Abstract
The use of physically based hydrological models in the observation of hydrological processes has some disadvantages as well as advantages. One of these disadvantages is the large supply of data pertaining to the study area that is required for the model to be run. However, the ability to run the Global BROOK90 R (GB90-R) model for any location and period has made a significant contribution to the science of hydrology. In this study, the GB90-R model was established in three different basins (Çarşamba, Karasu, and Körkün) in Türkiye with different drainage areas and climates, and the flow forecasting performance was comprehensively evaluated. In addition, the evaporation, ground moisture, and snowmelt outputs obtained were examined comparatively. According to the results, Karasu Basin, with the smallest drainage area, was the basin with the highest model success in flow estimation with NSE = 0.670, while Körkün Basin, with the largest drainage area, was the basin with the lowest model success with NSE = 0.337. It is thought that the increase in the drainage area is one of the important factors reducing the success of the model.
1. Introduction
Global climate change, which is one of the biggest problems of the modern world, causes significant damage and increasing and irreversible losses in terrestrial, freshwater, coastal, and open ocean marine ecosystems [1]. The risks posed by climate change for Europe include the risk of flooding that threatens people, infrastructures, and economies; the risk of water shortages in multiple interconnected sectors; and agricultural losses due to complex heat, drought and extreme weather conditions, according to the IPCC [1]. The extent and magnitude of climate change impacts are greater than predicted in previous assessments [1]. For this reason, it is important to increase and develop hydro-meteorological modeling studies. The fact that physically based models present the hydrological process in an easily understandable way highlights the use of these models in climate change and disaster studies [2,3,4,5].
The physical modeling of hydrological processes is based on solving the principles of surface flow, subsurface flow, and transport using mathematical techniques. Due to the discovery of new theories about physical processes and the development of computational tools, progress has been made towards a better understanding of hydrological processes [6]. Thus, the opportunity to examine in detail the factors affecting hydrological processes (climate change, land cover change, soil type, human effects, etc.) has emerged. In addition to the nonlinear nature of natural processes, the uncertainty of initial conditions and environmental boundaries is one of the important problems faced by process-based hydrological models. The basis of creating a successful model is to sufficiently reflect the heterogeneity of the basin to the model. With the development of physically based hydrological models, success has been recorded in eliminating the obstacles to modeling. Thus, such models have been of vital importance in solving the problems that need to be examined and the factors affecting the process to be observed.
The basis of physically based hydrological models (or mechanistic models) was laid by Freeze and Harlan [7] in a study in which hydrological processes were simulated mathematically. The mathematical description of the hydrological cycle and various subsystems has facilitated the work of computer-based digital solutions. While this study allowed the simulation of one- and two-dimensional soil moisture movement in a heterogeneous soil, stable groundwater flow in an inhomogeneous anisotropic formation, and open channel flow with lateral flows, it did not allow modeling the entire hydrological cycle. In his ongoing works, Freeze [8,9,10] introduced mathematical models that simulate saturated and unsaturated flows in groundwater. As far as is known, these studies form the basis of physically based hydrological models. Subsequently, the European Hydrologic System (SHE), a fully distributed physical-based hydrologic model, was developed [11,12]. Since then, the mathematical analysis of hydrological processes has been one of the main hydrology study topics.
The BROOK90 model, one of the physically based hydrological models developed by Federer [13], can simulate vertical soil water movement and daily evapotranspiration for all land surfaces in a process-oriented manner using physically meaningful parameters. The BROOK90 model is designed as a complex hydrological model that can be used to study evaporation and groundwater movement, to observe the effects of climate change, and to test and compare different models [11]. It is a useful simulation tool that is preferred to observe, in detail, the different processes of the hydrological cycle, especially the subsurface water flow processes. The foundations of the BROOK90 model were laid in 1993 [14]. Since then, it has been used to evaluate hydrological processes and solve many problems [15,16,17,18,19,20].
Kremsa et al. [21] used the BROOK90 model to analyze the flow and flood risk of potential water resources in Finland. McHale et al. [16] used the BROOK90 model, which uses the Shuttleworth and Wallace [22] modification of the Penman–Monteith approach, to calculate evapotranspiration (ET) in their study examining soil moisture and groundwater nitrate release. Schaetzl et al. [23] used the BROOK90 model to simulate snowpack dynamics and soil moisture flows. The BROOK90 model is also frequently used in forest and plant studies. Vilhar [24] investigated the effect of forest characteristic structure on water retention capacity in cavities in fir–beech forests of Dinaric Alps in Slovenia with BROOK90 model. Armbruster et al. [25] used the BROOK90 model to evaluate the potential hydrological effects of the existing silvicultural transformation in the Schluchsee and Rotherdbach forest basins in Germany. Panferov et al. [18] investigated the risk of windthrow for spruce and pine forest stands in Solling highlands in Germany with a modeling method combining the BROOK90 model with the turbulence model scalar distribution (SCADIS) in two future scenarios.
Federer et al. [26] examined the annual evaporation parameter using the BROOK90 model, which can use multiple soil layers, and the water balance model (WBM), which uses a single soil layer. Wahren et al. [27] evaluated the effect of land use changes on water holding capacity in a basin in the Central Ore Mountains in the state of Saxony, Germany, with the BROOK90 model. Canfield and Lopes [28] established the BROOK90 model to predict the variation in soil moisture in a semi-arid catchment area in southeastern Arizona.
In the literature, it can be seen that the BROOK90 model also contributes to drought studies. Vilhar [29] calculated transpiration indices based on soil moisture and actual and potential transpiration rates based on water content in the root zone using the BROOK90 model. Wellpott et al. [30] established the BROOK90 model in the meteorological experimental forest Hartheim, located in the southern upper Rhine plain, for the period 1978–2001. The BROOK90 model takes its place in the literature in water budget studies because it presents flow components such as surface and ground water as output. Combalicer et al. [17] installed and calibrated the model in the Bukmoongol Basin in Korea to evaluate the performance of the BROOK90 model and to identify the portions of precipitation converted to stream flow, evapotranspiration, and groundwater flow. Molina et al. [31] determined changes in water balance components in four different regions in eastern Colombia using the BROOK90 model. Schaffrath et al. [32] established the BROOK90 model in the Xilin River Basin of Mongolia and made an interpretation of spatial precipitation and evapotranspiration. In Türkiye, only one study was found using the first version of the BROOK90 model [33]. Candaş [33] used the monthly snow output of the BROOK90 model and compared it with the glacier mass balance model outputs calculated with the MATLAB code. Although there are slight differences in the summer months, it has been determined that there is no significant difference between the two model outputs in the winter months when the glacial mass is important.
