Response Characteristics of Weak Current Stimulated from Coal under an Impact Load and Its Generation Mechanism
Abstract
1. Introduction
2. Experimental Details
2.1. Material
2.2. Experimental System
2.3. Experimental Scheme
3. Results and Discussion
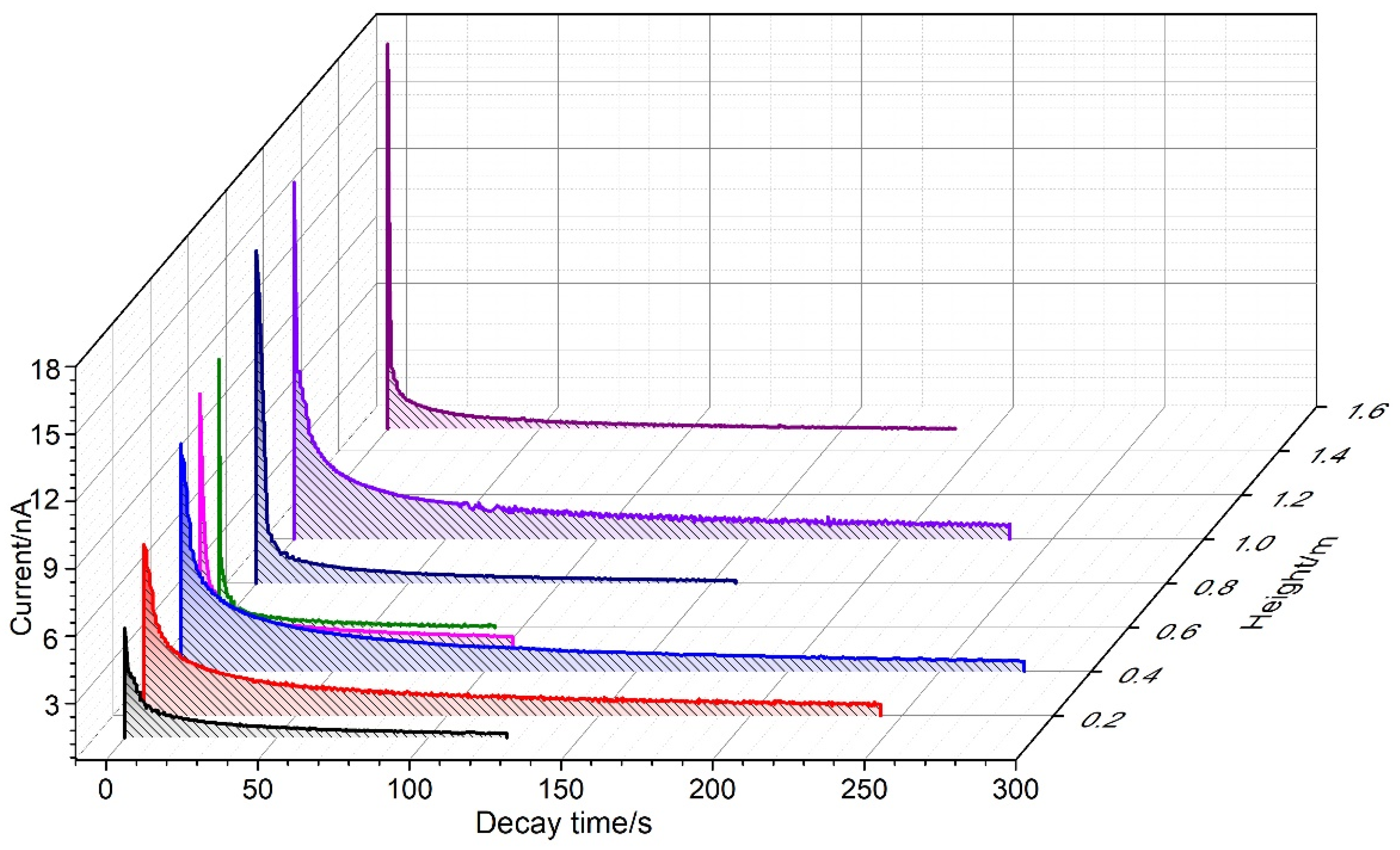
3.1. Weak Current Response Characteristics
3.2. Attenuation Laws of Transient Currents
3.3. Mechanism of Weak Current from Loaded Coals
3.3.1. Carriers in Coal
3.3.2. Mechanism and Physical Models
4. Conclusions
- (1)
- The moment an impact load is applied to coal, a weak current, increasing instantly to the peak value (transient current), is stimulated, and the current flows from the loaded volume to the unloaded one through the coal. The intensity of the transient current increases with impact velocity, which is positively related to the falling height of the ball.
