Next Article in Journal
Advances in Tourism Image and Branding
Next Article in Special Issue
Temporal and Spatial Divergence of Embodied Carbon Emissions Transfer and the Drivers—Evidence from China’s Domestic Trade
Previous Article in Journal
Construction and Application of On-Line Roof Separation Monitoring System Based on High-Precision FBG Indicator
Previous Article in Special Issue
Analysis of Air Quality Evolution Trends in the Chinese Air Pollution Transmission Channel Cities under Socioeconomic Development Scenarios
 
 
Font Type:
Arial Georgia Verdana
Font Size:
Aa Aa Aa
Line Spacing:
Column Width:
Background:
Article

The Path to Low Carbon: The Impact of Network Infrastructure Construction on Energy Conservation and Emission Reduction

1
School of Economics, Hunan Agricultural University, Changsha 410128, China
2
School of International Relationships and Diplomacy, Beijing Foreign Studies University, Beijing 100089, China
*
Author to whom correspondence should be addressed.
Sustainability 2023, 15(4), 3683; https://doi.org/10.3390/su15043683
Submission received: 27 January 2023 / Revised: 10 February 2023 / Accepted: 14 February 2023 / Published: 16 February 2023

Abstract

Energy conservation and emission reduction are important ways to cope with global warming. An analysis of energy conservation and emission reduction from the perspective of network infrastructure construction provides an important perspective for the study of sustainable development. Based on the research sample of 263 cities in China from 2006 to 2019, and taking the policy of “Broadband China” as a quasi-natural experiment, this paper uses the double difference model to evaluate the impact of network infrastructure construction on energy conservation and emission reduction. The results show that (1) the construction of network infrastructure can significantly improve the energy utilization rate and reduce carbon emissions intensity, which helps to promote energy conservation and emission reduction. (2) From the perspective of a functional mechanism, on the one hand, network infrastructure construction affects energy conservation and emission reduction through micro-mechanisms such as green technology innovation and energy efficiency. On the other hand, network infrastructure construction also drives the development of the Internet and the digital economy, and promotes energy conservation and emission reduction through macro-mechanisms such as industrial structure and financial development. (3) The heterogeneity analysis shows that network infrastructure construction in non-resource-based cities, eastern regions and low-carbon cities has a greater impact on energy conservation and emission reduction. This study provides a new perspective for achieving low-carbon development goals.

1. Introduction

Currently, China has become a major energy consumer and carbon emitter in the world. China’s carbon emissions reached 11.47 billion tons in 2021, more than twice that of the United States and nearly four times that of the European Union, and have not reached the peak yet. With the rapid development of industrialization and urbanization, the rigid demand for energy consumption in China is still strong. The insufficient technological capacity of enterprises in digital transformation and the high dependence on resources of high-polluting industries restrict the development process of China’s green economy. Therefore, how to reduce carbon emissions and mitigate global warming in China has become the focus of world attention. In September 2020, the Chinese government promised the world to achieve the “double carbon” goal, that is, carbon dioxide emissions should strive to reach the peak by 2030, and strive to achieve carbon neutrality by 2060. The double carbon goal has become one of the important goals of China’s economic development in the future, which puts forward higher requirements for energy conservation and emission reduction.
According to the literature review, scholars have done a lot of research on how to achieve energy conservation and emission reduction, mostly discussing the channels to achieve energy conservation and emission reduction from institutional factors, energy efficiency, carbon emission policies and other aspects [1,2,3]. According to the externality theory, when there are externalities, people’s private costs and social costs, and private benefits and social benefits in economic activities are inconsistent, which leads to the distortion of resource allocation in economic activities and the failure to achieve Pareto Optimization. In the case of the increasing scarcity of environmental resources, environmental externalities cause enterprises to lack the motivation to reduce the externalities of environmental problems. Although environmental policy constraints and institutional construction have played a positive role in energy conservation and emission reduction, enterprises may adopt various ways to evade environmental regulation [4,5]. Green technology has become an important means to reduce carbon emissions, but most green technology innovations focus on end-of-pipe governance, resulting in the lack of green production solutions throughout the life cycle.
In recent years, with the wide application of information and communication technology (ICT) and the profound impact of digital technology on traditional industries, more and more scholars have begun to pay attention to the impact of digital technology on energy conservation and emission reduction in the whole life cycle production. Xu and Zhong [6] found that ICT capital can alleviate the growth of energy consumption and carbon emissions caused by income inequality, and contribute to the coordinated development of economic, energy and environmental goals. Wu et al. [7] found that the development of the Internet significantly promoted the efficiency of energy conservation and emission reduction. Zhang et al. [8] found that the digital economy promotes the energy conservation and emission reduction of heavily polluting enterprises by improving green technology innovation ability, alleviating financing constraints and promoting market competition. In addition, some studies also discussed the relationship between the digital economy and energy consumption intensity, enterprise environmental performance and so on [9,10,11,12,13]. Linking the digital economy enabled by the Internet and ICT with energy consumption, the rapid development of the digital economy can be regarded as an effective strategy to reduce carbon emissions [14,15]. It helps to promote energy saving and emission reduction in the whole life cycle production, and provides a new research perspective for sustainable development and carbon emission reduction in China.
However, there may be two difficulties in studying the relationship between the digital economy and energy efficiency and carbon emissions. First, from the perspective of an indicator measurement, it is difficult to accurately measure the scale of the digital economy. Most of the existing studies are based on the comprehensive evaluation of regional Internet development, digital finance, e-commerce and other indicators [8,16]. Different indicators or data sources may lead to large differences in results. Second, from the perspective of reality, the failure rate of digital transformation is high, so it is difficult to accurately estimate the contribution of the digital economy to carbon emissions. According to the International Data Center (IDC) survey, 50% of China’s top 1000 enterprises take digital transformation as the core of their corporate strategy, while the failure rate of digital transformation reaches 70–80%. McKinsey’s research report (2018) also pointed out that the success rate of digital transformation of enterprises in high-tech, media, telecommunications and other fields is not more than 26%, while the success rate of digital transformation of enterprises in traditional industries such as oil, automobile, pharmaceutical and so on is only 4–11%. To solve the above research difficulties, this paper attempts to explore the impact of energy conservation and emission reduction from the perspective of network infrastructure construction. On the one hand, network infrastructure construction is the basis and key to promote the development of the digital economy and the digital transformation of enterprises. On the other hand, the focus of the “Broadband China” policy is to strengthen the network infrastructure construction, which can provide a quasi-natural experiment for this study.
Based on existing research, this paper discusses whether the construction of network infrastructure can affect the effect of energy conservation and emission reduction. The main innovation points are as follows. First, this paper discusses the influencing factors of energy conservation and emission reduction from the perspective of network infrastructure construction, providing a new perspective for the realization of China’s dual-carbon goal. Second, this paper uses the quasi-natural experiment of “Broadband China” policy to analyze the impact of network infrastructure construction on energy conservation and emission reduction through the double difference model, which solves the endogenous problem. Third, this paper analyzes the influence mechanism of network infrastructure construction on energy conservation and emission reduction from both micro and macro aspects, and deepens the relevant research in this field.
The next arrangement of this paper is as follows. The second part introduces the policy background of “Broadband China” and puts forward the research hypotheses of this paper on the basis of combing the existing literature. The third part is econometric model construction and the selection of variables. The fourth part uses the “Broadband China” policy to empirically test how network infrastructure construction affects the effect of energy conservation and emission reduction, and carries on mechanism analysis and heterogeneity analysis. The fifth part is related discussion. The sixth part is the conclusion of this paper and prospects of future research.

