtures, deficiency of pozzolanic activities and the replacement of a strong material (river sand as fine aggregate) with a weak one (CBA).
3.1.3. Selection of Bottom Ash Concrete Mix
In Phase I studies, it was found that with the addition of CBA as a partial replacement of fine aggregates, the strength properties, i.e., compressive, splitting tensile and flexural strength of the concrete drops significantly for all bottom ash mixtures. The aim of the investigation was to replace the maximum amount of fine aggregate in such a way that adverse impacts, due to the addition of CBA on fresh and hardened properties of bottom ash concrete mixtures, can be compensated by incorporating ultra-slag material, i.e., Alccofine, as a partial replacement of cement and at the same time, the required dosage of superplasticizer should also be restricted to 2%. To achieve the objective, Slump tests were carried out initially on the combination of MB5 mix and partial replacement of 5%, 10%, 15% and 20% of cement with Alccofine. It was found that the best result (maximum reduction in dosage of superplasticizer) was obtained at a 15% replacement level, having a Glenium dosage percentage of 2.4% (for 100 mm slump value), and that too was on the higher side, which is not acceptable. Hence, the MB4 mix was selected for further investigation, as for this mix superplasticizer, the dose was restricted to 1.9%. A detailed discussion will be presented in the Phase II studies.
To examine the impact of coal bottom ash addition in the concrete mixture, further non-destructive and durability tests were performed where the properties of the MB4 mix were compared with those of MB0. It was found that a 40% replacement of fine aggregates with coal bottom ash significantly affected its durability properties, and non-destructive tests revealed that the quality of the concrete decreased for the MB4 concrete mix.
3.2. Phase II Experimental Investigations
In this phase, the addition of Alccofine is performed as a partial replacement of cement to improve the workability of the concrete mix, hence lowering the required dosage of superplasticizer and enhancing the hardened properties of Alccofine-assisted coal bottom ash concrete mixtures. Strength and durability properties were evaluated, and results are compared with controlled concrete (MB0) and a mix with 40% CBA content (MB4).
3.2.1. Fresh Properties of Alccofine-Assisted Coal Bottom Ash Concrete Mixtures
Table 5 represents the slump test calculations for the Phase II concrete mix, and it can be observed that for the MB4A5 concrete mix, the slump value is found to be 105 mm at a superplasticizer dose of 2.4% when 5% Alccofine is added in the MB4 mix; however, for the MB4 mix, it was between 2.5 and 2.6% and slump value was 110 mm. Furthermore, it is clear from Table 5 that as the Alccofine percentage is increased in the MB4 mix, the slump value of 100 mm is achieved at a lower superplasticizer dose. For the concrete mixes MB4A15 and MB4A20, a slump value of 100 mm was achieved at ≈1.9% superplasticizer dose. This implies, with the inclusion of Alccofine, the desired workability of the concrete can be achieved for the MB4A15 and MB4A20 concrete mixes at a superplasticizer dose of less than 2% and at a fixed water/cement ratio of 0.38. This happens due to the ultra-fine size and dense packing of the cementitious material, which fills the voids of coal bottom ash concrete mix, i.e., MB4 mix.
3.2.2. Mechanical Properties of Alccofine-Assisted Coal Bottom Ash Concrete Mixtures
Compressive, split tensile and flexural strength results are plotted in Figure 8, Figure 9 and Figure 10, respectively. It was found that with the inclusion of Alccofine 1203 into coal bottom ash concrete, all the properties showed significant improvement at all curing ages. It was found that when 40% fine aggregates are replaced with coal bottom ash and 15% cement replaced with Alccofine 1203, the properties reach their maximum value. The percentage increase (upper region from the reference dotted line) in properties w.r.t. the MB4 mix is plotted in Figure 8, Figure 9 and Figure 10.
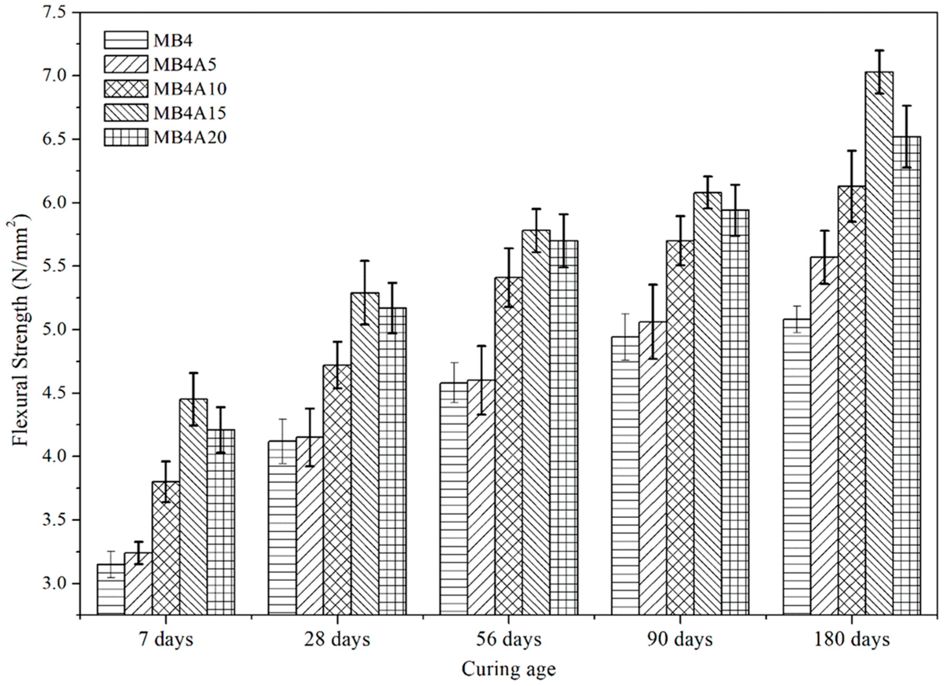
It is found from Figure 8 that the percentage increase in compressive strength is quite significant for all the mixes (except MB4A5) for all the curing ages. It can be noticed that for MB4A15, the percentage increase in compressive strength is about 72% at 7 days, 59% at 28 days, 52% at 56 days, 49% at 90 days and 48% at 180 days. Figure 9 represents the percentage increase in STS of the concrete mix. It can be observed from the plot that the maximum increase in the property was found for the MB4A15 mix. Figure 10 shows that there is a surge in the flexural strength of Alccofine-assisted coal bottom ash concrete. It can be noticed from the plot that at the 7-day curing age, the percentage increase in flexural strength of all the concrete mixes is quite significant compared to the 28-day and 56-day curing ages. Additionally, the percentage increase in flexural strength is maximum for the MB4A15 mix. Further, it can be seen that the inclusion of coal bottom ash as a partial replacement of fine aggregates (10 to 50%) lowered the concrete mechanical property values significantly. However, with the addition of Alccofine as an alternative to cement, the mechanical properties were improved for all Alccofine compositions (5 to 20%).
