Alignment between United Nations Environmental Assembly Guidance and National Research Priorities
Abstract
:1. Introduction
1.1. Objectives of the Study
1.2. Significance of the Study
- When considering climate-based keywords in a country’s scientific article output, what is the frequency of occurrence and evolution of their importance, and in which scientific sectors do those keywords appear?
- Using the 14 UNEP resolutions of March 2022 intended to help curb pollution and to protect and restore nature worldwide, is it possible to identify the frequency of keywords in the scientific publications related to those resolutions?
- Considering the Chilean SKS zones where climate change research is producing journal articles aligned to the 14 UN resolutions, is this output distributed according to geographical relevance?
2. Methodology
2.1. The Data behind Scientific Production
2.2. Assessing Scientific Output around Climate Change
- Frequency of 69 keywords related to climate change;
- Scientific disciplines related to those keywords;
- Georeferencing of works devoted to those keywords;
- Relative importance of this scientific output considering the total scientific output of the country.
2.3. The Fourteen Resolutions Adopted by the UN Environment Assembly
The United Nations Environment Assembly
- Resolution to End Plastic Pollution: Towards an international legally binding instrument;
- Resolution on an Enhancing Circular Economy as a contribution to achieving sustainable consumption and production;
- Resolution on Sustainable Lake Management;
- Resolution on Nature-based Solutions for Supporting Sustainable Development;
- Resolution on the environmental dimension of a sustainable, resilient, and inclusive post-COVID-19 recovery;
- Resolution on Biodiversity and Health;
- Resolution-Animal Welfare—Environment—Sustainable Development Nexus.
- Resolution on Sustainable Nitrogen Management;
- Resolution on Sustainable and Resilient Infrastructure;
- Resolution on the Sound Management of Chemicals and Waste;
- Resolution for a Science-Policy Panel to contribute further to the sound management of chemicals and waste and to prevent pollution;
- Resolution on Environmental aspects of Minerals and Metals Management;
- Resolution on the Future of the Global Environment Outlook;
- Resolution of due regard to the principle of equitable geographical distribution, in accordance with paragraph 3 of article 101 of the Charter of the UN.
- End poverty;
- Zero hunger;
- Good health and well-being;
- Quality education;
- Gender equality;
- Clean water and sanitation;
- Affordable and clean energy;
- Decent work and economic growth;
- Industry innovation and infrastructure;
- Reducing inequalities;
- Sustainable cities and communities;