2. Theory and Research Hypotheses

2.1. Network Infrastructure and “Broadband China” Policy Background

The network infrastructure mainly includes the hardware infrastructure related to the information transmission system and the software infrastructure such as the network platform and service application built on this basis, which can provide technical support and services for the digitization, networking and intelligent upgrading of traditional departments such as transportation, energy, manufacturing, etc. From the perspective of economics, the construction of network infrastructure has the characteristics of basic and quasi-public goods. Fundamentally, network infrastructure can create value for the production and operation of all goods and services, such as reducing transaction costs [17], the long tail effect [18] and the network effect [19]. Similar to public goods, the services provided by network infrastructure are relatively non-competitive and non-exclusive, so they are generally quasi-public goods.
In order to solve the problems of slow network speed and unbalanced regional networks, and to further promote the construction and development of network infrastructure, the State Council of China issued the “Broadband China” Strategy and Implementation Plan in August 2013. Since then, broadband network construction has become a national strategy. Subsequently, the Ministry of Industry and Information Technology and the National Development and Reform Commission jointly issued the Administrative Measures for the Establishment of “Broadband China” Demonstration Cities (Urban Agglomerations) (hereinafter referred to as the Measures). According to household broadband access capacity, broadband penetration rate, mobile phone penetration rate and broadband user penetration rate and other indicators, 120 “Broadband China” demonstration cities (urban agglomerations) were selected in 2014, 2015 and 2016.
The Measures clearly pointed out that “Broadband China” demonstration cities (urban agglomerations) refer to cities (urban agglomerations) with good broadband development foundation, which have achieved a significant improvement in the development level of broadband in the region through the creation of demonstration, and whose overall broadband development level and development model play a greater exemplary and leading role for similar regions in the country. The key points of broadband network construction in the demonstration city include improving the speed and application level of the broadband network, promoting the continuous improvement of the broadband network industrial chain, enhancing the security guarantee capacity of the broadband network and so on. The demonstration city is a typical constructive pilot city, which puts forward higher requirements for the construction of network infrastructure of the pilot city, and also provides a good quasi-natural experimental basis for this article to analyze the impact of network infrastructure construction on energy conservation and emission reduction.

2.2. Direct Impact of Network Infrastructure Construction on Energy Conservation and Emission Reduction

The idea of a transaction cost was first proposed by Coase (1937) [20], and then he introduced transaction cost and property rights into economic analysis. According to the transaction cost theory, both parties may face higher transaction costs in the case of asymmetric information, which hinders the production and operation activities to some extent. The application of network information technology plays a significant role in reducing transaction costs in transnational trade and enterprise operation [17,21]. The construction of network infrastructure aims to improve network speed, storage, information transmission and other aspects. The improvement of network infrastructure can significantly improve the speed of information dissemination and diffusion, promote the intelligent production and management of production and marketing in relevant industries, and play an important role in saving resource utilization and reducing transaction costs, thus affecting the energy utilization rate and carbon emission intensity of various industries.
First of all, the rapid dissemination and diffusion of information plays an important role in the transformation and development of the energy industry itself and in saving resources in other industries. Because information has important value, and information dissemination and diffusion have played an important role in economic growth and technological progress [22,23], the construction of network infrastructure not only improves the speed of information dissemination and diffusion, but also promotes the development and efficiency of the energy industry. Specifically, the construction of network infrastructure makes the cost of information acquisition and dissemination lower, and the rapid dissemination of a large number of enterprise production and operation data and massive information brings new opportunities for the development of various industries and the improvement of efficiency, effectively saving resources.
Secondly, due to high permeability, and after the construction of network infrastructure has been deep integrated with various industries, enterprises can realize the intelligent management of production and operation activities and improve energy efficiency. The use of information and communication technology to establish intelligent application and management mechanisms for the supply side and the demand side can achieve efficient management and accurate matching of the energy supply to the consumer side, and meet the energy demand of different regions, different groups and different industries. Therefore, an efficient, clean and economic energy supply and consumption system can be built to realize the clean and efficient use of energy. Some studies have found that intelligent energy networks can not only reduce the total cost and carbon emission intensity of society, but also improve its economic benefits [24,25]. Intellectualization also promotes the interconnection of production and business activities such as design, production and sales, and strengthens the whole life cycle management. Reducing the waste in production and manufacturing in a systematic and sustainable way, and realizing the recycling of resources and energy helps to promote energy conservation and emission reduction. Based on the above analysis, this paper proposes the following hypothesis:
H1. 
The construction of network infrastructure helps to promote energy conservation and emission reduction.

2.3. Micro Mechanism of Network Infrastructure Construction Affecting Energy Conservation and Emission Reduction

From a micro perspective, the construction of network infrastructure has a profound impact on enterprises’ green technology innovation, energy efficiency and other production ways, and then affects the energy utilization rate and carbon emission intensity of enterprises.
Firstly, the construction of network infrastructure affects the green innovation behavior of enterprises. The construction and utilization of the network are conducive to the exchange and communication of information within enterprises and the realization of information sharing. Information sharing has an important impact on enterprise innovation [26,27], and affects the green innovation behavior of enterprises [28,29]. On the one hand, green technology innovation can reduce the cost of enterprise terminal governance and production legitimacy, and reduce the environmental pressure of production; on the other hand, green innovation reduces the use of resources from the source and directly reduces the pollution discharge. At the same time, the construction of network infrastructure has also promoted the development of recycling technology innovation, opened the loop of production waste recycling and brought benefits to enterprises. To sum up, through green technology innovation, the construction of network infrastructure can not only change the production process, reduce governance cost, develop green products and improve management efficiency, but can also greatly reduce the impact of production and consumption on the environment to a great extent, save production resources and improve the market competitiveness of enterprises as well.
Secondly, the construction of network infrastructure can also affect the energy efficiency of enterprises. Some studies have pointed out that information and communication technology (ICT) can improve the energy intensity and carbon efficiency of manufacturing enterprises [30]. On the one hand, the adoption of ICT intensifies the market competition, reduces the product price markup, and leads to the reduction of energy-saving investment by manufacturing enterprises. On the other hand, the adoption of ICT and energy complement each other (the adoption of ICT is complementary with energy), which can promote energy input to replace traditional factors such as labor and capital, thus increasing the energy intensity of enterprises [31]. ICT can help enterprises increase output while consuming less energy [32]. Based on the above analysis, this paper proposes the following hypotheses:
H2a. 
Network infrastructure construction promotes energy conservation and emission reduction by promoting green technology innovation.
H2b. 
Network infrastructure construction promotes energy conservation and emission reduction by improving energy efficiency.

2.4. Macro Mechanisms of Network Infrastructure Construction Affecting Energy Conservation and Emission Reduction

The construction of network infrastructure not only affects micro-mechanisms of enterprise production behavior, but also promotes the development of regional Internet and the formation of the digital economy, and affects the regional industrial structure and financial development (as shown in Figure 1). In turn, it affects the energy utilization rate and carbon emission intensity. Specifically, first, the construction of network infrastructure promotes the development of modern logistics and the transportation industry, which relies heavily on network information technology, thus reducing the transportation cost and energy consumption of the transportation industry. Second, the construction of network infrastructure has promoted the development of digital economies based on big data, the Internet of Things and artificial intelligence, and formed the transformation and upgrading of traditional industries, thereby improving energy utilization and cutting carbon emission intensity. Some studies pointed out that the digital economy can improve the allocation of resources [33,34], making those industries with higher energy efficiency and technological efficiency more popular with investors and consumers, and causing the proportion of industrial sector structures to rise. Therefore, the change of industrial structures is an important channel for the construction of network infrastructure in order to affect energy conservation and emission reduction. In addition, the construction of network infrastructure has accelerated the development of E-commerce and helped to upgrade the industrial structure. E-commerce lowers the entry barriers of enterprises, especially the development of small and medium-sized enterprises, and improves the industrial value chain [35].
Network infrastructure also helps to improve financial services, while financial development is crucial for improving energy efficiency. Due to the long spatial distance and high economic costs of formal banking services in developing countries, advances in ICT facilitate the faster flow of information, thereby increasing credit rationing capacity and improving financial services [36]. An experimental analysis showed that there is a long-term causal relationship between ICT technology and financial development [37]. Financial development can affect energy demand and energy efficiency by increasing consumption and enterprise investment [38,39]. In addition to debt financing of commercial banks, equity financing makes it easier for enterprises to obtain financial capital at a lower cost, so as to expand existing businesses or use it for R&D innovation. Green consumption and green finance policies reduce the financial risks and borrowing costs associated with energy-saving products and cutting-edge technologies, thus affecting energy consumption and energy efficiency. Some scholars also found that financial development can reduce the intensity of carbon emissions, because financial development helps enterprises to innovate and adopt new technologies, thereby reducing energy consumption and carbon emissions [40,41]. The development of financial markets has reduced the CO2 emission intensity of developed and emerging financial economies [42]. Zaidi et al. [43] found that globalization and financial development reduced carbon emissions, while economic growth and energy intensity increased carbon emissions. Based on the above analysis, this paper proposes the following hypotheses:
H3a. 
Network infrastructure construction promotes energy conservation and emission reduction by influencing industrial structures.
H3b. 
Network infrastructure construction promotes energy conservation and emission reduction by influencing financial development.

