Biochar Integrated Nutrient Application Improves Crop Productivity, Sustainability and Profitability of Maize–Wheat Cropping System
Abstract
1. Introduction
2. Materials and Methods
2.1. Location of Study
Biochar Production and Characterization
2.2. Treatment Detail
2.3. Edaphic Factors and Sowing of the Crop
2.4. Crop Management Practices and Measurement
2.4.1. Dry Matter Accumulation (g)
2.4.2. Yield Parameters
2.4.3. System Productivity
2.4.4. Economic Analysis
2.4.5. Statistical Analysis
2.5. Analytical Procedure
2.5.1. Grain Protein and Carbohydrate Content (%)
2.5.2. Nutrient Analysis
3. Results
3.1. Dry Matter Accumulation
3.2. Yield Parameters
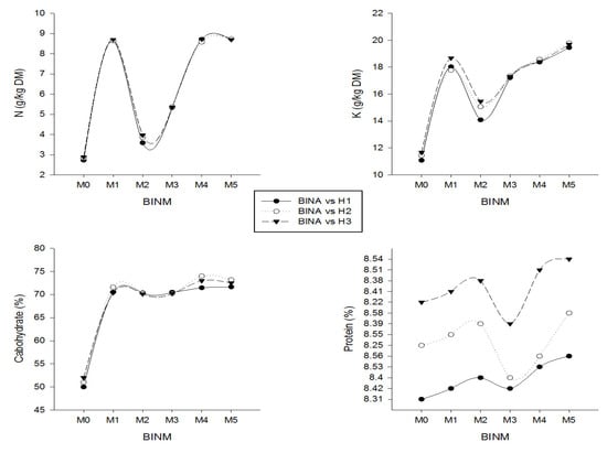
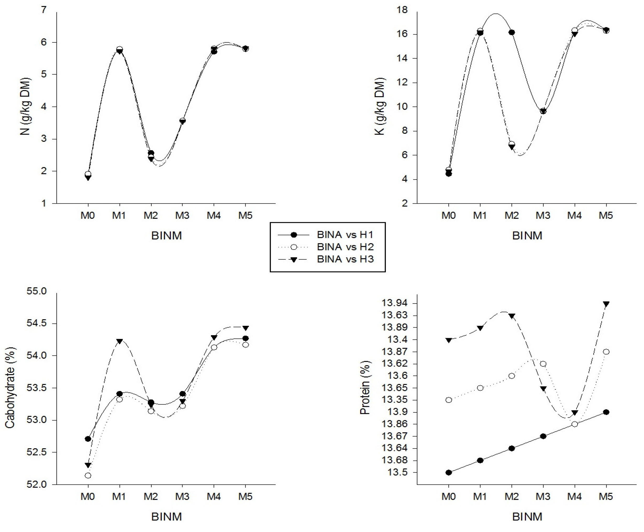
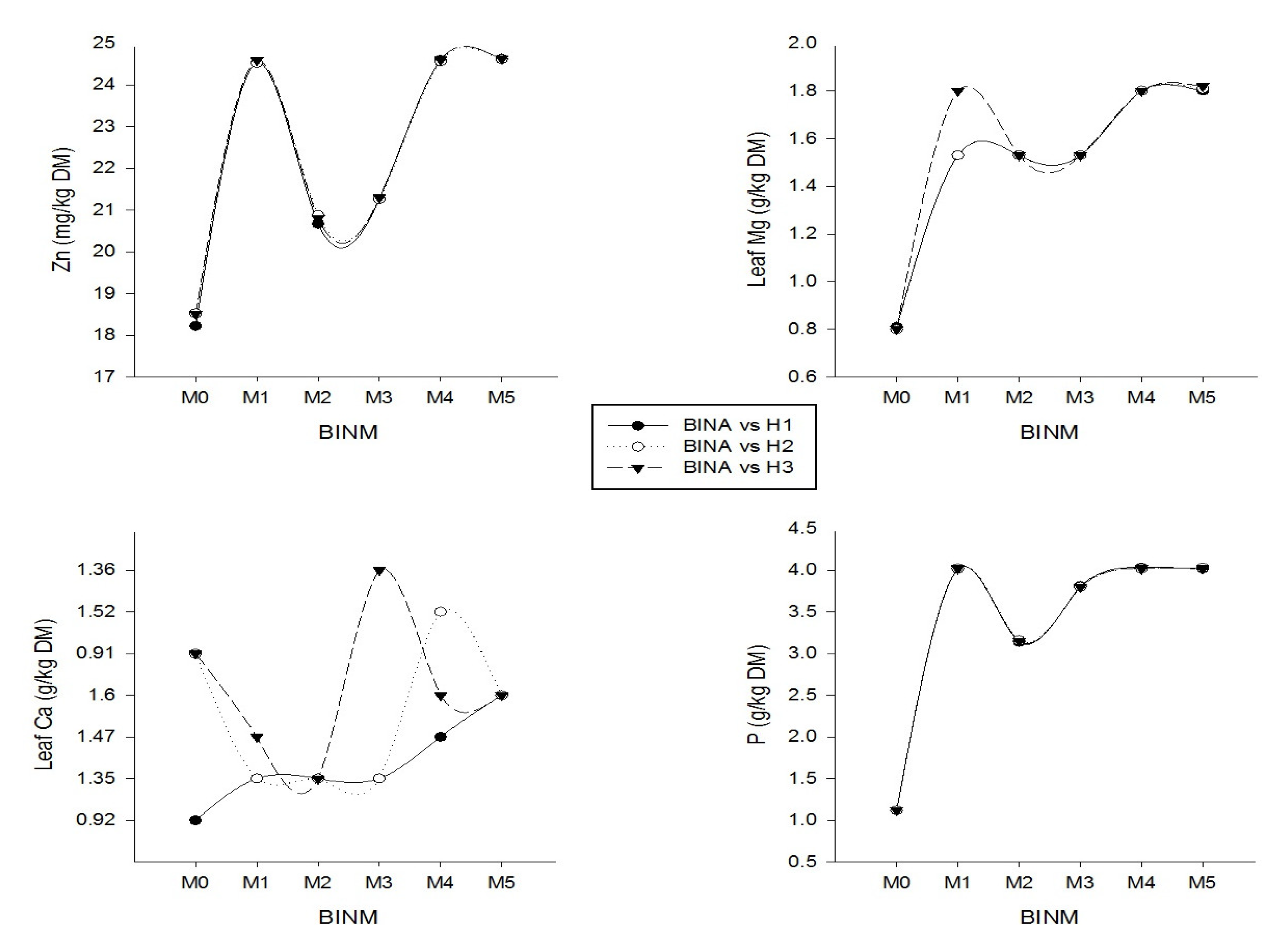
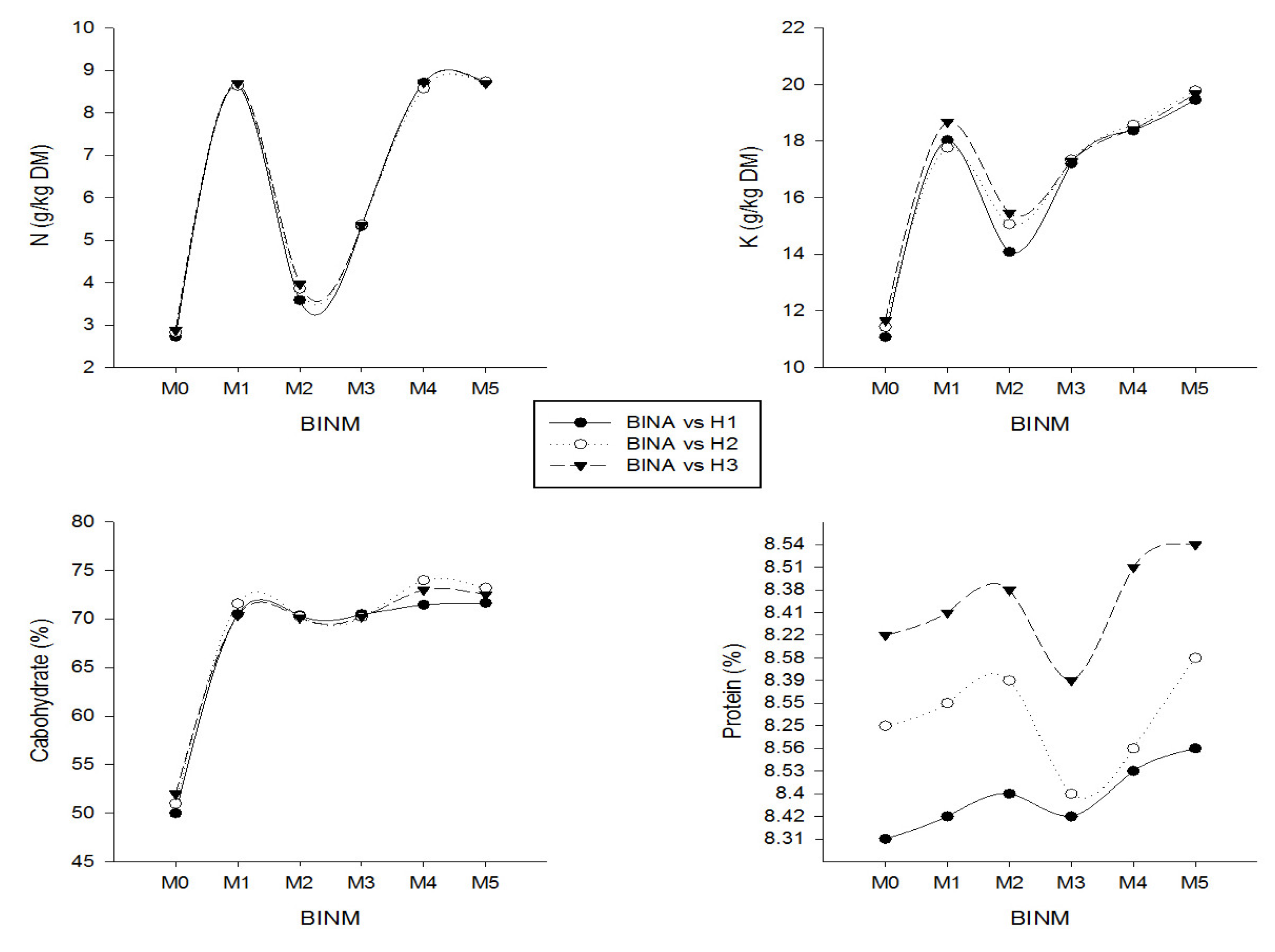
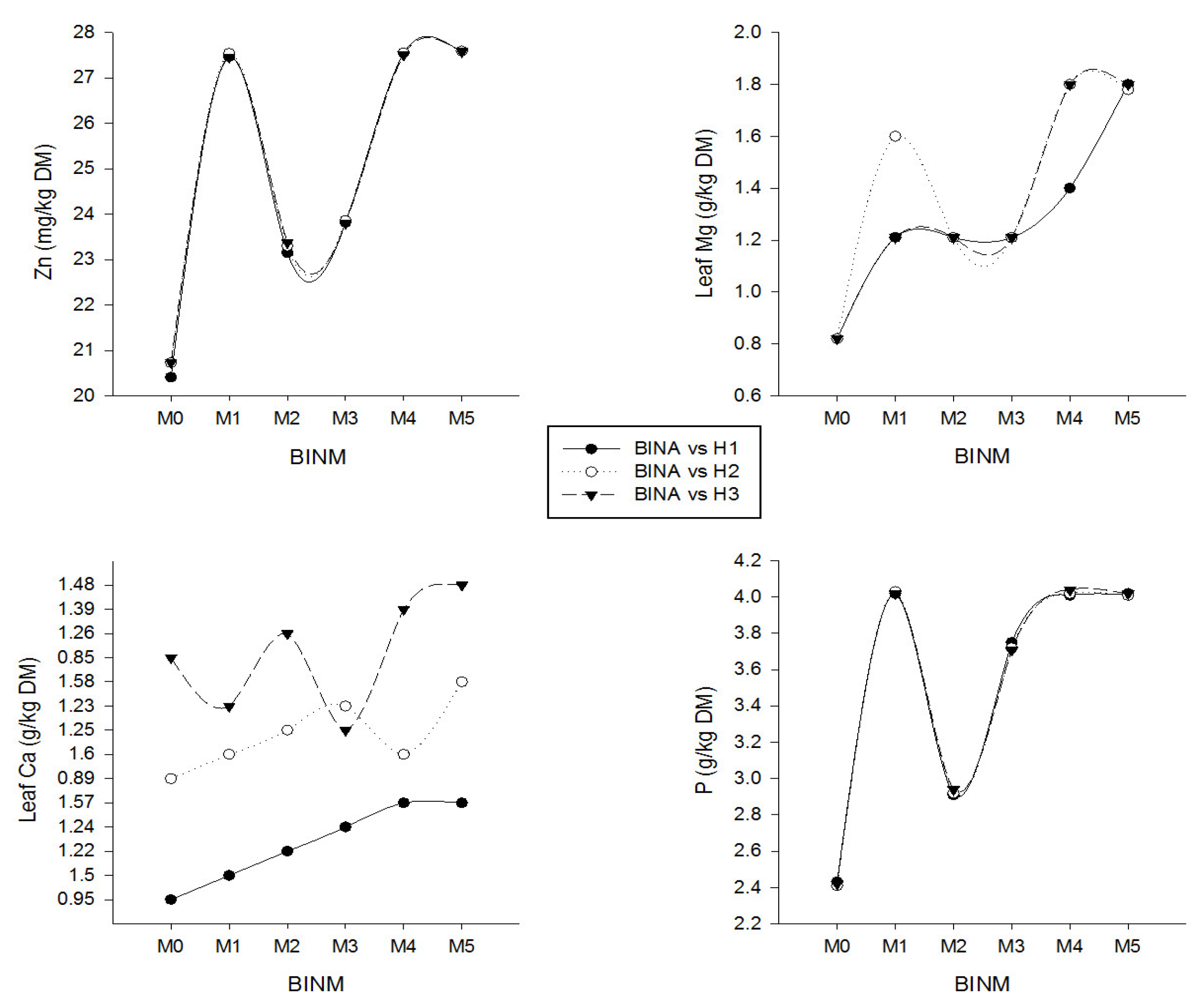
3.3. Nutrients Uptake and Grain Quality
3.4. Economic Analysis
3.5. System Productivity
4. Discussion
5. Conclusions
Author Contributions
Funding
Institutional Review Board Statement
Informed Consent Statement
Data Availability Statement
Acknowledgments
Conflicts of Interest
References
- Wang, X.; Zhang, J.; Shamsuddin, S.; Xia, X.; He, R.; Shang, M. Catastrophe theory to assess water security and adaptation strategy in the context of environmental change. Mitig. Adapt. Strateg. Glob. Chang. 2014, 19, 463–477. [Google Scholar]
- Sarwar, N.; Atique, R.; Omer, F.; Allah, W.; Mubshar, H.; Ahmed, S.; Shakeel, A.; Marian, B.; Samy, F.M.; Marek, Z.; et al. Integrated nitrogen management improves productivity and economic returns of wheat-maize cropping system. J. King Saud Uni. Sci. 2022, 33, 101475. [Google Scholar] [CrossRef]
- Bhatt, R.; Singh, P.; Hossain, A.; Timsina, J. Rice–wheat system in the northwest Indo-Gangetic plains of South Asia: Issues and technological interventions for increasing productivity and sustainability. Paddy Water Environ. 2021, 19, 345–365. [Google Scholar] [CrossRef]
- He, H.; Li, D.; Pan, F.; Wang, F.; Wu, D.; Yang, S. Effects of Nitrogen Reduction and Optimized Fertilization Combined with Straw Return on Greenhouse Gas Emissions and Crop Yields of a Rice–Wheat Rotation System. Int. J. Plant Prod. 2022, 16, 669–679. [Google Scholar] [CrossRef]
- Khalofah, A.; Khan, M.I.; Arif, M.; Hussain, A.; Ullah, R.; Irfan, M.; Mahpara, S.; Shah, R.U.; Ansari, M.J.; Kintl, A.; et al. Deep placement of nitrogen fertilizer improves yield, nitrogen use efficiency and economic returns of transplanted fine rice. PLoS ONE 2021, 16, e0247529. [Google Scholar] [CrossRef]
- GOP. Economic Survey of Pakistan; Pakistan Bureau of Statistics: Islamabad, Pakistan, 2020. [Google Scholar]