- Responsible production and consumption;
- Climate action;
- Undersea life;
- Terrestrial ecosystems;
- Peace justice and strong institutions;
- Partnership to achieve the goals.
- Relative importance considering the total scientific production within Chile;
- Impact of the related documents;
- Geographical distribution and institutions studying topics related to the resolutions;
- Social dynamics behind the authorship of these documents.
3. Chilean Scientific Output on Climate Change
Scientific Disciplines System
4. Alignment between Scientific Production and the “14 Resolutions”
4.1. Scientific Disciplines and Resolution
4.2. Who Is Studying the Resolution Topics?
4.3. Research Impact on UN’s Resolutions
5. Socio-Territorial Characterization of Chilean SKS on Climate Change
5.1. Geographical Distribution
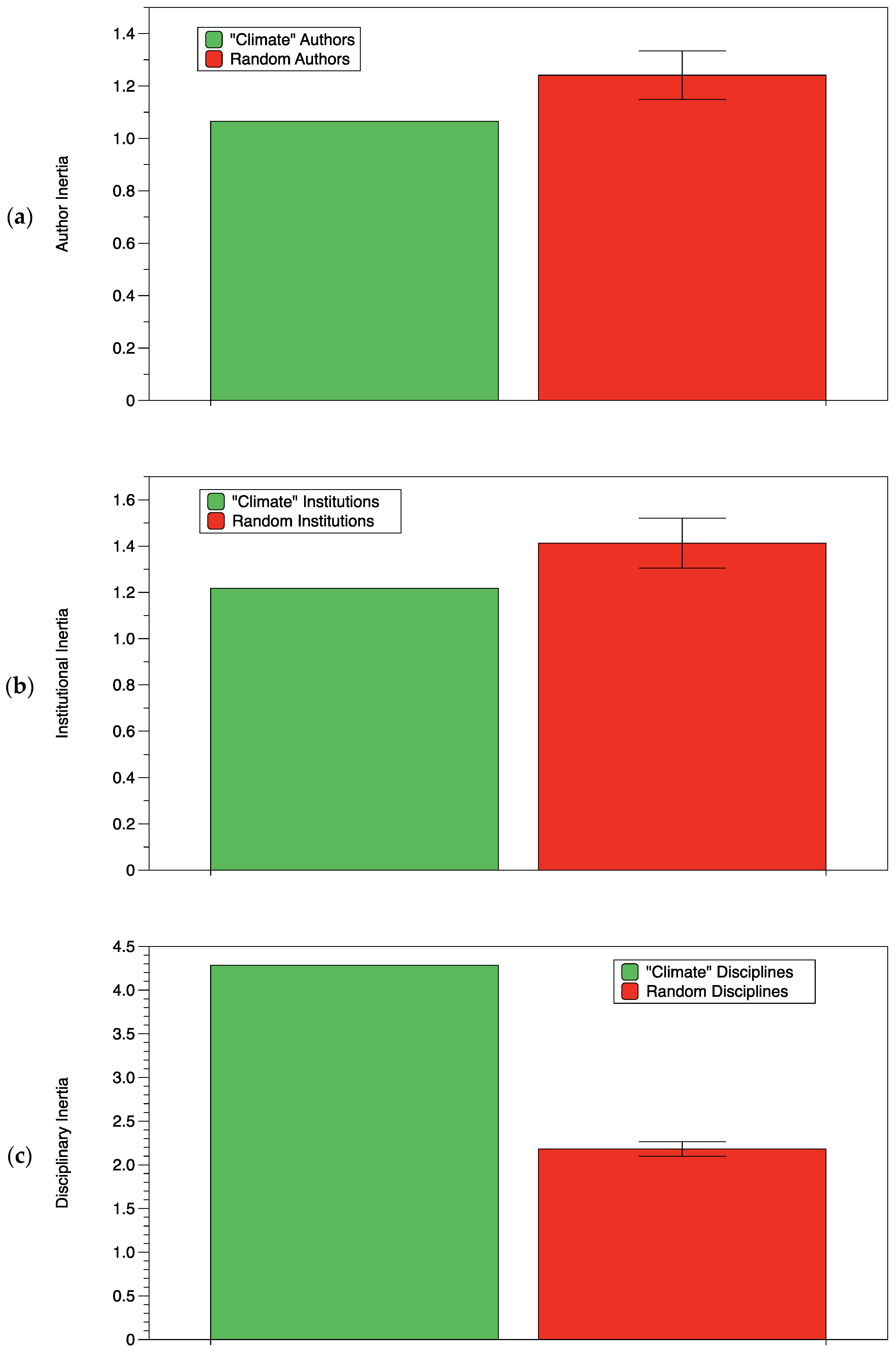
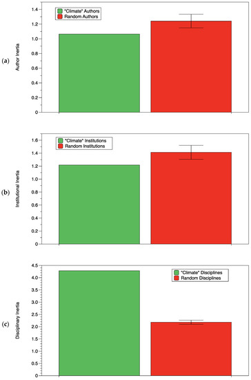
5.2. Social Inertia, Founding, Leadership, and Gender
6. Conclusions and Recommendations
6.1. Conclusions
6.2. Recommendations
6.2.1. Our Suggestions
- Given the current characteristics of the Chilean state, this analysis suggests that collaboration between ministries is now essential, particularly between the Ministry of the Environment, the Ministry of Foreign Affairs, and the Ministry of Science, Technology, Knowledge, and Innovation (MSTKI). Such collaboration may require policies and procedures that do not currently exist. It may be desirable to create a standing committee comprised of members from those ministries to assess the state of UN resolution alignment with climate research in Chile;
- The Chilean scientific community needs an incentive system to encourage shifting a substantial fraction of its work toward the 2030 SDG framework and the UNEA resolutions. A domestic focus on climate research will also provide helpful—and perhaps profitable—results within the Chilean economy, aligning with the country’s desire to prepare for an uncertain future;
- International cooperation related to these issues and encouraging the country to develop scientific and technological competence around climate threats will position Chile well for an inevitable future of scarcity and change;
- It is necessary to generate a long-term scientific management plan for national and global discussions of climate change and sustainable development;
- Local is key. It is important to develop a science policy that stipulates research agendas linked to local problems related to sustainable development and climate change. That local impact will have a positive knock-on effect on other issues from the 2030 SDG agenda, since complex local problems are affected by multiple kinds of systems, including natural, cultural, ethnic, social, linguistic, financial, educational, technological, and more.