Moreover, the dosage of superplasticizer is found to be 1.9%, which implies at MB4A15, the workability of coal bottom ash concrete gets improved due to its dense or finer structure, which produces low void content. As for MB4A20 concrete mix, the strength properties showed declination; thus MB4A15 mix was chosen as the final designed concrete mix. Additionally, smaller particle size results in rendering more surface area for pozzolanic reactions, which improves strength, and workable concrete can be produced using less admixture content. The percentage variation and comparison among strength properties of coal bottom ash and Alccofine-assisted CBA concrete are given in Figure 8, Figure 9 and Figure 10. It can be observed that all properties showed improvement with the inclusion of Alccofine as a partial replacement for cement. The percentage increase in properties for the MB4A15 mix is the maximum for all the properties.
The rounded shape of ultrafine material with optimized particle size and unique chemical composition can be analyzed as major factors that contributed to the improved properties of Alccofine-assisted CBA mixtures. The persistent hydration and plugging of porosity with CSH gel produced by the pozzolanic activity of Alccofine may be responsible for the improvement in the strength of Alccofine-assisted CBA concrete. There may not have been any mass loss, decline in compressive strength and ongoing expansions because of the development of ettringites in the small, enclosed voids. Concrete specimens continued to hydrate, and ettringites formed in voids, disrupting the continuity of pores and further reducing permeability. Sulfate ions were unable to enter the concrete due to the decreased continuity of voids. The fact that Alccofine-assisted CBA concrete samples better resist sulfate attack may partly be due to their low permeability. Irassar et al. [59] observed that even after 1 year and 5 years of immersion, respectively, the compressive strength of concrete containing 40% fly ash as a cementitious material improved by 86% and 144% beyond its 28-day compressive strength. According to Brown [60], after being submerged in a sulfate solution, mortars’ compressive strength initially increased. Compressive strength began to decline after a particular amount of expansion strain. Mortar compressive strength loss starts to occur at a 0.1% expansion [61]. Thus, this study concludes that with the maximum utilization of industrial waste, i.e., CBA as a partial replacement of fine aggregates (natural sand), along with 15% of Alccofine as an alternative to cement, a high-strength concrete can be achieved with improved properties.
Thus, as concluding remarks, it can be observed that the workability and compressive strength at all ages of Alccofine 1203-assisted coal bottom ash concrete is improved due to the unique characteristics of Alccofine material, which includes finer particle size distribution and inbuilt CaO, which further form dense pore structure. Additionally, Alccofine 1203 inclusion in MB4 concrete mix reduced the dosage of superplasticizer and improved the compressive, STS and flexural strength of the concrete compared to coal bottom ash (see Figure 11, Figure 12 and Figure 13).
Figure 11.
Effect of coal bottom ash and Alccofine on the compressive strength of concrete.
Figure 12.
Effect of coal bottom ash and Alccofine on the splitting tensile strength of concrete.
Figure 13.
Effect of coal bottom ash and Alccofine on the flexural strength of concrete.
3.2.3. Pulse Velocity
Pulse velocity was calculated to ensure the concrete grade. Table 6 represents the magnitude of pulse velocity for various concrete mixes at different curing ages. It can be observed that at higher curing ages, the pulse velocity is found to increase for all concrete mixes. At the 28-day curing age, the pulse velocity of the control concrete mix is 4564 m/s, and at the 180-day age, it is 4810 m/s. For coal bottom ash concrete (MB4), the pulse velocity decreased by 6% at 28 days of curing age. Moreover, for Alccofine-assisted coal bottom ash concrete (MB4A15), there is a 1.3% increase observed in the pulse velocity of concrete mix at 28 days of curing age.
Table 6.
Pulse velocity for various concrete mixtures.
Similarly, for 90-day and 180-day curing ages, an increase of 1.7% and 2% was found for the MB4A15 mix compared to the control mix and about a 7.5% increase in pulse velocity when compared with the MB4 mix, respectively. The variation in pulse velocity is marginal with the addition of CBA in the concrete; however, this drop can be overcome by using Alccofine as a partial replacement for cement, which is further beneficial as it can reduce overall CO2 emissions. It was concluded from the pulse velocity test that the quality of the concrete degraded with the addition of CBA. Thus, it was found that, due to the continued hydration process, the pulse velocity is increased with curing age, which shows there is a significant increase in the gel/space ratio.
3.2.4. Durability Property
While using any replacement of fine aggregates/cement, there is a need to verify the effect of such materials on the reinforced concrete structures. Resistance to chloride-ion penetration is one of such tests used to ensure the durability of the concrete structure. In the present study, an investigation was carried out to check the ability of the coal bottom ash concrete to conclude the service life of steel-reinforced concrete structures, especially in marine engineering.
Rapid Chloride Permeability Testing
RCPT test values are plotted in Figure 14 for controlled concrete mix, bottom ash concrete mix and Alccofine-assisted CBA concrete mix. It can be observed from the plot that with the replacement of fine aggregates with CBA, the RCPT value is increased from 1922 Coulombs (MB0) to 2292 Coulombs (MB4) at 28 days of curing age. Further, it can be noticed that with the addition of Alccofine, the RCPT values decreased significantly, which means concrete showed good resistance to permeability due to its finer pore structure and chemical stability; a similar argument can be found in [28,34,62,63]. Moreover, the RCPT values decreased for large curing ages in all the concrete mixes. There are a few studies where authors have found a decrease in RCPT values with an increase in curing age for normal and blended concrete [57,64,65,66,67]. In the literature, authors have calculated very high RCPT values for normal concrete compared to the values obtained in the present study (Figure 14), i.e., 4251 coulombs [66], 2766 coulombs [68], 2869 coulombs [69], 7890 coulombs [70] and 5250 coulombs [71] at 28 days of curing age, and 3767 coulombs [66] at 180 days of curing age. The lower RCPT values may result due to the inclusion of non-cementitious material (Alccofine) and coal bottom ash addition into the concrete, which varied the water absorption capabilities and porosity of the concrete mix.