Kronenberg et al. [34] developed a well-documented R-implementation of BROOK90 (BROOK90-R), considering that current user demands such as model applications in web technologies are difficult to realize with the original BROOK90 model. One of the negative aspects of the BROOK90-R is that it still requires a lot of input even though it tries to meet user demands. To find a solution to this problem, Vorobevskii et al. [35] aimed to globalize the model and make it easily applicable by integrating global open-source datasets into the R package of the BROOK90 model, starting with the slogan “Just drop a catchment and receive a model output”. The Global BROOK90-R (GB90-R) model developed for this purpose can be run for any basin and specified period [35,36,37]. GB90-R automatically downloads the required meteorological input and location related parameters (elevation, soil cover/usage, soil characteristics, and meteorological data) from global data sets [35,38,39,40]. Thus, a physically based model that provides comprehensive results without high effort and cost has become applicable, especially in regions with data shortages.
There are very few studies in the world using the GB90-R model. Vorobevskii et al. [36] examined the flow prediction performance of the Global BROOK90-R model on daily and monthly time scales in 190 small watersheds (average 64 km2) with diverse geographic conditions (i.e., climate, topography, land cover, and soil structure) around the world. The average success rate in runoff estimation of the non-calibrated GB90-R model by Vorobevskii et al. [36] was evaluated according to the Kling–Gupta efficiency (KGE), Kling–Gupta efficiency skill score (KGESS), Nash–Sutcliffe efficiency (NSE), and mean absolute error (MAE) metrics. The median success rate in estimating monthly runoff of the GB90 model for 190 basins by Vorobevskii et al. [36] was obtained as 0.22, 0.45, 0.06, and 1 for KGE, KGESS, NSE, and MAE, respectively. In addition, the estimated median values of KGE, KGESS, NSE, and MAE for a daily time scale in the studied basins were 0.11, 0.37, −0.06 and 1.25, respectively. The GB90-R model showed satisfactory results in more than 75% of 190 basins. Basins in temperate regions of central Europe, the USA and Canada showed the best results, while the worst performance was found in the arid regions of Africa, central USA and Canada, Australia and eastern Russia. It was also stated that the model was more successful in the monthly scale than the daily scale.
Vorobevskii et al. [37] modeled evaporation and its components in five areas with different land uses in Saxony, Germany. For this purpose, four different BROOK90 frameworks consisting of manual parameterized Global BROOK90, EXTRUSO, BROOK90, and calibrated BROOK90, and three datasets representing global (ERA5), regional (RaKliDa), and local (in situ measurements) scales were used. As a result of the models created by cross combinations of setups and datasets, it was determined that all setups performed well even on a daily scale, with KGE values ranging from 0.35 to 0.80.
The novelty of this study is that, as far as we know, there is no study in the literature in which the GB90-R model was run in a basin with a large drainage area. This study will provide an opportunity to evaluate the performance of the GB90-R model in this respect. In addition, there is no study conducted in Türkiye with the GB90-R model, which is used in a very limited number of studies in the world. The main purpose of the study is to comparatively examine the flow estimation performance of the GB90-R model in three basins with different characteristics in Türkiye (Çarsamba, Karasu, and Körkün sub-basins) and to evaluate the water budget component outputs of the basins. Running the GB90-R model, which uses open-source global datasets, only in the presence of basin location information, in basins with different characteristics, will make significant contributions to the science of hydrology in terms of developing the model.
2. Materials and Methods
2.1. Study Area and Data
In this study, Çarşamba River Sub-Basin, located in Konya Closed Basin; Körkün River Sub-Basin in Seyhan Basin; and Karasu River Sub-Basin in Euphrates-Tigris Basin were selected as study areas for runoff estimation (Figure 1).
Figure 1.
The location map of the study areas.
Care has been taken to ensure that the sub-basins used are from regions of Türkiye with different geographical and climatic characteristics. In addition, all three sub-basins are of different sizes. Thus, the performance of the GB90 model in flow estimation under variable conditions was evaluated. The characteristics of the selected sub-basins are given in Table 1. In Figure 2, the selected basins are shown on the climate map.
Table 1.
Characteristics of the sub-basins used.
Table 1.
Characteristics of the sub-basins used.
| Sub-Basins | Area (km2) | Elevation (m) | Monthly Average Precipitation (mm) | Climate * |
|---|---|---|---|---|
| Çarşamba | 153.87 | 1250–2482 | 56.48 | CSA |
| Körkün | 1440.8 | 200–3588 | 100.43 | CSA–CSB |
| Karasu | 43.95 | 1960–2890 | 36.72 | DFB |
* Köppen–Geiger world climate zones [41].
Figure 2.
Köppen–Geiger climate map of the study areas [41,42].
Figure 2.
Köppen–Geiger climate map of the study areas [41,42].

The drainage area of Çarşamba River, which is spread over an area of 153.87 km2, is located within the provincial borders of Konya and Antalya. D16A115 runoff observation station is located at the source of Çarşamba River Sub-Basin. The minimum and maximum elevations of the drainage area of this sub-basin are 1250 m and 2482 m, respectively. Although the studied area is in the Konya Closed Basin, it shows climatic differences due to its proximity to the Taurus Mountains. Due to its location, it is possible to encounter coniferous and broad-leaf vegetation specific to both Central Anatolia and the Mediterranean region. Due to the harsh climate and geographical conditions of the region, agricultural activities are mostly carried out in spring and summer [2]. The highest and lowest flow rates of Çarşamba Stream, which originates on the Hacıömer Mountain in the south of the Ahırlı district, are 32.5 m3/s and 0.25 m3/s, respectively, while the average flow rate is 4.5 m3/s.
Seyhan Basin, located in the south of Türkiye, is one of the important river basins. One of the basins used in this study, the Körkün River Sub-Basin, is in the south of the Seyhan Dam–Zamantı Göksu Junction Sub-Basin, which is one of the four main sub-basins of the Seyhan Basin. The Körkün River Lower Basin is the one with the largest area among the three basins used in this study, and its elevation varies between 170 and 3694 m, with an average elevation of 1752 m. The Körkün River Sub-Basin covers an area of 1440.8 km2. The Körkün Stream–Hacılı Bridge flow observation station (E18A020) in this sub-basin is in the northeast of the Karaisalı town of Adana Province. The monthly maximum (minimum) flow rate of the E18A020 observation station for the 1992–2017 periods is 41.4 m3/s (0.687 m3/s).
The drainage area of the Karasu Stream, which is located to the northeast of the Karasu Sub-Basin in the Euphrates–Tigris Basin, is 43.95 km2. The maximum elevation of the basin is 2890 m, and the minimum elevation is 1960 m. Due to its elevation, it is a region with a harsh continental climate. Snowfall in the region is seen approximately 140–150 days of the year. There is a flow observation station, numbered D21A168, at the mouth of the basin. The maximum and minimum monthly average flow rates of the basin are 4.78 m3/s and 0.057 m3/s. Information about the flow observation stations used is given in Table 2.
