Stochastic Spatial Binary Simulation with Multivariate Normal Distribution for Illustrating Future Evolution of Umbrella-Shape Summer Shelter under Climate Change
Abstract
:1. Introduction
2. Mathematical Background
2.1. Spatial Autocorrelation for Lattice Data
2.2. Multivariate Normal Distribution for Spatial Data
3. Proposed Methodology
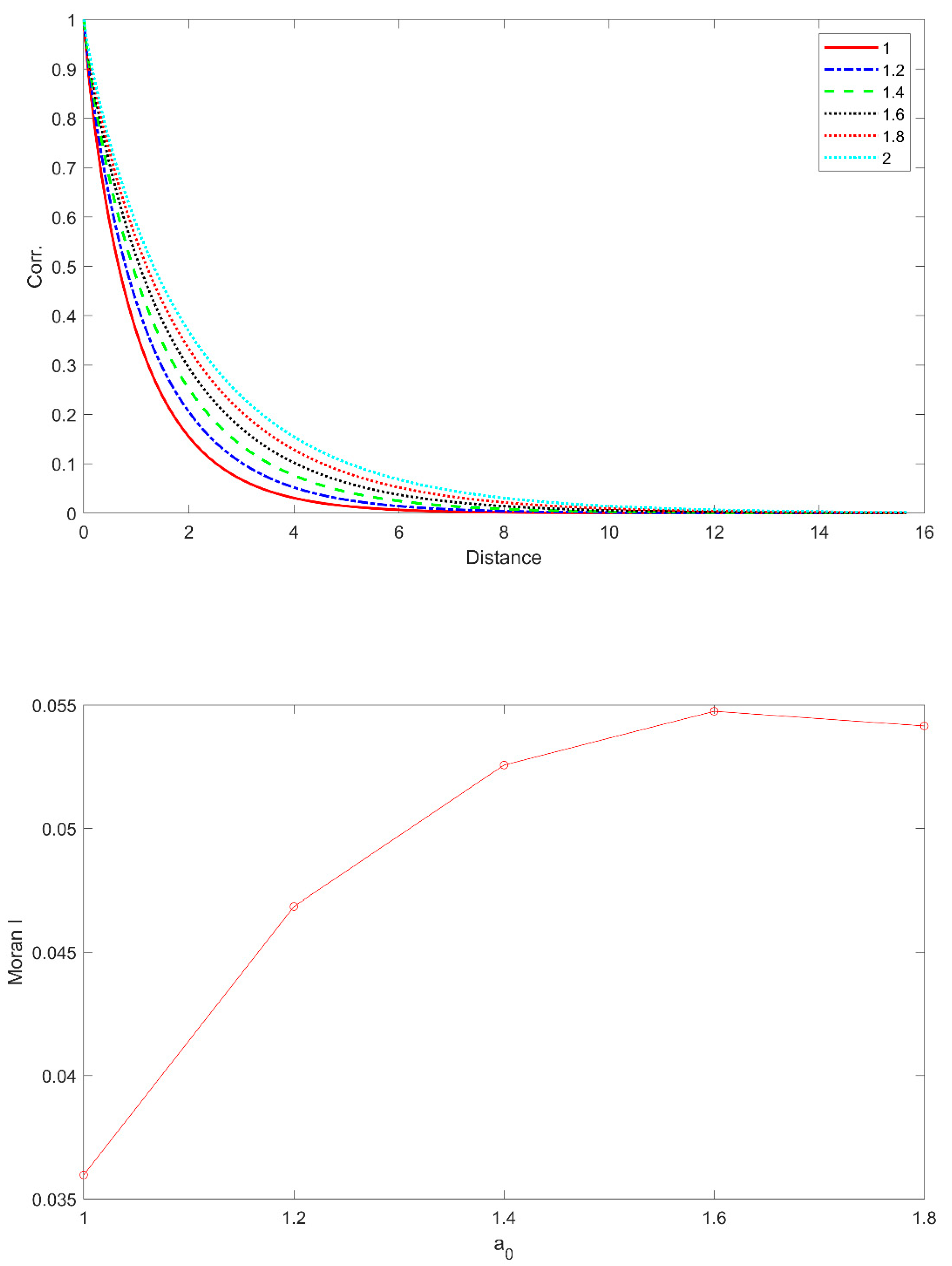
3.1. Simulation-Based Derivation Procedure of the Empirical Function
- (1)
- Set the hyperparameters of the covariogram (i.e., a) for the MVN (see Equation (14)).
