Effects of Surge Tank Geometry on the Water Hammer Phenomenon: Numerical Investigation
Abstract
1. Introduction
1.1. Overview of Power Plant Model
1.2. Equations Governing Transient Flows
1.3. Overview of MOC
1.4. Boundary Conditions
1.5. Upstream Reservoir
1.6. Branch Connection of Three Pipes

1.7. Surge Tank
1.8. Series Connection
1.9. Downstream Valve
1.10. Model Validation
2. Results and Discussion
2.1. Response of Surge Tank
2.2. Response of Surge Tank Due to Inlet Diameter Variation
2.3. Response of Surge Tank Due to Variations of Tank Cross-Sections
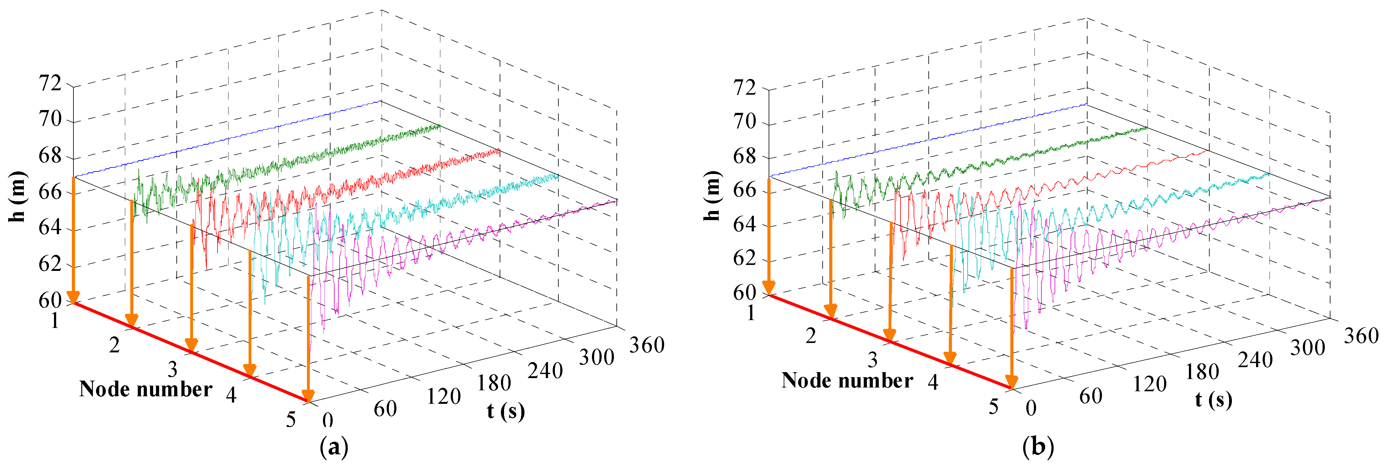
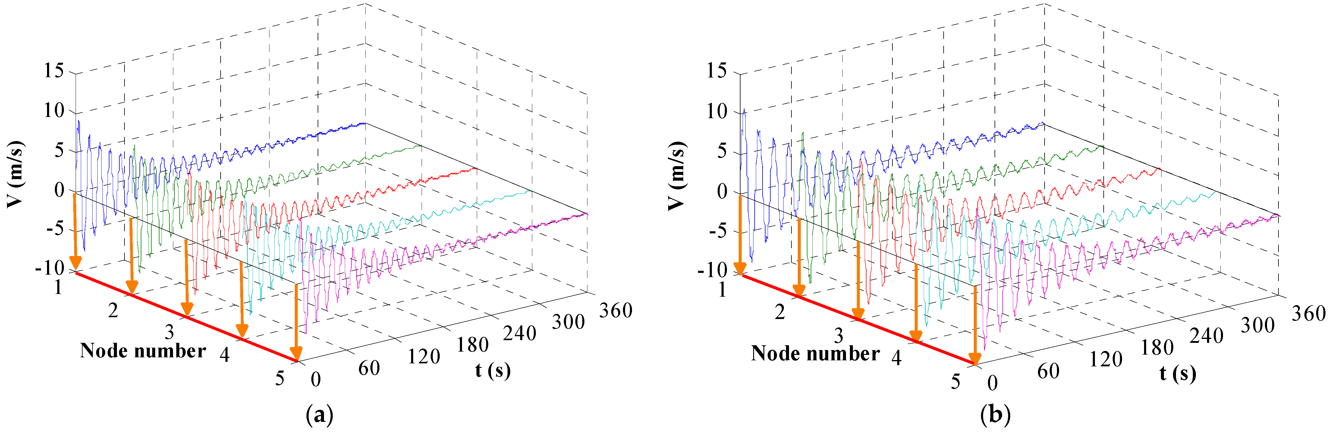
2.4. Transient Flow Upstream of the Surge Tank
2.5. Effects of Surge Tank Inlet Diameter on Transient Flow Upstream of the Surge Tank
2.6. Effects of Surge Tank Diameter on the Transient Flow Upstream of the Surge Tank
2.7. Simultaneous Effects of Surge Tank Characteristics on the Surge Tank Response
2.8. Simultaneous Effects of Surge Tank Characteristics on the Response of Upstream
3. Conclusions
- -
- Although the maximum fluctuation of head pressure in the surge tank for d = 2.72 m and 3.40 m remained constant values, head pressure for d of 2.72 m had lower fluctuations than that of d = 3.40 m.
- -
- Results of MOC simulations indicated that variations of the maximum values of head pressure fluctuations in the surge tank decreased as the surge tank diameter became larger.
- -
- At upstream of the surge tank (nodes 5 to 1), maximum values of head pressure and maximum values of transient flow velocity had downward and upward trends, respectively.
- -
- The maximum values of fluctuation in the head pressure indicated a decreasing trend and then these variations were stable with variations of d values. Fluctuations of flow velocity in the pipeline of the surge tank upstream had a decreasing trend as d values decreased. Furthermore, the upward trend of head pressure fluctuations at the surge tank upstream remained constant with variations in surge tank diameter. For all diameters of the surge tank, minimum values of head pressure fluctuations took place for d = 4.08 m.
- -
- Design of the surge tank with low D and high d causes the reduction of construction costs in a way that head pressure fluctuations in the surge tank and flow velocity in the pipeline decreased. In this state, fluctuations of head pressure in the middle sections of the pipeline upstream stood at the maximum level, and, additionally, negative consequences of the water hammer need to be prevented. Furthermore, the design of the surge tank with high values of D and d, the risk of water hammer at the vicinity of the surge tank is higher than other sections of the pipeline upstream.