Table 2.
Information on the flow observation stations used in the study.
Information on the input datasets required for the GB90-R model is given in Table 3.
Table 3.
Brief descriptions of input datasets.
2.2. Global Brook90 R
The GB90-R [35] is a physically based lumped model that simulates vertical water flow using open-source global datasets (Table 3) and generates input parameters for the BROOK90 model integrated into R language by Kronenberg et al. [34]. This model moves the precipitation input from top to bottom between the canopy, soil surface, and soil layers and tries to predict processes such as eclipse, infiltration, and freezing that occur during this time. It uses the degree-day method to calculate freezing. In order to create this process, it needs more than 100 parameters related to the basin [37]. At this point, GB90-R has reduced the number of parameters requested from the user to 2, namely location and time interval. GB90-R divides the entered location into special hydrotopes (50 × 50 m) and defines soil use, soil structure, slope, and frontage using global datasets for these hydrotopes. It then runs the BROOK90 model for each hydrotope using the corrected meteorological data and produces a lumped result for the basin by taking the weighted average of the hydrotopes. More detailed information on the GB90-R model can be found in literature [35,36,37]. The framework scheme of the GB90-R model is given in Figure 3.
Figure 3.
Scheme of package framework [35].
Land cover and soil texture type maps for the study basins are given in Figure 4 and Figure 5, respectively. According to Figure 4, the dominant land cover in the drainage area of Çarşamba (Körkün) Stream is 65.53% (70.16%), 24.42% (11.75%), and 7.86% (9.66%) of shrubs/herbaceous plants, open forests, and closed forests, respectively. The forest areas in the lower parts of Çarşamba and Körkün Basin decrease as the altitude increases. While there are plenty of shrubs and herbaceous plants in the Karasu Basin, there is no forest area (Figure 4). In Karasu, the dominant land cover is shrubs/herbaceous plants (93.81%) and cropland fields (6.17%), and there is no forest area (Figure 4). According to this situation, it can be expected that the fraction of retention in Karasu is lower than in the other basins.
Figure 4.
Land cover maps of study areas.
Figure 5.
Soil texture maps of study areas.
In general, the dominant soil texture type in all three basins are similar, while it is observed that there is a significant amount of sandy loam in the north-east region of the Körkün Basin. Accordingly, it can be said that the Körkün Basin has a more permeable soil texture compared to the other two basins (Figure 5).
2.3. Performance Metrics
In this study, determination coefficient (R2), Nash–Sutcliffe efficiency coefficient (NSE), Kling–Gupta efficiency coefficient (KGE), percent bias (PBIAS) and RMSE-observations standard deviation ratio (RSR) metrics were used for performance evaluation of the GB90-R model. The calculation of these metrics is given in the following equations.
In the above equations, Qobs and Qm denote observation and model data, respectively, at time i. () represent the average of the observation (model) data. R is the Pearson correlation coefficient between the observed data and the model data, while σm (σobs) is the standard deviation of the model (observed) data. More detailed information on the characteristics of each performance metric can be found in the literature [43,44,45,46].
3. Results
3.1. Performance of the GB90-R Model
GB90-R model was run for Çarşamba Stream, Körkün Stream, and Karasu Basins, and monthly runoff performance was evaluated. Afterwards, analyses were carried out using detailed model outputs.
The simulated and observed monthly runoff time series of Çarşamba Stream Basin (Station No.: D16A115), Karasu Basin (Station No.: D21A168), and Körkün Stream Basin (Station No.: E18A020) are presented in Figure 6. It can be seen from Figure 6 that the GB90-R model generally underestimates low flows and overestimates high flows in all three basins. However, in all three basins, the patterns of the model time series and observation time series are quite similar to each other. This consistency in the behavior of the time series shows that the prediction success of the GB90-R model is satisfactory in almost all three basins. On the other hand, it is observed that there has been some shift in the flow pattern in Körkün in some years. It is thought that the fact that Körkün Basin has the largest drainage area (1440.8 km2) among the three basins may cause this situation.
Figure 6.
Monthly runoff time series of observed data and GB90-R simulated data.
The success of the GB90-R model in monthly runoff estimation for the three basins was evaluated with performance metrics, and the results are given in Figure 7. According to all performance metrics, the Karasu Basin (43.95 km2), which has the smallest drainage area, has the highest success, while the lowest estimation success is obtained in the Körkün Basin (1440.8 km2), which has the largest drainage area. It is known that the GB90-R model gives successful results in small basins [35]. The higher estimation success in the Karasu Basin, which has a smaller drainage area compared to the other two basins, is an indicator of this. The drainage area of the Çarşamba Basin is 153.87 km2, which is about three times the size of the drainage area of the Karasu Basin. Despite this, the performance metrics obtained for Çarşamba are almost close to the values obtained for Karasu.
Figure 7.
The values of the performance metrics of the GB90-R model for the studied basins.
The success of the GB90-R model in runoff estimation for all three basins was evaluated according to the performance ratings given in Table 4 for NSE, PBIAS, and RSR.
Table 4.
General performance ratings [43].
According to the values of the NSE and RSR metrics obtained in the three basins, “satisfactory” prediction success was obtained for Karasu (NSE = 0.570, RSR = 0.617) and Çarşamba Basin (NSE = 0.521, RSR = 0.692), and “unsatisfactory” for Körkün (NSE = 0.337, RSR = 0.814). According to the PBIAS metric, “good” prediction success was obtained for Karasu (PBIAS = 13.59%) and Çarşamba Basin (PBIAS = 14.42%), and “unsatisfactory” for Körkün Basin (29.39%). In addition, the positive values obtained in the PBIAS metric indicate that the GB90-R model generally underestimates the runoff in all three basins. This situation can be easily seen in the time series graphs (especially at low runoff) given in Figure 6.
