Investigation Properties of Pervious and Water-Retaining Recycled Concrete to Mitigate Urban Heat Island Phenomena
Abstract
1. Introduction
2. Materials and Methods
2.1. Materials
2.2. Mix Composition and Preparation
2.2.1. Cement Content
2.2.2. Aggregate Density
2.2.3. Sand Dosage
2.2.4. Water Content
2.2.5. Final Mix Design
2.3. Test Methods
2.3.1. Compressive Test
2.3.2. Splitting Test
2.3.3. Porosity
- Pa represents the open porosity [%];
- Mair represents the mass of the specimen after saturation in water [kg];
- represents the mass of the specimen while submerged in water [kg];
- y represents the mass of the dry sample [kg].
2.3.4. Permeability
- K represents the permeability coefficient (mm.s−1);
- L represents the sample length (mm);
- h represents the head of water (mm);
- t represents the duration of water failing (seconds);
- Q represents the volume of collected water (m3);
- ΔT represents the duration of water collection (seconds);
- A represents the cross-sectional area of specimen (mm2).
2.3.5. Water-Retaining and Absorption Coefficient
- represents the mass of the specimen removed from water at different times (kg);
- represents the dry mass of the specimen (kg);
- V represents the volume of the specimen (m3).

2.3.6. Water Absorption Percentage and Capillarity Coefficient
- represents the mass of the sample in contact with water at different times (kg);
- represents the mass of the sample removed from water after saturation (kg);
- represents the dry mass of the samples (kg).
- represents the mass of the sample immersed in water (kg);
- represents the dry mass of the samples (kg);
- A represents the surface of contact between the sample and the water (m2).
2.3.7. Sorption/Desorption Test
3. Results and Discussion
3.1. Compressiveand Splitting Test
3.2. Porosity
3.3. Permeability
3.4. Water-Retaining and Absorption Coefficient under Wet Condition
3.5. Water Absorption under Dry Condition
3.6. Sorption/Desorption
4. Conclusions
- The research conducted in this study determined that pervious concrete mixtures incorporating recycled aggregate (designated as B20% and C60%) possess mechanical properties comparable to those of pervious concrete mixtures utilizing natural aggregate (designated as A). However, mixtures consisting entirely of recycled aggregate (designated as D100%) exhibited a substantial decrease in mechanical strength, limiting their use for walkways and pedestrian trials;
- The findings of this study demonstrate that pervious concrete utilizing recycled aggregates displays substantial water permeability, owing to a high porosity that results in a large, interconnected pore system. Specifically, the water permeability for Mixtures D100% and C60% is approximately 50% and 80% higher, respectively, than that of Mixture A, as determined through both falling head and constant head permeability tests at various pressure heads. Additionally, Mixture B20% exhibited slightly higher values of permeability than Mixture A;
- The water capacity test results indicate the potential of incorporating recycled aggregates in pervious concrete to enhance hydric properties and mitigate urban heat island effects. The test results show that one cubic meter of Mixes D100% and C60% can absorb at least 80 and 45 L more water, respectively, compared to Mixes A and B20%. Mix D100% demonstrates the ability to maintain this difference for over an hour and a half, classifying it as a water-retaining block. This feature makes this type of pavement a viable solution in areas where artificial irrigation is utilized to combat urban heat island effects;
- The section height test results reveal that mixtures D100% and C60% reached 55% and 44%, respectively, after 30 min, in contrast to 40% for Mixtures B20% and A. These results indicate that increasing the proportion of recycled aggregates in pervious concrete improves its hydric properties, which in turn enhances its effectiveness in combating urban heat island effects through the sub-watering method;
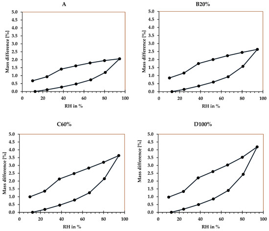
- The sorption/desorption test results emphasize the impact of recycled aggregates on the hydric and hygroscopic properties of pervious concrete. The test showed that the difference in mass in Mixtures B20%, C60%, and D100 was 26%, 76%, and 211% greater, respectively, than that in Control A. In addition, the area between the sorption and desorption curves, known as the hysteresis, was enhanced with the incorporation of recycled aggregate, resulting in an increase in the hygroscopicity of the mixtures. This enhancement in sorption and desorption capacity equips the recycled pavement with the capability to naturally mitigate the urban heat island in regions with hot and humid climates during warm seasons.