Figure 14.
RCPT variations for different concrete mixes.
The finer particle size distribution and chemical stability of Alccofine result in the formation of dense pore structure, and inbuilt CaO triggers the secondary hydrated products, which fill the pores, further reducing the hydrated product’s permeability and shielding the concrete from foreign chemical attack.
3.3. Scanning Electron Microscopy
The microstructure of different concrete mixtures was studied using scanning electron microscopy to validate the results attained through the experimental program at 28 days of curing age. Scanning electron microscopy of concrete mixtures MB0 (controlled concrete), MB4 (concrete mix containing 40% coal bottom ash as a partial replacement of fine aggregates) and MB4A15 (concrete mix containing 15% Alccofine as a partial replacement of cement in a mix already containing 40% coal bottom ash as a partial replacement of fine aggregates) are shown Figure 15, Figure 16 and Figure 17, respectively. Analysis was conducted at different locations at varied magnifications; however, in this dissertation work, SEM studies at a magnification of ×5000 were represented. Figure 15 illustrates the SEM image for the control concrete mix, where the formation of C-S-H gel, micro cracks and dominant ettringite can clearly be observed. Similar microstructural details can be found in Figure 16 for the MB4 mix. SEM images revealed multiple dominant pores in coal bottom ash concrete mixtures, due to which a significant drop in strength and durability properties of concrete was experienced for the MB4 mix. A prominent phase of Calcium-Silicate-Hydrate (C-S-H), that is, the fibrous loads and big chalky gel formations, can be observed in Figure 17.
Figure 15.
SEM micrograph of controlled concrete (MB0 mix).
Figure 16.
SEM micrograph of concrete mix containing 40% coal bottom ash as a partial replacement of fine aggregates (MB4 mix).
Figure 17.
SEM micrograph of concrete mix containing 15% Alccofine as a partial replacement of cement in mix already containing 40% coal bottom ash as a partial replacement of fine aggregates (MB4A15).
An increase in the size and number of pores is evident for the mix containing 40% of CBA, thus resulting in the reduction in strength for coal bottom ash concrete mixtures [72,73], as through these pores, micro-cracks can propagate rapidly, and coal bottom ash concrete mixes provide less resistance to external loading when equated to other mixtures. The development of needle-shaped Ettringites was also observed in CBA mixtures as well as controlled concrete mixtures. SEM images revealed that the MB4 mix possesses a discontinuous/irregular C-S-H gel matrix network as compared to that of the MB0 and MB4A15 mixtures. This may have contributed to the reduction in compressive strength and other mechanical properties for MB4 mixtures when compared to that of MB0 and MB4A15 mixtures. Further, low Portlandite crystals have been observed for coal bottom ash concrete [5], and it is also evident that the inclusion of coal bottom ash in concrete mix can significantly reduce the Ca/Si ratio [74] and hence, compressive strength. The other reason behind the reduction in mechanical properties of coal bottom ash concrete can be correlated using XRD studies available in the literature, which revealed the weak diffraction peaks of discontinued and poorly crystalline calcium silicate hydrate phase of coal bottom ash concrete mix [10,20]. Additionally, the silica content in the coal bottom ash is found to be low as compared to that of natural sand used in this dissertation, which may be responsible for the discontinuous network of CSH gel among all coal bottom ash concrete mixes.
The formation of calcium hydroxide in all the mixtures was observed as a result of the hydrolysis of silicates and calcium present in the binder constituents after a few hours of the hydration process. Generally, the presence of calcium hydroxide can be understood through Portlandite at the early stages of the hydration process. A continuous and dense CSH network can be observed for Alccofine-assisted CBA mixtures (MB4A15). It is evident from the SEM images and previous studies [75] that hexagonal crystal shape Portlandite structure is more prominent in Alccofine-assisted concretes. This happens due to the pozzolanic reactions of Alccofine among dicalcium and tricalcium silicates in cement. Such reactions create a honeycomb structure of C-S-H gel at the lateral stages due to the maturation of the hydrolysis process and pozzolanic reactions, which provides maximum strength to the concrete mix at 28 days [76,77]. This is the reason why almost all Alccofine-assisted concretes have more strength than the control concrete [75]. Formation of extra C-S-H due to the pozzolanic reactions projected dense pore structure and ultimately higher strength gain at all ages. Prolonged pozzolanic activities, due to the incorporation of Alccofine, can be assumed as a function of its particle size distribution and chemical composition. The fibrous C-S-H gel formation acts as a membrane for the admittance of chloride ions into concrete, thus making it more durable in harsh environmental conditions, as evident from RCPT values. Furthermore, it has been revealed through XRD studies available in the literature that calcium silicates such as Alite and Larnite are the minerals that are accountable for early and later-stage strength growth in the concrete [75,78,79]. The increased intensity of Ca(OH)2 for Alccofine-assisted concrete mixes has been observed. Furthermore, a reduction in the intensity of ettringite, due to the presence of Alccofine in concrete, has been concluded when compared to that of normal concrete [79]. The dense and continuous CSH gel network for MB4A15 mix may be due to the fact that the formation of CSH gel is more with Alccofine-assisted concretes due to the conversion of Ca(OH)2 to secondary CSH, thereby resulting in the enhanced strength as compared to the other mixtures. For MB4A20 concrete mix, a decrease in compressive strength was observed compared to the MB4A15 concrete mix. This may be due to the fact that, with the incorporation of 20% Alccofine in place of cement, concrete might be more prone to excessive expansion and micro-cracks due to the unsoundness of binder caused by the increase in free lime, alumina and magnesia [75]. These cracks among specimens can propagate on loading to generate large cracks and thus offer less resistance to the applied force; hence, a decline in mechanical strength was noticed.
4. Cost Analysis
Cost analysis becomes an essential part when a percentage change in concrete constituent is performed, as the replacement will only be feasible when the resulting concrete mix has lower or equivalent expenditure. In this dissertation, cost analysis was performed to quantify the cost difference between the Phase I and Phase II studies. Table 7 shows the cost comparison among Phase I and Phase II concrete mixes where ingredients were procured from retailers, and their cost was tabulated. It can be observed from Table 7 that the cost of the control mix is about INR 5145, and it increases with the addition of coal bottom ash (10% to 50%).