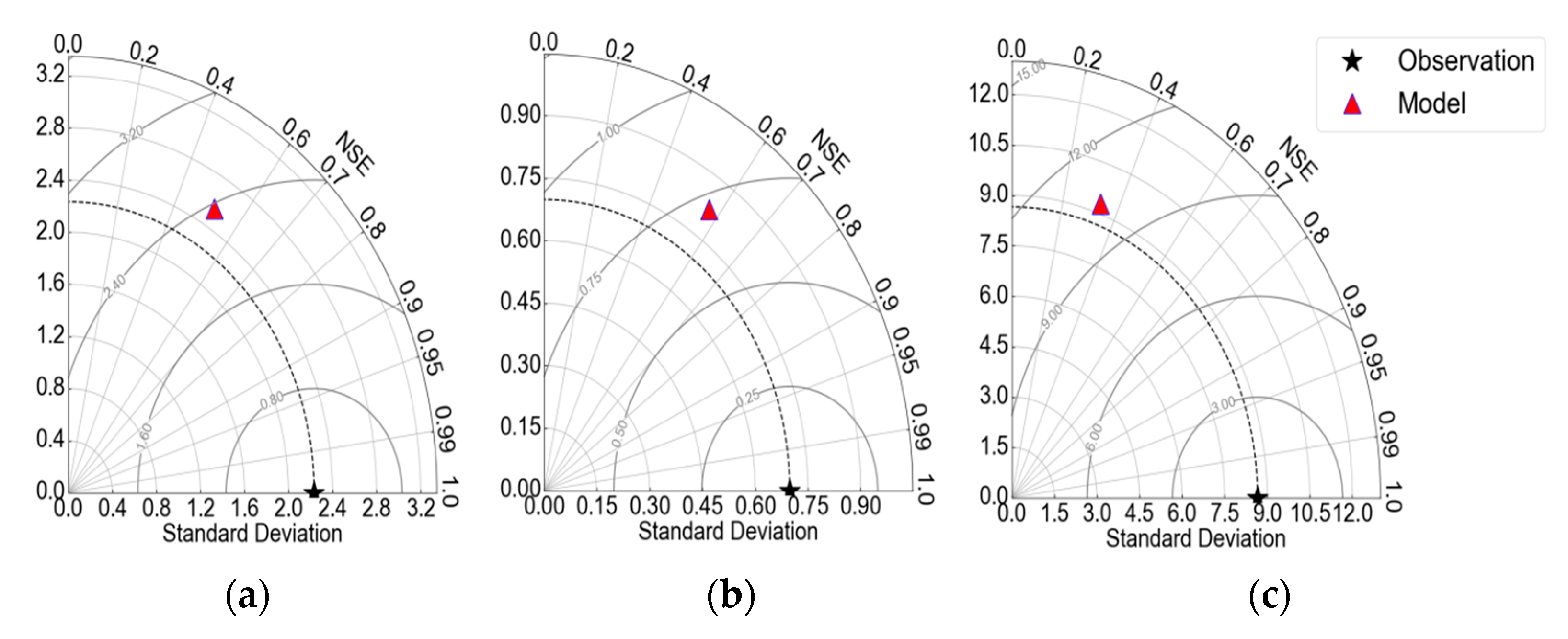
Taylor graphs for each basin are given in Figure 8. According to Figure 8, although the Körkün Stream performance of the model is lower than the NSE metric, its standard deviation value is closer to the observation data than other basins. This result shows that the outputs simulated by the model for the Körkün Stream are scattered in a similar range to the observation data.
Figure 8.
Taylor diagrams for the all three basins: (a) Çarşamba; (b) Karasu; (c) Körkün.
In Figure 9, the comparison of observation and model data for each basin is presented with violin plots. According to the violin plots, the model for all basins has generally succeeded in capturing the positive skewness of the observation data. Violin plots present the probability distribution form of the runoff data. In all three basins, both observation and model violin plots show that the density decreases as the runoff value increases. As seen in the violin figures, the density is higher at low runoff values. However, in all three basins, the density region was realized at lower flow values in model violin plots than in observation violin plots. This indicates that the model tends to underestimate low runoff in all three basins. The fact that the median values of the GB90-R model for all three basins are lower than the median value of the observation is an indicator of this. This interpretation, made according to the violin plots, is also consistent with the positive PBIAS (underestimate) values. Although the GB90-R model estimates higher flow values in all three basins, this is less than the underestimation of the intensity of lower runoff. On the other hand, the style of the observation and model violins in the Karasu Basin are closer to each other, which indicates that the GB90-R model’s runoff estimation success in this basin is higher than in the other two basins (Figure 9b). In addition, when the style of the model and observation violins is evaluated, it is clearly seen that the lowest model performance is obtained in the Körkün Basin (Figure 9c).
Figure 9.
Violin and box plots of observed and simulated monthly runoff for all three basins: (a) Çarşamba; (b) Karasu; (c) Körkün.
Scatter diagrams for Çarşamba, Karasu, and Körkün Stream Basins are given in Figure 10. It can be seen from Figure 10 that there is a better correlation between the simulated and observed runoff values in the Karasu Basin compared to the other two basins. From Figure 6, we observed that the timing performance of the GB90-R model in the time series is quite good. When the general behavior of the model is examined, it is possible to say that it captures the current characteristic cumulatively. According to both the time series in Figure 6 and the scatter diagrams in Figure 10, although the model was not successful enough in low flow and high flows, close values were observed in the observation and simulation data in terms of quantity. Compared to the Karasu Basin, the model generally overestimated high flows for the Çarşamba and Körkün Basins, while it showed a more uniform forecasting behavior in the Karasu Basin (Figure 6, Figure 9, and Figure 10). However, from the scatter diagrams in Figure 10, it is seen that the model has a more successful prediction performance for Karasu than for the other two basins. Despite the disadvantages of the model, such as not being calibrated and having some limitations, the performance success achieved is considered to be satisfactory, considering the convenience it provides to the user, such as using global data sets instead of measured data. Although it contains a certain bias, it is thought that the GB90-R model has the consistency to provide a general approach to the decision makers in drought and flood analysis, especially in ungauged basins.
Figure 10.
Scatter plots of observed and simulated monthly runoff for all three basins.
3.2. Evaluation of Water Balance
In Figure 11, the annual anomalies and change amounts of the model outputs for evapotranspiration (EVAP), soil moisture (SW), and snow water equivalent (SWE) of all three basins are given. The amount of change in EVAP, SW, and SWE outputs were evaluated between the first half and the second half of the period used for each basin. According to Figure 11, EVAP anomaly (EVAPA) and SWE anomaly (SWEA) graphs for Çarşamba and Körkün Basins display similar behaviors, not only in terms of quality (pattern), but also in quantity. Considering that the drainage area of the Körkün Basin is larger than the Çarşamba Basin, it can be deduced that the SWE value per unit area is higher in the Çarşamba Basin. This is logical considering the locations of the basins. It is thought that the close pattern obtained in anomalies for Çarşamba and Körkün Basins may be due to the similar canopy of both basins.
Figure 11.
(a) Anomaly time series; (b) rates of change for EVAP, SW, and SWE.
In the Çarşamba Basin, EVAP and SW increased over the years, while SWE decreased. The only output value that increased for the Karasu Basin was EVAP. The fact that the increased EVAP value negatively affects both SW and SWE values can be explained by the canopy of the region. The scarcity of forest areas may have directly increased evaporation from soil and snow surfaces. For the Körkün Basin, the decreased EVAP caused an increase in the SW value. The decrease in SWE may be due to precipitation.