Author Contributions
Funding
Institutional Review Board Statement
Informed Consent Statement
Data Availability Statement
Acknowledgments
Conflicts of Interest
References
- Wan, W.; Huang, W. Investigation on complete characteristics and hydraulic transient of centrifugal pump. J. Mech. Sci. Technol. 2011, 25, 2583–2590. [Google Scholar] [CrossRef]
- Hur, J.; Kim, S.; Kim, H. Water hammer analysis that uses the impulse response method for a reservoir-pump pipeline system. J. Mech. Sci. Technol. 2017, 31, 4833–4840. [Google Scholar] [CrossRef]
- Kim, S.G.; Lee, K.B.; Kim, K.Y. Water hammer in the pump-rising pipeline system with an air chamber. J. Hydrodyn. 2014, 26, 960–964. [Google Scholar] [CrossRef]
- Rohani, M.; Afshar, M.H. Simulation of transient flow caused by pump failure: Point-Implicit Method of Characteristics. Ann. Nucl. Energy 2010, 37, 1742–1750. [Google Scholar] [CrossRef]
- Guo, W.; Yang, J.; Teng, Y. Surge wave characteristics for hydropower station with upstream series double surge tanks in load rejection transient. Renew. Energy 2017, 108, 488–501. [Google Scholar] [CrossRef]
- Liu, J.; Zhang, J.; Chen, S.; Yu, X. Investigation on maximum upsurge and air pressure of air cushion surge chamber in hydropower stations. J. Press. Vessel. Technol. 2017, 139, 031603. [Google Scholar] [CrossRef]
- Riasi, A.; Tazraei, P. Numerical analysis of the hydraulic transient response in the presence of surge tanks and relief valves. Renew. Energy 2017, 107, 138–146. [Google Scholar] [CrossRef]
- Duan, H.F.; Tung, Y.K.; Ghidaoui, M.S. Probabilistic analysis of transient design for water supply systems. J. Water Resour. Plan. Manag. 2010, 136, 678–687. [Google Scholar] [CrossRef]
- Kim, S.H. Design of surge tank for water supply systems using the impulse response method with the GA algorithm. J. Mech. Sci. Technol. 2010, 24, 629–636. [Google Scholar] [CrossRef]
- Collins, R.P.; Boxall, J.B.; Karney, B.W.; Brunone, B.; Meniconi, S. How severe can transients be after a sudden depressurization? J. -Am. Water Work. Assoc. 2012, 104, 243–251. [Google Scholar] [CrossRef]
- Zhang, B.; Wan, W.; Shi, M. Experimental and numerical simulation of water hammer in gravitational pipe flow with continuous air entrainment. Water 2018, 10, 928. [Google Scholar] [CrossRef]
- Bettaieb, N.; Taieb, E.H. Assessment of Failure Modes Caused by Water Hammer and Investigation of Convenient Control Measures. J. Pipeline Syst. Eng. Pract. 2020, 11, 04020006. [Google Scholar] [CrossRef]
- Behbahani-Nejad, M.; Bagheri, A. The accuracy and efficiency of a MATLAB-Simulink library for transient flow simulation of gas pipelines and networks. J. Pet. Sci. Eng. 2010, 70, 256–265. [Google Scholar] [CrossRef]
- Esmaeilzadeh, F.; Mowla, D.; Asemani, M. Mathematical modeling and simulation of pigging operation in gas and liquid pipelines. J. Pet. Sci. Eng. 2009, 69, 100–106. [Google Scholar] [CrossRef]
- Wan, W.; Zhang, B. Investigation of water hammer protection in water supply pipeline systems using an intelligent self-controlled surge tank. Energies 2018, 11, 1450. [Google Scholar] [CrossRef]