- (2)
- Simulate Xs~MVNn(0, Σ) with the hyperparameter set from step (1).
- (3)
- Transform Xs to binary process Zs
- (1)
- Estimate the spatial autocorrelation MoI (I) with different P1 from the transformed binary data Zs. Note that P1 indicates the overall probability that .
- (2)
- Derive an empirical function with the relationship between the spatial autocorrelation (i.e., MoI) and the covariance matrix Σ represented with the hyperparameter set. Furthermore, the impact of the occurrence probability P1 on the spatial autocorrelation must be tested.
3.2. Stochastic Simulation of Spatial Binary Data
- (1)
- Collect the observed spatial binary data denoted as zi, i = 1,..., n.
- (2)
- Estimate the occurrence probability and spatial autocorrelation () with the observed data from step (1).
- (3)
- Simulate multivariate normal variables as X~MVN(0, Σ) with the hyperparameter set corresponding to the estimated spatial autocorrelation with the observed data (i.e., ) using the derived empirical function.
- (4)
- Transform the simulated multivariate normal variables X to the spatial binary variables Z with the estimated occurrence probability in step (1).
4. Simulation Results
4.1. Simulation Methodology
4.2. Simulation Results
5. Case Study
5.1. Study Area and Data Description
5.2. Applied Methodology
5.3. Statistical Downscaling Results
5.4. Stochastic Simulation of Umbrella-Shape Summer Shelter (USS)
6. Summary and Conclusions
Author Contributions
Funding
Informed Consent Statement
Data Availability Statement
Conflicts of Interest
References
- Son, C.; Lee, T.; Kim, M.; Lee, S.; Yoon, S. Climate Change Adaptation to Extreme Rainfall Events on a Local Scale in Namyangju, South Korea. J. Hydrol. Eng. 2020, 25, 05020005. [Google Scholar]
- Díaz, J.; Linares, C.; Tobías, A. Impact of extreme temperatures on daily mortality in Madrid (Spain) among the 45–64 age-group. Int. J. Biometeorol. 2006, 50, 342–348. [Google Scholar] [PubMed]
- Laaidi, M.; Laaidi, K.; Besancenot, J.P. Temperature-related mortality in France, a comparison between regions with different climates from the perspective of global warming. Int. J. Biometeorol. 2006, 51, 145–153. [Google Scholar]
- Takahashi, K.; Honda, Y.; Emori, S. Assessing mortality risk from heat stress due to global warming. J. Risk Res. 2007, 10, 339–354. [Google Scholar]
- Kyselý, J.; Kim, J. Mortality during heat waves in South Korea, 1991 to 2005: How exceptional was the 1994 heat wave? Clim. Res. 2009, 38, 105–116. [Google Scholar]
- Kim, D.-W.; Deo, R.C.; Chung, J.-H.; Lee, J.-S. Projection of heat wave mortality related to climate change in Korea. Nat. Hazards 2016, 80, 623–637. [Google Scholar]
- Kosatsky, T.; Dufresne, J.; Richard, L.; Renouf, A.; Giannetti, N.; Bourbeau, J.; Julien, M.; Braidy, T.; Sauve, C. Heat awareness and response among Montrealc residents with chronic cardiac and pulmonary disease. Can. J. Public Health 2009, 100, 237–240. [Google Scholar] [CrossRef]
