Dynamic Mechanical Properties and Failure Characteristics of Sandstone with Pre-Flaws Parallel to the Loading Direction
Abstract
1. Introduction
2. Experimental Methodology
2.1. Rock Specimens
2.2. Testing Apparatus
2.3. Verifying the Stress Equilibrium State
2.4. Determination of Loading Rate
3. Experimental Results and Analysis
3.1. Dynamic Stress–Strain Curves
3.2. Influence of Pre-Flaws on the Dynamic Mechanical Properties
3.2.1. Dynamic Strength
3.2.2. Deformation Characteristic
3.3. Energy Evolution
3.4. Fracture Behaviors
3.4.1. Failure Modes
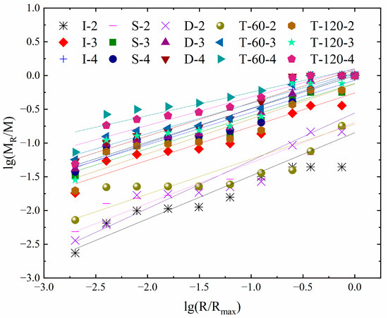
3.4.2. Fractal Dimension
4. Discussion
5. Conclusions
- (1)
- When the dynamic impact propagates along the pre-flaw trend, the dynamic stress–strain curve of pre-flawed red sandstone can be divided into four stages. In addition, the effects of the flaw number on the mechanical properties are greater than the effects of the flaw configuration. Under the same loading rate, the dynamic strength decreases with the increase in flaws. Furthermore, as the loading rate increases, so do the dynamic strength and peak strain. For the same number of flaws, the dynamic strength of triple-flawed specimens with α = 60° is 3.21% lower than that of specimens with α = 120°;
- (2)
- The failure of the pre-flawed specimens mainly absorbs energy from outside. In addition, the energy evolution is affected by the number and configuration of the flaws. The energy absorbed density, energy absorption rate, and energy reflectance rate increase with the flaw number, but the energy transmitted rate decreases with it. The energy absorption capacity of the triple-flawed specimen with α = 60° is higher than that of the specimen with α = 120°. Moreover, as the loading rate increases, the energy absorption capacity increases but the energy transfer capacity decreases;
- (3)
- The number of pre-flaws affects the failure mode of the specimens. As the number of flaws increases from one to three, the failure mode of the rock transforms from tensile to shear-tensile. Flaw configuration has limited effect on failure mode but has a great influence on failure morphology. The failure plane is mainly divided into radial and circumferential, and both are parallel to or intersect with the pre-flaws. Generally speaking, when the loading rate increases, the failure mode transforms from tensile failure to shear failure or mixed failure, regardless of the difference in the number and configuration of flaws;
- (4)
- Both greater dynamic loading rate and more numbers of pre-flaws lead to larger fractal dimensions, but flaw configuration has only a minor effect on fractal dimension. With the increase in loading rate, the fractal dimension of different pre-flawed specimens gradually increases from 2.29 to 2.66. Overall, the largest fractal dimension is the triple-flawed specimen, and the pre-flaws of specimens can obviously improve the rock fragmentation efficiency.