The water budget (ΔS) variation, water budget anomaly (ΔSA), and monthly ΔS values in all three basins are shown in Figure 12. According to Figure 12a, the water accumulated in the reservoirs of all basins decreased. While the most dramatic decrease occurred in Çarşamba Basin, the basin that was least affected by the decrease was Körkün Basin. When Figure 11 and Figure 12 are evaluated together, the increase in EVAP may have caused the snow sublimation and/or its leaving the basin by flowing for the Çarşamba Basin. Since there is no natural or artificial water collection area within the borders of the Çarşamba Basin drainage area, SW and SWE can be shown as the important components of ΔS. Although SW increased slightly in the Çarşamba Basin, there was a significant decrease in SWE (Figure 11).
Figure 12.
(a) ΔS change rate of basins; (b) monthly ΔS values; (c) ΔSA time series.
This situation can be shown as a reason for the decrease in ΔS for the Çarşamba Basin (Figure 12a). The decrease in the Karasu Basin (Figure 12a) may be due to similar reasons. However, the contribution of the SW value to the decrease in ΔS is greater in this basin. Despite the decreasing EVAP (Figure 11b) in the Körkün Basin, the negative ΔS (Figure 12a) indicates that the precipitation in the basin may have decreased.
When the basins are evaluated according to the monthly ΔS amount (Figure 12b), it is seen that the Körkün Basin, which has the largest drainage area, has the highest increase in winter (December, January, February) and the highest decrease in summer (June, July, August). Although the Körkün Basin has a milder climate, the continental climate is dominant in Çarşamba, and especially in the Karasu Basin. Therefore, the reason for the later decrease in ΔS in Çarşamba and Karasu Basins than in Körkün can be interpreted as the retained snow in these basins. The snow, which starts to melt with the increasing temperature, remains in the basin for a while during the process and postpones the decrease in ΔS. The more snow there is in the basin, the more lagged this reduction in ΔS will be. From this point of view, it can be said that the ΔS changes in Figure 12b show a behavior in direct proportion to the climates of the basins.
4. Discussion
When the GB90 applications in the literature are examined, it is seen that the model performances are limited. This situation varies according to the characteristics of the basins. Within the scope of our study, the runoff estimation performance of the three basins in which the GB90-R model was run was compared with the results of other models in the literature. Vorobevskii et al. [36] presented violin graphs representing the summary of GB90 framework performance for all 190 basins with different characteristics. According to the violin graphs, the median values in monthly runoff estimation of the GB90 model were obtained as 0.06 for NSE and 0.22 for KGE. In the current study, according to the GB90 model results, NSE values for Karasu, Çarşamba, and Körkün basins were obtained as 0.570, 0.521 and 0.337, while KGE values were obtained as 0.722, 0.721, and 0.613, respectively. When the success of the GB90-R model obtained in three basins in the current study is compared with the success of the GB90 model run for 190 basins by Vorobevskii et al. [36], it can be said that the results we have obtained are satisfactory. Moreover, in the current study, the KGE and NSE values obtained for all three basins were also higher than the values representing the kernel density in the violin graphs presented by Vorobowski et al. [36].
Vorobevskii et al. [36] defined a ‘virtual’ basin by considering the basin characteristics where GB90 showed the highest performance according to the density regions in the violin plots of the results they obtained for the daily and monthly scale in 190 basins. In the defined virtual basin, the catchment area, elevation, and slope are between 50 and 100 km2, 500 and 1000 m, and 10 and 20°, respectively. The number of HRUs (>400) for the virtual basin is quite heterogeneous and the data period is more than 35 years. It is in the A (tropical/megathermal) or C (temperate/mesothermal) zone in terms of climatic features. It is a land cover of mostly shrubs, deciduous (broadleaf), or evergreen (broad and needle-leaf) forests in the basin, a soil texture consisting of sandy loam, and a soil column depth of 100–150 cm containing 20–40% stone fracture dominates.
As Vorobevskii et al. [36] stated in their study for 190 basins all over the world, the GB90-R model shows higher success in small-scale basins (50–100 km2). The results of the performance metrics given in Figure 7 for the current study show that the performance of the GB90 model decreases as the basin drainage area (Karasu = 43.95 km2, Çarşamba = 153.87 km2, Körkün = 1440.8 km2) increases. The fact that the highest (lowest) success was obtained in the Karasu (Körkün) Sub-Basin, which has smaller (larger) drainage area compared to the other two basins, shows that the size of the basin drainage area may affect the success of the GB90 model. However, the size of the basin drainage area is not a criterion in itself.
The increase in the heterogeneity of the basin as the surface area increases may be an indication that the characteristics of the basin (land cover, soil texture, climate, etc.) are not fully reflected in the model [36].
In the present study, the altitudes of the observation stations used for flow estimation in the Körkün, Çarşamba, and Karasu Sub-Basins are 167 m, 1150 m, and 2000 m, respectively. According to the performance metrics given in Figure 7, it was determined that the success of the GB90-R model increased as the altitude increased. According to the information we have obtained from the literature, the success of the model increases in basins with high altitudes [36]. This is also confirmed by our study. Depending on the increase in altitude, the amount of snowfall in the total precipitation increases due to the decreasing temperature. Karasu Basin, which has Dfb climate type (humid continental mild summer, wet all year), is a basin where snowfall is more intense than the other two basins used in this study (Table 1, Figure 2). The success of the GB90-R model in the Karasu Basin, which has a drainage area of 43.95 km2 (<100 km2), is higher than in the other two basins (Figure 7). However, it is thought that the GB90 model’s various problems in handling snowpack processes may influence the runoff prediction success of this model in the Karasu Basin.
In the study performed by Vorobevskii et al. [36] for 190 basins, the GB90-R model was applied in limited number regions with Mediterranean climates. In our study, Çarşamba and Körkün Basins are also located in regions with Mediterranean climate types. In the current study, the success rate of the GB90 model in the Körkün and Çarşamba Basins, which have a Mediterranean climate according to almost all performance metrics, is lower than the success achieved in the Karasu Basin (Figure 7). The success rate of the GB90-R model in the Körkün (Çarşamba) Basin was 0.576, 0.337, 0.613, 29.39%, and 0.814 (0.654, 0.521, 0.721, 14.42%, and 0.692) for the R2, NSE, KGE, PBIAS, and RSR metrics, respectively. However, the success rate of the GB90 model in the Çarşamba Basin is higher than that of Körkün. It is thought that both the large drainage area and the greater human influence in this basin affect in the lower success of the GB90 model in the Körkün basin.