- Cerquiglini, C.; Claro, J.; Giusti, A.M.; Karumathy, G.; Mancini, D.; Marocco, E.; Mascianá, P.; Michetti, M.; Milo, M. Food Outlook June 2016; Food and Agriculture Organization of the United Nations: Rome, Italy, 2016. [Google Scholar]
- Tahir, M.; Ali, A.; Nadeem, M.; Hussain, A.; Khalid, F. Effect of different sowing dates on growth and yield of wheat (Triticum aestivum L.) varieties in district Jhang, Pakistan. Pak. J. Life Soc. Sci. 2009, 7, 66–69. [Google Scholar]
- Shiferaw, B.; Smale, M.; Braun, H.J.; Duveiller, E.; Reynolds, M.; Muricho, G. Crops that feed the world 10. Past successes and future challenges to the role played by wheat in global food security. Food Secur. 2013, 5, 291–317. [Google Scholar] [CrossRef]
- Hussain, M.; Farooq, M.; Nawaz, A.; Al-Sadi, A.; Solaiman, Z.; Alghamdi, S.; Jawad, A.; Yong, S.; Siddique, K. Biochar for crop production: Potential benefits and risks. J. Soils Sediments 2017, 17, 685–716. [Google Scholar] [CrossRef]
- FAO. FAO Food Outlook 2013; FAO: Rome, Italy, 2013. [Google Scholar]
- Dixon, J.; Braun, H.-J.; Kosina, P.; Crouch, J.H. Wheat Facts and Futures 2009; Cimmyt: Mexico City, Mexico, 2009. [Google Scholar]
- Lehmann, J.; Rillig, M.C.; Thies, J.; Masiello, C.A.; Hockaday, W.C.; Crowley, D. Biochar effects on soil biota—A review. Soil Biol. Biochem. 2011, 43, 1812–1836. [Google Scholar] [CrossRef]
- Weber, K.; Quicker, P. Properties of biochar. Fuel 2018, 217, 240–261. [Google Scholar] [CrossRef]
- Adekiya, A.O.; Agbede, T.M.; Olayanju, A.; Ejue, W.S.; Adekanye, T.A.; Adenusi, T.T.; Ayeni, J.F. Effect of Biochar on Soil Properties, Soil Loss, and Cocoyam Yield on a Tropical Sandy Loam Alfisol. Sci. World J. 2020, 2020, 9391630. [Google Scholar] [CrossRef]
- Batool, A.; Taj, S.; Rashid, A.; Khalid, A.; Qadeer, S.; Saleem, A.; Ghufran, M. Potential of Soil Amendments (Biochar and Gypsum) in increasing Water Use Efficiency of Abelmoschus esculentus L. Moench. Front. Plant Sci. 2015, 6, 733. [Google Scholar] [CrossRef]
- Agegnehu, G.; Bass, A.M.; Nelson, P.N.; Bird, M.I. Benefits of biochar, compost and biochar–compost for soil quality, maize yield and greenhouse gas emissions in a tropical agricultural soil. Sci. Total Environ. 2016, 543, 295–306. [Google Scholar] [CrossRef]
- Pandit, N.R.; Mulder, J.; Hale, S.E.; Martinsen, V.; Schmidt, H.P.; Cornelissen, G. Biochar improves maize growth by alleviation of nutrient stress in a moderately acidic low-input Nepalese soil. Sci. Total Environ. 2018, 625, 1380–1389. [Google Scholar] [CrossRef]