Table 7.
Cost comparison of Phase I and Phase II concrete mixes.
It can also be noticed that for Phase I analysis, the cost increased up to 27.5% for the MB5 mix due to the addition of superplasticizer dosage (Table 5) to maintain a 100 mm slump. Moreover, from Phase II cost analysis, it can be observed that there is a significant cost reduction from MB4 (INR 6150) to MB4A20 (INR 5632); however, the cost for all Phase II concrete mixes is more than that of the control mix.
Figure 18 represents the percentage change in cost and compressive strength w.r.t. the control concrete. It can be observed that the percentage change in the cost increased in Phase I with a simultaneous reduction in the compressive strength of the coal bottom ash concrete compared to the control concrete. However, with the addition of Alccofine as a partial replacement of cement, the percentage difference in cost decreased with a simultaneous increase in the compressive strength of Alccofine-assisted CBA concrete compared to the control mix. Thus, in conclusion, it can be noticed that for the MB4A15 mix, the cost increased to 8.14% compared to control concrete; however, a significant increase of 58.3% in compressive strength can be observed, which is very large compared to the cost involved. Thus, it was concluded from this dissertation work that a 15% replacement of cement with ultra-fine material Alccofine in 40% coal bottom ash concrete achieved the properties of high-strength concrete, with an 8.14% hike in cost comparison to control increase.
Figure 18.
%age change in cost and compressive strength w.r.t. to control concrete.
5. Statistical Studies
The statistical significance of CBA and Alccofine 1203 on the properties of coal bottom ash concrete was studied at all curing ages. The empirical equations were established from the test results to determine the association among the compressive, flexural and splitting tensile strength of coal bottom ash concrete with the different concentrations of coal bottom ash and Alccofine 1203 used as partial replacement of fine aggregate sand cement, respectively, in the concrete mix. The determination coefficient (R2) was also calculated for each empirical equation to know fitting characteristics. A higher value of R2 is desirable, as it indicates good agreement among data and regression curves.
5.1. Empirical Relationships for Coal Bottom Ash Concrete
The empirical equations for the coal bottom ash concrete properties are given below, and their coefficient values are tabulated in Table 8.
Table 8.
Empirical equation development to fit the property variation w.r.t. various coal bottom ash concentrations.
Compressive strength of CBA concrete mix =
Splitting tensile and flexural strength of CBA concrete mix =
where a, b, c and d are the correlation coefficients, and ‘x’ denotes the CBA concentration in the mix (10–50%). R2 values calculated for coal bottom ash concrete properties are tabulated in Table 8.
Results obtained from this analysis were compared with the existing empirical equations developed. Siddique et al. [49] developed an empirical equation (Equation (4)) for 7 days and 28 days of curing age to fit the effect of CBA on the compressive strength of coal bottom ash concrete mix. A similar empirical equation (Equation (6)) was derived by [80] for normal cement concrete to fit the compressive strength variation for 28 days of curing age (compressive strength = 32 MPa and w/c = 0.6).
where ft is the compressive strength of concrete, t is curing age in days, and a is CBA content (%).
Figure 19 describes the comparison between the developed correlation and the correlations available in the literature [60] in order to replicate the experimental data points at different curing ages (7, 28, 56, 90 and 180 days). It can be noticed that the developed correlation in the present work closely matched the experimental data compared to the correlation presented by Siddique et al. [60]. Thus, it can be used in future studies.
Figure 19.
Comparison among the developed correlations at different curing ages (a) 7 days, (b) 28 days, (c) 56 days, (d) 90 days and (e) 180 days [49].
5.2. Empirical Relationships for Alccofine-Assisted Coal Bottom Ash Concrete
The empirical equations for compressive, flexural and splitting tensile strength were modeled using regression analysis. Exponential variation among the properties was observed for various concrete mixes, viz. MB4A5, MB4A10, MB4A15 and MB4A20. The empirical relation is represented in Equation (7), and its correlation coefficients (a, b and c), along with R2 values, are tabulated in Table 8. The term ‘x’ denotes the Alccofine concentration in the concrete mix (5% to 20%).
5.3. Association among Strength Properties
Test results showed that the STS and flexural strength of the concrete mix vary in a similar fashion as that of the compressive strength of Alccofine-assisted CBA concrete. Thus, if the compressive strength of the concrete mix is known, we can evaluate splitting tensile and flexural using the developed empirical equations. Thus, regression curve fitting (Equation (8)) was performed to correlate flexural (Figure 20) and splitting tensile (Figure 21) strength of Alccofine-assisted CBA concrete with compressive strength. Correlation coefficients (a, b and c) along with R2 value are enlisted in Table 9. The term ‘x’ denotes the compressive strength (N/mm2) of the Alccofine-assisted CBA concrete mix.
Figure 20.
Regression curve fitting for compressive and flexural strength (Black square represents the data points and red line shows the curve fitting).
Figure 21.
Comparison for compressive and splitting tensile strength [81].
Table 9.
Correlation coefficients STS and flexural strength w.r.t. compressive strength.
Flexural or split tensile strength
Flexural or split tensile strength [81]
Figure 21 represents the data plotting for experimental results obtained from the present study and correlated data points obtained from the developed Equation (8). These results were compared with the correlation developed by Singh and Siddique [81], and it can be noticed that the correlation developed in the present study closely matched the experimental data compared to Singh and Siddique [81].
5.4. Relationship between Pulse Velocity and Strength Properties
Figure 22, Figure 23 and Figure 24 show the variation of compressive strength, flexural strength and STS of the Alccofine-assisted CBA concrete with pulse velocity. The red line indicates the regression line used to fit the data, ‘a’ and ‘b’ are the coefficients and ‘x’ is the pulse velocity at 28 days, 90 days and 180 days of curing age (Table 10). Correlation coefficients and coefficients of determination (R2) are tabulated in Table 10. The developed empirical relationship is somewhat the same as the relationships that already existed, i.e., for CBA concrete [5,73] and for normal concrete [82].
Figure 22.
Association between compressive strength and pulse velocity [64,65,66,83].
Figure 23.
Association between flexural strength and pulse velocity [64].
Figure 24.
Association between splitting tensile strength and pulse velocity [69].
Table 10.