3. Methods and Data

3.1. Model Design

This paper attempts to analyze whether the construction of network infrastructure has an impact on energy conservation and emission reduction, and constructs the following benchmark measurement model, in which model (1) and model (2), respectively, examine the impact of the construction of network infrastructure on energy efficiency and carbon dioxide emission intensity.
ln E n e E f f i t = β 0 + β 1 N I C i × P o s t t + β 2 C o n t r o l s i t + μ i + δ t + ε i t
ln C O 2 i t = γ 0 + γ 1 N I C i × P o s t t + γ 2 C o n t r o l s i t + μ i + δ t + ε i t
where i represents the city; t represents the year; and μ i and δ t represents the city fixed effect and the year fixed effect, respectively. NIC indicates the construction of the urban network infrastructure. If the city is determined as a “Broadband China” demonstration city N I C i = 1 ; otherwise, N I C i = 0 ; Post indicates the year that is determined to be the “Broadband China” demonstration city, which is determined to be the year of the demonstration city and later years P o s t t = 1 ; otherwise, P o s t t = 0 . If the construction of the network infrastructure can not only improve the energy utilization rate, but also reduce the intensity of carbon emissions, it can achieve the effect of energy conservation and emission reduction.

3.2. Variable Selection

Referring to the existing research, the explained variable energy utilization rate (EneEff) is measured by the reciprocal of energy consumption per unit of GDP. The larger the number, the higher the energy utilization rate. The China Energy Statistical Yearbook provides the energy consumption of each province by energy type. With reference to the practice of Chen et al. [44], the energy consumption of each city is calculated based on the night light data. The explained variable carbon emission intensity (CO2) is measured by the carbon dioxide emission per unit of GDP. The larger the value, the higher the carbon emission intensity. The carbon dioxide emissions of cities are calculated according to the method provided by the National Greenhouse Gas Inventory Guidelines (IPCC), which has been widely used [45,46]. The specific formula is as follows.
C i = j = 1 10 [ E i j × L C V i j × C C i j × C O F i j × 44 12 ]
wherein C represents the carbon dioxide emissions of the city i; E indicates the j energy consumption of the city i; LCV represents the average low calorific value of urban energy; CC represents the carbon content per unit calorific value of urban energy; and COF indicates the carbon oxidation rate of urban energy. The energy consumption data is from the China Energy Statistical Yearbook. The energy consumption categories mainly include coal, coke, crude oil, gasoline, kerosene, diesel and natural gas. The average low calorific value shall be calculated according to the reference coefficient of General Principles for Calculation of Comprehensive Energy Consumption (GB/T 2589-2020). The rest will be calculated with reference to the IPCC guidelines for national greenhouse gas inventories.
Controls represents some column-related control variables. Economic growth is the key factor affecting the intensity of carbon emissions. The faster the economic growth, the greater the demand for energy consumption, and the more carbon emissions. This paper uses GDP growth rate (GDPr) to measure the economic growth rate. Whether foreign direct investment affects the intensity of carbon emissions has been widely considered by scholars [47,48,49]. In order to control its potential impact, the foreign direct investment index (FDI) is added to the regression model and measured by per capital FDI. The population density determines the consumption demand of residents. This paper uses the population per square kilometer of urban area to measure population density (Density). Industrial development is a direct factor affecting the intensity of carbon emissions, so this paper uses the ratio of the secondary industry to GDP to measure industrial structure (Struc). In addition, this paper also controls the level of Internet development (Internet) and other pollutant emissions (SO2). The level of Internet development is measured by the proportion of Internet broadband access users to the total number of households in the population, and other pollutants are measured by sulfur dioxide emissions.

3.3. Data Source

In this paper, cities at or above the prefecture level in China are selected as the initial sample for the study, and some cities with serious data missing are deleted. Considering the availability of data, 3457 valid samples of 263 prefecture-level cities from 2006 to 2019 are finally obtained. Some missing values are supplemented by linear interpolation. In order to avoid the interference of extreme values on the empirical results, all variables are subject to a bilateral 1% tail reduction. The relevant data of energy indicators in this paper comes from the China Energy Statistical Yearbook, and the data of the city index comes from the China Urban Statistical Yearbook. The number of Internet users is from the CEIC database.
Table 1 reports the descriptive statistical results of the main variables. Some variables are logarithmically processed to mitigate the possible impact of heteroscedasticity on the estimation. The mean values of lnEneEff and lnCO2 are 2.682 and 3.535, respectively. There are significant differences between the minimum and maximum values, indicating that the regional differences in energy efficiency and carbon emissions are large in the sample period. Table 2 reports the correlation statistics between the main variables.

4. Empirical Results and Analysis

4.1. Impact of Network Infrastructure Construction on Energy Conservation and Emission Reduction

4.1.1. Benchmark Regression Results

Table 3 shows the benchmark regression results. Columns (1)–(3) are the results of gradually adding the control variables, and columns (4) and (6) are the estimated results after adding the relevant control variables. It is found that after adding the control variables, the impact coefficient of network infrastructure construction on energy utilization efficiency and carbon emission intensity decreases, indicating that adding the control variables can reduce the overestimation of the regression results. Column (4) shows that the construction of “Broadband China” demonstration cities has a significant positive impact on the energy utilization rate, indicating that the construction of network infrastructure can significantly improve the energy utilization rate. Column (6) shows that the construction of “Broadband China” demonstration cities has a significant negative impact on carbon emission intensity, indicating that the construction of network infrastructure has reduced carbon emission intensity. In general, the construction of network infrastructure has achieved the effect of “energy conservation and emission reduction”, which verifies hypothesis H1.
In terms of variables control, economic growth helps to improve energy utilization. Although rapid economic growth has increased the total energy consumption, the economic growth accompanied by technological progress has reduced the energy consumption per unit of GDP and improved the energy utilization rate. Foreign direct investment plays a significant role in promoting the energy utilization rate, because the entry of foreign capital not only improves the environmental standards and requirements of products, but also brings new technologies to improve the energy utilization rate. The development of industrial development and the Internet is conducive to improving the energy utilization rate, which also proves the importance of network infrastructure from the side. The increase in emissions of other pollutants is not conducive to the improvement of energy efficiency. The possible reason is that the environmental regulation is insufficient, and urban economic development depends on energy consumption, resulting in the lack of motivation for enterprises to improve energy efficiency and increased pollution emissions.

4.1.2. Parallel Trend Test and Dynamic Effect Analysis

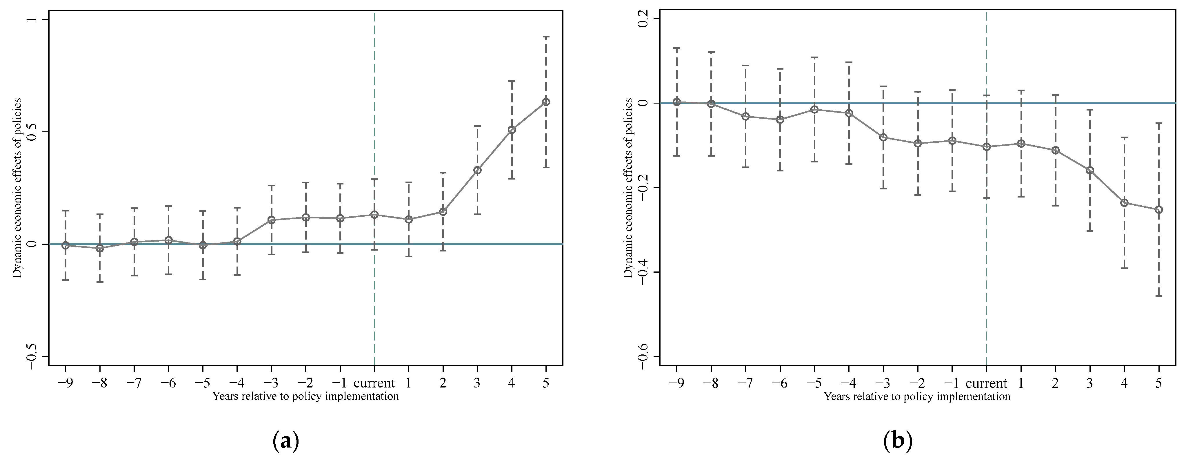
This paper uses a double difference model to test whether the construction of “Broadband China’s” demonstration cities affects the energy utilization rate and carbon emission intensity. The model needs to meet the parallel trend hypothesis; that is, it needs to test that the treatment group and the control group have the same change trend in the energy utilization rate and carbon emission intensity before implementing the “Broadband China” policy. Using the event research method to test the parallel trend hypothesis, the following model is set up:
ln E n e E f f i t = β 0 + d = 9 5 β d P o s t d t + β 2 C o n t r o l i t + μ i + δ t + ε i t
ln C O 2 i t = γ 0 + d = 9 5 γ d P o s t d t + γ 2 C o n t r o l i t + μ i + δ t + ε i t
where P o s t d t represents the implementation of “Broadband China” policy at different events. d has a value range of 9 d 5 . When d = 0 , it means that the city is implementing “Broadband China” policy that year. At this time, the actual value of the virtual variable is 1; otherwise, it is 0. If the estimated coefficient β d and the size of γ d fluctuate around 0 before the implementation of the “Broadband China” policy and do not pass the significance test, it could indicate that the parallel trend was met.
Figure 2 shows the parallel trend test. The vertical axis is the estimated coefficient of the impact of the “Broadband China” policy on energy utilization efficiency and carbon emission intensity in different events. The horizontal axis is the relative time before and after the implementation of the “Broadband China” policy. Current indicates the initial period of the “Broadband China” policy implementation. The dotted lines above and below the hollow circle are 90% confidence intervals. The results in the figure show that before the implementation of the “Broadband China” policy, the construction of “Broadband China” demonstration cities did not have a significant impact on the energy utilization rate and carbon emission intensity, and the magnitude of the estimated value coefficient was near zero, indicating that the parallel trend was met. After the implementation of the “Broadband China” policy, the construction of “Broadband China” demonstration cities has a continuous positive impact on the energy utilization rate and a continuous negative impact on the carbon emission intensity, and this impact has a lag.