- (2)
- The transient current decays slowly after the withdrawal of the impact load, tending to be a stable value that is slightly greater than the background current before the load application. The attenuation of the transient current lasts hundreds of seconds and obeys non-extensive statistical mechanics, with the non-extensive parameter q greater than 2.
- (3)
- The main carriers of the stimulated weak currents are free electrons. The generation mechanism of the weak currents induced by coal deformation is the instantaneous movement of electrons under a density difference. The closure of primary cracks makes electrons flow toward the tip of the shuttle fracture space under the action of the tip effect, leading to a charge density difference, which makes the electrons in the unloaded volume move to the loaded one to reach a new charge balance, generating the transient currents.
Author Contributions
Funding
Institutional Review Board Statement
Informed Consent Statement
Data Availability Statement
Conflicts of Interest
References
- Keneti, A.; Sainsbury, B.A. Review of published rockburst events and their contributing factors. Eng. Geol. 2018, 246, 361–373. [Google Scholar] [CrossRef]
- Cai, M. Principles of rock support in burst-prone ground. Tunn. Undergr. Space Technol. 2013, 36, 46–56. [Google Scholar] [CrossRef]
- Feng, G.L.; Feng, X.T.; Xiao, Y.X.; Yao, Z.B.; Hu, L.; Niu, W.J.; Li, T. Characteristic microseismicity during the development process of intermittent rockburst in a deep railway tunnel. Int. J. Rock Mech. Min. Sci. 2019, 124, 104135. [Google Scholar] [CrossRef]
- Jiang, Y.D.; Pan, Y.S.; Jiang, F.X.; Dou, L.M.; Ju, Y. State of the art review on mechanism and prevention of coal bumps in China. J. China Coal Soc. 2014, 39, 205–213. [Google Scholar]
- Lawson, H.E.; Tesarik, D.; Larson, M.K.; Abraham, H. Effects of overburden characteristics on dynamic failure in underground coal mining. Int. J. Rock Mech. Min. Sci. 2017, 27, 121–129. [Google Scholar] [CrossRef]
- Sepehri, M.; Apel, D.B.; Adeeb, S.; Leveille, P.; Hall, R.A. Evaluation of mining-induced energy and rockburst prediction at a diamond mine in Canada using a full 3D elastoplastic finite element model. Eng. Geol. 2020, 266, 105209. [Google Scholar] [CrossRef]
- Yuan, L.; Jiang, Y.D.; He, X.Q.; Dou, L.M.; Zhao, Y.X.; Zhao, X.S.; Wang, K.; Yu, Q.; Lu, X.M.; Li, H.C. Research progress of precise risk accurate identification and monitoring early warning on typical dynamic disasters in coal mine. J. China Coal Soc. 2018, 43, 306–318. [Google Scholar]
- Qiu, L.M.; Zhu, Y.; Song, D.Z.; He, X.Q.; Wang, W.X.; Liu, Y.; Xiao, Y.Z.; Wei, M.H.; Yin, S.; Liu, Q. Study on the nonlinear characteristics of EMR and AE during coal splitting tests. Minerals 2022, 12, 108. [Google Scholar] [CrossRef]
- Qiu, L.M.; Liu, Z.T.; Wang, E.Y.; He, X.Q.; Feng, J.J.; Li, B.L. Early-warning of rock burst in coal mine by low-frequency electromagnetic radiation. Eng. Geol. 2020, 279, 105755. [Google Scholar] [CrossRef]
- Vallianatos, F.; Tzanis, A. Electric current generation associated with the deformation rate of a solid: Preseismic and coseismic signals. Phys. Chem. Earth 1998, 23, 933–939. [Google Scholar] [CrossRef]
- Stavrakas, I.; Anastasiadis, C.; Triantis, D.; Vallianatos, F. Piezo stimulated currents in marble samples: Precursory and concurrent-with-failure signals. Nat. Hazards Earth Syst. Sci. 2003, 3, 243–247. [Google Scholar] [CrossRef]
- Stavrakas, I.; Kourkoulis, S.; Triantis, D. Damage evolution in marble under uniaxial compression monitored by pressure stimulated currents and acoustic emissions. Fract. Struct. Integr. 2019, 13, 573–583. [Google Scholar] [CrossRef]
- Triantis, D.; Stavrakas, I.; Anastasiadis, C.; Kyriazopoulos, A.; Vallianatos, F. An analysis of pressure stimulated currents (PSC), in marble samples under mechanical stress. Phys. Chem. Earth 2006, 31, 234–239. [Google Scholar] [CrossRef]