- Wan, W.; Zhang, B.; Chen, X.; Lian, J. Water hammer control analysis of an intelligent surge tank with spring self-adaptive auxiliary control system. Energies 2019, 12, 2527. [Google Scholar] [CrossRef]
- Bazargan-Lari, M.R.; Kerachian, R.; Afshar, H.; Bashi-Azghadi, S.N. Developing an optimal valve closing rule curve for real-time pressure control in pipes. J. Mech. Sci. Technol. 2013, 27, 215–225. [Google Scholar] [CrossRef]
- Zhou, J.; Xu, Y.; Zheng, Y.; Zhang, Y. Optimization of guide vane closing schemes of pumped storage hydro unit using an enhanced multi-objective gravitational search algorithm. Energies 2017, 10, 911. [Google Scholar] [CrossRef]
- Wan, W.; Li, F. Sensitivity analysis of operational time differences for a pump–valve system on a water hammer response. J. Press. Vessel. Technol. 2016, 138, 011303. [Google Scholar] [CrossRef]
- Karadžić, U.; Bulatović, V.; Bergant, A. Valve-induced water hammer and column separation in a pipeline apparatus. Stroj. Vestn. J. Mech. Eng. 2014, 60, 742–754. [Google Scholar] [CrossRef]
- Hoeller, S.; Jaberg, H. A contribution to water hammer analysis in pumped-storage power plants. Wasserwirtsch. Hydrol. Wasserbau Hydromechanik Gewässer Ökol. Boden 2013, 103, 78–84. [Google Scholar]
- Vasconcelos, J.G.; Klaver, P.R.; Lautenbach, D.J. Flow regime transition simulation incorporating entrapped air pocket effects. Urban Water J. 2015, 12, 488–501. [Google Scholar] [CrossRef]
- Wang, C.; Yang, J.D. Water hammer simulation using explicit–implicit coupling methods. J. Hydraul. Eng. 2015, 141, 04014086. [Google Scholar] [CrossRef]
- Dhakal, R.; Zhou, J.; Palikhe, S.; Bhattarai, K.P. Hydraulic Optimization of Double Chamber Surge Tank Using NSGA-II. Water 2020, 12, 455. [Google Scholar] [CrossRef]
- Guo, Q.; Zhou, J.; Li, Y.; Guan, X.; Liu, D.; Zhang, J. Fluid-Structure Interaction Response of a Water Conveyance System with a Surge Chamber during Water Hammer. Water 2020, 12, 1025. [Google Scholar] [CrossRef]
- Kubrak, M.; Malesińska, A.; Kodura, A.; Urbanowicz, K.; Bury, P.; Stosiak, M. Water Hammer Control Using Additional Branched HDPE Pipe. Energies 2021, 14, 8008. [Google Scholar] [CrossRef]
- Zhang, K.; Zeng, W.; Simpson, A.R.; Zhang, S.; Wang, C. Water Hammer Simulation Method in Pressurized Pipeline with a Moving Isolation Device. Water 2021, 13, 1794. [Google Scholar] [CrossRef]
- Chaudhry, M.H. Applied Hydraulic Transients, 3rd ed.Springer: New York, NY, USA, 2014. [Google Scholar]
- Bergant, A.; Simpson, A.R.; Vìtkovsk, J. Developments in unsteady pipe flow friction modelling. J. Hydraul. Res. 2001, 39, 249–257. [Google Scholar] [CrossRef]
- Pal, S.; Hanmaiahgari, P.R.; Karney, B.W. An Overview of the Numerical Approaches to Water Hammer Modelling: The Ongoing Quest for Practical and Accurate Numerical Approaches. Water 2021, 13, 1597. [Google Scholar] [CrossRef]


















| Node Number | d (m) | vmax (m/s) | vmin (m/s) | vmax − vmin (m/s) |
|---|---|---|---|---|
| 1 | 2.72 | 8.69 | −8.91 | 17.60 |
| 3.40 | 9.64 | −8.88 | 18.52 | |
| 4.08 | 10.26 | −8.80 | 19.06 | |
| 2 | 2.72 | 8.67 | −8.16 | 16.83 |