Author Contributions
Funding
Institutional Review Board Statement
Informed Consent Statement
Data Availability Statement
Conflicts of Interest
References
- Wei, M.; Dai, F.; Liu, Y. Influences of Loading Method and Notch Type on Rock Fracture Toughness Measurements: From the Perspectives of T-Stress and Fracture Process Zone. Rock Mech. Rock Eng. 2021, 54, 4965–4986. [Google Scholar] [CrossRef]
- Song, Y.; Ma, H.; Yang, J. Dynamic Mechanical Behaviors and Failure Mechanism of Lignite under SHPB Compression Test. Sustainability 2022, 14, 10528. [Google Scholar] [CrossRef]
- Liu, C.Y.; Yang, J.X.; Yu, B. Rock-breaking mechanism and experimental analysis of confined blasting of borehole surrounding rock. Int. J. Min. Sci. Techno. 2017, 27, 795–801. [Google Scholar] [CrossRef]
- Chen, G.Q.; Li, T.B.; Zhang, G.F. Temperature effect of rock burst for hard rock in deep-buried tunnel. Nat. Hazards 2014, 72, 915–926. [Google Scholar] [CrossRef]
- Chen, G.Q.; Tang, P.; Huang, R.Q. Critical tension crack depth in rockslides that conform to the three-section mechanism. Landslides 2021, 18, 79–88. [Google Scholar] [CrossRef]
- Khoshouei, M.; Bagherpour, R.; Jalalian, M.H. Investigating the acoustic signs of different rock types based on the values of acoustic signal RMS. Rud.-Geološkonaftni Zb. 2020, 35, 29–38. [Google Scholar] [CrossRef]
- Yari, M.; Bagherpour, R.; Khoshouei, M. Developing a novel model for predicting geomechanical features of carbonate rocks based on acoustic frequency processing during drilling. Bull. Eng. Geol. Environ. 2019, 78, 1747–1759. [Google Scholar] [CrossRef]
- Khoshouei, M.; Bagherpour, R. Application of Acoustic Emission (AE) in mining and earth sciences: A review. Rud.-Geološkonaftni Zb. 2019, 34, 19–31. [Google Scholar] [CrossRef]
- Cheon, D.S.; Jeon, S.; Park, C. An experimental study on the brittle failure under true triaxial conditions. Tunn. Undergr. Space Technol. 2006, 21, 448–449. [Google Scholar] [CrossRef]
- Han, Z.Y.; Xie, S.J.; Li, D.Y. Dynamic mechanical behavior of rocks containing double elliptical inclusions at various inclination angles. Theor. Appl. Frac. Mec. 2022, 121, 103544. [Google Scholar] [CrossRef]
- Liu, X.H.; Dai, F.; Zhang, R. Static and dynamic uniaxial compression tests on coal rock considering the bedding directivity. Environ. Earth Sci. 2015, 73, 5933–5949. [Google Scholar] [CrossRef]
- Zarastvand, M.R.; Asadijafari, M.H.; Talebitooti, R. Acoustic wave transmission characteristics of stiffened composite shell systems with double curvature. Compos. Struct. 2022, 292, 115688. [Google Scholar] [CrossRef]
- Hasan, S.; Mohamadreza, Z.; Roohollah, T. Acoustic insulation characteristics of sandwich composite shell systems with double curvature: The effect of nature of viscoelastic core. J. Vib. Control 2022, 1–15. [Google Scholar] [CrossRef]
- Liu, Y.; Dai, F. A review of experimental and theoretical research on the deformation and failure behavior of rocks subjected to cyclic loading. J. Rock Mech. Geotech. Eng. 2021, 13, 1203–1230. [Google Scholar] [CrossRef]