- Kammann, C.I.; Schmidt, H.P.; Messerschmidt, N.; Linsel, S.; Steffens, D.; Müller, C.; Joseph, S. Plant growth improvement mediated by nitrate capture in co-composted biochar. Sci. Rep. 2015, 5, 11080. [Google Scholar] [CrossRef]
- Liang, B.; Lehmann, J.; Solomon, D.; Kinyangi, J.; Grossman, J.; O’neill, B.; Neves, E.G. Black carbon increases cation exchange capacity in soils. Soil Sci. Soc. Am. J. 2016, 70, 1719–1730. [Google Scholar] [CrossRef]
- Martinsen, V.; Mulder, J.; Shitumbanuma, V.; Sparrevik, M.; Børresen, T.; Cornelissen, G. Farmer-led maize biochar trials: Effect on crop yield and soil nutrients under conservation farming. J. Plant Nutr. Soil Sci. 2014, 177, 681–695. [Google Scholar] [CrossRef]
- Atkinson, C.J.; Fitzgerald, J.D.; Hipps, N.A. Potential mechanisms for achieving agricultural benefits from biochar application to temperate soils: A review. Plant Soil 2010, 33, 1–18. [Google Scholar] [CrossRef]
- Bharti, N.; Barnawal, D.; Shukla, S.; Tewari, S.K.; Katiyar, R.S.; Kalra, A. Integrated application of Exiguobacterium oxidotolerans, Glomus fasciculatum, and vermicompost improves growth, yield and quality of Mentha arvensis in salt-stressed soils. Ind. Crops Prod. 2016, 83, 717–728. [Google Scholar] [CrossRef]
- Ng, L.C.; Sariah, M.; Radziah, O.; Zainal Abidin, M.A.; Sariam, O. Development of microbial-fortified rice straw compost to improve plant growth, productivity, soil health, and rice blast disease management of aerobic rice. Compost Sci. Util. 2016, 24, 86–97. [Google Scholar] [CrossRef]
- Keteku, A.K.; Yeboah, S.; Agyemang, K.; Amegbor, I.; Danquah, E.O.; Amankwaa-Yeboah, P.; Dormatey, R.; Brempong, M.B. Evaluation of Carrier- and Liquid-Based Bioinoculant as a Promising Approach to Sustain Black Gram (Vigna mungo L.) Productivity. Int. J. Plant Prod. 2022, 16, 741–754. [Google Scholar] [CrossRef]
- Sarma, I.; Phookan, D.B.; Boruah, S. Influence of manures and biofertilizers oncarrot (Daucus carota L.) cv. early Nantes growth, yield and quality. J. Ecofriendly Agric. 2015, 10, 25–27. [Google Scholar]
- McLaughlin, H.; Anderson, P.S.; Shields, F.E.; Reed, T.B. All Biochars Are Not Created Equal, and How to Tell Them Apart? In Proceedings of the North American Biochar Conference, Boulder, CO, USA, 9–12 August 2009. [Google Scholar]
- Singh, B.; Singh, B.P.; Cowie, A.L. Characterization and evaluation of biochars for their application as a soil amendment. Austr. J. Soil Res. 2010, 48, 516–525. [Google Scholar] [CrossRef]
- Schouwenberg, V.J.C.H.; Walinge, I. Methods of Analysis for Plant Material; Agriculture University: Wageningen, The Netherlands, 1973. [Google Scholar]