4.1.3. Robustness Test

The difference-in-difference based on propensity score matching (PSM-DID) can ease the concerns of “selective bias” in the pilot policy to a certain extent, so the robustness test of the PSM-DID model was conducted in this paper. To avoid the loss of sample size after matching, one-to-two caliper nearest neighbor matching is used in this paper. The model for evaluation reference needs to meet the balance test; that is, after matching, there is no significant difference between the treatment group and the control group in the relevant control variables. Figure 3’s balance test results show that after matching, the mean difference of control variables between the treatment group and the control group is not significant, which means that the balance test conditions are met.
Table 4 shows the estimation results under the conditions that the matching meets the common support hypothesis and the weight is not null after matching. The estimation coefficient, significance and direction of action of the model are highly consistent with the previous results, indicating that the previous estimation results are robust.

4.2. Mechanism Test of Energy Conservation and Emission Reduction in Network Infrastructure Construction

The interaction terms of network infrastructure construction variables and intermediary variables are added into the benchmark regression model to test the impact of network infrastructure construction on the energy utilization rate and carbon emission intensity through intermediary variables. The following measurement model is constructed:
ln E n e E f f i t = β 0 + β 1 N I C i × P o s t t + β 2 N I C i × P o s t t × M i t + β 3 M i t + β 4 C o n t r o l s i t + μ i + δ t + ε i t
where M i t is the intermediary variable. If the interaction term between the core explanatory variable Broadband China demonstration city construction N I C i × P o s t and the intermediary variable is significant, it indicates that the mechanism is significant.

4.2.1. Micro Mechanisms

From the perspective of micro-mechanisms, the construction of network infrastructure affects the energy utilization rate by influencing the production behavior of enterprises such as green technology innovation and energy efficiency. In order to test the micro-mechanisms of network infrastructure construction, the cross-items of green technology innovation, energy efficiency and network infrastructure construction are added to the benchmark regression model. Among them, the sum of urban green invention patent and utility model patent applications (lnGrepat) and the number of invention patent applications (lnGreinn) are used to measure the level and quality of urban green technology innovation, respectively, and urban total factor energy efficiency is used to measure the level of energy efficiency (GTFP). Columns (1)–(2) in Table 5 show the regression estimation results. According to the estimation coefficient of the interaction item, both the level of green innovation and the quality of green innovation have significantly improved the impact of network infrastructure construction on energy utilization, which verifies hypothesis H2a. The results of column (3) in Table 5 show that the interaction coefficient is significantly positive, that is, the total factor energy efficiency significantly improves the impact of network infrastructure construction on the energy utilization rate, which verifies hypothesis H2b.

4.2.2. Macro Mechanisms

The mechanism analysis shows that network infrastructure construction promotes the development of regional Internet and the digital economy, and further affects the energy utilization rate and carbon emission intensity by affecting the industrial structure and financial development. To test the macro mechanisms, the interactive items of industrial structure and financial development and network infrastructure construction are added to the mechanism model. The industrial structure uses the product of the proportion of output of each industrial sector and labor productivity as the dynamic indicator of the development of the industrial structure. The specific indicator structure is as follows:
S H = i = 1 n ( Y i t / Y t ) ( L P i t / L P i f )
where Y i t represents the total output of the industry in i, L P i t represents the labor productivity of the industry and L P i f represents the labor productivity of the industry in the base period. The base period set in this paper is 2006; that is, 2006 is equal to 1. i = 1 , 2 , 3 represents the three industries of the national economy, namely the primary industry, the secondary industry and the tertiary industry. The higher the labor productivity, the higher the proportion of industrial output in the total output, indicating that the industrial structure is developing from low productivity to high productivity sectors. The higher the level of industrial structure, the greater the SH value. Column (4) in Table 5 reports the estimated results after adding the interactive item to the industrial structure and network infrastructure construction, and finds that the coefficient of the interactive item is significantly positive; that is, the higher the level of industrial structure upgrading, the greater the impact of network infrastructure construction on energy utilization, which verifies hypothesis H3a.
Column (5) of Table 5 reports the estimated results after adding the interactive item of financial development and network infrastructure construction. With reference to the existing research, financial development is replaced by the proportion of domestic loans to the private sector in GDP [43]. The results show that the coefficient of the interaction between financial development and network infrastructure construction is significantly positive; that is, the higher the level of financial development, the greater the impact of network infrastructure construction on energy utilization, which indicates that network infrastructure construction affects energy conservation and emission reduction through financial development, verifying hypothesis H3b.

4.3. Heterogeneity Analysis of the Impact of Network Infrastructure Construction on Energy Conservation and Emission Reduction

4.3.1. Resource Abundance

The economic development of areas rich in natural resources may be hindered, which is called the resource curse [50,51]. The reason is that rich natural resources are more likely to lead to over-reliance on natural resources development for regional economic development, resulting in insufficient investment in human capital and a decline in sustainable development capacity, which may affect the role of network infrastructure construction in energy conservation and emission reduction. To test the heterogeneity of resource abundance, the research sample is divided into resource-based cities and non-resource-based cities according to the National Resource-based Cities Sustainable Development Plan (2013–2020) issued by the State Council of China. Table 6 reports the estimated results based on the heterogeneity of resource abundance, and finds that compared with resource-based cities, the network infrastructure construction of non-resource-based cities has a more significant impact on energy conservation and emission reduction. On the contrary, the construction of network infrastructure in resource-rich cities has increased carbon emission intensity, indicating that there is a certain “resource curse” in resource-rich cities, which hinders the role of network infrastructure construction.

4.3.2. Digital Divide

The digital divide reflects a phenomenon of uneven economic development between regions caused by the difference in the development of the information industry and the information economy [52]. Due to the convenience of coastal areas and the industrial base advantages of undertaking the information industry and related manufacturing industries of developed countries, the eastern region of China has priority over the central and western regions in the development of the information industry. Therefore, are energy efficiency and carbon intensity affected by the digital divide? In order to test the possible heterogeneity of this difference, samples were divided into eastern regions and central and western regions for heterogeneity analysis according to the urban geographical location. Table 7 reports the estimated results of urban geographical location heterogeneity, and shows that compared with the central and western regions, the construction of network infrastructure in the eastern region has a greater impact on energy conservation and emission reduction. Meanwhile, the construction of network infrastructure in the central and western regions has not had a significant impact on carbon emission intensity, indicating that carbon emission intensity is greatly affected by the digital divide.

4.3.3. Heterogeneity of Low-Carbon Cities

Low-carbon construction in different cities may also affect the effect of energy conservation and emission reduction. In order to actively respond to climate change and accelerate economic development towards a low-carbon model and direction, China carried out three batches of low-carbon city pilot policies in 2010, 2012 and 2017. It has been pointed out that the construction of low-carbon cities has an important impact on carbon emissions and environmental governance [53,54]. Compared with non-low-carbon cities, low-carbon cities have more advantages in terms of actual conditions and environmental policies. From the perspective of reality, according to emission reduction indicators and assessment standards, the government determines low-carbon pilot cities based on the comprehensive determination of transportation, industry, consumption, energy, policy, technology and other aspects, so the pilot cities themselves have advantages in low-carbon construction. From the perspective of environmental policy, the government has put forward higher requirements for industrial development, energy conservation and emission reduction of low-carbon pilot cities. To test the heterogeneity of low-carbon cities, the samples are divided into low-carbon city samples and non-low-carbon city samples according to the low-carbon city pilot policy. Table 8’s regression results show that compared with non-low-carbon cities, network infrastructure construction has a more significant effect on energy conservation and emission reduction in low-carbon cities.