- Li, D.Y.; Han, Z.Y.; Sun, X.L. Dynamic Mechanical Properties and Fracturing Behavior of Marble Specimens Containing Single and Double Flaws in SHPB Tests. Rock Mech. Rock Eng. 2019, 52, 1623–1643. [Google Scholar] [CrossRef]
- Wong, R.H.C.; Chau, K.T. Crack coalescence in a rock-like material containing two cracks. Int. J. Rock Mech. Min. Sci. 1998, 35, 147–164. [Google Scholar] [CrossRef]
- Zou, C.J.; Wong, L.N.Y.; Loo, J.J. Different mechanical and cracking behaviors of single-flawed brittle gypsum specimens under dynamic and quasi-static loadings. Eng. Geol. 2016, 201, 71–84. [Google Scholar] [CrossRef]
- Li, Y.; Cai, W.B.; Li, X.J. Experimental and DEM Analysis on Secondary Crack Types of Rock-Like Material Containing Multiple Flaws under Uniaxial Compression. Appl. Sci. 2019, 9, 1749. [Google Scholar] [CrossRef]
- Peng, F.; Dai, F.; Liu, Y. Effects of strain rate on the mechanical and fracturing behaviors of rock-like specimens containing two unparallel fissures under uniaxial compression. Soil Dyn. Earthq. Eng. 2018, 110, 195–211. [Google Scholar] [CrossRef]
- Cai, W.B.; Li, Y.; Wang, K. Crack propagation mechanism of rock-like specimens containing non-parallel flaws subjected to internal hydraulic pressure and shear loading. Theor. Appl. Frac. Mec. 2022, 119, 103350. [Google Scholar] [CrossRef]
- Zhou, X.P.; Gu, S.Y. Dynamic mechanical properties and cracking behaviours of persistent fractured granite under impact loading with various loading rates. Theor. Appl. Frac. Mec. 2022, 118, 103281. [Google Scholar] [CrossRef]
- Cai, X.; Zhou, Z.L.; Zang, H.Z. Water saturation effects on dynamic behavior and microstructure damage of sandstone: Phenomena and mechanisms. Eng. Geol. 2020, 276, 105760. [Google Scholar] [CrossRef]
- Zhou, Z.L.; Cai, X.; Zhao, Y. Strength characteristics of dry and saturated rock at different strain rates. Trans. Nonferrous Met. Soc. China 2016, 26, 1919–1925. [Google Scholar] [CrossRef]
- Zhang, X.H.; Chiu, Y.W.; Hao, H. Dynamic compressive properties of Kalgoorlie basalt rock. Int. J. Rock Mech. Min. Sci. 2020, 135, 104512. [Google Scholar] [CrossRef]
- Xia, K.W.; Yao, W. Dynamic rock tests using split Hopkinson (Kolsky) bar system-A review. J. Rock Mech. Geotech. Eng. 2015, 7, 27–59. [Google Scholar] [CrossRef]
- Dai, F.; Sheng, H.; Xia, K. Some Fundamental Issues in Dynamic Compression and Tension Tests of Rocks Using Split Hopkinson Pressure Bar. Rock Mech. Rock Eng. 2010, 43, 657–666. [Google Scholar] [CrossRef]
- Shu, P.Y.; Li, H.H.; Wang, T.T. Dynamic strength of rock with single planar joint under various loading rates at various angles of loads applied. J. Rock Mech. Geotech. Eng. 2018, 10, 545–554. [Google Scholar] [CrossRef]
- Peng, F.; Dai, F.; Shuai, K.W. Dynamic mechanical behaviors of pre-fractured sandstone with noncoplanar and unparallel flaws. Mech. Mater. 2022, 166, 104219. [Google Scholar] [CrossRef]
- Deng, Y.; Chen, M.; Jin, Y. Theoretical analysis and experimental research on the energy dissipation of rock crushing based on fractal theory. J. Nat. Gas Sci. Eng. 2016, 33, 231–239. [Google Scholar] [CrossRef]