Author Contributions
Funding
Institutional Review Board Statement
Informed Consent Statement
Data Availability Statement
Acknowledgments
Conflicts of Interest
References
- Oke, T.R. The energetic basis of the urban heat island. Q. J. R. Meteorol. Soc. 1982, 108, 1–24. [Google Scholar] [CrossRef]
- Oke, T. The urban energy balance. Prog. Phys. Geogr. Earth Environ. 1988, 12, 471–508. [Google Scholar] [CrossRef]
- Arnfield, A.J. Two decades of urban climate research: A review of turbulence, exchanges of energy and water, and the urban heat island. Int. J. Clim. 2003, 23, 1–26. [Google Scholar] [CrossRef]
- Al-Jabri, K.; Hago, A.W.; Al-Nuaimi, A.; Al-Saidy, A. Concrete blocks for thermal insulation in hot climate. Cem. Concr. Res. 2005, 35, 1472–1479. [Google Scholar] [CrossRef]
- Grimmond, C.S.B.; Oke, T.R. Heat Storage in Urban Areas: Local-Scale Observations and Evaluation of a Simple Model. J. Appl. Meteorol. Climatol. 1999, 38, 922–940. [Google Scholar] [CrossRef]
- Qin, Y.; Hiller, J.E. Understanding pavement-surface energy balance and its implications on cool pavement development. Energy Build. 2014, 85, 389–399. [Google Scholar] [CrossRef]
- Akbari, H.; Rose, L.S. Characterizing the Fabric of the Urban Environment: A Case Study of Metropolitan Chicago, Illinois. October 2001. Available online: https://buildings.lbl.gov/publications/characterizing-fabric-urban (accessed on 15 January 2023).
- Starke, P.; Göbel, P.; Coldewey, W.G. Urban evaporation rates for water-permeable pavements. Water Sci. Technol. 2010, 62, 1161–1169. [Google Scholar] [CrossRef]
- Furumai, H.; Kim, J.; Imbe, M.; Okui, H. Recent application of rainwater storage and harvesting in Japan. Presented at the 3rd RWHM Workshop, Vienna, Austria, 11 September 2008. [Google Scholar]
- Okada, K.; Matsui, S.; Isobe, T.; Kameshima, Y.; Nakajima, A. Water-retention properties of porous ceramics prepared from mixtures of allophane and vermiculite for materials to counteract heat island effects. Ceram. Int. 2008, 34, 345–350. [Google Scholar] [CrossRef]
- Okada, K.; Ooyama, A.; Isobe, T.; Kameshima, Y.; Nakajima, A.; MacKenzie, K. Water retention properties of porous geopolymers for use in cooling applications. J. Eur. Ceram. Soc. 2009, 29, 1917–1923. [Google Scholar] [CrossRef]
- Ishizuka, R.; Fujiwara, E.; Akagawa, Ishizuka, R.; Fujiwara, E.; Akagawa, H. Study on applicability of water-feed-type wet block pavement to roadways. In Proceedings of the 8th International Conference on Concrete Block paving, San Francisco, CA, USA, 6–8 November 2006. [Google Scholar]
- Santamouris, M. Using cool pavements as a mitigation strategy to fight urban heat island—A review of the actual developments. Renew. Sustain. Energy Rev. 2013, 26, 224–240. [Google Scholar] [CrossRef]
- Li, H.; Harvey, J.T.; Holland, T.J.; Kayhanian, M. The use of reflective and permeable pavements as a potential practice for heat island mitigation and stormwater management. Environ. Res. Lett. 2013, 8, 15023. [Google Scholar] [CrossRef]
- Pomerantz, M.; Akbari, H.; Chen, A.; Taha, H.; Rosenfeld, A. Paving Materials for Heat Island Mitigation; U.S. Department of Energy: Washington, DC, USA, 1997. [CrossRef]
- Deo, O.; Neithalath, N. Compressive behavior of pervious concretes and a quantification of the influence of random pore structure features. Mater. Sci. Eng. A 2010, 528, 402–412. [Google Scholar] [CrossRef]
- Qin, Y. A review on the development of cool pavements to mitigate urban heat island effect. Renew. Sustain. Energy Rev. 2015, 52, 445–459. [Google Scholar] [CrossRef]