Empirical coefficients for pulse velocity and strength property correlation.
Strength property correlated (present study) with pulse velocity (compressive, flexural, splitting tensile) =
As per the literature, strength property (compressive, flexural, splitting tensile) [5,73,82] =
Figure 22 describes the comparison and variation among the compressive strength of the concrete w.r.t. pulse velocity evaluated experimentally, developed correlation and correlations available in the literature. It can be noticed that the correlation developed in this study closely matched the experimental data as compared to the others. Similar variations can be noticed for flexural and splitting strength.
6. Conclusions
In this study, a challenge was initiated to use industrial waste, i.e., CBA ash, as an economical alternative to fine aggregate, along with Alccofine as a partial replacement for cement. The following conclusions have been drawn from the present study:
- ✓
- Compared to the controlled concrete mix, the strength properties have shown a significant decline for all the concentrations of CBA (10% to 50%);
- ✓
- Alccofine addition has recovered the workability and strength properties significantly as it contains a finer pore structure which reduces the void space in concrete. In particular, the MB4A15 concrete mix has shown the peak properties; thus, it is recommended to use Alccofine in place of cement as per the current investigation;
- ✓
- RCPT test results empower the MB4A15 concrete mix, as it showed very low chloride-ion penetration due to its dense pore structure and chemical stability. Therefore, it has been concluded that 40% of the industrial waste, i.e., coal bottom ash with a combination of 15% Alccofine material, as a replacement of cement, is a desirable combination in order to accomplish enhanced properties of concrete at a fresh as well as hardened stage;
- ✓
- SEM analysis has depicted the formation of extra C-S-H, due to the excellent pozzolanic reactions, projected dense pore structure and ultimately higher strength gain at all ages for the MB4A15 mix;
- ✓
- It has been concluded that for the MB4A15 mix, the cost has increased to 8.14% compared to control concrete; however, a significant increase of 58.3% in compressive strength can be observed, which is very large compared to the cost involved.
Author Contributions
Conceptualization, H.G. and A.K.; Methodology, A.S. and A.K.; Investigation, H.G. and A.S.; Resources, P.P. and P.L.; Data curation, A.S.; Writing—original draft, A.K.; Supervision, P.K.S. and A.K.; Project administration, P.L.; Funding acquisition, H.G., P.P. and P.L. All authors have read and agreed to the published version of the manuscript.
Funding
This research received no external funding.
Institutional Review Board Statement
Not applicable.
Informed Consent Statement
Not applicable.
Data Availability Statement
Data will be available on request.
Conflicts of Interest
The authors declare no conflict of interest.
References
- Poudyal, L.; Adhikari, K. Environmental sustainability in cement industry: An integrated approach for green and eco-nomical cement production. Resour. Environ. Sustain. 2021, 4, 100024. [Google Scholar] [CrossRef]
- Scope, C.; Vogel, M.; Guenther, E. Greener, cheaper, or more sustainable: Reviewing sustainability assessments of maintenance strategies of concrete structures. Sustain. Prod. Consum. 2020, 26, 838–858. [Google Scholar] [CrossRef]
- Al-Fakih, A.; Mohammed, B.S.; Liew, M.S.; Nikbakht, E. Incorporation of waste materials in the manufacture of masonry bricks: An update review. J. Build. Eng. 2018, 21, 37–54. [Google Scholar] [CrossRef]
- Shahidan, S.; Tayeh, B.A.; Jamaludin, A.A.; Bahari, N.A.; Mohd, S.S.; Ali, N.Z.; Khalid, F.S. Physical and mechanical properties of self-compacting concrete containing superplasticizer and me-takaolin. Mater. Sci. Eng. 2017, 271, 12004. [Google Scholar]
- Rafieizonooz, M.; Mirza, J.; Salim, M.R.; Hussin, M.W.; Khankhaje, E. Investigation of coal bottom ash and fly ash in concrete as replacement for sand and cement. Constr. Build. Mater. 2016, 116, 15–24. [Google Scholar] [CrossRef]
- Muthusamy, K.; Rasid, M.H.; Jokhio, G.; Budiea, A.M.A.; Hussin, M.W.; Mirza, J. Coal bottom ash as sand replacement in concrete: A review. Constr. Build. Mater. 2019, 236, 117507. [Google Scholar] [CrossRef]
- Tian, Y.; Zhou, X.; Yang, Y.; Nie, L. Experimental analysis of air-steam gasification of biomass with coal-bottom ash. J. Energy Inst. 2019, 93, 25–30. [Google Scholar] [CrossRef]
- Barcelo, L.; Kline, J.; Walenta, G.; Gartner, E. Cement and carbon emissions. Mater. Struct. 2013, 47, 1055–1065. [Google Scholar] [CrossRef]
- Benhelal, E.; Zahedi, G.; Shamsaei, E.; Bahadori, A. Global strategies and potentials to curb CO2 emissions in cement in-dustry. J. Clean. Prod. 2013, 51, 142–161. [Google Scholar] [CrossRef]
- Aggarwal, Y.; Siddique, R. Microstructure and properties of concrete using bottom ash and waste foundry sand as partial replacement of fine aggregates. Constr. Build. Mater. 2014, 54, 210–223. [Google Scholar] [CrossRef]