| 3.40 | 9.57 | −8.75 | 18.32 | |
| 4.08 | 10.15 | −8.61 | 18.76 | |
| 3 | 2.72 | 8.50 | −7.92 | 16.42 |
| 3.40 | 9.39 | −8.04 | 17.43 | |
| 4.08 | 9.88 | −8.24 | 18.12 | |
| 4 | 2.72 | 8.46 | −7.65 | 16.11 |
| 3.40 | 9.02 | −7.78 | 16.80 | |
| 4.08 | 9.31 | −8.33 | 17.64 | |
| 5 | 2.72 | 8.34 | −6.96 | 15.30 |
| 3.40 | 8.78 | −7.47 | 16.25 | |
| 4.08 | 8.99 | −7.75 | 16.74 |
| D (m) | d (m) | ||
| 2.72 | 3.40 | 4.08 | |
| 4.8 | 9.27 | 9.54 | 9.30 |
| 6.0 | 9.10 | 9.10 | 8.95 |
| 7.2 | 8.88 | 8.77 | 8.66 |
| D (m) | d (m) | ||
| 2.72 | 3.40 | 4.08 | |
| 4.8 | 18.12 | 10.66 | 7.03 |
| 6.0 | 20.63 | 13.76 | 9.23 |
| 7.2 | 24.67 | 16.75 | 11.15 |
| D (m) | |||||||||
| Node Number | 4.8 | 6.0 | 7.2 | ||||||
| d (m) | d (m) | d (m) | |||||||
| 2.72 | 3.40 | 4.08 | 2.72 | 3.40 | 4.08 | 2.72 | 3.40 | 4.08 | |
| 1 | 0 | 0 | 0 | 0 | 0 | 0 | 0 | 0 | 0 |
| 2 | 3.21 | 3.13 | 2.95 | 3.13 | 2.99 | 2.87 | 3.06 | 2.89 | 2.69 |
| 3 | 4.73 | 4.79 | 5.03 | 5.10 | 4.64 | 4.82 | 4.96 | 4.81 | 4.62 |
| 4 | 6.86 | 6.81 | 6.96 | 6.74 | 6.62 | 6.96 | 6.90 | 6.80 | 6.66 |
| 5 | 9.23 | 9.17 | 9.16 | 8.73 | 8.62 | 9.00 | 8.45 | 8.71 | 8.94 |
| D (m) | |||||||||
| Node Number | 4.8 | 6.0 | 7.2 | ||||||
| d (m) | d (m) | d (m) | |||||||
| 2.72 | 3.40 | 4.08 | 2.72 | 3.40 | 4.08 | 2.72 | 3.40 | 4.08 | |
| 1 | 15.42 | 16.80 | 16.11 | 17.61 | 18.52 | 19.07 | 17.97 | 19.37 | 20.38 |
| 2 | 15.23 | 16.46 | 15.65 | 16.83 | 18.32 | 18.75 | 17.58 | 19.11 | 20.25 |
| 3 | 14.94 | 16.09 | 15.27 | 16.42 | 17.44 | 18.12 | 17.01 | 18.57 | 20.03 |
| 4 | 14.55 | 15.58 | 14.69 | 16.11 | 16.81 | 17.64 | 16.71 | 18.00 | 18.62 |
| 5 | 14.30 | 14.70 | 13.72 | 15.30 | 16.25 | 16.74 | 16.60 | 17.87 | 18.18 |
Disclaimer/Publisher’s Note: The statements, opinions and data contained in all publications are solely those of the individual author(s) and contributor(s) and not of MDPI and/or the editor(s). MDPI and/or the editor(s) disclaim responsibility for any injury to people or property resulting from any ideas, methods, instructions or products referred to in the content. |
© 2023 by the authors. Licensee MDPI, Basel, Switzerland. This article is an open access article distributed under the terms and conditions of the Creative Commons Attribution (CC BY) license (https://creativecommons.org/licenses/by/4.0/).
Share and Cite
Mahmoudi-Rad, M.; Najafzadeh, M. Effects of Surge Tank Geometry on the Water Hammer Phenomenon: Numerical Investigation. Sustainability 2023, 15, 2312. https://doi.org/10.3390/su15032312
Mahmoudi-Rad M, Najafzadeh M. Effects of Surge Tank Geometry on the Water Hammer Phenomenon: Numerical Investigation. Sustainability. 2023; 15(3):2312. https://doi.org/10.3390/su15032312
Chicago/Turabian StyleMahmoudi-Rad, Mohammad, and Mohammad Najafzadeh. 2023. "Effects of Surge Tank Geometry on the Water Hammer Phenomenon: Numerical Investigation" Sustainability 15, no. 3: 2312. https://doi.org/10.3390/su15032312
APA StyleMahmoudi-Rad, M., & Najafzadeh, M. (2023). Effects of Surge Tank Geometry on the Water Hammer Phenomenon: Numerical Investigation. Sustainability, 15(3), 2312. https://doi.org/10.3390/su15032312