- Wang, Y.Y.; Deng, H.C.; Deng, Y. Study on crack dynamic evolution and damage-fracture mechanism of rock with pre-existing cracks based on acoustic emission location. J. Petrol Sci. Eng. 2021, 201, 108420. [Google Scholar] [CrossRef]
- Lockner, D. The role of acoustic emission in the study of rock fracture. Int. J. Rock Mech. Min. Sci. Geomech. Abstr. 1993, 30, 883–899. [Google Scholar] [CrossRef]
- Nemat-Nasser, S.; Horii, H. Compression-Induced Nonplanar Crack Extension with Application to Splitting, Exfoliation, and Rockburst. Int. J. Rock Mech. Min. Sci. Geomech. Abstr. 1982, 87, 6805–6821. [Google Scholar] [CrossRef]
- Li, Y.P.; Wang, Y.H.; Chen, L.Z. Experimental research on pre-cracked marble under compression. Int. J. Solid Struct. 2005, 42, 2505–2516. [Google Scholar] [CrossRef]
- Cao, R.H.; Cao, P.; Lin, H. Mechanical Behavior of Brittle Rock-Like Specimens with Pre-existing Fissures Under Uniaxial Loading: Experimental Studies and Particle Mechanics Approach. Rock Mech. Rock Eng. 2016, 49, 763–783. [Google Scholar] [CrossRef]
- Zou, C.J.; Wong, L.N.Y. Experimental studies on cracking processes and failure in marble under dynamic loading. Eng. Geol. 2014, 173, 19–31. [Google Scholar] [CrossRef]
- Yan, Z.L.; Dai, F.; Liu, Y. Experimental investigations of the dynamic mechanical properties and fracturing behavior of cracked rocks under dynamic loading. Bull. Eng. Geol. Environ. 2020, 79, 5535–5552. [Google Scholar] [CrossRef]
- Chen, G.Q.; Li, H.; Wei, T. Searching for multistage sliding surfaces based on the discontinuous dynamic strength reduction method. Eng. Geol. 2021, 286, 106086. [Google Scholar] [CrossRef]
- Wu, H.; Zhao, G.Y.; Zhang, W.Z. Dynamic mechanical characteristics and failure modes of sandstone with artificial surface cracks. J. Cent. South Univ. 2019, 50, 350–359. [Google Scholar]
- Zhou, Y.X.; Xia, K.; Li, X.B. Suggested methods for determining the dynamic strength parameters and mode-I fracture toughness of rock materials. Int. J. Rock Mech. Min. Sci. 2011, 49, 105–112. [Google Scholar] [CrossRef]
- Li, X.B.; Lok, T.S.; Zhao, J. Dynamic Characteristics of Granite Subjected to Intermediate Loading Rate. Rock Mech. Rock Eng. 2005, 38, 21–39. [Google Scholar] [CrossRef]
- Li, D.Y.; Cheng, T.J.; Zhou, T. Experimental study of the dynamic strength and fracturing characteristics of marble specimens with a single hole under impact loading. Chin. J. Rock Mech. Eng. 2015, 34, 249–260. [Google Scholar] [CrossRef]
- Yao, W.; Xu, Y.; Wang, W. Dependence of Dynamic Tensile Strength of Longyou Sandstone on Heat-Treatment Temperature and Loading Rate. Rock Mech. Rock Eng. 2016, 49, 3899–3915. [Google Scholar] [CrossRef]
- Zhou, Z.L.; Cai, X.; Zhou, J. Mechanical properties of saturated sandstone under different loading rates. Chin. J. Rock Mech. Eng. 2018, 37, 4069–4075. [Google Scholar] [CrossRef]
- Zhou, Z.L.; Cai, X.; Ma, D. Water saturation effects on dynamic fracture behavior of sandstone. Int. J. Rock Mech. Min. Sci. 2019, 114, 46–61. [Google Scholar] [CrossRef]
- Lundberg, B. A split Hopkinson bar study of energy absorption in dynamic rock fragmentation. Int. J. Rock Mech. Min. Sci. Geomech. Abstr. 1976, 13, 187–197. [Google Scholar] [CrossRef]