- Freund, F.T.; Takeuchi, A.; Lau, B.W. Electric currents streaming out of stressed igneous rocks—A step towards understanding pre-earthquake low frequency EM emissions. Phys. Chem. Earth 2006, 31, 389–396. [Google Scholar] [CrossRef]
- Freund, F.; Ouillon, G.; Scoville, J.; Sornette, D. Earthquake precursors in the light of peroxy defects theory: Critical review of systematic observations. Eur. Phys. J.-Spec. Top. 2021, 230, 7–46. [Google Scholar] [CrossRef]
- Li, D.X.; Wang, E.Y.; Li, Z.H.; Ju, Y.Q.; Wang, D.M.; Wang, X.Y. Experimental investigations of pressure stimulated currents from stressed sandstone used as precursors to rock fracture. Int. J. Rock Mech. Min. Sci. 2021, 145, 104841. [Google Scholar] [CrossRef]
- Kyriazopoulos, A.; Anastasiadis, C.; Triantis, D.; Brown, C.J. Non-destructive evaluation of cement-based materials from pressure-stimulated electrical emission—Preliminary results. Constr. Build. Mater. 2011, 25, 1980–1990. [Google Scholar] [CrossRef]
- Freund, F.T. Pre-earthquake signals: Underlying physical processes. J. Asian Earth Sci. 2011, 41, 383–400. [Google Scholar] [CrossRef]
- Scoville, J.; Sornette, J.; Freund, F.T. Paradox of peroxy defects and positive holes in rocks Part II: Outflow of electric currents from stressed rocks. J. Asian Earth Sci. 2015, 114, 338–351. [Google Scholar] [CrossRef]
- He, M.; Li, Z.H.; Liu, J.; Liu, Y.J. Experimental study on surface current of coal under uniaxial compression. J. China Coal Soc. 2013, 38, 966–969. [Google Scholar]
- Li, Z.H.; Wang, E.Y.; He, M. Laboratory studies of electric current generated during fracture of coal and rock in rock burst coal mine. J. Min. 2015, 2015, 235636. [Google Scholar] [CrossRef]
- Li, D.X.; Wang, E.Y.; Ju, Y.Q.; Wang, D.M. Laboratory investigations of a new method using pressure stimulated currents to monitor concentrated stress variations in coal. Nat. Resour. Res. 2021, 30, 707–724. [Google Scholar] [CrossRef]
- Li, D.X.; Wang, E.Y.; Yue, J.H.; Zhang, X.; Wang, D.M.; Ju, Y.Q. A weak current technique for coal and rock dynamic disaster prediction and its application. Chin. J. Rock Mech. Eng. 2022, 4, 764–774. [Google Scholar]
- Kong, X.G.; He, D.; Liu, X.F.; Wang, E.Y.; Li, S.G.; Liu, T.; Ji, P.F.; Deng, D.Y.; Yang, S.R. Strain characteristics and energy dissipation laws of gas-bearing coal during impact fracture process. Energy 2022, 242, 123028. [Google Scholar] [CrossRef]
- Kong, X.G.; Wang, E.Y.; Li, S.G.; Lin, H.F.; Xiao, P.; Zhang, K.Z. Fractals and chaos characteristics of acoustic emission energy about gas-bearing coal during loaded failure. Fractals 2019, 27, 1950072. [Google Scholar] [CrossRef]
- Liu, G.J.; Mu, Z.L.; Du, J.L. Investigation of coal burst characteristics under impact loading. Int. J. Oil Gas Coal Technol. 2018, 18, 118–145. [Google Scholar] [CrossRef]
- Feng, X.J.; Ding, Z.; Ju, Y.Q.; Zhang, Q.M.; Ali, M. “Double peak” of dynamic strengths and acoustic emission responses of coal masses under dynamic loading. Nat. Resour. Res. 2022, 31, 1705–1720. [Google Scholar] [CrossRef]
- Yang, S.L.; Yue, H.; Chen, X.L.; Zhai, R.H.; Zhang, S. Experimental study on damage evolution characteristics of coal samples under impact load under different surrounding pressures. Lithosphere 2022, S11, 106154. [Google Scholar] [CrossRef]
- Xu, X.M.; Wang, Q.; Liu, H.; Zhao, W.W.; Zhang, Y.H.; Wang, C. Experimental investigation on the characteristics of transient electromagnetic radiation during the dynamic fracturing progress of gas-bearing coal. J. Geophys. Eng. 2020, 17, 799–812. [Google Scholar] [CrossRef]
- Barton, N. Suggested methods for the quantitative description of discontinuities in rock masses. International Society for Rock Mechanics. Int. J. Rock Mech. Min. Sci. Geomech. Abstr. 1978, 15, 319–368. [Google Scholar]