- Rehder, B.; Banh, K.; Neithalath, N. Fracture behavior of pervious concretes: The effects of pore structure and fibers. Eng. Fract. Mech. 2014, 118, 1–16. [Google Scholar] [CrossRef]
- Shu, X.; Huang, B.; Wu, H.; Dong, Q.; Burdette, E.G. Performance comparison of laboratory and field produced pervious concrete mixtures. Constr. Build. Mater. 2011, 25, 3187–3192. [Google Scholar] [CrossRef]
- Yang, J.; Jiang, G. Experimental study on properties of pervious concrete pavement materials. Cem. Concr. Res. 2003, 33, 381–386. [Google Scholar]
- Carsana, M.; Tittarelli, F.; Bertolini, L. Use of no-fines concrete as a building material: Strength, durability properties and corrosion protection of embedded steel. Cem. Concr. Res. 2013, 48, 64–73. [Google Scholar] [CrossRef]
- Shabalala, A.N.; Ekolu, S.O.; Diop, S.; Solomon, F. Pervious concrete reactive barrier for removal of heavy metals from acid mine drainage − column study. J. Hazard. Mater. 2017, 323, 641–653. [Google Scholar] [CrossRef]
- ACI 522R-10. Report on Pervious Concrete; American Concrete Institute: Farmington Hills, MI, USA, 2010; 38p.
- Neithalath, N. Development and Characterization of Acoustically Efficient Cementitious Materials. Ph.D. Thesis, Purdue University, West Lafayette, IN, USA, May 2004. [Google Scholar]
- Zouaghi, A.; Nakazawa, T.; Imai, F.; Shinnishi, N. Permeability of No-Fines Concrete. Trans. Jpn. Concr. Inst. 1998, 20, 31–38. [Google Scholar]
- National Union of Industry Careers and Building Materials. Available online: https://www.unicem.fr/ (accessed on 12 December 2011).
- Liu, J.; An, R.; Jiang, Z.; Jin, H.; Zhu, J.; Liu, W.; Huang, Z.; Xing, F.; Liu, J.; Fan, X.; et al. Effects of w/b ratio, fly ash, limestone calcined clay, seawater and sea-sand on workability, mechanical properties, drying shrinkage behavior and micro-structural characteristics of concrete. Constr. Build. Mater. 2022, 321, 126333. [Google Scholar] [CrossRef]
- Thomas, C.; Setién, J.; Polanco, J.; Alaejos, P.; de Juan, M.S. Durability of recycled aggregate concrete. Constr. Build. Mater. 2013, 40, 1054–1065. [Google Scholar] [CrossRef]
- Gesoğlu, M.; Güneyisi, E.; Mahmood, S.F.; Öz, H.; Öznur; Mermerdaş, K. Recycling ground granulated blast furnace slag as cold bonded artificial aggregate partially used in self-compacting concrete. J. Hazard. Mater. 2012, 235–236, 352. [Google Scholar] [CrossRef] [PubMed]
- Yang, E.-I.; Kim, M.-Y.; Park, H.-G.; Yi, S.-T. Effect of partial replacement of sand with dry oyster shell on the long-term performance of concrete. Constr. Build. Mater. 2010, 24, 758–765. [Google Scholar] [CrossRef]
- Sugiyama, M. The compressive strength of concrete containing tile chips, crushed scallop shells, or crushed roofing tiles, Gakuen Ronshu. J. Hokkai-Gakuen Univ. 2005, 124, 61–69. [Google Scholar]
- Liu, J.; Li, Z.; Zhang, W.; Jin, H.; Xing, F.; Tang, L. The impact of cold-bonded artificial lightweight aggregates produced by municipal solid waste incineration bottom ash (MSWIBA) replace natural aggregates on the mechanical, microscopic and environmental properties, durability of sustainable concrete. J. Clean. Prod. 2022, 337, 130479. [Google Scholar] [CrossRef]
- NF EN 1097-6; Essais Pour Déterminer les Caractéristiques Mécaniques et Physiques des Granulats—Partie 6: Détermination de la Masse Volumique et du Coefficient D’Absorption D’Eau. Association Française de Normalisation: Paris, France, February 2022.