6.2.2. Addressing the Generation of Research Dominantly from the Capital City
- Enhancing educational infrastructure within the regional colleges would encourage climate research with local relevance. That enhancement would encourage expansion in science, engineering, and innovation derived from local perspectives across the length and breadth of the nation;
- Addressing regional problems with international peer/partner validation will generate knowledge about local and regional problems, which will help inform Chile’s public policy decisions;
- The superb astronomical research performed in Chilean observatories has led to an understandable weighting of scientific publications toward that specialty (a kind of “scientific extractivism”). The analysis within this paper suggests that the country should build on its observatory expertise in data storage, data analysis, computational power, mathematical modeling, and other tools necessary for astronomers. Enhancing these existing strengths will facilitate transdisciplinary research on the climate of Chile. All science is interdependent, and since global warming will eventually affect astronomical observation, Chilean society can prepare for that future by encouraging collaboration now.
Author Contributions
Funding
Institutional Review Board Statement
Informed Consent Statement
Data Availability Statement
Acknowledgments
Conflicts of Interest
References
- UN. Meetings Coverage and Press Releases. 2021. Available online: https://www.un.org/press/en/2021/sc14445.doc.htm (accessed on 9 November 2022).
- UNCCD. 5th Session of the UN Environment Assembly. 2022. Available online: https://www.unccd.int/events/other/5th-session-un-environment-assembly (accessed on 9 November 2022).
- UNEP. UN Environment Programme. UN Environment Assembly Concludes with 14 Resolutions to Curb Pollution, Protect and Restore Nature Worldwide. 2022. Available online: https://www.unep.org/news-and-stories/press-release/un-environment-assembly-concludes-14-resolutions-curb-pollution (accessed on 9 November 2022).
- UNEP. UNEA-5 and UNEP@50 Featured Updates. 2022. Available online: https://www.unep.org/news-and-stories/news/unea5-unep50-updates (accessed on 9 November 2022).
- UN. Climate Reports. 2022. Available online: https://www.un.org/es/climatechange/reports (accessed on 9 November 2022).
- Hochstetler, K. Latin America in Global Environmental Governance. In Routledge Handbook of Latin America in the World; Routledge: New York, NY, USA, 2014; pp. 391–403. [Google Scholar]
- OHCHR. Chile’s Constitutional Process: An Historic Opportunity to Enshrine Human Rights. 2022. Available online: https://www.ohchr.org/en/stories/2022/06/chiles-constitutional-process-historic-opportunity-enshrine-human-rights (accessed on 9 November 2022).
- Richardson, K.; Steffen, W.; Liverman, D. (Eds.) Climate Change: Global Risks, Challenges and Decisions; Cambridge University Press: Cambridge, UK, 2011. [Google Scholar]
- Kemp, L.; Xu, C.; Depledge, J.; Ebi, K.L.; Gibbins, G.; Kohler, T.A.; Rockström, J.; Scheffer, M.; Schellnhuber, H.J.; Steffen, W.; et al. Climate Endgame: Exploring catastrophic climate change scenarios. Proc. Natl. Acad. Sci. USA 2022, 119, e2108146119. [Google Scholar] [CrossRef] [PubMed]
- Ministerio de Medio Ambiente de Chile. Contribución Determinada a Nivel Nacional (NDC) de Chile. Actualización 2020. 2020. Available online: https://mma.gob.cl/wp-content/uploads/2020/04/NDC_Chile_2020_espan%CC%83ol-1.pdf (accessed on 9 November 2022).
- Ho-Lem, C.; Zerriffi, H.; Kandlikar, M. Who participates in the Intergovernmental Panel on Climate Change and why: A quantitative assessment of the national representation of authors in the Intergovernmental Panel on Climate Change. Glob. Environ. Chang. 2011, 21, 1308–1317. [Google Scholar] [CrossRef]
- Karlsson, S.; Srebotnjak, T.; Gonzales, P. Understanding the North––South knowledge divide and its implications for policy: A quantitative analysis of the generation of scientific knowledge in the environmental sciences. Environ. Sci. Policy 2007, 10, 668–684. [Google Scholar] [CrossRef]
- Lawler, D.; Fuentes, M. Presidential diplomacy meets science diplomacy. Glob. Policy 2022, 13, 606–613. [Google Scholar] [CrossRef]
- UNDP. Managing Complexity and Uncertainty through Integrated and Systems Driven Approaches. 2021. Available online: https://www.undp.org/blog/managing-complexity-and-uncertainty-through-integrated-and-systems-driven-approaches (accessed on 9 November 2022).
- Lamont, C. Research Methods in International Relations; Sage: Newcastle upon Tune, UK, 2021. [Google Scholar]
- DataCiencia. Agencia Nacional de Investigacion y Desarrollo, Chile. 2022. Available online: https://dataciencia.anid.cl (accessed on 9 October 2022).