5. Discussion

The conclusion of this paper points out that the construction of network infrastructure is helpful to realize regional energy conservation and emission reduction. On the one hand, the construction of network infrastructure improves the speed of information dissemination and diffusion, and promotes the realization of intelligent production in relevant industries, such as production and marketing, so as to effectively reduce production costs, shorten the time to market of products, reduce repeated energy consumption, etc., and promote energy conservation and emission reduction in the whole life cycle production. On the other hand, network infrastructure construction also promotes energy conservation and emission reduction in regional economic development by influencing green innovation of enterprises, micro-mechanisms of energy efficiency and macro-mechanisms of industrial structures and financial development. From the closely related literature of this article, Zhang et al. explored the relationship between the digital economy, energy efficiency and carbon emissions by using provincial and regional data [8], and Xu and Zhong discuss the relationship between ICT capital and shared prosperity, energy conservation and emission reduction [6], but these studies tended to reflect the macro-level analysis and did not reach a consensus conclusion. Some studies have discussed the impact of network infrastructure construction on greenhouse gas emissions [55,56], but these studies lack a discussion on the impact network infrastructure construction on energy efficiency. This paper makes the following research expansion based on existing research. First, it examines the comprehensive impact of network infrastructure construction from the aspects of energy efficiency and carbon emissions. Second, it studies how network infrastructure affects energy conservation and emission reduction from both micro and macro mechanisms, which enriches the relevant research in this field.
This paper uses China’s city-level data and estimates based on the quasi-natural experiment of the "Broadband China" policy. This has the following advantages. Firstly, after the establishment of the "Broadband China" demonstration city (urban agglomeration), the focus of urban development is to strengthen the construction of network infrastructure, such as strengthening the construction of optical fiber networks, supporting the research and development of key core technologies of broadband networks and the industrialization of products, which better fits the research theme of this paper. Secondly, the establishment of “Broadband China” model cities is mainly based on the city’s household broadband access capacity, broadband penetration rate, mobile phone penetration rate, broadband user penetration rate and other relevant indicators, and the establishment of model cities is also strictly screened by relevant departments. Therefore, the “Broadband China” policy itself has a certain randomness, which can provide a quasi-natural experiment for this study.
With the wide application of digital technologies such as artificial intelligence, big data, blockchain and so on, more and more research has focused on the relationship between digital technology, energy efficiency and carbon emissions [9,10,11,12,13]. While this paper discusses the impact factors of energy conservation and emission reduction from the perspective of network infrastructure construction, the following aspects are mainly considered. Firstly, from the reality and relevant survey results, the success rate of enterprise digital transformation is low, and core indicators such as digital economy are difficult to accurately quantify. Therefore, it is necessary to re-evaluate the effect of energy conservation and emission reduction from the perspective of network infrastructure construction. Secondly, network infrastructure has the characteristics of basic and quasi-public goods, which can provide a micro-view for the study of energy conservation and emission reduction mechanisms of the whole life cycle production. Thirdly, the deep integration of network infrastructure and traditional industries has also brought about changes in industrial structures and financial development model, so it is also necessary to explore its macro-role mechanism in the development of a low-carbon economy. The energy conservation and emission reduction effect of network infrastructure construction may also be restricted by the degree of resource abundance, urban development and low-carbon policies; therefore, this paper also considers the heterogeneity of the above factors.

6. Conclusions and Prospects

The dual-carbon target strategy is a major commitment made by China to deal with global warming, which puts forward higher requirements for energy conservation and emission reduction. In this context, it is particularly important to explore the factors affecting energy conservation and emission reduction. Based on the “Broadband China” policy as a quasi-natural experiment, this paper discusses the impact of network infrastructure construction on energy conservation and emission reduction. The results show that the construction of network infrastructure significantly improves the energy utilization rate and reduces carbon emission intensity, thus achieving the effect of energy conservation and emission reduction. From the perspective of micro-mechanisms, the construction of network infrastructure affects the effect of energy conservation and emission reduction by influencing the production behavior of enterprises such as green technology innovation and energy efficiency. From the perspective of macro mechanisms, the construction of network infrastructure promotes the development of the Internet and digital economy, and further promotes the industrial structure and financial development, thus contributing to the realization of energy conservation and emission reduction. The heterogeneity analysis shows that the network infrastructure construction has a more significant effect on energy conservation and emission reduction in non-resource-based cities, and there is a certain “resource curse” phenomenon in resource-based cities. Compared with the central and western regions, the impact of network infrastructure on energy conservation and emission reduction is more obvious in the eastern region. The digital divide affects the effect of network infrastructure construction on energy conservation and emission reduction. Network infrastructure construction has a more significant impact on energy conservation and emission reduction in low-carbon cities compared with non-low-carbon cities.
The research of this article has important guiding significance for regions or countries that aim to achieve energy conservation and emission reduction. Firstly, the value of network infrastructure construction lies in that it not only improves people’s living quality and the production efficiency of enterprises, but also plays a significant role in improving energy efficiency and reducing the intensity of carbon emission. Hence, a country’s economic conditions and environmental problems can be improved. Therefore, the government should further increase investment in network infrastructure construction, support enterprises to improve production efficiency through intelligent transformation and develop advanced energy-saving and environmental protection technologies and equipment. Secondly, for those resource-dependent countries or regions, the government should focus on promoting the transformation of the economic growth mode of resource-based cities and promote the low-carbon development of industries with intelligence production. Due to the heterogeneity of the impact of network infrastructure construction on energy conservation and emission reduction, resource-dependent cities promote the transformation of their economic growth mode through the development of information and communication technology, which will further help them to solve environmental problems. Finally, for those underdeveloped countries or regions, strengthening the construction of network infrastructure is an important channel to achieve leapfrog growth.
The research of this paper deeply discusses how the construction of network infrastructure affects energy conservation and emission reduction from both micro and macro mechanisms, providing a new perspective for sustainable development research. However, there is still room for improvement in our research. First of all, the research object of this paper is the city, which means that the analysis of the impact of network construction on energy utilization rate and carbon emission intensity of enterprises needs to be further studied in depth. Secondly, the impact of network infrastructure construction on energy conservation and emission reduction in different industries may be different, which requires further explanation. Our next research will focus on the impact of network infrastructure construction on enterprises and consumers at the micro level.

Author Contributions

Conceptualization, methodology, and writing—original draft preparation, S.L.; writing—review and editing and visualization, Y.Y.; supervision, S.L. All authors have read and agreed to the published version of the manuscript.

Funding

This research was funded by the National Social Science Foundation of China, grant number 21CJY041.

Institutional Review Board Statement

Not applicable.

Informed Consent Statement

Not applicable.

Data Availability Statement

Publicly available datasets were analyzed in this study. The relevant data of energy indicators in this paper comes from the China Energy Statistical Yearbook, and the urban indicator data comes from the China Urban Statistical Yearbook; The number of Internet users is from the CEIC database, available online at https://insights.ceicdata.com/ (accessed on 1 December 2022).

Conflicts of Interest

The authors declare no conflict of interest.