- Joon, V.; Jaiswal, V. Impact of climate change on human health in India: An overview. Health Popul. Perspect. Issues 2012, 35, 11–22. [Google Scholar]
- Malek, Ž.; Verburg, P.H. Representing responses to climate change in spatial land system models. Land Degrad. Dev. 2021, 32, 4954–4973. [Google Scholar] [CrossRef]
- Bhattacharya, S. A simulation approach to Bayesian emulation of complex dynamic computer models. Bayesian Anal. 2007, 2, 783–816. [Google Scholar] [CrossRef]
- Dunn, S.M.; Johnston, L.; Taylor, C.; Watson, H.; Cook, Y.; Langan, S.J. Capability and limitations of a simple grid-based model for simulating land use influences on stream nitrate concentrations. J. Hydrol. 2013, 507, 110–123. [Google Scholar]
- Wang, D.; Wu, J.; Huang, M.; Li, L.Z.X.; Wang, D.; Lin, T.; Dong, L.; Li, Q.; Yang, L.; Zeng, Z. The Critical Effect of Subgrid-Scale Scheme on Simulating the Climate Impacts of Deforestation. J. Geophys. Res. Atmos. 2021, 126, e2021JD035133. [Google Scholar]
- Lee, T.S. Stochastic Simulation of Hydrologic Data Based on Nonparametric Approaches. Ph.D. Dissertation, Colorado State University, Fort Collins, CO, USA, 2008. [Google Scholar]
- Lee, T. Multisite stochastic simulation of daily precipitation from copula modeling with a gamma marginal distribution. Theor. Appl. Climatol. 2018, 132, 1089–1098. [Google Scholar]
- Lee, T.; Ouarda, T.B.M.J. Multivariate Nonstationary Oscillation Simulation of Climate Indices with Empirical Mode Decomposition. Water Resour. Res. 2019, 55, 5033–5052. [Google Scholar]
- Lee, T.; Ouarda, T.B.M.J. Conditional stochastic simulation model for spatial downscaling for assessing the effects of climate change on hydro-meteorological variables. Clim. Chang. 2018, 150, 163–180. [Google Scholar] [CrossRef]
- Delbari, M.; Loiskandl, W.; Afrasiab, P. Uncertainty assessment of soil organic carbon content spatial distribution using geostatistical stochastic simulation. Aust. J. Soil Res. 2010, 48, 27–35. [Google Scholar]
- Cressie, N.A.C. Statistics for Spatial Data; John Wiley & Sons, Inc.: New York, NY, USA, 1993; p. 900. [Google Scholar]
- Tusa, B.S.; Weldesenbet, A.B.; Kebede, S.A. Spatial distribution and associated factors of underweight in Ethiopia: An analysis of Ethiopian demographic and health survey, 2016. PLoS ONE 2020, 15, e0242744. [Google Scholar] [CrossRef]
- Wang, R.; Yan, F.; Wang, Y. Vegetation growth status and topographic effects in the pisha sandstone area of China. Remote Sens. 2020, 12, 2759. [Google Scholar]
- Khan, J.; Shil, A.; Mohanty, S.K. Hepatitis B vaccination coverage across India: Exploring the spatial heterogeneity and contextual determinants. BMC Public Health 2019, 19, 1263. [Google Scholar] [CrossRef]
- Johnson, R.A.; Wichern, D.W. Applied Multivariate Statistical Analysis; Prentice Hall: Upper Saddle River, NJ, USA, 2001; p. 767. [Google Scholar]
- Zimmerman, D.L. Spatial Design, Optimal; John Wiley & Sons, Ltd.: New York, NY, USA, 2014. [Google Scholar]
- Kim, W.Y.; Kim, M.K.K. The Effects of Public Sector Relocation on Population and Employment: The Case of Jinju City. J. Korean Assoc. Reg. Geogr. 2021, 27, 144–163. [Google Scholar]