- Yu, Y.Q.; Zhang, W.L.; Fan, L.D. Strain rate effect and energy dissipation characteristics of sandstone in coal measures under impact loading. J. China Coal Soc. 2021, 46, 2281–2293. [Google Scholar] [CrossRef]















| Properties | |
|---|---|
| Mean Density, g/cm3 | 2.24 |
| Uniaxial compressive strength, MPa | 43.69 |
| Young’s modulus, GPa | 11.21 |
| P-wave velocity, m/s | 2393.66 |
| Poisson’s ratio | 0.22 |
| Gas Pressure/ MPa | Specimen No. | (GPa·s−1) | Average Loading Rate/ (GPa·s−1) |
|---|---|---|---|
| 0.40 | I-1 | 889.93 | 807.41 ± 82.41 |
| S-1 | 873.55 | ||
| D-1 | 803.46 | ||
| T-60-1 | 724.88 | ||
| T-120-1 | 740.80 | ||
| 0.45 | I-2 | 978.95 | 864.46 ± 114.49 |
| S-2 | 970.80 | ||
| D-2 | 856.95 | ||
| T-60-2 | 749.97 | ||
| T-120-2 | 760.89 | ||
| 0.50 | I-3 | 1300.22 | 1054.41 ± 245.82 |
| S-3 | 1219.78 | ||
| D-3 | 1157.44 | ||
| T-60-3 | 808.59 | ||
| T-120-3 | 960.16 | ||
| 0.55 | I-4 | 1437.58 | 1283.85 ± 153.74 |
| S-4 | 1211.02 | ||
| D-4 | 1243.42 | ||
| T-60-4 | 1130.11 | ||
| T-120-4 | 1182.81 |
| Loading Rate (GPa·s−1) | Specimen No. | L/ mm | H/ mm | Flaw Angle/ ° | Strength/ MPa | Peak Strain/ % |
|---|---|---|---|---|---|---|
| 807.41 ± 82.41 | I-1 | 49.99 | 50.01 | - | 69.92 | 0.79 |
| S-1 | 50.01 | 49.98 | - | 68.31 | 0.80 | |
| D-1 | 50.01 | 50.00 | 0 | 62.39 | 0.79 | |
| T-60-1 | 50.00 | 50.02 | 60 | 58.54 | 0.81 | |
| T-120-1 | 49.99 | 50.00 | 120 | 58.94 | 0.83 | |
| 864.46 ± 114.49 | I-2 | 50.00 | 50.02 | - | 76.07 | 0.83 |
| S-2 | 49.99 | 49.98 | - | 73.35 | 0.84 | |
| D-2 | 50.01 | 49.98 | 0 | 68.02 | 0.91 | |
| T-60-2 | 49.99 | 50.01 | 60 | 58.63 | 0.98 | |
| T-120-2 | 49.99 | 50.00 | 120 | 59.61 | 0.93 | |
| 1054.41 ± 245.82 | I-3 | 49.99 | 49.99 | - | 95.75 | 1.13 |
| S-3 | 49.98 | 50.01 | - | 86.57 | 1.19 | |
| D-3 | 50.01 | 50.01 | 0 | 79.37 | 1.15 | |
| T-60-3 | 49.98 | 50.00 | 60 | 63.91 | 1.18 | |
| T-120-3 | 49.99 | 49.98 | 120 | 69.46 | 1.17 | |
| 1283.85 ± 153.74 | I-4 | 49.99 | 50.02 | - | 108.53 | 1.21 |
| S-4 | 49.99 | 49.98 | - | 86.23 | 1.24 | |
| D-4 | 50.00 | 49.98 | 0 | 85.90 | 1.23 | |
| T-60-4 | 49.98 | 50.01 | 60 | 73.90 | 1.23 | |
| T-120-4 | 49.99 | 50.00 | 120 | 75.81 | 1.22 |
| Loading Rate/(GPa·s−1) | Specimen No. | WI/J | WR/J | WT/J | WA/J | WV% | A/% | R% | T% |
|---|---|---|---|---|---|---|---|---|---|
| 807.41 ± 82.41 | I-1 | 69.49 | 27.90 | 24.51 | 17.08 | 17.41 | 24.58 | 40.15 | 35.26 |
| S-1 | 71.31 | 29.14 | 21.28 | 20.89 | 21.28 | 29.29 | 40.87 | 29.84 | |
| D-1 | 69.27 | 29.51 | 18.54 | 21.22 | 21.63 | 30.64 | 42.60 | 26.76 | |
| T-60-1 | 72.00 | 33.20 | 12.44 | 26.40 | 26.90 | 36.66 | 46.11 | 17.23 | |
| T-120-1 | 70.96 | 31.96 | 16.36 | 22.64 | 23.07 | 31.90 | 45.05 | 23.05 | |
| 864.46 ± 114.49 | I-2 | 92.80 | 39.88 | 26.78 | 26.14 | 26.63 | 28.17 | 42.97 | 28.86 |
| S-2 | 92.75 | 39.93 | 22.98 | 29.84 | 30.41 | 32.17 | 43.05 | 24.78 | |
| D-2 | 93.85 | 41.77 | 20.05 | 32.04 | 32.65 | 34.14 | 44.50 | 21.36 | |
| T-60-2 | 95.64 | 44.36 | 15.93 | 35.35 | 36.02 | 36.96 | 46.38 | 16.66 | |
| T-120-2 | 96.67 | 45.48 | 15.86 | 35.34 | 36.01 | 36.55 | 47.05 | 16.40 | |
