Variation Characteristics of Two Erosion Forces and Their Potential Risk Assessment in the Pisha Sandstone Area
Abstract
1. Introduction
2. Materials and Methods
2.1. Study Area
2.2. Data Requirement and Preprocessing
2.3. Data Analysis
2.3.1. Identifying Change Point by the Pettitt Test
2.3.2. Testing Trend Using Modified Mann–Kendall Test
2.3.3. Distribution Fitting of Samples Considering Non-Stationarity
2.3.4. Coupled Scenarios of Multiple Erosion Forces
3. Results
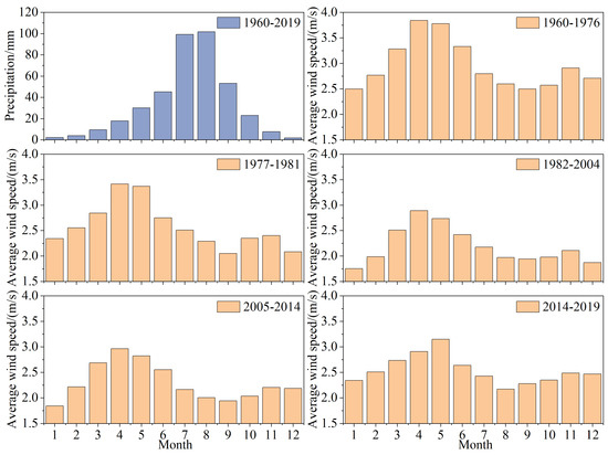
3.1. Variation Analysis and Stationarity Correction of Annual External Erosion Forces
3.2. Differences in the Action Period and Spatial Distribution of External Erosion Forces
3.3. Temporal Evolution of the Risk of Compound Events Consisting of Multiple External Erosion Forces
4. Discussion
4.1. Causes of Temporal and Spatial Differences between Two External Erosion Forces
4.2. Impacts and Adjustment of the Measures According the Results
5. Conclusions
Author Contributions
Funding
Institutional Review Board Statement
Informed Consent Statement
Data Availability Statement
Acknowledgments
Conflicts of Interest
References
- Evans, R.; Boardman, J. The New Assessment of Soil Loss by Water Erosion in Europe. Panagos P. et al., 2015 Environmental Science & Policy 54, 438-447-A Response. Environ. Sci. Policy 2016, 58, 11–15. [Google Scholar]
- Mezösi, G.; Blanka, V.; Bata, T.; Kovacs, F.; Meyer, B. Estimation of Regional Differences in Wind Erosion Sensitivity in Hungary. Nat. Hazards Earth Syst. Sci. 2015, 15, 97–107. [Google Scholar] [CrossRef]
- Amundson, R.; Berhe, A.A.; Hopmans, J.; Olson, C. Soil and Human Security in the 21st Century. Science 2015, 348, 1261074. [Google Scholar] [CrossRef] [PubMed]
- Hou, X.; Shao, J.; Chen, X.; Li, J.; Lu, J. Changes in the Soil Erosion Status in the Middle and Lower Reaches of the Yangtze River Basin from 2001 to 2014 and the Impacts of Erosion on the Water Quality of Lakes and Reservoirs. Int. J. Remote Sens. 2020, 41, 3175–3196. [Google Scholar] [CrossRef]
- Wei, W.; Chen, L.; Fu, B.; Chen, J. Water Erosion Response to Rainfall and Land Use in Different Drought-Level Years in a Loess Hilly Area of China. Catena 2010, 81, 24–31. [Google Scholar] [CrossRef]
- Lin, J.; Guan, Q.; Pan, N.; Zhao, R.; Yang, L.; Xu, C. Spatiotemporal Variations and Driving Factors of the Potential Wind Erosion Rate in the Hexi Region, PR China. L. Degrad. Dev. 2021, 32, 139–157. [Google Scholar] [CrossRef]
- Shen, Y.; Zhang, C.; Wang, X.; Zou, X.; Kang, L. Statistical Characteristics of Wind Erosion Events in the Erosion Area of Northern China. Catena 2018, 167, 399–410. [Google Scholar] [CrossRef]
- Zhang, J.; Yang, M.; Sun, X.; Zhang, F. Estimation of Wind and Water Erosion Based on Slope Aspects in the Crisscross Region of the Chinese Loess Plateau. J. Soils Sediments 2018, 18, 1620–1631. [Google Scholar] [CrossRef]
- Ma, X.; Zhao, C.; Zhu, J. Aggravated Risk of Soil Erosion with Global Warming—A Global Meta-Analysis. Catena 2021, 200, 105129. [Google Scholar] [CrossRef]