The Soil and Water Assessment Tool (SWAT) hydrological model was used by Koycegiz and Buyukyildiz [2] to estimate the flow in the Çarşamba Basin. The fact that a different physically based model was run in the same basin before provided an opportunity to evaluate the success of the GB90-R model. R2, NSE, and PBIAS for the calibration (validation) periods in the SWAT model for the Çarşamba Basin were obtained as 0.787, 0.779, and −7.567 (0.508, 0.502, and −8.163), respectively. To compare the GB90-R and the SWAT model, performance metrics were calculated using the GB90-R model data for the calibration and validation periods in the SWAT. For the calibration (validation) periods with the GB90-R model in the Çarşamba Basin, the R2, NSE, and PBIAS values were obtained as 0.680, 0.606, and 10.33 (0.754, 0.483, and −9.39), respectively. According to these results, it is determined that the success of the GB90-R model is slightly lower than the SWAT model in general.
The monthly flows of the Seyhan Basin were simulated by Irvem and El-Sadek [47] with the SWAT model using three different calibration algorithms (SUFI-2, GLUE, and PARASOL). R2 (NSE) values varying between 0.51 and 0.57 (0.46 and 0.53) were obtained by all three calibration methods in the 2001–2007 period at the Körkün station, which was also used in our study. To compare the SWAT and GB90-R model, R2 and NSE values were calculated for the 2001–2007 calibration period by using the model results obtained with the GB90-R in our study. According to the GB90-R model, values of 0.573 for R2 and 0.346 for NSE were obtained. According to the R2 metric, similar successes were achieved in both models, while lower performance was achieved in the GB90-R model compared to the NSE.
Although the success achieved with the SWAT model in estimating monthly runoff in both basins is higher, the achievements obtained with the GB90-R and the SWAT model are very close to each other. However, considering that the GB90-R model does not undergo a calibration process, is a lumped model, and uses global data sets instead of real measurement data, it is considered to have a satisfactory success. Moreover, there are some limitations and uncertainties (such as incomplete representation of the model process, as well as problems created by global datasets used for model forcing and parameterization) reported in the literature regarding GB90 applications [13,35,36,48]. As GB90 is a lumped model, it provides a quick overview of the hydrological state of the basin. However, due to the heterogeneity of the physical characteristics of the basin (altitude, area size, hill slope, soil structure, vegetation, land use, etc.), it cannot provide spatial dispersed information. This is one of the major limitations of the GB90 model. Flow routing, vegetation growth (aging), and snow frost are not applied in the model. One of the greatest uncertainties in the application of the model is global parameterization, meaning that different plant species cannot be fully reflected in the model, but combined in the same parameter set and presented to the model. A similar situation applies to soil hydraulic properties based on texture class. It has also been reported that there may be gaps in the land cover and soil rasters. Moreover, there are problems with meteorological forcing dataset resolution.
Despite the limitations mentioned above, overall, considering the GB90 framework’s scope to model a non-calibrated automatic water balance, it is considered to have the potential to produce an acceptable level of water balance estimates (quick, rough), especially for ungauged basins on a small basin scale.
5. Conclusions
Within the scope of this study, the GB90-R model was run for the first time in Türkiye for the estimation of runoff to the Çarşamba Stream, Karasu Stream, and Körkün Stream Basins. In the model, besides physical data such as soil maps and land use/land cover maps, meteorological data such as precipitation, temperature, wind speed, and solar radiation were used. These data were obtained by remote sensing from global services, as the GB90-R model offers as an advantage. The success of the GB90-R model in runoff estimation in the three basins selected as the study area was evaluated on a monthly scale with R2, NSE, KGE, PBIAS, and RSR metrics. In addition, the changes in the water budget components of the three basins were then investigated.
It can be said that the uncalibrated GB90-R model was successful in estimating the runoff in these basins (KGE > 0.6 in all basins). In all three basins where the GB90-R model was applied, the model did not catch some runoff values, especially extremes ones. While the model showed the best results in the Karasu Stream Basin, it was not as successful as in the other two basins in the Körkün Stream Basin. The fact that the highest success in this study was obtained in the Karasu Basin, which has a smaller drainage area (43.95 km2) compared to the other two basins, shows that the size of the basin drainage area may affect the model’s success. In addition to the large surface area of the Körkün Basin, the fact that it has too many controlled structures is one of the factors that negatively affect the success of the model. It is thought that ignoring human effects in the GB90-R model, in which physical processes are successfully observed, is one of the factors that significantly reduces the success of the model in basins where human effects are intense.
When the physical outputs of the GB90-R model are examined, it is observed that snowmelt has decreased significantly in all three basins. However, while evaporation increased for Çarşamba and Karasu, it decreased for Körkün. While soil moisture did not show a significant change, it was evaluated as a parameter sensitive to climatic variability. When the storage change is examined, the decrease observed in the three basins is striking. This situation is associated with increased evaporation, but also indicates decreased precipitation.
The GB90-R model is an uncalibrated lumped model run using fully global datasets. When compared with other physically based hydrological models that can be run and calibrated based on the data observed in the literature, and considering the limitations mentioned, the prediction success achieved in this study was considered satisfactory.
When the GB90-R model is evaluated in general, providing detailed physical outputs provides the opportunity to make process-based observations. However, the decrease in model success with the increase in drainage area is one of the negative aspects of the model. In addition to natural processes, it is thought that add-ons that can reflect human and climatic effects are important factors that will increase the success of the model.
In future studies, it is recommended to test the success of the GB90-R model in more basins with large drainage areas, in which the physical conditions are more complex. In addition, sensitivity analyses of model parameters and the development of an effective calibration process are very important. The GB90-R model should be allowed for manipulations to reflect the heterogeneity of the studied regions more successfully. In this context, the GB90-R model may be a tool that allows many hydrological studies to be carried out in the future.
Author Contributions
Conceptualization, M.C.U. and M.B.; methodology, M.C.U. and M.B.; software, M.C.U.; investigation, M.C.U.; writing—original draft preparation, M.C.U. and M.B.; writing—review and editing, M.C.U. and M.B.; visualization, M.C.U.; supervision, M.B. All authors have read and agreed to the published version of the manuscript.
Funding
This research received no external funding.
Institutional Review Board Statement
Not applicable.
Informed Consent Statement
Not applicable.
Data Availability Statement
Not applicable.
Acknowledgments
This study proceeded from Muhammet Cafer ULKER’s M.Sc. Thesis [49]. We would like to thank General Directorate of State Hydraulic Works (Türkiye) for providing the runoff data.
Conflicts of Interest
The authors declare no conflict of interest.