- Chapman, H.D.; Pratt, P.F. Methods of Analysis for Soils, Plants and Water; University of California: Berkeley, CA, USA, 1961. [Google Scholar]
- CIMMYT. From Agronomic Data to Farmer Recommendations: An Economics Training Manual. Mexico. 1988. Available online: http://hdl.handle.net/10883/3842 (accessed on 1 January 2023).
- Steel, R.; Torrei, J.; Dickey, D. Principles and Procedures of Statistics— A Biometrical Approach; McGraw-Hill Kogakusha, Ltd.: New York, NY, USA, 1997. [Google Scholar]
- Wyszkowski, M.; Brodowska, M.S. Phytoextraction with Maize of Soil Contaminated with Copper after Application of Mineral and Organic Amendments. Agronomy 2020, 10, 1597. [Google Scholar] [CrossRef]
- Kalayu, G. Phosphate Solubilizing Microorganisms: Promising Approach as Biofertilizers. Int. J. Agron. 2019, 2019, 4917256. [Google Scholar] [CrossRef]
- Ghimire, R.; Bista, P.; Machado, S. Long-term Management Effects and Temperature Sensitivity of Soil Organic Carbon in Grassland and Agricultural Soils. Sci. Rep. 2019, 9, 12151. [Google Scholar] [CrossRef]
- Sarwar, N.; Atique, R.; Shakeel, A.; Mirza, H. Modern Techniques in Rice Crop Production; Springer: Berlin/Heidelberg, Germany, 2022. [Google Scholar]
- Jenberu, G. Biochar, Compost and Biochar-Compost: Effects on Crop Performance, Soil Quality and Greenhouse Gas Emissions in Tropical Agricultural Soils; James Cook University: Douglas, Australia, 2017. [Google Scholar]
- Adekiya, A.O.; Agbede, T.M.; Ejue, W.S.; Aboyeji, C.M.; Dunsin, O.; Aremu, C.O.; Adesola, O.O. Biochar, poultry manure and NPK fertilizer: Sole and combine application effects on soil properties and ginger (Zingiber officinale Roscoe) performance in a tropical Alfisol. Open Agric. 2020, 5, 30–39. [Google Scholar] [CrossRef]
- Karimi, A.; Moezzi, A.; Chorom, M.; Enayatizamir, N. Application of Biochar Changed the Status of Nutrients and Biological Activity in a Calcareous Soil. J. Soil Sci. Plant Nutr. 2020, 20, 450–459. [Google Scholar] [CrossRef]
- Rubin, R.L.; Anderson, T.R.; Ballantine, K.A. Biochar Simultaneously Reduces Nutrient Leaching and Greenhouse Gas Emissions in Restored Wetland Soils. Wetlands 2020, 40, 1981–1991. [Google Scholar] [CrossRef]
- Rodríguez-Vila, A.; Forján, R.; Guedes, R.S.; Covelo, E.F. Changes on the phytoavailability of nutrients in a mine soil reclaimed with compost and biochar. Water Air Soil Pollut. 2016, 227, 453. [Google Scholar] [CrossRef]
- Sahoo, G.; Wani, A.M.; Roul, P.K.; Dash, A.C. Effect of Integrated Nutrient Management on Dry Matter Accumulation and Nutrient Uptake by Maize (Variety-MS 2) under Poplar Agroforestry System. Int. J. Pl. Soil Sci. 2021, 33, 254–260. [Google Scholar] [CrossRef]