- Jolivet, M.; Braucher, R.; Dovchintseren, D.; Hocquet, S.; Schmitt, J.M. Erosion around a Large-Scale Topographic High in a Semi-Arid Sedimentary Basin: Interactions between Fluvial Erosion, Aeolian Erosion and Aeolian Transport. Geomorphology 2021, 386, 107747. [Google Scholar] [CrossRef]
- Fenta, A.A.; Tsunekawa, A.; Haregeweyn, N.; Poesen, J.; Tsubo, M.; Borrelli, P.; Panagos, P.; Vanmaercke, M.; Broeckx, J.; Yasuda, H.; et al. Land Susceptibility to Water and Wind Erosion Risks in the East Africa Region. Sci. Total Environ. 2020, 703, 135016. [Google Scholar] [CrossRef] [PubMed]
- Du, H.; Dou, S.; Deng, X.; Xue, X.; Wang, T. Assessment of Wind and Water Erosion Risk in the Watershed of the Ningxia-Inner Mongolia Reach of the Yellow River, China. Ecol. Indic. 2016, 67, 117–131. [Google Scholar] [CrossRef]
- Yang, M.Y.; Walling, D.E.; Sun, X.J.; Zhang, F.B.; Zhang, B. A Wind Tunnel Experiment to Explore the Feasibility of Using Beryllium-7 Measurements to Estimate Soil Loss by Wind Erosion. Geochim. Cosmochim. Acta 2013, 114, 81–93. [Google Scholar] [CrossRef]
- Ren, Z.; Zhang, X.; Zhang, X.; Li, Z.; Li, P.; Zhou, Z. Sand Cover Enhances Rill Formation under Laboratory Rainfall Simulation. Catena 2021, 205, 105472. [Google Scholar] [CrossRef]
- Guo, Q.; Cheng, C.; Jiang, H.; Liu, B.; Wang, Y. Comparative Rates of Wind and Water Erosion on Typical Farmland at the Northern End of the Loess Plateau, China. Geoderma 2019, 352, 104–115. [Google Scholar] [CrossRef]
- Borrelli, P.; Robinson, D.A.; Panagos, P.; Lugato, E.; Yang, J.E.; Alewell, C.; Wuepper, D.; Montanarella, L.; Ballabio, C. Land Use and Climate Change Impacts on Global Soil Erosion by Water (2015–2070). Proc. Natl. Acad. Sci. USA 2020, 117, 21994–22001. [Google Scholar] [CrossRef]
- Qiu, B.; Chen, G.; Tang, Z.; Lu, D.; Wang, Z.; Chen, C. Assessing the Three-North Shelter Forest Program in China by a Novel Framework for Characterizing Vegetation Changes. ISPRS J. Photogramm. Remote Sens. 2017, 133, 75–88. [Google Scholar] [CrossRef]
- Xiao, L.; Li, G.; Zhao, R.; Zhang, L. Effects of Soil Conservation Measures on Wind Erosion Control in China: A Synthesis. Sci. Total Environ. 2021, 778, 146308. [Google Scholar] [CrossRef]
- Zhang, X.; Zhang, L.; Zhao, J.; Rustomji, P.; Hairsine, P. Responses of Streamflow to Changes in Climate and Land Use/Cover in the Loess Plateau, China. Water Resour. Res. 2008, 44, W00A07. [Google Scholar] [CrossRef]
- Zhang, P.; Yao, W.Y.; Liu, G.B.; Xiao, P.Q.; Sun, W.Y. Experimental Study of Sediment Transport Processes and Size Selectivity of Eroded Sediment on Steep Pisha Sandstone Slopes. Geomorphology 2020, 363, 107211. [Google Scholar] [CrossRef]
- Liang, Z.; Wu, Z.; Yao, W.; Noori, M.; Yang, C.; Xiao, P.; Leng, Y.; Deng, L. Pisha Sandstone: Causes, Processes and Erosion Options for Its Control and Prospects. Int. Soil Water Conserv. Res. 2019, 7, 1–8. [Google Scholar] [CrossRef]
- Resource and Environment Science and Data Center. Available online: http://www.resdc.cn (accessed on 13 March 2020).
- Geospatial Data Cloud Site, Computer Network Information Center, Chinese Academy of Sciences. Available online: http://www.gscloud.cn (accessed on 24 February 2022).