- Mitchell, M. Complexity: A Guided Tour; Oxford University Press: Oxford, UK, 2009. [Google Scholar]
- Nicolis, G.; Nicolis, C. Foundations of Complex Systems: Emergence, Information and Prediction; World Scientific: Singapore, 2012. [Google Scholar]
- Singh, J.; Dutta, H.; Kumar, D.; Baleanu, D.; Hristov, J. (Eds.) Methods of Mathematical Modelling and Computation for Complex Systems; Springer Nature: Berlin/Heidelberg, Germany, 2021; Volume 373. [Google Scholar]
- Newman, M.E. Networks: An Introduction; Oxford University Press: Oxford, UK, 2010; ISBN 978-0-19-920665-0. [Google Scholar]
- Clarivate. Journal Citation Reports: Learn the Basics. 2022. Available online: https://clarivate.libguides.com/jcr (accessed on 9 November 2022).
- Web of Knowledge. Web of Science Core Collection Help. 2020. Available online: https://images.webofknowledge.com/images/help/WOS/hp_subject_category_terms_tasca.html (accessed on 9 November 2022).
- Scimago. 2022. Available online: https://www.scimagojr.com/aboutus.php (accessed on 9 November 2022).
- SciELO Blog. The SciELO Publication Model as an Open Access Public Policy. 2019. Available online: https://blog.scielo.org/en/2019/12/18/the-scielo-publication-model-as-an-open-access-public-policy/#.YqwQiRPMI5A (accessed on 9 November 2022).
- Weingart, P. Impact of bibliometrics upon the science system: Inadvertent consequences? Scientometrics 2005, 62, 117–131. [Google Scholar] [CrossRef]
- Werner, R. The focus on bibliometrics makes papers less useful. Nature 2015, 517, 245. [Google Scholar] [CrossRef] [PubMed]
- CEPAL. 2030 Agenda for Sustainable Development. 2022. Available online: https://www.cepal.org/en/topics/2030-agenda-sustainable-development (accessed on 9 November 2022).
- UN. The Paris Agreement. 2022. Available online: https://www.un.org/en/climatechange/paris-agreement (accessed on 9 November 2022).
- CRF. What COP26 Did and Didn’t Accomplish. 2021. Available online: https://www.cfr.org/in-brief/cop26-climate-outcomes-successes-failures-glasgow (accessed on 9 November 2022).
- UN. Take Action for the Sustainable Development Goals. 2022. Available online: https://www.un.org/sustainabledevelopment/sustainable-development-goals/ (accessed on 9 November 2022).
- UNRIC. Que es la Asamblea de las Naciones Unidas para el Medio Ambiente? 2022. Available online: https://unric.org/es/que-es-la-asamblea-de-las-naciones-unidas-para-el-medio-ambiente (accessed on 9 November 2022).
- BBC. Plastic Pollution: Green Light for ‘Historic’ Treaty. 2022. Available online: https://www.bbc.com/news/science-environment-60590515 (accessed on 9 November 2022).
- UN News. UN Environment Assembly Opens, Sets Sites on Ending Plastic Pollution. 2022. Available online: https://news.un.org/en/story/2022/02/1112972 (accessed on 9 November 2022).
- Des Gasper. The road to the Sustainable Development Goals: Building global alliances and norms. J. Glob. Ethics 2019, 15, 118–137. [Google Scholar] [CrossRef]
- Hulme, M. Is it too late (to stop dangerous climate change)? An editorial. Wiley Interdisciplinary Reviews. Clim. Chang. 2020, 11, e619. [Google Scholar]
- O’neill, S.; Nicholson-Cole, S. “Fear won’t do it” promoting positive engagement with climate change through visual and iconic representations. Sci. Commun. 2009, 30, 355–379. [Google Scholar] [CrossRef]
- SDGS. The 17 Goals. 2022. Available online: https://sdgs.un.org/goals (accessed on 9 November 2022).