- Shareef, T.; Zhao, B. Review Paper: The Fundamentals of Biochar as a Soil Amendment Tool and Management in Agriculture Scope: An Overview for Farmers and Gardeners. J. Agricul. Chem. Environ. 2017, 6, 38–61. [Google Scholar] [CrossRef]
- Blanco-Canqui, H. Biochar and Soil Physical Properties. Soil Sci. Soc. Am. J. 2017, 81, 687–711. [Google Scholar] [CrossRef]
- Lu, J.; Hu, T.; Zhang, B.; Wang, L.; Yang, S.; Fan, J.; Yan, S.; Zhang, F. Nitrogen fertilizer management effects on soil nitrate leaching, grain yield and economic benefit of summer maize in Northwest China. Agric. Water Manag. 2021, 247, 106739. [Google Scholar] [CrossRef]
- Abbas, S.; Javed, M.T.; Ali, Q.; Chaudhary, H.J.; Rizwan, M. Alteration of Plant Physiology by the Application of Biochar for Remediation of Organic Pollutants. In Handbook of Bioremediation; Academic Press: Cambridge, MA, USA, 2021; pp. 475–492. [Google Scholar] [CrossRef]
- Ding, Y.; Liu, Y.; Liu, S.; Li, Z.; Tan, X.; Zeng, G.; Zhou, L.; Zheng, B. Biochar to improve soil fertility. A review. Agron. Sustain. Dev. 2016, 36, 36. [Google Scholar] [CrossRef]




| Parameters | Cotton Sticks | Biochar |
|---|---|---|
| pH | 7.06 | 8.1 |
| EC (dS/m) | 1.40 | 1.46 |
| N (%) | 1.22 | 0.57 |
| P (%) | 1.17 | 1.06 |
| K (%) | 0.89 | 0.80 |
| Zn (ppm) | 11.88 | 7.79 |
| Cu (ppm) | 2.0 | 0.84 |
| Fe (ppm) | 270 | 230 |
| Mn (ppm) | 11.5 | 6.45 |
| Volatile matter (%) | 39 | 22 |
| Ash (%) | 40 | 70 |
| Fixed carbon (%) | 15 | 28 |
| Maize (2018–2019) | Wheat (2018–2019) | Maize (2018–2019) | Wheat (2018–2019) | |||||||||
|---|---|---|---|---|---|---|---|---|---|---|---|---|
| Treat. | Stem DW (g) | Leaves DW (g) | Cobs DW(g) | Stem DW (g m-2) | Leaves DW (g m−2 ) | Spike DW (g m−2) | Stem DW (g) | Leaves DW (g) | Cobs DW(g) | Stem DW (g m−2) | Leaves DW (g m−2 ) | Spike DW (g m−2) |
| M0H1 | 50.31 i | 49.76 e | 91.34 i | 277.86 l | 113.40 k | 238.82 i | 50.25 k | 38.52 k | 91.12 k | 275.40 k | 154.05 j | 247.52 k |
| M1H1 | 76.63 e | 42.65 g | 106.05e | 470.31 f | 255.96 e | 546.16 e | 75.87 e | 49.30 e | 105.20 e | 460.08 e | 255.81 d | 416.00 e |
| M2H1 | 59.87 g | 44.54 f | 106.68 g | 365.44 j | 156.60 i | 348.88 g | 58.20 i | 41.87 i | 95.49 i | 356.40 i | 199.28 h | 324.48 i |
| M3H1 | 64.32 f | 51.00 c | 99.17 f | 406.52 i | 179.28 g | 400.80 f | 62.18 g | 43.54 g | 97.68 g | 401.76 h | 224.72 g | 361.92 h |
| M4H1 | 79.58 c | 51.35 bc | 107.70 c | 484.36 e | 275.40 bc | 581.47 c | 79.28 bc | 50.74bc | 107.07bc | 476.28 d | 267.12 c | 430.56 d |
| M5H1 | 80.38 bc | 39.26 h | 108.15bc | 501.66 c | 277.56 bc | 591.85 bc | 79.80 bc | 50.95bc | 107.36bc | 489.24 c | 271.36 c | 443.04 c |