References

  1. Polenske, K.R.; Lin, X. Conserving energy to reduce carbon dioxide emissions in China. Struct. Change Econ. Dyn. 1993, 4, 249–265. [Google Scholar] [CrossRef]
  2. Li, L.; Tan, Z.; Wang, J.; Xu, J.; Cai, C.; Hou, Y. Energy conservation and emission reduction policies for the electric power industry in China. Energy Policy 2011, 39, 3669–3679. [Google Scholar] [CrossRef]
  3. Zhang, Z.; Jin, X.; Yang, Q.; Zhang, Y. An empirical study on the institutional factors of energy conservation and emissions reduction: Evidence from listed companies in China. Energy Policy 2013, 57, 36–42. [Google Scholar] [CrossRef]
  4. Ali, H.S.; Zeqiraj, V.; Lin, W.L.; Law, S.H.; Yusop, Z.; Bare, U.A.A.; Chin, L. Does quality institutions promote environmental quality? Environ. Sci. Pollut. Res. 2019, 26, 10446–10456. [Google Scholar] [CrossRef]
  5. Liu, Q.Z.; Zhang, L.S. Institutional restraint, incentive policy and enterprise environmental information disclosure. Econ. Manag. Res. 2020, 41, 32–48. [Google Scholar]
  6. Xu, Q.; Zhong, M. Shared prosperity, energy-saving, and emission-reduction: Can ICT capital achieve a “win-win-win” situation? J. Environ. Manag. 2022, 319, 115710. [Google Scholar] [CrossRef]
  7. Wu, H.; Xue, Y.; Hao, Y.; Ren, S. How does internet development affect energy-saving and emission reduction? Evidence from China. Energy Econ. 2021, 103, 105577. [Google Scholar] [CrossRef]
  8. Zhang, R.; Fu, W.; Kuang, Y. Can Digital Economy Promote Energy Conservation and Emission Reduction in Heavily Polluting Enterprises? Empirical Evidence from China. Int. J. Environ. Res. Public Health 2022, 19, 9812. [Google Scholar] [CrossRef]
  9. Berkhout, F.; Hertin, J. De-materialising and re-materialising: Digital technologies and the environment. Futures 2004, 36, 903–920. [Google Scholar] [CrossRef]
  10. Moyer, J.D.; Hughes, B.B. ICTs: Do they contribute to increased carbon emissions? Technol. Forecast. Soc. Change 2012, 79, 919–931. [Google Scholar] [CrossRef]
  11. Xu, Q.; Zhong, M.; Li, X. How does digitalization affect energy? International evidence. Energy Econ. 2022, 107, 105879. [Google Scholar] [CrossRef]
  12. Higón, D.A.; Gholami, R.; Shirazi, F. ICT and environmental sustainability: A global perspective. Telemat. Inform. 2017, 34, 85–95. [Google Scholar] [CrossRef]
  13. Chen, P.; Hao, Y. Digital transformation and corporate environmental performance: The moderating role of board characteristics. Corp. Soc. Responsib. Environ. Manag. 2022, 29, 1757–1767. [Google Scholar] [CrossRef]
  14. Sahoo, M.; Gupta, M.; Srivastava, P. Does information and communication technology and financial development lead to environmental sustainability in India? An empirical insight. Telemat. Inform. 2021, 60, 101598. [Google Scholar] [CrossRef]
  15. Zhao, S.; Hafeez, M.; Faisal, C.M.N. Does ICT diffusion lead to energy efficiency and environmental sustainability in emerging Asian economies? Environ. Sci. Pollut. Res. 2022, 29, 12198–12207. [Google Scholar] [CrossRef]
  16. Zhao, S.; Peng, D.; Wen, H.; Wu, Y. Nonlinear and spatial spillover effects of the digital economy on green total factor energy efficiency: Evidence from 281 cities in China. Environ. Sci. Pollut. Res. 2022, 1–21. [Google Scholar] [CrossRef]
  17. Lohrke, F.T.; Franklin GM, C.; Frownfelter-Lohrke, C. The internet as an information conduit: A transaction cost analysis model of US SME internet use. Int. Small Bus. J. 2006, 24, 159–178. [Google Scholar] [CrossRef]
  18. Peltier, S.; Moreau, F. Internet and the ‘Long Tail versus superstar effect’debate: Evidence from the French book market. Appl. Econ. Lett. 2012, 19, 711–715. [Google Scholar] [CrossRef]
  19. Katz, M.L.; Shapiro, C. Systems competition and network effects. J. Econ. Perspect. 1994, 8, 93–115. [Google Scholar] [CrossRef]
  20. Coase, R. The Nature of the Firm. Economica 1937, 4, 386–405. [Google Scholar] [CrossRef]
  21. James, J. Information technology, transactions costs and patterns of globalization in developing countries. Rev. Soc. Econ. 2002, 60, 507–519. [Google Scholar] [CrossRef]
  22. Jorgenson, D.W.; Stiroh, K.J. Information technology and growth. Am. Econ. Rev. 1999, 89, 109–115. [Google Scholar] [CrossRef]
  23. Brown, R.D. Knowledge Is Power: The Diffusion of Information in Early America 1700–1865; Oxford University Press: Oxford, UK, 2020. [Google Scholar]
  24. Lanzisera, S.; Nordman, B.; Brown, R.E. Data network equipment energy use and savings potential in buildings. Energy Effic. 2012, 5, 149–162. [Google Scholar] [CrossRef]
  25. Maroufmashat, A.; Elkamel, A.; Fowler, M.; Sattari, S.; Roshandel, R.; Hajimiragha, A.; Walker, S.; Entchev, E. Modeling and optimization of a network of energy hubs to improve economic and emission considerations. Energy 2015, 93, 2546–2558. [Google Scholar] [CrossRef]
  26. Mooi, E.A.; Frambach, R.T. Encouraging innovation in business relationships—A research note. J. Bus. Res. 2012, 65, 1025–1030. [Google Scholar] [CrossRef]
  27. Kulangara, N.P.; Jackson, S.A.; Prater, E. Examining the impact of socialization and information sharing and the mediating effect of trust on innovation capability. Int. J. Oper. Prod. Manag. 2016, 36, 1601–1624. [Google Scholar] [CrossRef]
  28. Mubarak, M.F.; Tiwari, S.; Petraite, M.; Mubarik, M.; Raja Mohd Rasi, R.Z. How Industry 4.0 technologies and open innovation can improve green innovation performance? Manag. Environ. Qual. 2021, 32, 1007–1022. [Google Scholar] [CrossRef]
  29. Fang, Z.; Razzaq, A.; Mohsin, M.; Irfan, M. Spatial spillovers and threshold effects of internet development and entrepreneurship on green innovation efficiency in China. Technol. Soc. 2022, 68, 101844. [Google Scholar] [CrossRef]
  30. Lahouel, B.B.; Taleb, L.; Zaied, Y.B.; Managi, S. Does ICT change the relationship between total factor productivity and CO2 emissions? Evidence based on a nonlinear model. Energy Econ. 2021, 101, 105406. [Google Scholar] [CrossRef]
  31. Wen, H.; Jiang, M.; Zheng, S. Impact of information and communication technologies on corporate energy intensity: Evidence from cross-country micro data. J. Environ. Plan. Manag. 2022, 1–22. [Google Scholar] [CrossRef]
  32. Lange, S.; Pohl, J.; Santarius, T. Digitalization and energy consumption. Does ICT reduce energy demand? Ecol. Econ. 2020, 176, 106760. [Google Scholar] [CrossRef]
  33. Harrison, J.S.; Hall, E.H., Jr.; Nargundkar, R. Resource allocation as an outcropping of strategic consistency: Performance implications. Acad. Manag. J. 2017, 36, 1026–1051. [Google Scholar] [CrossRef]
  34. Chen, P. Relationship between the digital economy, resource allocation and corporate carbon emission intensity: New evidence from listed Chinese companies. Environ. Res. Commun. 2022, 4, 075005. [Google Scholar] [CrossRef]
  35. Li, F.; Frederick, S.; Gereffi, G. E-commerce and industrial upgrading in the Chinese apparel value chain. J. Contemp. Asia 2019, 49, 24–53. [Google Scholar] [CrossRef]