- NF EN 933-1; Tests for Geometrical Properties of Aggregates—Part 1: Determination of Particle Size Distribution—Sieving Method. Association Française de Normalisation: Paris, France, May 2012.
- NF EN 1097-1; Tests for Mechanical and Physical Properties of Aggregates—Part 1: Determination of the Resistance to Wear (Micro-Deval). Association Française de Normalisation: Paris, France, August 2011.
- Grace, TB-0111—Pervious Concrete Mix Proportioning Technical Bulletin|GCP Applied Technologies. Available online: https://gcpat.com/en/solutions/products/adva-high-range-water-reducers/tb-0111-pervious-concrete-mix-proportioning (accessed on 12 December 2008).
- Tennis, P.D.; Leming, M.L.; Akers, D.J. Pervious Concrete Pavements; Portland Cement Association: Skokie, IL, USA, 2004. [Google Scholar]
- Onstenk, E.; Aguado, A.; Eickschen, E.; Josa, A. Laboratory study of porous concrete for its use as top-layer of concrete pavements. In Proceedings of the Fifth International Conference on Concrete Pavement Design and Rehabilitation, West Lafayette, IN, USA, 20–22 April 1993. [Google Scholar]
- Kevern, J. Advancements in Pervious Concrete Technology. Available online: https://dr.lib.iastate.edu/entities/publication/b1e9ed4c-9851-4966-b554-da316534ef4c (accessed on 3 January 2022).
- Joung, Y.; Grasley, Z.C. Evaluation and Optimization of Durable Pervious Concrete for Use in Urban Areas; Southwest Region University Transportation Center: College Station, TX, USA, 2008. [Google Scholar]
- Kevern, J.; Wang, K.; Suleiman, M.T.; Schaefer, V.R. Mix design development for pervious concrete in cold weather climates. In Proceedings of the 2005 Mid-Continent Transportation Research Symposium, Ames, IA, USA, 18–19 August 2005. [Google Scholar]
- Farny, J.; In, F. Aging gracefully: Architectural concrete panels turn 40 years old. Concr. Technol. Today 2004, 25, 1–8. [Google Scholar]
- Kevern, J.T.; Schaefer, V.R.; Wang, K. Evaluation of Pervious Concrete Workability Using Gyratory Compaction. J. Mater. Civ. Eng. 2009, 21, 764–770. [Google Scholar] [CrossRef]
- Chen, J.; Kwan, A.; Jiang, Y. Adding limestone fines as cement paste replacement to reduce water permeability and sorptivity of concrete. Constr. Build. Mater. 2014, 56, 87–93. [Google Scholar] [CrossRef]
- Chia, K.S.; Zhang, M.-H. Water permeability and chloride penetrability of high-strength lightweight aggregate concrete. Cem. Concr. Res. 2002, 32, 639–645. [Google Scholar] [CrossRef]
- Meininger, R.C. No-fines pervious concrete for paving. Concr. Int. 1988, 10, 20–27. [Google Scholar]
- Mulligan, A.M. Attainable Compressive Strength of Pervious Concrete Paving Systems. Master’s Thesis, University of Central Florida, Orlando, FL, USA, 2005. [Google Scholar]
- Nguyen, D.H.; Boutouil, M.; Sebaibi, N.; Leleyter, L.; Baraud, F. Valorization of seashell by-products in pervious concrete pavers. Constr. Build. Mater. 2013, 49, 151–160. [Google Scholar] [CrossRef]
- NF EN 12390; Testing Hardened Concrete—Part 3: Compressive Strength of Test Specimens. Association Française de Normalisation: Paris, France, 2003.