- Polydorou, T.; Constantinides, G.; Neocleous, K.; Kyriakides, N.; Koutsokeras, L.; Chrysostomou, C.; Hadjimitsis, D. Effects of pre-treatment using waste quarry dust on the adherence of recycled tyre rubber particles to cementitious paste in rubberised concrete. Constr. Build. Mater. 2020, 254, 119325. [Google Scholar] [CrossRef]
- Febin, G.K.; Abhirami, A.; Vineetha, A.; Manisha, V.; Ramkrishnan, R.; Sathyan, D.; Mini, K. Strength and durability properties of quarry dust powder incorporated concrete blocks. Constr. Build. Mater. 2019, 228, 116793. [Google Scholar] [CrossRef]
- Zafar, M.S.; Javed, U.; Khushnood, R.A.; Nawaz, A.; Zafar, T. Sustainable incorporation of waste granite dust as partial replacement of sand in autoclave aerated concrete. Constr. Build. Mater. 2020, 250, 118878. [Google Scholar] [CrossRef]
- Jain, K.L.; Sancheti, G.; Gupta, L.K. Durability performance of waste granite and glass powder added concrete. Constr. Build. Mater. 2020, 252, 119075. [Google Scholar] [CrossRef]
- Zeybek, Ö.; Özkılıç, Y.O.; Karalar, M.; Çelik, A.I.; Qaidi, S.; Ahmad, J.; Burduhos-Nergis, D.D.; Burduhos-Nergis, D.P. Influence of Replacing Cement with Waste Glass on Mechanical Properties of Concrete. Materials 2022, 15, 7513. [Google Scholar] [CrossRef]
- Çelik, A.I.; Özkılıç, Y.O.; Zeybek, Ö.; Karalar, M.; Qaidi, S.; Ahmad, J.; Burduhos-Nergis, D.D.; Bejinariu, C. Mechanical Behavior of Crushed Waste Glass as Replacement of Aggregates. Materials 2022, 15, 8093. [Google Scholar] [CrossRef]
- dos Santos, L.; Magalhães, R.; Barreto, S.; Santos, G.; de Paiva, F.; de Souza, A.; Teixeira, S. Characterization and reuse of spent foundry sand in the production of concrete for interlocking pavement. J. Build. Eng. 2020, 36, 102098. [Google Scholar] [CrossRef]
- Mushtaq, S.M.; Siddique, R.; Goyal, S.; Kaur, K. Experimental studies and drying shrinkage prediction model for concrete containing waste foundry sand. Clean. Eng. Technol. 2021, 2, 100071. [Google Scholar] [CrossRef]
- Lo, F.-C.; Lee, M.-G.; Lo, S.-L. Effect of coal ash and rice husk ash partial replacement in ordinary Portland cement on pervious concrete. Constr. Build. Mater. 2021, 286, 122947. [Google Scholar] [CrossRef]
- Singh, M.; Siddique, R. Strength properties and micro-structural properties of concrete containing coal bottom ash as partial replacement of fine aggregate. Constr. Build. Mater. 2014, 50, 246–256. [Google Scholar] [CrossRef]
- Singh, N.; Bhardwaj, A. Reviewing the role of coal bottom ash as an alternative of cement. Constr. Build. Mater. 2019, 233, 117276. [Google Scholar] [CrossRef]
- Kara, I.B. Effects of cooling regimes on limestone rock and concrete with limestone aggregates at elevated temperatures. Int. J. Rock Mech. Min. Sci. 2021, 138, 104618. [Google Scholar] [CrossRef]
- Qaidi, S.; Najm, H.M.; Abed, S.M.; Özkılıç, Y.O.; Al Dughaishi, H.; Alosta, M.; Sabri, M.M.S.; Alkhatib, F.; Milad, A. Concrete Containing Waste Glass as an Environmentally Friendly Aggregate: A Review on Fresh and Mechanical Characteristics. Materials 2022, 15, 6222. [Google Scholar] [CrossRef] [PubMed]
- Huang, Y.; Huang, J.; Zhang, W.; Liu, X. Experimental and numerical study of hooked-end steel fiber-reinforced concrete based on the meso- and macro-models. Compos. Struct. 2023, 309, 116750. [Google Scholar] [CrossRef]
- Zhang, W.; Kang, S.; Huang, Y.; Liu, X. Behavior of Reinforced Concrete Beams without Stirrups and Strengthened with Basalt Fiber–Reinforced Polymer Sheets. J. Compos. Constr. 2023, 27, 04023007. [Google Scholar] [CrossRef]
- Qi, B.; Gao, S.; Xu, P. The Application of Rubber Aggregate-Combined Permeable Concrete Mixture in Sponge City Con-struction. Coatings 2023, 13, 87. [Google Scholar] [CrossRef]
- Qi, B.; Gao, S.; Xu, P. The Application of Recycled Epoxy Plastic Sheets Waste to Replace Concrete in Urban Construction and Building. Processes 2023, 11, 201. [Google Scholar] [CrossRef]
- Bai, B.; Bai, F.; Nie, Q.; Jia, X. A high-strength red mud–fly ash geopolymer and the implications of curing temperature. Powder Technol. 2023, 416, 118242. [Google Scholar] [CrossRef]
- Amin, M.; Agwa, I.S.; Mashaan, N.; Mahmood, S.; Abd-Elrahman, M.H. Investigation of the Physical Mechanical Properties and Durability of Sustainable Ultra-High Performance Concrete with Recycled Waste Glass. Sustainability 2023, 15, 3085. [Google Scholar] [CrossRef]
- Zeybek, Ö.; Özkılıç, Y.O.; Çelik, A.İ.; Deifalla, A.F.; Ahmad, M.; Sabri Sabri, M.M. Performance evaluation of fi-ber-reinforced concrete produced with steel fibers extracted from waste tire. Front. Mater. 2022, 9, 692. [Google Scholar] [CrossRef]
- Basaran, B.; Kalkan, I.; Aksoylu, C.; Özkılıç, Y.O.; Sabri, M.M.S. Effects of Waste Powder, Fine and Coarse Marble Aggregates on Concrete Compressive Strength. Sustainability 2022, 14, 14388. [Google Scholar] [CrossRef]