- Pettitt, A.N. A Non-Parametric Approach to the Change-Point Problem. Appl. Stat. 1979, 28, 126–135. [Google Scholar] [CrossRef]
- Pettitt, A.N. A Simple Cumulative Sum Type Statistic for the Change-Point Problem with Zero-One Observations. Biometrika 1980, 67, 79–84. [Google Scholar] [CrossRef]
- Mann, H.B. Non-Parametric Test Against Trend. Econometrica 1945, 13, 245–259. [Google Scholar] [CrossRef]
- Hamed, K.H.; Rao, A.R. A Modified Mann-Kendall Trend Test for Autocorrelated Data. J. Hydrol. 1998, 204, 182–196. [Google Scholar] [CrossRef]
- Ding, T.; Gao, H.; Li, X. Universal Pause of the Human-Perceived Winter Warming in the 21st Century over China. Environ. Res. Lett. 2021, 16, 064070. [Google Scholar] [CrossRef]
- Gu, X.; Zhang, Q.; Singh, V.P.; Shi, P. Nonstationarity in Timing of Extreme Precipitation across China and Impact of Tropical Cyclones. Glob. Planet. Change 2017, 149, 153–165. [Google Scholar] [CrossRef]
- Zuo, Z.; Zhang, R.; Huang, Y.; Xiao, D.; Guo, D. Extreme Cold and Warm Events over China in Wintertime. Int. J. Climatol. 2015, 35, 3568–3581. [Google Scholar] [CrossRef]
- Micu, D.M.; Dumitrescu, A.; Cheval, S.; Nita, I.A.; Birsan, M.V. Temperature Changes and Elevation-Warming Relationships in the Carpathian Mountains. Int. J. Climatol. 2021, 41, 2154–2172. [Google Scholar] [CrossRef]
- Duman, T.; Huang, C.W.; Litvak, M.E. Recent Land Cover Changes in the Southwestern US Lead to an Increase in Surface Temperature. Agric. For. Meteorol. 2021, 297, 108246. [Google Scholar] [CrossRef]
- Ge, J.; Feng, D.; You, Q.; Zhang, W.; Zhang, Y. Characteristics and Causes of Surface Wind Speed Variations in Northwest China from 1979 to 2019. Atmos. Res. 2021, 254, 105527. [Google Scholar] [CrossRef]
- Jiang, B.; Liang, S.; Yuan, W. Observational Evidence for Impacts of Vegetation Change on Local Surface Climate over Northern China Using the Granger Causality Test. J. Geophys. Res. Biogeosciences 2015, 120, 1–12. [Google Scholar] [CrossRef]
- Jung, C.; Schindler, D. Changing Wind Speed Distributions under Future Global Climate. Energy Convers. Manag. 2019, 198, 111841. [Google Scholar] [CrossRef]
- Brosens, L.; Robinet, J.; Pelckmans, I.; Ameijeiras-Mariño, Y.; Govers, G.; Opfergelt, S.; Minella, J.P.G.; Vanderborght, J. Have Land Use and Land Cover Change Affected Soil Thickness and Weathering Degree in a Subtropical Region in Southern Brazil? Insights from Applied Mid-Infrared Spectroscopy. Catena 2021, 207, 105698. [Google Scholar] [CrossRef]
- Ren, Z.; Pan, J.; Li, Z.; Xiao, P.; Shen, Z.; Jia, L.; Li, X. The Interaction of Aeolian Sand and Slope on Runoff and Soil Loss on a Loess Slope via Simulated Rainfall under Laboratory Conditions. Water 2023, 15, 888. [Google Scholar] [CrossRef]
- Zheng, H.; Miao, C.; Jiao, J.; Borthwick, A.G.L. Complex Relationships between Water Discharge and Sediment Concentration across the Loess Plateau, China. J. Hydrol. 2021, 596, 126078. [Google Scholar] [CrossRef]
- Xie, M.Y.; Ren, Z.P.; Li, Z.B.; Li, P.; Shi, P.; Zhang, X.M. Changes in Runoff and Sediment Load of the Huangfuchuan River Following a Water and Soil Conservation Project. J. Soil Water Conserv. 2020, 75, 590–600. [Google Scholar] [CrossRef]
- Yang, S.; Shi, P.; Li, P.; Li, Z.; Niu, H.; Zu, P.; Cui, L. Ecosystem Services Trade-Offs and Synergies Following Vegetation Restoration on the Loess Plateau of China. Sustainability 2023, 15, 229. [Google Scholar] [CrossRef]
- Yuan, S.; Li, Z.; Chen, L.; Li, P.; Zhang, Z.; Zhang, J.; Wang, A.; Yu, K. Effects of a Check Dam System on the Runoff Generation and Concentration Processes of a Catchment on the Loess Plateau. Int. Soil Water Conserv. Res. 2022, 10, 86–98. [Google Scholar] [CrossRef]