References
- IPCC. Climate Change 2022: Impacts, Adaptation, and Vulnerability. Contribution of Working Group II to the Sixth Assessment Report of the Intergovernmental Panel on Climate Change; Pörtner, H.-O., Roberts, D., Tignor, M., Poloczanska, E., Mintenbeck, K., Alegría, A., Craig, M., Langsdorf, S., Löschke, S., Möller, V., et al., Eds.; Cambridge University Press: Cambridge, UK; New York, NY, USA, 2022; p. 3056. [Google Scholar] [CrossRef]
- Koycegiz, C.; Buyukyildiz, M. Calibration of SWAT and two data-driven models for a data-scarce mountainous headwater in semi-arid Konya closed basin. Water 2019, 11, 147. [Google Scholar] [CrossRef]
- Koycegiz, C.; Buyukyildiz, M.; Kumcu, S.Y. Spatio-temporal analysis of sediment yield with a physically based model for a data-scarce headwater in Konya Closed Basin, Turkey. Water Supply 2021, 21, 1752–1763. [Google Scholar] [CrossRef]
- Basu, A.S.; Gill, L.W.; Pilla, F.; Basu, B. Assessment of Variations in Runoff Due to Landcover Changes Using the SWAT Model in an Urban River in Dublin, Ireland. Sustainability 2022, 14, 534. [Google Scholar] [CrossRef]
- Sarkar Basu, A.; Gill, L.W.; Pilla, F.; Basu, B. Assessment of Climate Change Impact on the Annual Maximum Flood in an Urban River in Dublin, Ireland. Sustainability 2022, 14, 4670. [Google Scholar] [CrossRef]
- Paniconi, C.; Putti, M. Physically based modeling in catchment hydrology at 50: Survey and outlook. Water Resour. Res. 2015, 51, 7090–7129. [Google Scholar] [CrossRef]
- Freeze, R.A.; Harlan, R.L. Blueprint for a physically-based, digitally-simulated hydrologic response model. J. Hydrol. 1969, 9, 237–258. [Google Scholar] [CrossRef]
- Freeze, R.A. Three-Dimensional, Transient, Saturated-Unsaturated Flow in a Groundwater Basin. Water Resour. Res. 1971, 7, 347–366. [Google Scholar] [CrossRef]
- Freeze, R.A. Role of subsurface flow in generating surface runoff: 1. Base flow contributions to channel flow. Water Resour. Res. 1972, 8, 609–623. [Google Scholar]
- Freeze, R.A. Role of subsurface flow in generating surface runoff: 2. Upstream source areas. Water Resour. Res. 1972, 8, 1272–1283. [Google Scholar] [CrossRef]
- Abbott, M.B.; Bathurst, J.C.; Cunge, J.A.; O’Connell, P.E.; Rasmussen, J. An introduction to the European Hydrological System—Systeme Hydrologique European, ‘SHE’, 1: History and philosophy of a physically-based distributed modelling system. J. Hydrol. 1986, 87, 45–59. [Google Scholar] [CrossRef]
- Abbott, M.B.; Bathurst, J.C.; Cunge, J.A.; O’Connell, P.E.; Rasmussen, J. An introduction to the European Hydrological System—Systeme Hydrologique Europeen ‘SHE’. 2: Structure of a physically based, distributed modelling system. J. Hydrol. 1986, 87, 61–77. [Google Scholar] [CrossRef]
- Federer, C.A. BROOK 90: A Simulation Model for Evaporation, Soil Water, and Streamflow. 2002. Available online: https://www.ecoshift.net/brook/brook90.htm (accessed on 25 December 2022).
- Neff, W.H. Performance Evaluation of the BROOK Hydrologic Simulation Models on Small Central Pennsylvania Watersheds. Ph.D. Thesis, Pennsylvania State University, State College, PA, USA, 1993. [Google Scholar]
- Lawrence, G.B.; David, M.B.; Shortle, W.C. A new mechanism for calcium loss in forest-floor soils. Nature 1995, 378, 162–165. [Google Scholar] [CrossRef]
- McHale, M.R.; McDonnell, J.J.; Mitchell, M.J.; Cirmo, C.P. A field-based study of soil water and groundwater nitrate release in an Adirondack forested watershed. Water Resour. Res. 2002, 38, 2-1–2-16. [Google Scholar] [CrossRef]
- Combalicer, E.A.; Lee, S.H.; Ahn, S.; Yeob, D.K.; Im, S. Modeling water balance for the small-forested watershed in Korea. KSCE J. Civ. Eng. 2008, 12, 339–348. [Google Scholar] [CrossRef]
- Panferov, O.; Doering, C.; Rauch, E.; Sogachev, A.; Ahrends, B. Feedbacks of windthrow for Norway spruce and Scots pine stands under changing climate. Environ. Res. Lett. 2009, 4, 045019. [Google Scholar] [CrossRef]
- Bencoková, A.; Kram, P.; Hruška, J. Future climate and changes in flow patterns in Czech headwater catchments. Clim. Res. 2011, 49, 1–15. [Google Scholar] [CrossRef]
- Yao, H.; McConnell, C.; James, A.; Fu, C. Comparing and Modifying Eight Empirical Models of Snowmelt Using Data from Harp Experimental Station in Central Ontario. Br. J. Environ. Clim. Chang. 2012, 2, 259–277. [Google Scholar] [CrossRef]
- Kremsa, J.; Křeček, J.; Kubin, E. Comparing the impacts of mature spruce forests and grasslands on snow melt, water resource recharge, and run-off in the northern boreal environment. Int. Soil Water Conserv. Res. 2015, 3, 50–56. [Google Scholar] [CrossRef]
- Shuttleworth, W.J.; Wallace, J.S. Evaporation from sparse crops-An energy combination theory. Q. J. R. Meteorol. Soc. 1985, 111, 839–855. [Google Scholar] [CrossRef]
- Schaetzl, R.J.; Luehmann, M.D.; Rothstein, D. Pulses of podzolization: The relative importance of spring snowmelt, summer storms, and fall rains on Spodosol development. Soil Sci. Soc. Am. J. 2015, 79, 117–131. [Google Scholar] [CrossRef]
- Vilhar, U. Water Regulation Ecosystem Services Following Gap Formation in Fir-Beech Forests in the Dinaric Karst. Forests 2021, 12, 224. [Google Scholar] [CrossRef]
- Armbruster, M.; Seegert, J.; Feger, K.H. Effects of changes in tree species composition on water flow dynamics–Model applications and their limitations. Plant Soil 2004, 264, 13–24. [Google Scholar] [CrossRef]
- Federer, C.A.; Vörösmarty, C.; Fekete, B. Sensitivity of annual evaporation to soil and root properties in two models of contrasting complexity. J. Hydrometeorol. 2003, 4, 1276–1290. [Google Scholar] [CrossRef]
- Wahren, A.; Schwärzel, K.; Feger, K.H.; Münch, A.; Dittrich, I. Identification and model-based assessment of the potential water retention caused by land-use changes. Adv. Geosci. 2007, 11, 49–56. [Google Scholar] [CrossRef]