| M0H2 | 51.86 h | 50.22 d | 92.21 h | 276.78 l | 113.40 k | 240.89 i | 52.29 j | 39.38 j | 92.25 j | 275.40 k | 154.05 j | 247.52 k |
| M1H2 | 77.72 d | 42.94 g | 106.66 d | 467.06 f | 259.20 de | 554.47 de | 77.35 d | 49.93 d | 106.02 d | 456.84 e | 254.40 d | 411.84 ef |
| M2H2 | 60.54 g | 44.36 f | 97.06 g | 366.52 j | 152.28 i | 353.03 g | 59.84 h | 42.56 h | 96.40 h | 356.40 i | 199.28 h | 324.48 i |
| M3H2 | 63.91 f | 51.67 ab | 98.94 f | 404.36 i | 192.24 f | 404.95 f | 63.35 fg | 44.03 fg | 98.32fg | 401.76 h | 224.72 g | 361.92 h |
| M4H2 | 81.15 ab | 51.88 a | 108.57ab | 489.77 de | 271.08 c | 581.47 c | 79.41bc | 50.79 bc | 107.14bc | 476.28 d | 267.12 c | 430.56 d |
| M5H2 | 81.63 a | 38.69 i | 108.84 a | 497.34 cd | 279.72 ab | 589.77 bc | 81.22 a | 51.55 a | 108.14 a | 489.24 c | 271.36 c | 443.04 c |
| M0H3 | 50.51 i | 38.69 i | 91.46 i | 323.27 k | 124.20 j | 257.51 h | 50.17 k | 38.49 k | 91.08 k | 317.52 j | 176.67 i | 289.12 j |
| M1H3 | 77.27 de | 50.03 de | 106.41 de | 535.18 b | 263.52 d | 558.62 d | 76.51 de | 49.57 de | 105.56 de | 521.64 b | 288.32 b | 474.24 b |
| M2H3 | 60.12 g | 42.76 g | 96.83 g | 420.57 h | 165.24 h | 357.19 g | 57.26 i | 41.47 i | 94.98 i | 412.56 g | 230.37 f | 372.32 g |
| M3H3 | 64.39 f | 44.57 f | 99.21 f | 458.41 g | 185.76 fg | 398.72 f | 64.44 f | 44.49 f | 98.92 f | 443.88 f | 245.92 e | 405.60 f |
| M4H3 | 79.61 c | 51.02 c | 107.71 c | 589.24 a | 275.40 bc | 598.08 ab | 78.72 c | 50.50 c | 106.77 c | 573.48 a | 318.00 a | 524.16 a |
| M5H3 | 80.35 bc | 51.34 bc | 108.13 bc | 590.32 a | 286.20 a | 604.31 a | 80.27 ab | 51.15 ab | 107.62ab | 573.48 a | 318.00 a | 524.16 a |
| LSD0.05 | 0.86 | 0.37 | 0.49 | 0.024 | 6.84 | 10.50 | 1.17 | 0.49 | 0.64 | 8.51 | 4.58 | 4.27 |
| Maize (2018–2019) | Wheat (2018–2019) | Maize (2018–2019) | Wheat (2018–2019) | |||||||||
|---|---|---|---|---|---|---|---|---|---|---|---|---|
| Treat. | 1000-GW (g) | GY (t/ha) | HI (%) | 1000-GW (g) | GY (t/ha) | HI (%) | 1000-GW (g) | GY (t/ha) | HI (%) | 1000-GW (g) | GY (t/ha) | HI (%) |
| M0H1 | 177 i | 2.37 k | 25.91 d | 18.81 k | 1855 k | 26.97 j | 172 + | 2.13 j | 22.84 e | 18.73 k | 2007 j | 29.08 hi |
| M1H1 | 294 d | 5.45 e | 35.81 a | 31.84 e | 3664 e | 34.13 de | 290 e | 5.33 e | 35.23 a | 31.73 e | 3762 d | 34.91 c |
| M2H1 | 234 g | 3.00 i | 24.73 fg | 24.73 i | 2432 i | 28.62 i | 233 h | 2.98 g | 24.48 d | 24.64 i | 2462 h | 28.87 i |
| M3H1 | 258 e | 3.65 g | 27.27 c | 27.57 h | 3114 g | 29.76 h | 257 f | 3.79 f | 28.77 b | 27.47 h | 3121 f | 29.73 ghi |
| M4H1 | 309 b | 5.86bc | 36.22 a | 32.79 d | 4247 d | 33.71 e | 311 ab | 5.78 c | 35.54 a | 32.67 d | 4280 c | 33.85 d |