- Cárdenas, J.P.; Vidal, G.; Urbina, C.; Olivares, G.; Rodrigo, P.; Fuentes, M.A. Social crises: Signatures of complexity in a fast-growing economy. Complexity 2018, 2018, 9343451. [Google Scholar] [CrossRef]
- Madariaga, A. From ‘Green Laggard’ to Regional Leader: Explaining the Recent Development of Environmental Policy in Chile. Bull. Lat. Am. Res. 2018, 38, 453–470. [Google Scholar] [CrossRef]
- Bórquez, R.; Billi, M.; Moraga, P. Estado, medio ambiente y desarrollo: Pasado, presente y futuro de la gobernanza ambiental chilena. Rev. An. 2021, 289–316. [Google Scholar] [CrossRef]
- Carrasco, S.; Maillet, A. 30 años de Institucionalidad Ambiental en Chile: Entre la Esperanza y las Promesas Incumplidas (1990–2018). In Chile y el Cambio Climático; Carrasco-Hidalgo, E.C., Ed.; Friederich_Ebert_Siftung: Santiago, Chile, 2019. [Google Scholar]
- INDH. Mapa de Conflictos Socioambientales en Chile, 2015 [Map of Socio-Environmental Conflicts in Chile]; INDH: Santiago, Chile, 2015. [Google Scholar]
- Henríquez, C.; Borchers, N.; Arenas, F. Sustentabilidad y medio ambiente. Avances impulsados por el sistema de evaluación ambiental chileno. In ¿Para qué Descentralizar? Centralismo y Políticas Públicas en Chile: Análisis y Evaluación Por Sectores; Vial, E.C., Hernandez, J., Eds.; Universidad Autónoma de Chile-ICHEM: Santiago, Chile, 2017. [Google Scholar]
- IPCC. AR4 Climate Change 2007: Synthesis Report. 2007. Available online: https://www.ipcc.ch/report/ar4/syr/ (accessed on 9 November 2022).
- Brulle, R.J.; Norgaard, K.M. Avoiding cultural trauma: Climate change and social inertia. Environ. Politics 2019, 28, 886–908. [Google Scholar] [CrossRef]
- Ramasco, J.J.; Morris, S.A. Social inertia in collaboration networks. Phys. Rev. E 2006, 73, 016122. [Google Scholar] [CrossRef] [PubMed]
- Callaghan, M.W.; Minx, J.C.; Forster, P.M. A topography of climate change research. Nat. Clim. Chang. 2020, 10, 118–123. [Google Scholar] [CrossRef]
- OEC. Observatory of Economic Complexity. 2022. Available online: https://oec.world/en/profile/country/chl (accessed on 9 November 2022).
- Pentland, A. Social Physics: How Good Ideas Spread the Lessons from a New Science; The Penguin Press: New York, NY, USA, 2014. [Google Scholar]













| Resolution ID | Resolution Keyword |
|---|---|
| R1 | Plastic pollution |
| R2 | Circular economy |
| R3 | Lake management |
| R4 | Sustainable development |
| R5 | COVID-19 recovery |
| R6 | Biodiversity and health |
| R7 | Animal welfare |
| R8 | Nitrogen management |
| R9 | Sustainable infrastructure |
| R10 | Management of chemicals |
| R11 | Minerals management |
| Discipline WoS | Percentage | Number of Documents |
|---|---|---|
| Environmental Sciences | 12.18 | 362 |
| Ecology | 9.21 | 271 |
| Geosciences, Multidisciplinary | 6.73 | 202 |
| Meteorology and Atmospheric Sciences | 4.26 | 125 |
| Geography, Physical | 4.22 | 124 |