| 1054.41 ± 245.82 | I-3 | 150.64 | 66.31 | 31.50 | 52.83 | 53.84 | 35.07 | 44.02 | 20.91 |
| S-3 | 152.66 | 68.53 | 29.51 | 54.63 | 55.70 | 35.78 | 44.89 | 19.33 | |
| D-3 | 151.08 | 70.12 | 25.94 | 55.01 | 56.06 | 36.41 | 46.41 | 17.17 | |
| T-60-3 | 156.46 | 77.05 | 13.69 | 65.73 | 66.98 | 42.08 | 49.24 | 8.75 | |
| T-120-3 | 150.50 | 72.05 | 18.66 | 59.79 | 60.93 | 39.73 | 47.87 | 12.40 | |
| 1283.85 ± 153.74 | I-4 | 214.25 | 95.48 | 40.96 | 77.81 | 79.30 | 36.32 | 44.56 | 19.12 |
| S-4 | 209.50 | 95.60 | 35.56 | 78.35 | 79.84 | 37.40 | 45.63 | 16.79 | |
| D-4 | 200.78 | 94.50 | 29.69 | 76.59 | 78.05 | 38.15 | 47.06 | 14.79 | |
| T-60-4 | 210.79 | 104.94 | 16.22 | 89.63 | 91.34 | 42.52 | 49.78 | 7.70 | |
| T-120-4 | 207.83 | 101.17 | 21.69 | 84.97 | 86.60 | 40.89 | 48.68 | 10.43 |
| Specimen No. | Final Images of Rock Specimen | Typical Face Sketch | Failure Patterns | Specimen No. | Final Images of Rock Specimen | Typical Face Sketch | Failure Patterns |
|---|---|---|---|---|---|---|---|
| I-2 | ![]() | ![]() | Tensile failure | I-4 | ![]() | ![]() | Shear failure |
| S-2 | ![]() | ![]() | Tensile failure | S-4 | ![]() | ![]() | Shear-tensile failure |
| D-2 | ![]() | ![]() | Shear failure | D-3 | ![]() | ![]() | Shear-tensile failure |
| T-60-1 | ![]() | ![]() | Tensile failure | T-60-2 | ![]() | ![]() | Shear-tensile failure |
| T-120-2 | ![]() | ![]() | Shear-tensile failure | T-120-3 | ![]() | ![]() | Shear-tensile failure |
represents the failure zone).Disclaimer/Publisher’s Note: The statements, opinions and data contained in all publications are solely those of the individual author(s) and contributor(s) and not of MDPI and/or the editor(s). MDPI and/or the editor(s) disclaim responsibility for any injury to people or property resulting from any ideas, methods, instructions or products referred to in the content. |
© 2023 by the authors. Licensee MDPI, Basel, Switzerland. This article is an open access article distributed under the terms and conditions of the Creative Commons Attribution (CC BY) license (https://creativecommons.org/licenses/by/4.0/).
Share and Cite
Li, Z.; Zhu, Y.; Song, Q.; Wang, P.; Liu, D. Dynamic Mechanical Properties and Failure Characteristics of Sandstone with Pre-Flaws Parallel to the Loading Direction. Sustainability 2023, 15, 3587. https://doi.org/10.3390/su15043587
Li Z, Zhu Y, Song Q, Wang P, Liu D. Dynamic Mechanical Properties and Failure Characteristics of Sandstone with Pre-Flaws Parallel to the Loading Direction. Sustainability. 2023; 15(4):3587. https://doi.org/10.3390/su15043587
Chicago/Turabian StyleLi, Ziyun, Yunhui Zhu, Qianghui Song, Peiyong Wang, and Dongyan Liu. 2023. "Dynamic Mechanical Properties and Failure Characteristics of Sandstone with Pre-Flaws Parallel to the Loading Direction" Sustainability 15, no. 4: 3587. https://doi.org/10.3390/su15043587
APA StyleLi, Z., Zhu, Y., Song, Q., Wang, P., & Liu, D. (2023). Dynamic Mechanical Properties and Failure Characteristics of Sandstone with Pre-Flaws Parallel to the Loading Direction. Sustainability, 15(4), 3587. https://doi.org/10.3390/su15043587





