- NF EN 1338; Concrete Paving Blocks—Requirements and Test Methods. Association Française de Normalisation: Paris, France, 2010.
- Mata, L.A. Sedimentation of Pervious Concrete Pavement Systems. Ph.D. Thesis, North Carolina State University, Raleigh, NC, USA, 2008. [Google Scholar]
- Montes, F.; Haselbach, L. Measuring Hydraulic Conductivity in Pervious Concrete. Environ. Eng. Sci. 2006, 23, 960–969. [Google Scholar] [CrossRef]
- NF ISO 5017; Produits Réfractaires Façonnés Denses—Détermination de la Masse Volumique Apparente, de la Porosité Ouverte et de la Porosité Totale. Association Française de Normalisation: Paris, France, 2013.
- Das, B.M. Principles of Geotechnical Engineering; Cengage Learning: Boston, MA, USA, 2021. [Google Scholar]
- Karasawa, A.; Toriiminami, K.; Ezumi, N.; Kamaya, K. Evaluation of performance of water-retentive concrete block pavements. In Proceedings of the 8th International Conference on Concrete Block Paving, San Francisco, CA, USA, 6–8 November 2006. [Google Scholar]
- Yamamoto, T.; Maki, T.; Honda, T. Discussions on assessment and quality standards of water-retaining concrete block. In Proceedings of the 8th International Conference on Concrete Block Paving, San Francisco, CA, USA, 6–8 November 2006. [Google Scholar]
- NF EN ISO 12571; Hygrothermal Performance of Building Materials and Products—Determination of Hygroscopic Sorption Properties. Association Française de Normalisation: Paris, France, 2013.
- Alassaad, F.; Touati, K.; Levacher, D.; Sebaibi, N. Impact of phase change materials on lightened earth hygroscopic, thermal and mechanical properties. J. Build. Eng. 2021, 41, 102417. [Google Scholar] [CrossRef]
- Bouasria, M.; El Mendili, Y.; Benzaama, M.-H.; Pralong, V.; Bardeau, J.-F.; Hennequart, F. Valorisation of stranded Laminaria digitata seaweed as an insulating earth material. Constr. Build. Mater. 2021, 308, 125068. [Google Scholar] [CrossRef]
- Rizvi, R.; Tighe, S.L.; Norris, J.; Henderson, V. Incorporating recycled concrete aggregate in pervious concrete pavements. In Proceedings of the 2009 Annual Conference and Exhibition of the Transportation Association of Canada: Transportation in a Climate, Vancouver, BC, Canada, 18–21 October 2009. [Google Scholar]
- Ghafoori, N.; Dutta, S. Laboratory Investigation of Compacted No-Fines Concrete for Paving Materials. J. Mater. Civ. Eng. 1995, 7, 183–191. [Google Scholar] [CrossRef]
- Sebaïbi, N. Valorisation des composites thermodurcissables issus du recyclage dans une matrice cimentaire: Application aux bétons à ultra-haute performance. These de doctorat, Artois. 2010. Available online: https://www.theses.fr/2011ARTO0201 (accessed on 15 March 2023).