| M5H1 | 311ab | 5.91 b | 35.94 a | 34.00 c | 4401 b | 34.92 cd | 311 ab | 5.89bc | 35.83 a | 33.87 c | 4431 b | 35.05 c |
| M0H2 | 190 h | 2.53 j | 25.71 de | 18.74 k | 1920 k | 29.39 hi | 187 i | 2.46 h | 25.81 c | 18.66 k | 1937 k | 29.54 hi |
| M1H2 | 300 c | 5.57 d | 35.79 a | 31.63 e | 3704 e | 35.60 bc | 302 cd | 5.56 d | 35.66 a | 31.52 + | 3736 d | 35.76 bc |
| M2H2 | 241 f | 3.15 h | 25.26def | 24.84 i | 2436 i | 29.61 h | 242 g | 3.05 g | 24.48 d | 24.75 i | 2472 h | 29.93 gh |
| M3H2 | 256 e | 3.78 f | 28.50 b | 27.39 h | 3115 g | 30.85 g | 254 f | 3.81 f | 28.68 b | 27.29 h | 3139 f | 30.98 f |
| M4H2 | 317 a | 6.04 a | 36.22 a | 33.15 d | 4292 cd | 35.33 bc | 317 a | 5.92ab | 35.75 a | 33.03 d | 4325 c | 35.48 bc |
| M5H2 | 317 a | 6.06 a | 35.95 a | 33.67 c | 4356 bc | 35.80 b | 316 ab | 6.01 a | 35.91 a | 33.54 c | 4390 b | 35.94 b |
| M0H3 | 178 i | 2.33 k | 25.20ef | 21.88 j | 2267 j | 29.91 h | 178 j | 2.27 i | 25.00cd | 21.81 j | 2323 i | 30.53 fg |
| M1H3 | 297 cd | 5.52 d | 35.82 a | 36.21 b | 4270 d | 35.50 bc | 297 de | 5.46 d | 35.72 a | 36.07 b | 4306 c | 35.66 bc |
| M2H3 | 240 fg | 3.01 i | 24.21 g | 28.53 g | 2833 h | 31.88 f | 240 gh | 3.02 g | 24.52 d | 28.42 g | 2928 g | 32.81 e |
| M3H3 | 259 e | 3.71fg | 27.67 c | 31.03 f | 3470 f | 32.04 f | 257 f | 3.86 f | 28.97 b | 30.93 f | 3562 e | 32.76 e |
| M4H3 | 308 b | 5.80 c | 35.83 a | 39.85 a | 5119 a | 37.99 a | 309 bc | 5.81 c | 35.64 a | 39.71 a | 5166 a | 38.19 a |
| M5H3 | 313 ab | 5.91 b | 35.96 a | 39.97 a | 5134 a | 38.04 a | 311 ab | 5.86bc | 35.63 a | 39.83 a | 5171 a | 38.16 a |
| LSD0.05 | 6.60 | 0.07 | 0.71 | 0.49 | 69 | 0.81 | 7.24 | 0.10 | 0.94 | 0.48 | 54 | 0.88 |
| Parameters | No NPK | Recommended NPK (220-140-90 kg ha−1) | 25% NPK + 5 t ha−1 Biochar | 50% NPK + 5 t ha−1 Biochar | 75% NPK + 5 t ha−1 Biochar | 100% NPK + 5 t ha−1 Biochar | Remarks |
|---|---|---|---|---|---|---|---|
| Maize crop | |||||||
| Total earning | 92,785 | 21,2135 | 117,425 | 142,835 | 227,150 | 229,460 | Rs.1540/40 kg |
| Cost of cultivation | 51,234 | 10,7212 | 80,229 | 94,223 | 108,219 | 122,212 | Rs. ha−1 |
| Net Return | 41,551 | 10,4923 | 37,196 | 48,612 | 118,931 | 107,248 | Rs. ha−1 |
| BCR | 1.81 | 1.98 | 1.46 | 1.52 | 2.10 | 1.88 | |
| Wheat crop | |||||||
| Total earning | 57,903 | 11,1521 | 73,801 | 92,949 | 130,899 | 133,113 | Rs.1150/40 kg |
| Cost of cultivation | 35,461 | 6,9787 | 59,042 | 67,624 | 76,205 | 84,787 | Rs. ha−1 |
| Net Return | 22,442 | 4,1734 | 14,759 | 25,325 | 54,694 | 48,326 | Rs. ha−1 |
| BCR | 1.63 | 1.60 | 1.25 | 1.37 | 1.72 | 1.57 | |