- Yoon, D.; Cha, D.-H.; Lee, M.-I.; Min, K.-H.; Kim, J.; Jun, S.-Y.; Choi, Y. Recent changes in heatwave characteristics over Korea. Clim. Dyn. 2020, 55, 1685–1696. [Google Scholar]
- John, J.G.; Blanton, C.; McHugh, C.; Radhakrishnan, A.; Rand, K.; Vahlenkamp, H.; Wilson, C.; Zadeh, N.T.; Dunne, J.P.; Dussin, R.; et al. NOAA-GFDL GFDL-ESM4 model output prepared for CMIP6 ScenarioMIP. In Earth System Grid Federation; Pearson Education Limited: London, UK, 2018. [Google Scholar]
- Yukimoto, S.; Koshiro, T.; Kawai, H.; Oshima, N.; Yoshida, K.; Urakawa, S.; Tsujino, H.; Deushi, M.; Tanaka, T.; Hosaka, M.; et al. MRI MRI-ESM2.0 model output prepared for CMIP6 ScenarioMIP. In Earth System Grid Federation; Pearson Education Limited: London, UK, 2019. [Google Scholar]
- Voldoire, A. CNRM-CERFACS CNRM-CM6-1 model output prepared for CMIP6 ScenarioMIP. In Earth System Grid Federation; Pearson Education Limited: London, UK, 2019. [Google Scholar]
- Seferian, R. CNRM-CERFACS CNRM-ESM2-1 model output prepared for CMIP6 ScenarioMIP. In Earth System Grid Federation; Pearson Education Limited: London, UK, 2019. [Google Scholar]
- Boucher, O.; Denvil, S.; Levavasseur, G.; Cozic, A.; Caubel, A.; Foujols, M.-A.; Meurdesoif, Y.; Cadule, P.; Devilliers, M.; Dupont, E.; et al. IPSL IPSL-CM6A-LR model output prepared for CMIP6 ScenarioMIP. In Earth System Grid Federation; Pearson Education Limited: London, UK, 2019. [Google Scholar]
- Gutjahr, O.; Putrasahan, D.; Lohmann, K.; Jungclaus, J.H.; Von Storch, J.S.; Brüggemann, N.; Haak, H.; Stössel, A. Max Planck Institute Earth System Model (MPI-ESM1.2) for the High-Resolution Model Intercomparison Project (HighResMIP). Geosci. Model Dev. 2019, 12, 3241–3281. [Google Scholar]
- Wieners, K.-H.; Giorgetta, M.; Jungclaus, J.; Reick, C.; Esch, M.; Bittner, M.; Gayler, V.; Haak, H.; de Vrese, P.; Raddatz, T.; et al. MPI-M MPIESM1.2-LR model output prepared for CMIP6 ScenarioMIP. In Earth System Grid Federation; Pearson Education Limited: London, UK, 2019. [Google Scholar]
- Good, P.; Sellar, A.; Tang, Y.; Rumbold, S.; Ellis, R.; Kelley, D.; Kuhlbrodt, T.; Walton, J. MOHC UKESM1.0-LL model output prepared for CMIP6 ScenarioMIP. In Earth System Grid Federation; Pearson Education Limited: London, UK, 2019. [Google Scholar]
- Dix, M.; Bi, D.; Dobrohotoff, P.; Fiedler, R.; Harman, I.; Law, R.; Mackallah, C.; Marsland, S.; O’Farrell, S.; Rashid, H.; et al. CSIRO-ARCCSS ACCESS-CM2 model output prepared for CMIP6 ScenarioMIP. In Earth System Grid Federation; Pearson Education Limited: London, UK, 2019. [Google Scholar]
- Ziehn, T.; Chamberlain, M.; Lenton, A.; Law, R.; Bodman, R.; Dix, M.; Wang, Y.; Dobrohotoff, P.; Srbinovsky, J.; Stevens, L.; et al. CSIRO ACCESS-ESM1.5 model output prepared for CMIP6 ScenarioMIP. In Earth System Grid Federation; Pearson Education Limited: London, UK, 2019. [Google Scholar]