- Beskopylny, A.N.; Shcherban, E.M.; Stel’Makh, S.A.; Meskhi, B.; Shilov, A.A.; Varavka, V.; Evtushenko, A.; Özkılıç, Y.O.; Aksoylu, C.; Karalar, M. Composition Component Influence on Concrete Properties with the Additive of Rubber Tree Seed Shells. Appl. Sci. 2022, 12, 11744. [Google Scholar] [CrossRef]
- Shcherban, E.M.; Stel’Makh, S.A.; Beskopylny, A.N.; Mailyan, L.R.; Meskhi, B.; Shilov, A.A.; Chernil’Nik, A.; Özkılıç, Y.O.; Aksoylu, C. Normal-Weight Concrete with Improved Stress–Strain Characteristics Reinforced with Dispersed Coconut Fibers. Appl. Sci. 2022, 12, 11734. [Google Scholar] [CrossRef]
- Wang, L.; Huang, Y.; Zhao, F.; Huo, T.; Chen, E.; Tang, S. Comparison between the Influence of Finely Ground Phosphorous Slag and Fly Ash on Frost Resistance, Pore Structures and Fractal Features of Hydraulic Concrete. Fractal Fract. 2022, 6, 598. [Google Scholar] [CrossRef]
- Zhou, H.; Bhattarai, R.; Li, Y.; Si, B.; Dong, X.; Wang, T.; Yao, Z. Towards sustainable coal industry: Turning coal bottom ash into wealth. Sci. Total. Environ. 2021, 804, 149985. [Google Scholar] [CrossRef] [PubMed]
- Jaturapitakkul, C.; Cheerarot, R. Development of bottom ash as pozzolanic material. J. Mater. Civ. Eng. 2003, 15, 48–53. [Google Scholar] [CrossRef]
- Kurama, H.; Kaya, M. Usage of coal combustion bottom ash in concrete mixture. Constr. Build. Mater. 2008, 22, 1922–1928. [Google Scholar] [CrossRef]
- Yıldırım, H.; Özturan, T. Impact resistance of concrete produced with plain and reinforced cold-bonded fly ash aggregates. J. Build. Eng. 2021, 42, 102875. [Google Scholar] [CrossRef]
- Güneyisi, E.; Gesoğlu, M.; Altan, I.; Öz, H. Utilization of cold bonded fly ash lightweight fine aggregates as a partial substitution of natural fine aggregate in self-compacting mortars. Constr. Build. Mater. 2015, 74, 9–16. [Google Scholar] [CrossRef]
- Oren, O.H.; Gholampour, A.; Gencel, O.; Ozbakkaloglu, T. Physical and mechanical properties of foam concretes containing granulated blast furnace slag as fine aggregate. Constr. Build. Mater. 2019, 238, 117774. [Google Scholar] [CrossRef]
- Mengasini, L.; Mavroulidou, M.; Gunn, M.J. Alkali-activated concrete mixes with ground granulated blast furnace slag and paper sludge ash in seawater environments. Sustain. Chem. Pharm. 2021, 20, 100380. [Google Scholar] [CrossRef]
- Chand, G.; Happy, S.K.; Ram, S. Assessment of the properties of sustainable concrete produced from quaternary blend of portland cement, glass powder, metakaolin and silica fume. Clean. Eng. Technol. 2021, 4, 100179. [Google Scholar] [CrossRef]
- Habibi, A.; Ramezanianpour, A.M.; Mahdikhani, M.; Bamshad, O. RSM-based evaluation of mechanical and durability properties of recycled aggregate concrete containing GGBFS and silica fume. Constr. Build. Mater. 2020, 270, 121431. [Google Scholar] [CrossRef]
- Jindal, B.B.; Singhal, D.; Sharma, S.K.; Ashish, D.; Parveen, P. Improving compressive strength of low calcium fly ash geopolymer concrete with alccofine. Adv. Concr. Constr. 2017, 5, 17–29. [Google Scholar] [CrossRef]
- Singhal, D.; Jindal, B.B.; Garg, A. Mechanical properties of ground granulated blast furnace slag based geopolymer con-crete incorporating alccofine with different concentration and curing temperature. Adv. Sci. Eng. Med. 2017, 9, 948–958. [Google Scholar] [CrossRef]
- Muduli, R.; Mukharjee, B.B. Effect of incorporation of metakaolin and recycled coarse aggregate on properties of concrete. J. Clean. Prod. 2018, 209, 398–414. [Google Scholar] [CrossRef]
- Bilal, H.; Chen, T.; Ren, M.; Gao, X.; Su, A. Influence of silica fume, metakaolin & SBR latex on strength and durability performance of pervious concrete. Constr. Build. Mater. 2021, 275, 122124. [Google Scholar] [CrossRef]
- Tangadagi, R.B.; Manjunatha, M.; Seth, D.; Preethi, S. Role of mineral admixtures on strength and durability of high strength self compacting concrete: An experimental study. Materialia 2021, 18, 101144. [Google Scholar] [CrossRef]
- Singh, M.; Siddique, R.G. Effect of Coal Bottom Ash on Strength and Durability Properties of Concrete. Ph.D. Thesis, Thapar Institute of Engineering & Technology, Punjab, India, 2015. [Google Scholar]
- Argiz, C.; Moragues, A.; Menéndez, E. Use of ground coal bottom ash as cement constituent in concretes exposed to chloride environments. J. Clean. Prod. 2018, 170, 25–33. [Google Scholar] [CrossRef]
- Gooi, S.; Mousa, A.A.; Kong, D. A critical review and gap analysis on the use of coal bottom ash as a substitute constituent in concrete. J. Clean. Prod. 2020, 268, 121752. [Google Scholar] [CrossRef]
- Jang, J.; Kim, H.; Lee, H. Resistance of coal bottom ash mortar against the coupled deterioration of carbonation and chloride penetration. Mater. Des. 2016, 93, 160–167. [Google Scholar] [CrossRef]
- Nataraja, M.C.; Das, L. Concrete mix proportioning as per IS 10262: 2009–Comparison with IS 10262: 1982 and ACI 211.1-91. Indian Concr. J. 2010, 2010, 64–70. [Google Scholar]
- IS 10262-2009; Recommended Guidelines for Concrete Mix Design. Bureau of Indian Standards: New Delhi, India, 2009.
