New Policy Research on Education Development and Global Citizenship in a Sustainable Environment
Abstract
1. Introduction to Sustainable Educational Development and Global Citizenship
- (1)
- By addressing the challenges of a sustainable environment and educational development and the concept of global citizenship, this paper presents an efficient and successful approach to calculating the EP-SE system of education and global citizenship for a sustainable environment. The differentiation of education is illustrated, providing a non-dialectical component focused on the functioning of global citizenship and emphasizing the concept of personal responsibility or ethics associated with global citizenship. It enhances the sustainability of teaching and learning and shows that globalization, which depends on commodity conditions, can be enhanced.
- (2)
- Different, distinct and invariant principles are considered in education for sustainable environment and global citizenship. Textual, statistical, performance, predictive, and discriminant analyses were conducted by working with the C-ESD, AGCE, E-GC, TGCE, and AME-SD methods proposed in the literature review. The experimental paper collected about 4245 tables divided into four levels of six features to perform the calculations. The implementability of the EP-SE policy in this paper was finally verified.
2. Literature Review
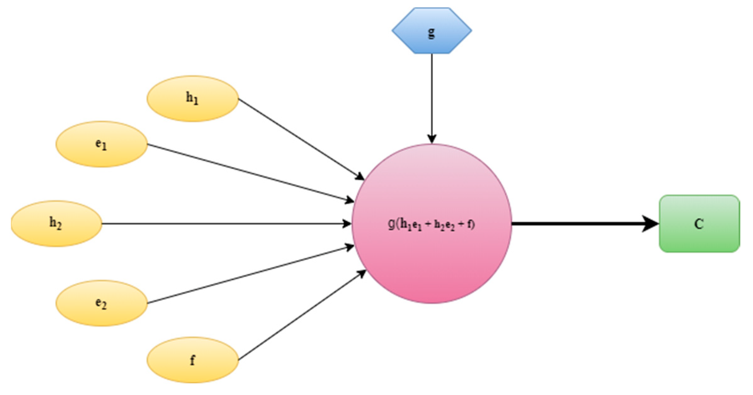
3. Emerging Policies for Sustainable Environment
4. Results and Discussion
4.1. Text Analysis
4.2. Statistical Analysis
4.3. Performance Analysis
4.4. Predictive Analysis
4.5. Discriminant Analysis
5. Conclusions
Author Contributions
Funding
Institutional Review Board Statement
Informed Consent Statement
Data Availability Statement
Conflicts of Interest
Abbreviations
| EP-SE | Emerging Policies for Sustainable Environment |
| C-ESD | Context of Education Sustainable Development |
| AGCE | Advanced Global Citizenship Education |
| E-GC | Education Global Citizenship |
| TGCE | Typologies of Global Citizenship Education |
| AME-SD | Achieving and Monitoring Education Sustainable Development |
| GCD | Global Citizenship Education of Countries |
| MSE | Error Function |
| RMSE | Root Mean Square Error |
References
- O′Flaherty, J.; Liddy, M. The impact of development education and education for sustainable development interventions: A synthesis of the research. Environ. Educ. Res. 2018, 24, 1031–1049. [Google Scholar] [CrossRef]
- Yemini, M.; Tibbitts, F.; Goren, H. Trends and caveats: Review of literature on global citizenship education in teacher training. Teach. Teach. Educ. 2019, 77, 77–89. [Google Scholar] [CrossRef]
- Pais, A.; Costa, M. An ideology critique of global citizenship education. Crit. Stud. Educ. 2020, 61, 1–16. [Google Scholar] [CrossRef]
- Bosio, E.; Torres, C.A. Global citizenship education: An educational theory of the common good? A conversation with Carlos Alberto Torres. Policy Futur. Educ. 2019, 17, 745–760. [Google Scholar] [CrossRef]
- Tarozzi, M.; Mallon, B. Educating teachers towards global citizenship: A comparative study in four European countries. Lond. Rev. Educ. 2019, 17, 112–125. [Google Scholar] [CrossRef]
- Abdel-Basset, M.; Manogaran, G.; Mohamed, M.; Rushdy, E. Internet of things in smart education environment: Supportive framework in the decision-making process. Concurr. Comput. Pract. Exp. 2019, 31, e4515. [Google Scholar] [CrossRef]
- Jiang, R.; Mou, X.; Shi, S.; Zhou, Y.; Wang, Q.; Dong, M.; Chen, S. Object tracking on event cameras with offline–online learning. CAAI Trans. Intell. Technol. 2020, 5, 165–171. [Google Scholar] [CrossRef]
- Jiang, J.; Hu, L. Decentralised federated learning with adaptive partial gradient aggregation. CAAI Trans. Intell. Technol. 2020, 5, 230–236. [Google Scholar] [CrossRef]
- Deng, Z.; Zhang, J.W. Learning synergies based in-hand manipulation with reward shaping. CAAI Trans. Intell. Technol. 2020, 5, 141–149. [Google Scholar] [CrossRef]