- Swart, N.C.; Cole, J.N.S.; Kharin, V.V.; Lazare, M.; Scinocca, J.F.; Gillett, N.P.; Anstey, J.; Arora, V.; Christian, J.R.; Jiao, Y.; et al. CCCma CanESM5 model output prepared for CMIP6 ScenarioMIP. In Earth System Grid Federation; Pearson Education Limited: London, UK, 2019. [Google Scholar]
- Volodin, E.; Mortikov, E.; Gritsun, A.; Lykossov, V.; Galin, V.; Diansky, N.; Gusev, A.; Kostrykin, S.; Iakovlev, N.; Shestakova, A.; et al. INM INM-CM4-8 model output prepared for CMIP6 ScenarioMIP. In Earth System Grid Federation; Pearson Education Limited: London, UK, 2019. [Google Scholar]
- Consortium, E.C.E. EC-Earth-Consortium EC-Earth3 model output prepared for CMIP6 ScenarioMIP. In Earth System Grid Federation; Pearson Education Limited: London, UK, 2019. [Google Scholar]
- Shiogama, H.; Abe, M.; Tatebe, H. MIROC MIROC6 model output prepared for CMIP6 ScenarioMIP. In Earth System Grid Federation; Pearson Education Limited: London, UK, 2019. [Google Scholar]
- Tachiiri, K.; Abe, M.; Hajima, T.; Arakawa, O.; Suzuki, T.; Komuro, Y.; Ogochi, K.; Watanabe, M.; Yamamoto, A.; Tatebe, H.; et al. MIROC MIROC-ES2L model output prepared for CMIP6 ScenarioMIP. In Earth System Grid Federation; Pearson Education Limited: London, UK, 2019. [Google Scholar]
- Seland, Ø.; Bentsen, M.; Oliviè, D.J.L.; Toniazzo, T.; Gjermundsen, A.; Graff, L.S.; Debernard, J.B.; Gupta, A.K.; He, Y.; Kirkevåg, A.; et al. NCC NorESM2-LM model output prepared for CMIP6 ScenarioMIP. In Earth System Grid Federation; Pearson Education Limited: London, UK, 2019. [Google Scholar]
- Byun, Y.-H.; Lim, Y.-J.; Sung, H.M.; Kim, J.; Sun, M.; Kim, B.-H. NIMS-KMA KACE1.0-G model output prepared for CMIP6 CMIP amip. In Earth System Grid Federation; Pearson Education Limited: London, UK, 2019. [Google Scholar]
- Lee, T.; Singh, V.P. Statistical Downscaling for Hydrological and Environmental Applications; CRC Press: Boca Raton, FL, USA, 2018; Volume 1, p. 181. [Google Scholar]
- Cannon, A.J.; Sobie, S.R.; Murdock, T.Q. Bias correction of GCM precipitation by quantile mapping: How well do methods preserve changes in quantiles and extremes? J. Clim. 2015, 28, 6938–6959. [Google Scholar] [CrossRef]
- Tong, Y.; Gao, X.; Han, Z.; Xu, Y.; Xu, Y.; Giorgi, F. Bias correction of temperature and precipitation over China for RCM simulations using the QM and QDM methods. Clim. Dyn. 2021, 57, 1425–1443. [Google Scholar] [CrossRef]
- Koo, Y.; Kim, J.; Kim, J.; Lee, S. Study on the Improvement of Adaptation Ability by Vulnerability Analysis of Heat Wave—The Case of BusanMetropolitan City. Korean Reg. Dev. Assoc. 2015, 27, 331–347. [Google Scholar]










| Institute | Employed ESMs | Reference |
|---|---|---|
| Geophysical Fluid Dynamics Laboratory (USA) | GFDL-ESM4 | [26] |
| Meteorological Research Institute (Japan) | MRI-ESM2-0 | [27] |
| Centre National de Recherches Meteorologiques (France) | CNRM-CM6-1 | [28] |
| CNRM-ESM2-1 | [29] | |
| Institute Pierre-Simon Laplace (France) | IPSL-CM6A-LR | [30] |
| Max Planck Institute for Meteorology (Germany) | MPI-ESM1-2-HR | [31] |
| MPI-ESM1-2-LR | [32] | |
| Met Office Hadley Centre (UK) | UKESM1-0-LL | [33] |