| Marine and Freshwater Biology | 4.15 | 123 |
| Multidisciplinary Sciences | 3.98 | 120 |
| Environmental Studies | 3.87 | 119 |
| Plant Sciences | 3.80 | 118 |
| Water Resources | 3.69 | 112 |
| Discipline | R1 | R2 | R3 | R4 | R5 | R6 | R7 | R8 | R9 | R10 | R11 | Total |
|---|---|---|---|---|---|---|---|---|---|---|---|---|
| Environmental sciences | 33 | 54 | 9 | 187 | 4 | 8 | 4 | 25 | 14 | 3 | 2 | 343 |
| Green & sustainable science & technology | 3 | 39 | 0 | 135 | 2 | 2 | 0 | 1 | 14 | 1 | 1 | 198 |
| Environmental studies | 3 | 23 | 2 | 131 | 1 | 2 | 0 | 2 | 11 | 0 | 1 | 176 |
| Veterinary sciences | 2 | 0 | 1 | 2 | 0 | 3 | 85 | 2 | 0 | 1 | 0 | 96 |
| Engineering, environmental | 4 | 26 | 1 | 35 | 0 | 0 | 0 | 2 | 4 | 1 | 1 | 74 |
| Ecology | 1 | 3 | 2 | 35 | 0 | 6 | 4 | 11 | 2 | 0 | 0 | 64 |
| Agriculture, dairy & animal science | 1 | 1 | 0 | 1 | 0 | 1 | 55 | 4 | 0 | 0 | 0 | 63 |
| Marine & freshwater biology | 15 | 1 | 3 | 21 | 0 | 0 | 4 | 6 | 2 | 0 | 0 | 52 |
| Energy & fuels | 0 | 9 | 0 | 34 | 1 | 0 | 0 | 0 | 5 | 0 | 0 | 49 |
| Water resources | 2 | 6 | 6 | 19 | 0 | 1 | 0 | 6 | 2 | 1 | 2 | 45 |
| Agronomy | 0 | 1 | 0 | 12 | 0 | 1 | 4 | 16 | 0 | 4 | 0 | 38 |
| Fisheries | 1 | 0 | 4 | 20 | 0 | 1 | 4 | 5 | 3 | 0 | 0 | 38 |
| Agriculture, multidisciplinary | 0 | 1 | 0 | 11 | 0 | 0 | 9 | 12 | 0 | 2 | 1 | 36 |
| Public, environmental & occupational health | 1 | 3 | 0 | 22 | 4 | 1 | 1 | 0 | 2 | 1 | 0 | 35 |
| Multidisciplinary sciences | 4 | 0 | 1 | 16 | 1 | 3 | 4 | 2 | 1 | 0 | 0 | 32 |
| Economics | 0 | 3 | 0 | 23 | 0 | 0 | 0 | 0 | 4 | 0 | 0 | 30 |
| Plant sciences | 0 | 2 | 0 | 9 | 0 | 3 | 1 | 14 | 0 | 1 | 0 | 30 |
| Urban studies | 0 | 1 | 0 | 23 | 0 | 1 | 0 | 0 | 3 | 0 | 0 | 28 |
| Food science & technology | 0 | 5 | 0 | 4 | 0 | 4 | 9 | 4 | 0 | 1 | 1 | 28 |
| Geography | 0 | 0 | 2 | 21 | 0 | 0 | 0 | 0 | 4 | 0 | 0 | 27 |
| Engineering, civil | 3 | 7 | 0 | 8 | 0 | 0 | 0 | 1 | 6 | 0 | 1 | 26 |
| Biotechnology & applied microbiology | 1 | 7 | 0 | 14 | 0 | 0 | 1 | 1 | 0 | 1 | 0 | 25 |
| Soil science | 0 | 1 | 1 | 4 | 0 | 2 | 0 | 15 | 0 | 0 | 0 | 23 |
| Biology | 2 | 0 | 2 | 9 | 1 | 3 | 3 | 1 | 0 | 0 | 1 | 22 |
| Geosciences, multidisciplinary | 1 | 0 | 2 | 12 | 0 | 1 | 0 | 1 | 2 | 0 | 2 | 21 |
| Chemistry, multidisciplinary | 2 | 6 | 1 | 6 | 1 | 0 | 0 | 1 | 0 | 1 | 1 | 19 |
| Regional & urban planning | 0 | 2 | 0 | 15 | 0 | 0 | 0 | 0 | 2 | 0 | 0 | 19 |
| Management | 0 | 5 | 0 | 13 | 0 | 0 | 0 | 0 | 0 | 0 | 0 | 18 |
| Engineering, chemical | 0 | 10 | 1 | 5 | 0 | 0 | 0 | 1 | 0 | 0 | 1 | 18 |
| Construction & building technology | 0 | 6 | 0 | 6 | 0 | 0 | 0 | 1 | 4 | 0 | 0 | 17 |
| Oceanography | 2 | 0 | 2 | 6 | 0 | 0 | 1 | 4 | 2 | 0 | 0 | 17 |
| Geography, physical | 0 | 0 | 1 | 13 | 0 | 0 | 0 | 0 | 3 | 0 | 0 | 17 |
| Business | 0 | 7 | 0 | 10 | 0 | 0 | 0 | 0 | 0 | 0 | 0 | 17 |
| Zoology | 1 | 0 | 2 | 0 | 0 | 1 | 12 | 1 | 0 | 0 | 0 | 17 |
| Biodiversity conservation | 0 | 1 | 1 | 7 | 1 | 4 | 1 | 2 | 0 | 0 | 0 | 17 |