- Shakeel, P.M.; Baskar, S. Automatic human emotion classification in web document using fuzzy inference system (FIS): Human emotion classification. Inf. Resour. Manag. Assoc. IGI Glob. 2020, 16, 96–104. [Google Scholar] [CrossRef]
- Debnath, B.; Kumar, R.; Shakeel, P.M. Meandering-trapezoidal shaped MEMS structure for low frequency vibration based energy harvesting applications. Sustain. Energy Technol. Assess. 2020, 42, 100881. [Google Scholar] [CrossRef]
- Kadry, S. Six sigma methodology for the environment sustainable development. In Mechanism Design for Sustainability; Springer: Dordrecht, The Netherlands, 2013; pp. 61–76. [Google Scholar] [CrossRef]
- Yassine, S.; Kadry, S.; Sicilia, M.A. Measuring learning outcomes effectively in smart learning environments. In 2016 Smart Solutions for Future Cities; IEEE: Piscataway, NJ, USA, 2016; pp. 1–5. [Google Scholar] [CrossRef]
- Kobusińska, A.; Hsu, C.H. Towards increasing reliability of clouds environments with restful web services. Future Gener. Comput. Syst. 2018, 87, 502–513. [Google Scholar] [CrossRef]
- Chang, C.C.; Hu, X.P. The effect of an environmental nutritional intervention on knowledge and practice of college dormitory students. Nutr. Sci. J. 2006, 31, 40–48. [Google Scholar]
- Yang, C.T.; Tseng, C.H.; Hsu, C.H.; Chen, S.C.; Shih, W.C. Implementation of a virtualized cluster computing environment. J. Internet Technol. 2017, 18, 1103–1115. [Google Scholar] [CrossRef]
- Muhammad, K.; Khan, S.; Elhoseny, M.; Ahmed, S.H.; Baik, S.W. Efficient fire detection for uncertain surveillance environment. IEEE Trans. Ind. Inform. 2019, 15, 3113–3122. [Google Scholar] [CrossRef]
- Kumar, N.; Misra, S.; Obaidat, M.S.; Rodrigues, J.J.; Pati, B. Networks of learning automata for the vehicular environment: A performance analysis study. IEEE Wirel. Commun. 2014, 21, 41–47. [Google Scholar] [CrossRef]
- Kumar, N.; Lin, C.C. Reliable multicast as a bayesian coalition game for a non-stationary environment in vehicular ad hoc networks: A learning automata-based approach. Int. J. Ad Hoc Ubiquitous Comput. 2015, 19, 168–182. [Google Scholar] [CrossRef]
- Wahyudin, D. Peace education curriculum in the context of education sustainable development (ESD). J. Sustain. Dev. Educ. Res. 2018, 2, 21–32. [Google Scholar] [CrossRef]
- Anderson, A. Advancing global citizenship education through global competence and critical literacy: Innovative practices for inclusive childhood education. SAGE Open 2019, 9, 2158244019826000. [Google Scholar] [CrossRef]
- Reynolds, R.; MacQueen, S.; Ferguson-Patrick, K. Educating for global citizenship: Australia as a case study. Int. J. Dev. Educ. Glob. Learn. 2019, 11, 103–119. [Google Scholar] [CrossRef]
- Pashby, K.; da Costa, M.; Stein, S.; Andreotti, V. A meta-review of typologies of global citizenship education. Comp. Educ. 2020, 56, 144–164. [Google Scholar] [CrossRef]
- Edwards, D.B.; Sustarsic, M.; Chiba, M.; McCormick, M.; Goo, M.; Perriton, S. Achieving and Monitoring Education for Sustainable Development and Global Citizenship: A Systematic Review of the Literature. Sustainability 2020, 12, 1383. [Google Scholar] [CrossRef]
- Catala, C.L.; Martinez, M.B.; Diaz, M.A.; del Castillo, J.M.S. For a global and intercultural citizenship in accordance with the sustainable development goals. Rev. Conrado 2021, 17, 7–15. [Google Scholar]
- Kim, Y.S.; Yoon, H.H. A Study on the support methods of education for sustainable development in connection with global citizenship education. J. Educ. Cult. 2018, 24, 33–52. [Google Scholar] [CrossRef]
- Khoo, S.M.; Jorgensen, N.J. Intersections and collaborative potentials between global citizenship education and education for sustainable development. Glob. Soc. Educ. 2021, 19, 470–481. [Google Scholar] [CrossRef]
- Coleman, K.; Gould, R. Exploring just sustainability across the disciplines at one university. J. Environ. Educ. 2019, 50, 223–237. [Google Scholar] [CrossRef]
- Hoffmann, A.; Sobrinho, L.L.P. Environmental education (EA): Sustainablility instrument environmental and ecological. Humanid. Inov. 2023, 9, 60–72. [Google Scholar]