| Commonwealth Scientific and Industrial Research Organisation, Australian Research Council Centre of Excellence for Climate System Science (Australia) | ACCESS-CM2 | [34] |
| Commonwealth Scientific and Industrial Research Organisation (Australia) | ACCESS-ESM1-5 | [35] |
| Canadian Centre for Climate Modelling and Analysis (Canada) | CanESM5 | [36] |
| Institute for Numerical Mathematics (Russia) | INM-CM4-8 | [28] |
| INM-CM5-0 | [37] | |
| EC-Earth-Consortium | EC-Earth3 | [38] |
| Japan Agency for Marine-Earth Science and Technology/Atmosphere and Ocean Research InstituteA/National Institute for Environmental Studies/RIKEN Center for Computational Science (Japan) | MIROC6 | [39] |
| MIROC-ES2L | [40] | |
| NorESM Climate modeling Consortium consisting of CICERO (Norway) | NorESM2-LM | [41] |
| National Institute of Meteorological Sciences/Korea Meteorological Administration (Korea) | KACE-1-0-G | [42] |
| Time | No. of HD | Relative HD (%) * | Future No. of USS † | |||
|---|---|---|---|---|---|---|
| SSP245 | SSP285 | SSP245 | SSP285 | SSP245 | SSP285 | |
| Obs | 7.92 | 100.00 | 120 | |||
| Base | 7.90 | 99.83 | 120 | |||
| P1 | 13.04 | 13.02 | 164.70 | 164.52 | 198 | 197 |
| P2 | 26.54 | 33.86 | 335.29 | 427.72 | 402 | 513 |
| P3 | 38.72 | 68.57 | 489.15 | 866.19 | 587 | 1039 |
Disclaimer/Publisher’s Note: The statements, opinions and data contained in all publications are solely those of the individual author(s) and contributor(s) and not of MDPI and/or the editor(s). MDPI and/or the editor(s) disclaim responsibility for any injury to people or property resulting from any ideas, methods, instructions or products referred to in the content. |
© 2023 by the authors. Licensee MDPI, Basel, Switzerland. This article is an open access article distributed under the terms and conditions of the Creative Commons Attribution (CC BY) license (https://creativecommons.org/licenses/by/4.0/).
Share and Cite
Lee, T.; Choi, Y.; Singh, V.P. Stochastic Spatial Binary Simulation with Multivariate Normal Distribution for Illustrating Future Evolution of Umbrella-Shape Summer Shelter under Climate Change. Sustainability 2023, 15, 3147. https://doi.org/10.3390/su15043147
Lee T, Choi Y, Singh VP. Stochastic Spatial Binary Simulation with Multivariate Normal Distribution for Illustrating Future Evolution of Umbrella-Shape Summer Shelter under Climate Change. Sustainability. 2023; 15(4):3147. https://doi.org/10.3390/su15043147
Chicago/Turabian StyleLee, Taesam, Younghwan Choi, and Vijay P. Singh. 2023. "Stochastic Spatial Binary Simulation with Multivariate Normal Distribution for Illustrating Future Evolution of Umbrella-Shape Summer Shelter under Climate Change" Sustainability 15, no. 4: 3147. https://doi.org/10.3390/su15043147
APA StyleLee, T., Choi, Y., & Singh, V. P. (2023). Stochastic Spatial Binary Simulation with Multivariate Normal Distribution for Illustrating Future Evolution of Umbrella-Shape Summer Shelter under Climate Change. Sustainability, 15(4), 3147. https://doi.org/10.3390/su15043147