  36. Andrianaivo, M.; Kpodar, K.R. ICT, Financial Inclusion, and Growth: Evidence from African Countries. IMF Working Papers, 2011. Available online: https://burkina-ntic.net/ressources/assets/docP/Document_N013.pdf (accessed on 1 December 2022).
  37. Pradhan, R.P.; Arvin, M.B.; Norman, N.R. The dynamics of information and communications technologies infrastructure, economic growth, and financial development: Evidence from Asian countries. Technol. Soc. 2015, 42, 135–149. [Google Scholar] [CrossRef]
  38. Sadorsky, P. The impact of financial development on energy consumption in emerging economies. Energy Policy 2010, 38, 2528–2535. [Google Scholar] [CrossRef]
  39. Mills EF, E.A.; Dong, J.; Yiling, L.; Baafi, M.A.; Li, B.; Zeng, K. Towards sustainable competitiveness: How does financial development affect dynamic energy efficiency in Belt & Road economies? Sustain. Prod. Consum. 2021, 27, 587–601. [Google Scholar]
  40. Tamazian, A.; Chousa, J.P.; Vadlamannati, K.C. Does higher economic and financial development lead to environmental degradation: Evidence from BRIC countries. Energy Policy 2009, 37, 246–253. [Google Scholar] [CrossRef]
  41. Claessens, S.; Feijen, E. Financial Sector Development and the Millennium Development Goals; World Bank Publications: Washington, DC, USA, 2007. [Google Scholar]
  42. Acheampong, A.O.; Amponsah, M.; Boateng, E. Does financial development mitigate carbon emissions? Evidence from heterogeneous financial economies. Energy Econ. 2020, 88, 104768. [Google Scholar] [CrossRef]
  43. Zaidi SA, H.; Zafar, M.W.; Shahbaz, M.; Hou, F. Dynamic linkages between globalization, financial development and carbon emissions: Evidence from Asia Pacific Economic Cooperation countries. J. Clean. Prod. 2019, 228, 533–543. [Google Scholar] [CrossRef]
  44. Chen, J.; Gao, M.; Cheng, S.; Hou, W.; Song, M.; Liu, X.; Liu, Y.; Shan, Y. County-level CO2 emissions and sequestration in China during 1997–2017. Sci. Data 2020, 7, 1–12. [Google Scholar] [CrossRef] [PubMed]
  45. Wu, J.; Wu, Y.; Guo, X.; Cheong, T.S. Convergence of carbon dioxide emissions in Chinese cities: A continuous dynamic distribution approach. Energy Policy 2016, 91, 207–219. [Google Scholar] [CrossRef]
  46. Liu, Y.; Tan, X.J.; Yu, Y.; Qi, S.Z. Assessment of impacts of Hubei Pilot emission trading schemes in China–A CGE-analysis using TermCO2 model. Appl. Energy 2017, 189, 762–769. [Google Scholar] [CrossRef]
  47. Blanco, L.; Gonzalez, F.; Ruiz, I. The impact of FDI on CO2 emissions in Latin America. Oxf. Dev. Stud. 2013, 41, 104–121. [Google Scholar] [CrossRef]
  48. Omri, A.; Nguyen, D.K.; Rault, C. Causal interactions between CO2 emissions, FDI, and economic growth: Evidence from dynamic simultaneous-equation models. Econ. Model. 2014, 42, 382–389. [Google Scholar] [CrossRef]
  49. Haug, A.A.; Ucal, M. The role of trade and FDI for CO2 emissions in Turkey: Nonlinear relationships. Energy Econ. 2019, 81, 297–307. [Google Scholar] [CrossRef]
  50. Atkinson, G.; Hamilton, K. Savings, growth and the resource curse hypothesis. World Dev. 2003, 31, 1793–1807. [Google Scholar] [CrossRef]
  51. Ross, M.L. What have we learned about the resource curse? Annu. Rev. Political Sci. 2015, 18, 239–259. [Google Scholar] [CrossRef]
  52. Hawash, R.; Lang, G. Does the digital gap matter? Estimating the impact of ICT on productivity in developing countries. Eurasian Econ. Rev. 2020, 10, 189–209. [Google Scholar] [CrossRef]
  53. Cheng, J.; Yi, J.; Dai, S.; Xiong, Y. Can low-carbon city construction facilitate green growth? Evidence from China’s pilot low-carbon city initiative. J. Clean. Prod. 2019, 231, 1158–1170. [Google Scholar] [CrossRef]
  54. Jiang, B.; He, Z.; Xue, W.; Yang, C.; Zhu, H.; Hua, Y.; Lu, B. China’s low-carbon cities pilot promotes sustainable carbon emission reduction: Evidence from quasi-natural experiments. Sustainability 2022, 14, 8996. [Google Scholar] [CrossRef]
  55. Zou, W.; Pan, M. Does the construction of network infrastructure reduce environmental pollution?—Evidence from a quasi-natural experiment in “Broadband China”. Environ. Sci. Pollut. Res. 2023, 30, 242–258. [Google Scholar] [CrossRef] [PubMed]
  56. Dong, F.; Li, Y.; Qin, C.; Zhang, X.; Chen, Y.; Zhao, X.; Wang, C. Information infrastructure and greenhouse gas emission performance in urban China: A difference-in-differences analysis. J. Environ. Manag. 2022, 316, 115252. [Google Scholar] [CrossRef] [PubMed]
Figure 1. The mechanism of network infrastructure construction affecting energy conservation and emission reduction.
Figure 1. The mechanism of network infrastructure construction affecting energy conservation and emission reduction.
Sustainability 15 03683 g001
Figure 2. Parallel trend test. (a) Energy utilization rate; (b) Carbon emission intensity.
Figure 2. Parallel trend test. (a) Energy utilization rate; (b) Carbon emission intensity.
Sustainability 15 03683 g002
Figure 3. Balance test of propensity score matching.
Figure 3. Balance test of propensity score matching.
Sustainability 15 03683 g003
Table 1. Descriptive statistics of main variables.
Table 1. Descriptive statistics of main variables.
VarnameObsMeanStd. DevMinMedianMax
lnEneEff34572.6820.7330.05002.6574.649
lnCO234573.5350.7731.2603.5116.862
NIC × Post34570.1240.330001
GDPr34570.1080.0390−0.08800.1080.228
lnFDI32646.3931.6690.7556.5529.818
Density34551.3960.7680.02301.2046.234
Struc34570.4790.1040.1470.4790.772
Internet34480.4980.4590.02500.3633.155
SO234575.0564.8680.02503.62933.32
Table 2. Correlation statistics of variables.
Table 2. Correlation statistics of variables.
VarnamelnEneEfflnCO2NIC × PostGDPrlnFDIDensityStrucInternetSO2
lnEneEff1.000
lnCO2−0.7791.000
NIC × Post−0.111−0.0711.000
GDPr0.1040.134−0.3331.000
lnFDI−0.0250.0140.162−0.0411.000
Density0.125−0.078−0.1210.153−0.3881.000
Struc−0.0660.160−0.0900.2300.183−0.1831.000
Internet−0.243−0.0080.398−0.4040.408−0.233−0.0951.000
SO2−0.1050.264−0.1490.2600.097−0.0810.302−0.1401.000
Table 3. Network infrastructure construction and energy conservation and emission reduction benchmark regression.
Table 3. Network infrastructure construction and energy conservation and emission reduction benchmark regression.
(1)(2)(3)(4)(5)(6)
lnEneEfflnEneEfflnEneEfflnEneEfflnCO2lnCO2
NIC × Post0.165 ***0.165 ***0.169 ***0.142 ***−0.082 ***−0.063 ***
(5.92)(5.90)(6.00)(5.16)(−4.07)(−3.18)
GDPr 1.245 ***1.103 ***1.001 *** −1.294 ***
(3.91)(3.42)(3.19) (−5.31)
lnFDI 0.017 *0.016 *0.016 * −0.020 ***
(1.80)(1.70)(1.72) (−2.63)
Density 0.0130.012 0.006
(0.84)(0.77) (0.59)
Struc 0.416 *0.512 ** −0.856 ***
(1.93)(2.36) (-6.36)
Internet 0.146 *** −0.093 ***
(4.16) (−3.90)
SO2 −0.007 * 0.002
(−1.89) (0.61)
_cons2.662 ***2.408 ***2.209 ***2.141 ***3.545 ***4.264 ***
(397.61)(38.15)(17.82)(17.07)(653.62)(50.93)
City fixed effectYesYesYesYesYesYes