- Vincent, S.; Mulkey, S. Transforming US higher education to support sustainability science for a resilient future: The influence of institutional administrative organization. Environ. Dev. Sustain. 2015, 7, 341–363. [Google Scholar] [CrossRef]
- Itard, L.; van den Bogaard, M. Teaching environmental sustainability to higher education students: Some reflections. Open House Int. 2010, 35, 6–14. [Google Scholar] [CrossRef]
- Swaim, J.A.; Maloni, M.J.; Napshin, S.A.; Henley, A.B. Influences on student intention and behavior toward environmental sustainability. J. Bus. Ethics 2014, 124, 465–484. [Google Scholar] [CrossRef]
- Hee, K.S.; Kim, E.J. Suggestions for strengthening sustainability through citizen participation environmental education program: Focusing on social value realization. J. Environ. Policy Adm. 2019, 27, 237–250. [Google Scholar] [CrossRef]
- Calixto, P.S.; Prados, M.A.H. The evolution of the concept of sustainability and its effect on environmental education. Teor. Dela Educ. 2008, 20, 179–204. [Google Scholar]










| S. No | Data | Description |
|---|---|---|
| 1 | User count | 1, 5, 10, 15, 20, …, 50 |
| 2 | Sessions for users | 10, 20, 30, 40, …, 100 |
| 3 | Minimum number of samples | 40 |
| 4 | Training samples | 42% of records |
| 5 | Testing samples | 58% of records |
| No. of Dataset | C-ESD | AGCE | E-GC | TGCE | AME-SD | EP-SE |
|---|---|---|---|---|---|---|
| 10 | 19.78 | 21.21 | 24.54 | 18.76 | 28.76 | 32.19 |
| 20 | 21.78 | 12.65 | 45.36 | 73.56 | 32.45 | 40.88 |
| 30 | 18.65 | 26.33 | 53.66 | 48.23 | 46.76 | 49.65 |
| 40 | 32.15 | 18.98 | 35.97 | 53.26 | 30.12 | 58.89 |
| 50 | 28.56 | 36.78 | 61.78 | 31.03 | 51.34 | 53.44 |
| 60 | 45.89 | 31.87 | 49.74 | 45.69 | 67.87 | 69.45 |
| 70 | 38.27 | 56.21 | 71.23 | 77.89 | 50.65 | 79.67 |
| 80 | 68.26 | 49.21 | 31.43 | 69.31 | 70.12 | 88.69 |
| 90 | 80.66 | 68.15 | 81.74 | 74.1 | 76.98 | 97.87 |
| No. of Dataset | C-ESD | AGCE | E-GC | TGCE | AME-SD | EP-SE |
|---|---|---|---|---|---|---|
| 10 | 31.33 | 32.14 | 30.56 | 34.76 | 36.76 | 40.22 |
| 20 | 39.45 | 41.24 | 20.6 | 43.65 | 40.78 | 50.01 |
| 30 | 34.15 | 34.19 | 46.99 | 54.11 | 27.45 | 69.1 |
| 40 | 29.47 | 43.76 | 62.62 | 71.65 | 41.78 | 52.43 |
| 50 | 56.33 | 69.33 | 69.34 | 12.98 | 56.78 | 57.34 |
| 60 | 47.14 | 36.54 | 41.98 | 47.26 | 62.89 | 68.44 |
| 70 | 21.89 | 56.39 | 36.41 | 53.61 | 49.45 | 75.65 |
| 80 | 65.25 | 65.25 | 59.89 | 57.98 | 61.13 | 86.98 |
| 90 | 68.78 | 70.55 | 69.99 | 74.56 | 76.77 | 98.89 |
Disclaimer/Publisher’s Note: The statements, opinions and data contained in all publications are solely those of the individual author(s) and contributor(s) and not of MDPI and/or the editor(s). MDPI and/or the editor(s) disclaim responsibility for any injury to people or property resulting from any ideas, methods, instructions or products referred to in the content. |
© 2023 by the authors. Licensee MDPI, Basel, Switzerland. This article is an open access article distributed under the terms and conditions of the Creative Commons Attribution (CC BY) license (https://creativecommons.org/licenses/by/4.0/).
Share and Cite
Fang, H.; Zhang, F.; Xiao, Q.; Lin, C. New Policy Research on Education Development and Global Citizenship in a Sustainable Environment. Sustainability 2023, 15, 4736. https://doi.org/10.3390/su15064736
Fang H, Zhang F, Xiao Q, Lin C. New Policy Research on Education Development and Global Citizenship in a Sustainable Environment. Sustainability. 2023; 15(6):4736. https://doi.org/10.3390/su15064736
Chicago/Turabian StyleFang, Hanlin, Fengrong Zhang, Qianwen Xiao, and Ciyun Lin. 2023. "New Policy Research on Education Development and Global Citizenship in a Sustainable Environment" Sustainability 15, no. 6: 4736. https://doi.org/10.3390/su15064736
APA StyleFang, H., Zhang, F., Xiao, Q., & Lin, C. (2023). New Policy Research on Education Development and Global Citizenship in a Sustainable Environment. Sustainability, 15(6), 4736. https://doi.org/10.3390/su15064736