| Medicine, general & internal | 0 | 0 | 0 | 11 | 1 | 1 | 1 | 2 | 1 | 0 | 0 | 17 |
| Planning & development | 0 | 2 | 0 | 13 | 0 | 0 | 0 | 0 | 1 | 0 | 0 | 16 |
| Architecture | 0 | 0 | 0 | 14 | 0 | 0 | 0 | 0 | 1 | 0 | 0 | 15 |
| Biochemistry & molecular biology | 0 | 2 | 0 | 7 | 1 | 2 | 0 | 0 | 0 | 2 | 1 | 15 |
| Materials science, multidisciplinary | 1 | 7 | 1 | 2 | 0 | 0 | 0 | 1 | 3 | 0 | 0 | 15 |
| Microbiology | 0 | 1 | 1 | 3 | 0 | 5 | 2 | 2 | 0 | 0 | 0 | 14 |
| Development studies | 0 | 0 | 0 | 13 | 0 | 0 | 0 | 0 | 1 | 0 | 0 | 14 |
| Forestry | 0 | 0 | 1 | 6 | 0 | 2 | 0 | 4 | 0 | 0 | 0 | 13 |
| Meteorology & atmospheric sciences | 1 | 1 | 1 | 8 | 0 | 0 | 0 | 1 | 0 | 0 | 0 | 12 |
| Sociology | 0 | 0 | 0 | 7 | 0 | 0 | 2 | 0 | 1 | 0 | 0 | 10 |
| Operations research & management science | 0 | 4 | 0 | 6 | 0 | 0 | 0 | 0 | 0 | 0 | 0 | 10 |
| Institution | R1 | R2 | R3 | R4 | R5 | R6 | R7 | R8 | R9 | R10 | R11 | Total |
|---|---|---|---|---|---|---|---|---|---|---|---|---|
| Pontificia Universidad Católica de Chile | 3 | 20 | 4 | 161 | 7 | 5 | 23 | 6 | 27 | 0 | 6 | 262 |
| Universidad de Chile | 9 | 14 | 4 | 114 | 9 | 7 | 33 | 19 | 10 | 3 | 5 | 227 |
| Universidad Austral de Chile | 5 | 5 | 9 | 50 | 0 | 7 | 68 | 20 | 2 | 2 | 0 | 168 |
| Universidad de Concepción | 15 | 14 | 7 | 79 | 3 | 8 | 7 | 18 | 8 | 4 | 1 | 164 |
| Universidad Católica del Norte | 19 | 11 | 1 | 50 | 1 | 4 | 0 | 3 | 3 | 0 | 1 | 93 |
| Universidad Autónoma de Chile | 2 | 18 | 2 | 59 | 1 | 0 | 1 | 0 | 5 | 0 | 0 | 88 |
| Pontificia Universidad Católica de Valparaíso | 3 | 10 | 2 | 30 | 3 | 4 | 2 | 7 | 7 | 1 | 1 | 70 |
| Universidad Nacional Andrés Bello | 6 | 6 | 1 | 32 | 2 | 5 | 10 | 2 | 3 | 0 | 0 | 67 |
| Universidad de Talca | 2 | 16 | 0 | 33 | 3 | 1 | 1 | 4 | 2 | 2 | 2 | 66 |
| Universidad de la Frontera | 1 | 5 | 4 | 30 | 2 | 2 | 7 | 10 | 1 | 2 | 0 | 64 |
| Universidad de Santiago de Chile | 1 | 18 | 3 | 25 | 3 | 0 | 4 | 2 | 1 | 0 | 0 | 57 |
| Universidad del Bío Bío | 3 | 7 | 2 | 33 | 0 | 0 | 0 | 1 | 3 | 2 | 1 | 52 |
| Universidad Técnica Federico Santa María | 0 | 5 | 1 | 25 | 0 | 1 | 1 | 2 | 4 | 1 | 0 | 40 |
| Universidad Católica de la Santísima Concepción | 7 | 3 | 0 | 18 | 2 | 3 | 0 | 4 | 2 | 0 | 0 | 39 |
| Universidad Católica de Temuco | 1 | 2 | 4 | 15 | 0 | 2 | 9 | 4 | 1 | 0 | 0 | 38 |
| Universidad de Antofagasta | 4 | 10 | 0 | 11 | 1 | 2 | 3 | 2 | 1 | 0 | 2 | 36 |
| Universidad Adolfo Ibáñez | 2 | 6 | 0 | 18 | 1 | 1 | 0 | 1 | 2 | 1 | 1 | 33 |
| Universidad de Los Lagos | 0 | 0 | 7 | 18 | 0 | 4 | 1 | 2 | 0 | 0 | 0 | 32 |
| Universidad de Valparaíso | 2 | 2 | 2 | 19 | 2 | 0 | 3 | 0 | 0 | 1 | 0 | 31 |
| Universidad Diego Portales | 0 | 2 | 0 | 21 | 0 | 0 | 1 | 2 | 2 | 0 | 0 | 28 |
| Universidad Católica del Maule | 2 | 3 | 0 | 14 | 1 | 0 | 3 | 4 | 0 | 1 | 0 | 28 |
| Universidad Mayor | 3 | 1 | 0 | 7 | 1 | 1 | 4 | 2 | 1 | 0 | 1 | 21 |