- Poon, C.S.; Chan, D. Paving blocks made with recycled concrete aggregate and crushed clay brick. Constr. Build. Mater. 2006, 20, 569–577. [Google Scholar] [CrossRef]
- Bravo, M.; de Brito, J.; Pontes, J.; Evangelista, L. Mechanical performance of concrete made with aggregates from construction and demolition waste recycling plants. J. Clean. Prod. 2015, 99, 59–74. [Google Scholar] [CrossRef]
- Yap, S.P.; Chen, P.Z.C.; Goh, Y.; Ibrahim, H.A.; Mo, K.H.; Yuen, C.W. Characterization of pervious concrete with blended natural aggregate and recycled concrete aggregates. J. Clean. Prod. 2018, 181, 155–165. [Google Scholar] [CrossRef]
- Ibrahim, H.A.; Razak, H.A. Effect of palm oil clinker incorporation on properties of pervious concrete. Constr. Build. Mater. 2016, 115, 70–77. [Google Scholar] [CrossRef]
- Crouch, L.K.; Pitt, J.; Hewitt, R. Aggregate Effects on Pervious Portland Cement Concrete Static Modulus of Elasticity. J. Mater. Civ. Eng. 2007, 19, 561–568. [Google Scholar] [CrossRef]
- Kevern, J.T.; Haselbach, L.; Schaefer, V.R. Hot Weather Comparative Heat Balances in Pervious Concrete and Impervious Concrete Pavement Systems. J. Heat Isl. Inst. Int. 2012, 7, 2012. [Google Scholar]
- Kevern, J.T.; Schaefer, V.R.; Wang, K. Temperature Behavior of Pervious Concrete Systems. Transp. Res. Rec. J. Transp. Res. Board 2009, 2098, 94–101. [Google Scholar] [CrossRef]
- Vujovic, S.; Haddad, B.; Karaky, H.; Sebaibi, N.; Boutouil, M. Urban Heat Island: Causes, Consequences, and Mitigation Measures with Emphasis on Reflective and Permeable Pavements. CivilEng 2021, 2, 459–484. [Google Scholar] [CrossRef]
- Bamforth, P.B. The water permeability of concrete and its relationship with strength. Mag. Concr. Res. 1991, 43, 233–241. [Google Scholar] [CrossRef]
- PTV122. Technical Specifications for Permeable Concrete Paving Blocks and Slabs, 2nd ed.; PROBETON: Brussel, Belgium, 2005. [Google Scholar]
- Aoki, Y. Development of Pervious Concrete. Master’s Thesis, University of Technology Sydney, Sydney, Australia, 2009. [Google Scholar]
- Nguyen, D.H.; Sebaibi, N.; Boutouil, M.; Leleyter, L.; Baraud, F. A modified method for the design of pervious concrete mix. Constr. Build. Mater. 2014, 73, 271–282. [Google Scholar] [CrossRef]
- Wang, K.; Schaefer, V.R.; Kevern, J.T.; Suleiman, M.T. Development of mix proportion for functional and durable pervious concrete. In Proceedings of the NRMCA Concrete Technology Forum: Focus on Pervious Concrete, Nashville, TN, USA, 24–25 May 2006; pp. 1–12. [Google Scholar]
- Nakayama, T.; Fujita, T. Cooling effect of water-holding pavements made of new materials on water and heat budgets in urban areas. Landsc. Urban. Plan. 2010, 96, 57–67. [Google Scholar] [CrossRef]
- Takahashi, K.; Yabuta, K. Road Temperature Mitigation Effect of “Road Cool” a Water-Retentive Material Using Blast Furnace Slag. JFE. Tech. Rep. 2009, 19, 58–62. [Google Scholar]
- Akagawa, H.; Takebayashi, H.; Moriyama, M. Experimental study on improvement of human thermal environment on a watered pavement and a highly reflective pavement. J. Environ. Eng. (Trans. AIJ) 2008, 73, 85–91. [Google Scholar] [CrossRef]
- Ozaki, T.; Suzuki, Y. Study on the contribution of water-retentive ceramic tile to the reduction of environment heat accumulation. Proc. Hydraul. Eng. 1998, 42, 61–66. [Google Scholar] [CrossRef]
- Akagawa, H.; Komiya, H. Experimental study on pavement system with continuous wet surface. J. Arch. Plan. (Trans. AIJ) 2000, 65, 79–85. [Google Scholar] [CrossRef]