- Canfield, H.E.; Lopes, V.L. Simulating Soil MoistureChange in a Semiarid Rangeland Watershed With a Process-Based Water-Balance Model. In Proceedings of the Conference on Land Stewardship in the 21st Century: The Contributions of Watershed Management, Tucson, AZ, USA, 13–16 March 2000; Ffolliott, P., Baker, M.B., Jr., Eds.; U.S. Forest Service Rocky Mountain Research Station: Ft. Collins, CO, USA, 2000; pp. 316–320, RMRS P-13. [Google Scholar]
- Vilhar, U. Comparison of drought stress indices in beech forests: A modelling study. iFor.-Biogeosci. For. 2016, 9, 635. [Google Scholar] [CrossRef]
- Wellpott, A.; Imbery, F.; Schindler, D.; Mayer, H. Simulation of drought for a Scots pine forest (Pinus sylvestris L.) in the southern upper Rhine plain. Meteorol. Z. 2005, 14, 143–150. [Google Scholar] [CrossRef]
- Molina, O.; Luong, T.T.; Bernhofer, C. Projected Changes in the Water Budget for Eastern Colombia Due to Climate Change. Water 2019, 12, 65. [Google Scholar] [CrossRef]
- Schaffrath, D.; Vetter, S.H.; Bernhofer, C. Spatial precipitation and evapotranspiration in the typical steppe of Inner Mongolia, China—A model based approach using MODIS data. J. Arid. Environ. 2012, 88, 184–193. [Google Scholar] [CrossRef]
- Candaş, A. Reconstruction of the Paleoclimate on Dedegöl Mountain with Paleoglacial Records and Numerical Ice Flow Models. Master’s Thesis, Istanbul Technical University, Istanbul, Türkiye, 2017. [Google Scholar]
- Kronenberg, R.; Oehlschlägel, L.M.; Bernhofer, C.; Luong, T.T. Introducing an implementation of Brook90 in R. In Geophysical Research Abstracts; EGU2019-13707-1; EGU General Assembly: Munich, Germany, 2019; Volume 21. [Google Scholar]
- Vorobevskii, I.; Kronenberg, R.; Bernhofer, C. Global BROOK90 R Package: An Automatic Framework to Simulate the Water Balance at Any Location. Water 2020, 12, 2037. [Google Scholar] [CrossRef]
- Vorobevskii, I.; Kronenberg, R.; Bernhofer, C. On the runoff validation of ‘Global BROOK90’ automatic modeling framework. Hydrol. Res. 2021, 52, 1083–1099. [Google Scholar] [CrossRef]
- Vorobevskii, I.; Luong, T.T.; Kronenberg, R.; Grünwald, T.; Bernhofer, C. Modelling evaporation with local, regional and global BROOK90 frameworks: Importance of parameterization and forcing. Hydrol. Earth Syst. Sci. 2022, 26, 3177–3239. [Google Scholar] [CrossRef]
- Copernicus Climate Change Service. ERA5 Hourly Data on Single Levels from 1979 to Present. ERA5: Fifth Generation of ECMWF Atmospheric. 2018. Available online: https://cds.climate.copernicus.eu/cdsapp#!/dataset/reanalysis-era5-single-levels?tab=form (accessed on 20 October 2022).
- Buchhorn, M.; Lesiv, M.; Herold, M.; Tsendbazar, N.E.; Bertles, L.; Smets, B. Copernicus Global Land Service: Land Cover 100 m, Epoch “Year”, Globe (Version V2.0.2). Zenodo. 2019. Available online: https://zenodo.org/record/3243509#.XxFzWcfVLIU (accessed on 1 May 2022).
- Hengl, T.; Mendes de Jesus, J.; Heuvelink, G.B.; Ruiperez Gonzalez, M.; Kilibarda, M.; Blagotić, A.; Shangguan, W.; Wright, M.N.; Geng, X.; Bauer-Marschallinger, B.; et al. SoilGrids250m: Global gridded soil information based on machine learning. PLoS ONE 2017, 12, e0169748. [Google Scholar] [CrossRef] [PubMed]
- Kottek, M.; Grieser, J.; Beck, C.; Rudolf, B.; Rubel, F. World Map of the Köppen-Geiger climate classification updated. Meteorol. Z. 2006, 15, 259–263. [Google Scholar] [CrossRef] [PubMed]
- Peel, M.C.; Finlayson, B.L.; McMahon, T.A. Updated world map of the Köppen-Geiger climate classification. Hydrol. Earth Syst. Sci. 2007, 11, 1633–1644. [Google Scholar] [CrossRef]
- Moriasi, D.N.; Arnold, J.G.; Van Liew, M.W.; Bingner, R.L.; Harmel, R.D.; Veith, T.L. Model Evaluation Guidelines for Systematic Quantification of Accuracy in Watershed Simulations. Trans. ASABE 2007, 50, 885–900. [Google Scholar] [CrossRef]
- Nash, J.E.; Sutcliffe, J.V. River flow forecasting through conceptual models, Part 1: A discussion of principles. J. Hydrol. 1970, 10, 282–290. [Google Scholar] [CrossRef]
- Gupta, H.V.; Kling, H.; Yilmaz, K.K.; Martinez, G.F. Decomposition of the mean squared error and NSE performance criteria: Implications for improving hydrological modelling. J. Hydrol. 2009, 377, 80–91. [Google Scholar] [CrossRef]
- Knoben, W.J.; Freer, J.E.; Woods, R.A. Inherent benchmark or not? Comparing Nash–Sutcliffe and Kling–Gupta efficiency scores. Hydrol. Earth Syst. Sci. 2019, 23, 4323–4331. [Google Scholar] [CrossRef]
- Irvem, A.; El-Sadek, A. Evaluation of Streamflow Simulation By SWAT Model for The Seyhan River Basin. Çukurova J. Agric. Food Sci. 2018, 33, 99–110. [Google Scholar]
- Vorobevskii, I. Modelling the Water Balance in Small Catchments: Development of a Global Application for a Local Scale. 2022. Available online: https://nbn-resolving.org/urn:nbn:de:bsz:14-qucosa2-824252 (accessed on 27 February 2023).
- Ülker, M.C. The Applicability of the Global BROOK90-R Physically-Based Hydrologic Model in Some River Basin in Turkey: Flow Estimation Study. Master’s Thesis, Konya Technical University, Konya, Türkiye, 2022. (In Turkish). [Google Scholar]
Disclaimer/Publisher’s Note: The statements, opinions and data contained in all publications are solely those of the individual author(s) and contributor(s) and not of MDPI and/or the editor(s). MDPI and/or the editor(s) disclaim responsibility for any injury to people or property resulting from any ideas, methods, instructions or products referred to in the content. |
© 2023 by the authors. Licensee MDPI, Basel, Switzerland. This article is an open access article distributed under the terms and conditions of the Creative Commons Attribution (CC BY) license (https://creativecommons.org/licenses/by/4.0/).