| Universidad de la Serena | 0 | 1 | 1 | 15 | 0 | 2 | 0 | 2 | 0 | 0 | 0 | 21 |
| Universidad del Desarrollo | 0 | 1 | 0 | 13 | 1 | 0 | 3 | 1 | 1 | 0 | 0 | 20 |
| Universidad de Playa Ancha | 3 | 2 | 0 | 12 | 2 | 0 | 1 | 0 | 0 | 0 | 0 | 20 |
| Universidad Santo Tomás | 5 | 1 | 1 | 6 | 0 | 1 | 2 | 2 | 0 | 0 | 0 | 18 |
| Universidad de la República | 1 | 0 | 0 | 7 | 2 | 2 | 6 | 0 | 0 | 0 | 0 | 18 |
| Universidad de los Andes | 0 | 2 | 3 | 8 | 0 | 1 | 0 | 0 | 1 | 0 | 0 | 15 |
| Universidad de Tarapacá | 1 | 1 | 0 | 11 | 1 | 0 | 1 | 0 | 0 | 0 | 0 | 15 |
| Universidad Tecnológica Metropolitana | 0 | 4 | 0 | 8 | 0 | 0 | 0 | 0 | 0 | 0 | 1 | 13 |
| Universidad San Sebastián | 2 | 2 | 0 | 8 | 0 | 1 | 0 | 0 | 0 | 0 | 0 | 13 |
| Universidad de Magallanes | 2 | 0 | 2 | 6 | 0 | 0 | 0 | 0 | 1 | 0 | 0 | 11 |
| Universidad de Atacama | 0 | 2 | 0 | 8 | 1 | 0 | 0 | 0 | 0 | 0 | 0 | 11 |
| Region | % |
|---|---|
| Metropolitana | 44.5 |
| Bio-Bío | 11.9 |
| Los Ríos | 9.4 |
| Antofagasta | 6.0 |
| Araucanía | 4.8 |
| Valparaíso | 4.3 |
| Maule | 3.1 |
| Ñuble | 1.3 |
| Coquimbo | 1.0 |
| Tarapacá | 0.7 |
| Atacama | 0.5 |
| Magallanes | 0.5 |
Disclaimer/Publisher’s Note: The statements, opinions and data contained in all publications are solely those of the individual author(s) and contributor(s) and not of MDPI and/or the editor(s). MDPI and/or the editor(s) disclaim responsibility for any injury to people or property resulting from any ideas, methods, instructions or products referred to in the content. |
© 2023 by the authors. Licensee MDPI, Basel, Switzerland. This article is an open access article distributed under the terms and conditions of the Creative Commons Attribution (CC BY) license (https://creativecommons.org/licenses/by/4.0/).
Share and Cite
Fuentes, M.; Cárdenas, J.P.; Urbina, C.; Vidal, G.; Olivares, G.; Lawler, D.; Bustos Azocar, E.; Rasmussen, E. Alignment between United Nations Environmental Assembly Guidance and National Research Priorities. Sustainability 2023, 15, 2636. https://doi.org/10.3390/su15032636
Fuentes M, Cárdenas JP, Urbina C, Vidal G, Olivares G, Lawler D, Bustos Azocar E, Rasmussen E. Alignment between United Nations Environmental Assembly Guidance and National Research Priorities. Sustainability. 2023; 15(3):2636. https://doi.org/10.3390/su15032636
Chicago/Turabian StyleFuentes, Miguel, Juan Pablo Cárdenas, Carolina Urbina, Gerardo Vidal, Gastón Olivares, Diego Lawler, Edmundo Bustos Azocar, and Eric Rasmussen. 2023. "Alignment between United Nations Environmental Assembly Guidance and National Research Priorities" Sustainability 15, no. 3: 2636. https://doi.org/10.3390/su15032636
APA StyleFuentes, M., Cárdenas, J. P., Urbina, C., Vidal, G., Olivares, G., Lawler, D., Bustos Azocar, E., & Rasmussen, E. (2023). Alignment between United Nations Environmental Assembly Guidance and National Research Priorities. Sustainability, 15(3), 2636. https://doi.org/10.3390/su15032636