Year fixed effectYesYesYesYesYesYes
N345632603259325334563253
Adj. R20.790.800.800.800.870.89
Note: ***, **, * indicate significance at the level of 1%, 5% and 10%, respectively; the coefficient in brackets below is the t-statistic.
Table 4. PSM-DID estimation results.
Table 4. PSM-DID estimation results.
Common Support HypothesisWeight Is Not Null
(1)(2)(3)(4)
lnEneEfflnCO2lnEneEfflnCO2
NIC × Post0.141 ***−0.062 ***0.145 ***−0.083 ***
(5.14)(−3.14)(4.45)(−3.45)
GDPr1.002 ***−1.293 ***0.923 **−1.409 ***
(3.18)(−5.30)(2.40)(−4.45)
lnFDI0.015−0.018 **0.023 *−0.027 ***
(1.56)(−2.33)(1.84)(−2.63)
Density0.0120.0070.0150.024
(0.76)(0.62)(0.70)(1.63)
Struc0.505 **−0.842 ***0.661 **−0.671 ***
(2.32)(−6.25)(2.51)(−3.92)
Internet0.148 ***−0.092 ***0.130 ***−0.101 ***
(4.18)(−3.84)(3.16)(−3.19)
SO2−0.007 *0.002−0.006−0.000
(−1.91)(0.73)(−1.35)(−0.12)
_cons2.154 ***4.241 ***2.005 ***4.244 ***
(16.98)(50.23)(12.64)(39.40)
City fixed effectYesYesYesYes
Year fixed effectYesYesYesYes
N3247324721862186
Adj. R20.800.890.790.88
Note: ***, **, * indicate significance at the level of 1%, 5% and 10%, respectively; the coefficient in brackets below is the t-statistic.
Table 5. Mechanism analysis.
Table 5. Mechanism analysis.
(1)(2)(3)(4)(5)
lnEneEfflnEneEfflnEneEfflnEneEfflnEneEff
NIC × Post × lnGrepat0.049 ***
(2.81)
lnGrepat−0.082 ***
(−4.85)
NIC × Post × lnGreinn 0.058 ***
(3.65)
lnGreinn −0.046 ***
(−3.55)
NIC × Post × GTFP 0.203 ***
(3.41)
NIC × Post × SH 0.082 **
(1.99)
SH 0.053
(1.55)
NIC × Post × Finance 0.248 ***
(7.43)
Finance −0.124 **
(−2.04)
NIC × Post−0.171−0.178 *0.187 ***0.048−0.075 *
(−1.51)(−1.96)(5.71)(0.89)(−1.84)
GDPr0.963 ***0.911 ***0.819 **1.006 ***0.819 ***
(3.09)(2.92)(2.46)(3.11)(2.61)
lnFDI0.0140.0140.019 *0.0140.016 *
(1.53)(1.46)(1.93)(1.50)(1.72)
Density−0.0010.000−0.0020.0160.007
(−0.05)(0.00)(−0.10)(0.86)(0.44)
Struc0.636 ***0.615 ***0.530 **0.439 *0.471 **
(2.95)(2.86)(2.25)(1.94)(2.13)
Internet0.158 ***0.150 ***0.135 ***0.178 ***0.136 ***
(4.48)(4.30)(3.71)(4.42)(3.90)
SO2−0.002−0.002−0.007 *−0.008 **−0.005
(−0.63)(−0.60)(−1.91)(−2.20)(−1.51)
_cons2.464 ***2.280 ***2.174 ***2.142 ***2.257 ***
(17.61)(17.11)(16.47)(16.64)(16.29)
City fixed effectYesYesYesYesYes
Year fixed effectYesYesYesYesYes
N31933193301531243248
Adj. R20.800.800.800.800.81
Note: ***, **, * indicate significance at the level of 1%, 5% and 10%, respectively; the coefficient in brackets below is the t-statistic.
Table 6. Heterogeneity analysis of resource abundance.
Table 6. Heterogeneity analysis of resource abundance.
Resource-Based CitiesNon-Resource-Based Cities
(1)(2)(3)(4)
lnEneEfflnCO2lnEneEfflnCO2
NIC × Post0.0320.125 ***0.192 ***−0.169 ***
(0.65)(3.38)(5.99)(−7.84)
GDPr0.178−0.641 **2.077 ***−1.918 ***
(0.42)(−2.00)(4.72)(−5.23)
lnFDI0.005−0.0060.015−0.022 **
(0.33)(−0.51)(1.19)(−2.30)
Density0.076 **−0.024−0.026 *0.028 **
(2.56)(−1.10)(−1.71)(2.25)
Struc0.934 ***−0.998 ***0.325−0.757 ***
(2.99)(−4.96)(1.19)(−4.40)
Internet0.187 **−0.367 ***0.142 ***−0.035 *
(2.20)(−3.94)(3.52)(−1.75)
SO20.007−0.002−0.017 ***0.003
(1.20)(−0.44)(−4.35)(1.11)
_cons1.804 ***4.513 ***2.280 ***4.121 ***
(9.77)(34.59)(14.38)(38.36)
City fixed effectYesYesYesYes
Year fixed effectYesYesYesYes
N1282128219711971
Adj. R20.810.890.800.89
Note: ***, **, * indicate significance at the level of 1%, 5% and 10%, respectively; the coefficient in brackets below is the t-statistic.
Table 7. Heterogeneity analysis of urban geographical locations.
Table 7. Heterogeneity analysis of urban geographical locations.
Eastern CitiesCentral and Western Cities
(1)(2)(3)(4)
lnEneEfflnCO2lnEneEfflnCO2
NIC × Post0.192 ***−0.118 ***0.107 ***−0.017
(5.24)(−5.02)(2.76)(−0.59)
GDPr0.905 **−0.783 **0.708 *−1.341 ***
(2.22)(−2.50)(1.69)(−3.89)
lnFDI0.041 ***−0.045 ***−0.0050.004
(2.80)(−4.07)(−0.47)(0.47)
Density−0.0080.0170.033−0.019
(−0.47)(1.21)(1.49)(−1.27)
Struc1.449 ***−1.445 ***−0.134−0.324 *
(4.31)(−6.21)(−0.47)(−1.87)
Internet0.147 ***−0.113 ***0.233 ***−0.239 ***
(3.40)(−4.99)(3.41)(−4.32)
SO2−0.016 ***0.008 **−0.001−0.001
(−3.55)(2.39)(−0.18)(−0.40)
_cons1.522 ***4.775 ***2.566 ***3.894 ***
(8.96)(36.87)(15.08)(35.10)
City fixed effectYesYesYesYes
Year fixed effectYesYesYesYes
N1196119620572057
Adj. R20.770.890.820.89
Note: ***, **, * indicate significance at the level of 1%, 5% and 10%, respectively; the coefficient in brackets below is the t-statistic.
Table 8. Regression results of low-carbon city heterogeneity.
Table 8. Regression results of low-carbon city heterogeneity.
Low-Carbon CitiesNon-Low-Carbon Cities
(1)(2)(3)(4)
lnEneEfflnCO2lnEneEfflnCO2
NIC × Post0.155 ***−0.121 ***0.125 ***−0.00466
(3.832)(−4.724)(3.315)(−0.155)
GDPr1.169 ***−1.516 ***0.478−0.688 *
(3.054)(−5.043)(1.039)(−1.860)
lnFDI0.0439 ***−0.0435 ***−0.000559−0.00454
(3.308)(−3.750)(−0.043)(−0.440)
Density0.0545 **−0.0241−0.03150.0376 **
(2.192)(−1.504)(−1.376)(2.432)
Struc0.721 **−1.288 ***0.347−0.555 ***
(2.370)(−5.800)(1.164)(−3.330)
Internet0.218 ***−0.0843 ***−0.0147−0.0787 *
(4.568)(−3.386)(−0.322)(−1.809)
SO2−0.0115 **0.00218−0.002710.00106
(−2.335)(0.664)(−0.540)(0.290)
_cons1.646 ***4.767 ***2.570 ***3.844 ***
(9.947)(39.896)(14.207)(34.873)
City fixed effectYesYesYesYes
Year fixed effectYesYesYesYes
N1338133819151915
Adj. R20.8230.9200.7880.866
Note: ***, **, * indicate significance at the level of 1%, 5% and 10%, respectively; the coefficient in brackets below is the t-statistic.
Disclaimer/Publisher’s Note: The statements, opinions and data contained in all publications are solely those of the individual author(s) and contributor(s) and not of MDPI and/or the editor(s). MDPI and/or the editor(s) disclaim responsibility for any injury to people or property resulting from any ideas, methods, instructions or products referred to in the content.

Share and Cite

MDPI and ACS Style

Luo, S.; Yuan, Y. The Path to Low Carbon: The Impact of Network Infrastructure Construction on Energy Conservation and Emission Reduction. Sustainability 2023, 15, 3683. https://doi.org/10.3390/su15043683

AMA Style

Luo S, Yuan Y. The Path to Low Carbon: The Impact of Network Infrastructure Construction on Energy Conservation and Emission Reduction. Sustainability. 2023; 15(4):3683. https://doi.org/10.3390/su15043683

Chicago/Turabian Style

Luo, Shuangcheng, and Yangli Yuan. 2023. "The Path to Low Carbon: The Impact of Network Infrastructure Construction on Energy Conservation and Emission Reduction" Sustainability 15, no. 4: 3683. https://doi.org/10.3390/su15043683

APA Style

Luo, S., & Yuan, Y. (2023). The Path to Low Carbon: The Impact of Network Infrastructure Construction on Energy Conservation and Emission Reduction. Sustainability, 15(4), 3683. https://doi.org/10.3390/su15043683

Note that from the first issue of 2016, this journal uses article numbers instead of page numbers. See further details here.

Article Metrics

Back to TopTop