| Significance Level | Test Value | Degree of Confidence |
|---|---|---|
| 0.001 | 3.291 | 99.90% |
| 0.01 | 2.576 | 99.00% |
| 0.05 | 1.96 | 95.00% |
| 0.1 | 1.645 | 90.00% |
| Distribution | Probability Density Function | Parameters |
|---|---|---|
| Gamma (GAM) | α, β | |
| exponential (EXP) | μ | |
| Weibull (WBL) | α, β | |
| generalized extreme value (GEV) | k, μ, σ | |
| generalized Pareto (GP) | k, σ, μ | |
| Pearson type III (P–III) | μ, σ, γ |
| Statistical Parameters | Period | ||||
|---|---|---|---|---|---|
| P1 | P2 | P3 | P4 | P5 | |
| Mean /(m/s) | 2.96 | 2.58 | 2.19 | 2.30 | 2.58 |
| Cv | 0.05 | 0.05 | 0.04 | 0.04 | 0.02 |
| Slope of linear regression (m/s)/a | −0.0024 | −0.0721 | −0.0041 | −0.0041 | −0.0115 |
| Annual Elements | Distribution | K–S Test | RSME | AIC | |
|---|---|---|---|---|---|
| h | p_Value | ||||
| Precipitation | GAM | 0 | 0.82 | 0.027 | −428.4 |
| EXP | 1 | 0.00 | 0.227 | −175.8 | |
| WBL | 0 | 0.74 | 0.032 | −409.3 | |
| GEV | 0 | 0.93 | 0.026 | −434.5 | |
| GP | 1 | 0.00 | 0.163 | −213.4 | |
| P–III | 0 | 0.92 | 0.025 | −436.0 | |
| Average wind speed | GAM | 0 | 0.84 | 0.032 | −408.3 |
| EXP | 1 | 0.00 | 0.302 | −141.8 | |
| WBL | 0 | 0.75 | 0.033 | −405.8 | |
| GEV | 0 | 0.93 | 0.028 | −424.8 | |
| GP | 1 | 0.00 | 0.345 | −123.6 | |
| P–III | 0 | 0.92 | 0.028 | −421.5 | |
| Cumulative Probability | Precipitation/mm | Average Wind Speed/(m/s) |
|---|---|---|
| 0.25 | 323.3 | 2.89 |
| 0.5 | 389.0 | 2.96 |
| 0.75 | 460.1 | 3.03 |
| Sort | 1960s | 1970s | 1980s | 1990s | 2000s | 2010s | Sum |
|---|---|---|---|---|---|---|---|
| P1W1 | − | 1 | 2 | 3 | 4 | 1 | 11 |
| P1W2 | 2 | − | − | − | − | − | 2 |
| P1W3 | 1 | 1 | − | − | − | − | 2 |
| P2W1 | 1 | 2 | 7 | 5 | 5 | 5 | 25 |
| P2W2 | − | 3 | − | − | − | − | 3 |
| P2W3 | 3 | − | − | − | − | − | 3 |
| P3W1 | 3 | 2 | 1 | 2 | 1 | 4 | 13 |
| P3W2 | − | − | − | − | − | − | − |
| P3W3 | − | 1 | − | − | − | − | 1 |
Disclaimer/Publisher’s Note: The statements, opinions and data contained in all publications are solely those of the individual author(s) and contributor(s) and not of MDPI and/or the editor(s). MDPI and/or the editor(s) disclaim responsibility for any injury to people or property resulting from any ideas, methods, instructions or products referred to in the content. |
© 2023 by the authors. Licensee MDPI, Basel, Switzerland. This article is an open access article distributed under the terms and conditions of the Creative Commons Attribution (CC BY) license (https://creativecommons.org/licenses/by/4.0/).
Share and Cite
Xie, M.; Ren, Z.; Miao, B.; Li, Z.; Ma, X.; Yan, R. Variation Characteristics of Two Erosion Forces and Their Potential Risk Assessment in the Pisha Sandstone Area. Sustainability 2023, 15, 6064. https://doi.org/10.3390/su15076064
Xie M, Ren Z, Miao B, Li Z, Ma X, Yan R. Variation Characteristics of Two Erosion Forces and Their Potential Risk Assessment in the Pisha Sandstone Area. Sustainability. 2023; 15(7):6064. https://doi.org/10.3390/su15076064
Chicago/Turabian StyleXie, Mengyao, Zongping Ren, Binxia Miao, Zhanbin Li, Xiaoni Ma, and Rui Yan. 2023. "Variation Characteristics of Two Erosion Forces and Their Potential Risk Assessment in the Pisha Sandstone Area" Sustainability 15, no. 7: 6064. https://doi.org/10.3390/su15076064
APA StyleXie, M., Ren, Z., Miao, B., Li, Z., Ma, X., & Yan, R. (2023). Variation Characteristics of Two Erosion Forces and Their Potential Risk Assessment in the Pisha Sandstone Area. Sustainability, 15(7), 6064. https://doi.org/10.3390/su15076064