- Gunasekaran, K.; Kumar, P.; Lakshmipathy, M. Mechanical and bond properties of coconut shell concrete. Constr. Build. Mater. 2010, 25, 92–98. [Google Scholar] [CrossRef]
- Chun, L.B.; Sung, K.J.; Sang, K.T.; Chae, S.T. A study on the fundamental properties of concrete incorporating pond-ash in Korea. In Proceedings of the 3rd ACF international conference-ACF/VCA, Ho Chi Minh City, Vietnam, 11–13 November 2008; pp. 401–408. [Google Scholar]
- Aggarwal, P.; Aggarwal, Y.; Gupta, S.M. Effect of bottom ash as replacement of fine aggregates in concrete. Asian J. Civ. Eng. 2007, 8, 49–62. [Google Scholar]
- Kim, H.; Lee, H. Use of power plant bottom ash as fine and coarse aggregates in high-strength concrete. Constr. Build. Mater. 2011, 25, 1115–1122. [Google Scholar] [CrossRef]
- Irassar, E. Sulfate attack on cementitious materials containing limestone filler—A review. Cem. Concr. Res. 2009, 39, 241–254. [Google Scholar] [CrossRef]
- Brown, P.W. An evaluation of the sulfate resistance of cements in a controlled environment. Cem. Concr. Res. 1981, 11, 719–727. [Google Scholar] [CrossRef]
- Ouyang, C.; Nanni, A.; Chang, W.F. Internal and external sources of sulfate ions in portland cement mortar: Two types of chemical attack. Cem. Concr. Res. 1988, 18, 699–709. [Google Scholar] [CrossRef]
- Wang, L.; Zhou, S.; Shi, Y.; Huang, Y.; Zhao, F.; Huo, T.; Tang, S. The Influence of Fly Ash Dosages on the Permeability, Pore Structure and Fractal Features of Face Slab Concrete. Fractal Fract. 2022, 6, 476. [Google Scholar] [CrossRef]
- Wang, L.; Yu, Z.; Liu, B.; Zhao, F.; Tang, S.; Jin, M. Effects of Fly Ash Dosage on Shrinkage, Crack Resistance and Fractal Characteristics of Face Slab Concrete. Fractal Fract. 2022, 6, 335. [Google Scholar] [CrossRef]
- Guneyisi, E. Effect of Binding Material Composition on Strength and Chloride Permeability of High Strength Concrete. Master’s Thesis, Department of Civil Engineering, Bogazic University, Istanbul, Türkiye, 1999. [Google Scholar]
- Gastaldini, A.; Isaia, G.; Gomes, N.; Sperb, J. Chloride penetration and carbonation in concrete with rice husk ash and chemical activators. Cem. Concr. Compos. 2007, 29, 176–180. [Google Scholar] [CrossRef]
- Ramezanianpour, A.A.; Malhotra, V.M. Effect of curing on the compressive strength, resistance to chloride-ion pene-tration and porosity of concretes incorporating slag, fly ash or silica fume. Cem. Concr. Compos. 1995, 17, 125–133. [Google Scholar] [CrossRef]
- Naik, T.R.; Singh, S.S.; Ramme, B.W. Mechanical properties and durability of concrete made with blended fly ash. Mater. J. 1998, 95, 454–462. [Google Scholar]
- Oh, B.H.; Cha, S.W.; Jang, B.S.; Jang, S.Y. Development of high-performance concrete having high resistance to chloride penetration. Nucl. Eng. Des. 2002, 212, 221–231. [Google Scholar] [CrossRef]
- Feng, N.; Feng, X.; Hao, T.; Xing, F. Effect of ultrafine mineral powder on the charge passed of the concrete. Cem. Concr. Res. 2002, 32, 623–627. [Google Scholar] [CrossRef]
- Yang, C.; Chiang, C. On the relationship between pore structure and charge passed from RCPT in mineral-free cement-based materials. Mater. Chem. Phys. 2005, 93, 202–207. [Google Scholar] [CrossRef]
- Gu, P.; Beaudoin, J.J.; Zhang, M.-H.; Malhotra, V.M. Performance of steel reinforcement in portland cement and high-volume fly ash concretes. Mater. J. 1999, 96, 551–559. [Google Scholar]
- Cheriaf, M.; Rocha, J.; Péra, J. Pozzolanic properties of pulverized coal combustion bottom ash. Cem. Concr. Res. 1999, 29, 1387–1391. [Google Scholar] [CrossRef]
- Singh, M.; Siddique, R. Properties of concrete containing high volumes of coal bottom ash as fine aggregate. J. Clean. Prod. 2015, 91, 269–278. [Google Scholar] [CrossRef]
- Onprom, P.; Chaimoon, K.; Cheerarot, R. Influence of Bottom Ash Replacements as Fine Aggregate on the Property of Cellular Concrete with Various Foam Contents. Adv. Mater. Sci. Eng. 2015, 2015, 381704. [Google Scholar] [CrossRef]
- Sagar, B.; Sivakumar, M.V.N. Mechanical and Microstructure Characterization of Alccofine Based High Strength Concrete. Silicon 2021, 14, 1–19. [Google Scholar] [CrossRef]
- Zanni, H.; Cheyrezy, M.; Maret, V.; Philippot, S.; Nieto, P. Investigation of hydration and pozzolanic reaction in Reactive Powder Concrete (RPC) using 29Si NMR. Cem. Concr. Res. 1996, 26, 93–100. [Google Scholar] [CrossRef]
- Senff, L.; Labrincha, J.A.; Ferreira, V.M.; Hotza, D.; Repette, W.L. Effect of nano-silica on rheology and fresh properties of cement pastes and mortars. Constr. Build. Mater. 2009, 23, 2487–2491. [Google Scholar] [CrossRef]
- Kavyateja, B.V.; Jawahar, J.G.; Sashidhar, C. Effect of alccofine and fly ash on analytical methods of self-compacting concrete. Innov. Infrastruct. Solut. 2020, 5, 1–11. [Google Scholar] [CrossRef]
- Reddy, P.N.; Naqash, J.A. Properties of Concrete Modified with Ultra-Fine Slag. Karbala Int. J. Mod. Sci. 2019, 5, 4. [Google Scholar] [CrossRef]
- Elaty, M.A.A.A. Compressive strength prediction of Portland cement concrete with age using a new model. HBRC J. 2014, 10, 145–155. [Google Scholar] [CrossRef]
- Singh, M.; Siddique, R. Effect of coal bottom ash as partial replacement of sand on workability and strength properties of concrete. J. Clean. Prod. 2016, 112, 620–630. [Google Scholar] [CrossRef]
- Turgut, P. Research into the correlation between concrete strength and UPV values. NDT Net 2004, 12, 1–9. [Google Scholar]
- Nash’t, I.H.; A’bour, S.H.; Sadoon, A.A. Finding an unified relationship between crushing strength of concrete and non-destructive tests. In Proceedings of the Middle East Nondestructive Testing Conference & Exhibition, Manama, Bahrain, 27–30 November 2005; pp. 27–30. [Google Scholar]
Disclaimer/Publisher’s Note: The statements, opinions and data contained in all publications are solely those of the individual author(s) and contributor(s) and not of MDPI and/or the editor(s). MDPI and/or the editor(s) disclaim responsibility for any injury to people or property resulting from any ideas, methods, instructions or products referred to in the content. |
© 2023 by the authors. Licensee MDPI, Basel, Switzerland. This article is an open access article distributed under the terms and conditions of the Creative Commons Attribution (CC BY) license (https://creativecommons.org/licenses/by/4.0/).