- Feynman, R. The Feynman Lectures on Physics; Addison Wesley: Boston, MA, USA, 1970; Volume I. [Google Scholar]
- Li, D.X. Study on the Weak Current Effect and Its Mechanism of Stressed Coal during Damage; China University of Mining and Technology: Xuzhou, China, 2021. [Google Scholar]
- Tsallis, C. Possible generalization of Boltzmann-Gibbs statistics. J. Stat. Phys. 1988, 52, 479. [Google Scholar] [CrossRef]
- Vallianatos, F.; Triantis, D. Is pressure stimulated current relaxation in amphibolite a case of non-extensivity? Europhys. Lett. 2012, 99, 18006. [Google Scholar] [CrossRef]
- Vallianatos, F.; Triantis, D. A non-extensive view of the Pressure Stimulated Current relaxation during repeated abrupt uniaxial load-unload in rock samples. Europhys. Lett. 2013, 104, 68002. [Google Scholar] [CrossRef]
- Stergiopoulos, C.; Stavrakas, I.; Triantis, D.; Vallianatos, F.; Stonham, J. Predicting fracture of mortar beams under three-point bending using non-extensive statistical modeling of electric emissions. Physica A 2015, 419, 603–611. [Google Scholar] [CrossRef]
- Li, D.X.; Wang, E.Y.; Kong, X.G.; Ali, M.; Wang, D.M. Mechanical behaviors and acoustic emission fractal characteristics of coal specimens with a pre-existing flaw of various inclinations under uniaxial compression. Int. J. Rock Mech. Min. Sci. 2019, 116, 38–51. [Google Scholar] [CrossRef]
- Fischer-Cripps, A.C. The Electronics Companion; CRC Press: Boca Raton, FL, USA, 2004. [Google Scholar]













| Drop Height/m | Background Current/nA | Peak Current/nA | Stable Current/nA |
|---|---|---|---|
| 0.1 | 0.5 | 5.4 | 0.7 |
| 0.2 | 0.6 | 8.1 | 1.0 |
| 0.4 | 0.6 | 10.7 | 1.0 |
| 0.5 | 1.0 | 11.9 | 1.1 |
| 0.6 | 0.4 | 12.4 | 0.6 |
| 0.8 | 0.6 | 15.3 | 0.6 |
| 1.0 | 1.0 | 16.4 | 1.2 |
| 1.5 | 0.5 | 17.6 | 0.5 |
| Drop Height/m | Transient Current/nA | |||
|---|---|---|---|---|
| CIL01 | CIL02 | CIL03 | Average | |
| 0.1 | 3.8 | 4.9 | 4.3 | 4.3 |
| 0.2 | 9.4 | 7.5 | 7.4 | 8.1 |
| 0.4 | 13.1 | 10.1 | 10.6 | 11.5 |
| 0.5 | 14.4 | 10.9 | 12.1 | 12.5 |
| 0.6 | 13.5 | 12.0 | 14 | 13.2 |
| 0.8 | 15.6 | 14.7 | 14.8 | 15.0 |
| 1.0 | 14.7 | 15.4 | 17.2 | 15.8 |
| 1.5 | 19.5 | 17.1 | 16.3 | 17.6 |
Disclaimer/Publisher’s Note: The statements, opinions and data contained in all publications are solely those of the individual author(s) and contributor(s) and not of MDPI and/or the editor(s). MDPI and/or the editor(s) disclaim responsibility for any injury to people or property resulting from any ideas, methods, instructions or products referred to in the content. |
© 2023 by the authors. Licensee MDPI, Basel, Switzerland. This article is an open access article distributed under the terms and conditions of the Creative Commons Attribution (CC BY) license (https://creativecommons.org/licenses/by/4.0/).
Share and Cite
Li, D.; Wang, E.; Jin, D.; Wang, D.; Liang, W. Response Characteristics of Weak Current Stimulated from Coal under an Impact Load and Its Generation Mechanism. Sustainability 2023, 15, 2605. https://doi.org/10.3390/su15032605
Li D, Wang E, Jin D, Wang D, Liang W. Response Characteristics of Weak Current Stimulated from Coal under an Impact Load and Its Generation Mechanism. Sustainability. 2023; 15(3):2605. https://doi.org/10.3390/su15032605
Chicago/Turabian StyleLi, Dexing, Enyuan Wang, Dianqi Jin, Dongming Wang, and Wei Liang. 2023. "Response Characteristics of Weak Current Stimulated from Coal under an Impact Load and Its Generation Mechanism" Sustainability 15, no. 3: 2605. https://doi.org/10.3390/su15032605
APA StyleLi, D., Wang, E., Jin, D., Wang, D., & Liang, W. (2023). Response Characteristics of Weak Current Stimulated from Coal under an Impact Load and Its Generation Mechanism. Sustainability, 15(3), 2605. https://doi.org/10.3390/su15032605