- Alassaad, F.; Touati, K.; Levacher, D.; El Mendili, Y.; Sebaibi, N. Improvement of cob thermal inertia by latent heat storage and its implication on energy consumption. Constr. Build. Mater. 2022, 329, 127163. [Google Scholar] [CrossRef]















| Chemical Analysis (%) | Physical and Mechanical Characteristics | ||||
|---|---|---|---|---|---|
| Loss on igntion | 1.4 | Na2O | 0.11 | Initial setting time (min) | 215 |
| SiO2 | 20 | P2O5 | 0.2 | Specify gravity (g/cm3) | 3.14 |
| Al2O3 | 5.4 | S− | 0.04 | Specific surface Blaine (cm2/g) | 4525 |
| Fe2O3 | 2.7 | Cl− | 0.03 | Compressive strength (MPa) | |
| TiO2/MnO | - | Insoluble | 0.2 | 1j | 30 |
| CaO | 63 | Na2O eq/Active | 0.75 | 2j | 44 |
| MgO | 1.9 | C3A | - | 7j | 57 |
| SO3 | 3.7 | C3A + 0.27C3S | - | 28j | 67 |
| Standard | RA | NA | |
|---|---|---|---|
| Absolute specific gravity (kg/m3) | NF EN 1097-6 [33] | 2270 | 2600 |
| Water absorption coefficient (%) | NF EN 1097-6 [33] | 6.6 | 1.02 |
| Fineness modulus (%) | NF EN 933-1 [34] | 0.33 | 0.32 |
| Micro-Deval test (%) | NF EN 1097-1 [35] | 22 | 11 |
| Parameter | Optimal Value Determined in This Study | Range Reported in Literature |
|---|---|---|
| Cement content | 363 kg/m3 | 270–415 kg/m3 [23,36,37] |
| Aggregate density and size | 1574 kg/m3 (2–6.8 mm) | 1190–1600 kg/m3 [36]; 1300–1800 kg/m3 [37]; 1190–1480 kg/m3 [23] |
| Sand dosage | 110 kg/m3 | 100–175 kg/m3 [40] |
| Water dosage | 129 kg/m3 | 129 kg/m3 [37,39,42,43,44,45]. |
| Water-to-cement ratio (W/C) | 0.35 | 0.27–0.34 in the presence of admixtures [23,46,47] 0.34–0.40 in the absence of admixtures [23,46,47] |
| Guideline for G/C | 4.3 | 4–4.5 [23,37] |
| Samples | Cement (kg/m3) | Water (kg/m3) | NA (kg/m3) | RA (kg/m3) | Sand (kg/m3) |
|---|---|---|---|---|---|
| A (control with natural aggregate) | 363 | 129 | 1574 | 0 | 110 |
| B20% | 363 | 129 | 1259 | 314 | 110 |
| C60% | 363 | 129 | 629 | 944 | 110 |
| D100% | 363 | 129 | 0 | 1574 | 110 |
Disclaimer/Publisher’s Note: The statements, opinions and data contained in all publications are solely those of the individual author(s) and contributor(s) and not of MDPI and/or the editor(s). MDPI and/or the editor(s) disclaim responsibility for any injury to people or property resulting from any ideas, methods, instructions or products referred to in the content. |
© 2023 by the authors. Licensee MDPI, Basel, Switzerland. This article is an open access article distributed under the terms and conditions of the Creative Commons Attribution (CC BY) license (https://creativecommons.org/licenses/by/4.0/).
Share and Cite
Haddad, B.; Karaky, H.; Boutouil, M.; Boudart, B.; Sebaibi, N. Investigation Properties of Pervious and Water-Retaining Recycled Concrete to Mitigate Urban Heat Island Phenomena. Sustainability 2023, 15, 5384. https://doi.org/10.3390/su15065384
Haddad B, Karaky H, Boutouil M, Boudart B, Sebaibi N. Investigation Properties of Pervious and Water-Retaining Recycled Concrete to Mitigate Urban Heat Island Phenomena. Sustainability. 2023; 15(6):5384. https://doi.org/10.3390/su15065384
Chicago/Turabian StyleHaddad, Bechara, Hamzé Karaky, Mohamed Boutouil, Bertrand Boudart, and Nassim Sebaibi. 2023. "Investigation Properties of Pervious and Water-Retaining Recycled Concrete to Mitigate Urban Heat Island Phenomena" Sustainability 15, no. 6: 5384. https://doi.org/10.3390/su15065384
APA StyleHaddad, B., Karaky, H., Boutouil, M., Boudart, B., & Sebaibi, N. (2023). Investigation Properties of Pervious and Water-Retaining Recycled Concrete to Mitigate Urban Heat Island Phenomena. Sustainability, 15(6), 5384. https://doi.org/10.3390/su15065384