| Treatments | No NPK | Recommended NPK (120-80-60 kg ha−1) | 25% NPK + 5 t ha−1 Biochar | 50% NPK + 5 t ha−1 Biochar | 75% NPK + 5 t ha−1 Biochar | 100% NPK + 5 t ha−1 Biochar | Remarks |
|---|---|---|---|---|---|---|---|
| Wheat | 22,442 | 41,734 | 14,759 | 25,325 | 54,694 | 48,326 | Rs. ha−1 |
| Maize | 41,551 | 104,923 | 37,196 | 48,612 | 118,931 | 107,248 | Rs. ha−1 |
| Total income | 63,993 | 146,657 | 51,955 | 73,937 | 173,625 | 155,574 | |
| 2019–2020 | |||||||
| Wheat | 28,914 | 51,358 | 21,083 | 32,679 | 64,993 | 58,494 | Rs. ha−1 |
| Maize | 36,623 | 103,604 | 34,867 | 52,500 | 117,676 | 106,465 | Rs. ha−1 |
| Total income | 65,537 | 154,962 | 55,950 | 85,179 | 182,669 | 164,959 | Rs. ha−1 |
Disclaimer/Publisher’s Note: The statements, opinions and data contained in all publications are solely those of the individual author(s) and contributor(s) and not of MDPI and/or the editor(s). MDPI and/or the editor(s) disclaim responsibility for any injury to people or property resulting from any ideas, methods, instructions or products referred to in the content. |
© 2023 by the authors. Licensee MDPI, Basel, Switzerland. This article is an open access article distributed under the terms and conditions of the Creative Commons Attribution (CC BY) license (https://creativecommons.org/licenses/by/4.0/).
Share and Cite
Sarwar, N.; Abbas, N.; Farooq, O.; Akram, M.; Hassan, M.W.; Mubeen, K.; Rehman, A.-u.; Shehzad, M.; Ahmad, M.; Khaliq, A. Biochar Integrated Nutrient Application Improves Crop Productivity, Sustainability and Profitability of Maize–Wheat Cropping System. Sustainability 2023, 15, 2232. https://doi.org/10.3390/su15032232
Sarwar N, Abbas N, Farooq O, Akram M, Hassan MW, Mubeen K, Rehman A-u, Shehzad M, Ahmad M, Khaliq A. Biochar Integrated Nutrient Application Improves Crop Productivity, Sustainability and Profitability of Maize–Wheat Cropping System. Sustainability. 2023; 15(3):2232. https://doi.org/10.3390/su15032232
Chicago/Turabian StyleSarwar, Naeem, Naseem Abbas, Omer Farooq, Muhammad Akram, Muhammad Waqar Hassan, Khuram Mubeen, Atique-ur Rehman, Muhammad Shehzad, Matlob Ahmad, and Abdul Khaliq. 2023. "Biochar Integrated Nutrient Application Improves Crop Productivity, Sustainability and Profitability of Maize–Wheat Cropping System" Sustainability 15, no. 3: 2232. https://doi.org/10.3390/su15032232
APA StyleSarwar, N., Abbas, N., Farooq, O., Akram, M., Hassan, M. W., Mubeen, K., Rehman, A.-u., Shehzad, M., Ahmad, M., & Khaliq, A. (2023). Biochar Integrated Nutrient Application Improves Crop Productivity, Sustainability and Profitability of Maize–Wheat Cropping System. Sustainability, 15(3), 2232. https://doi.org/10.3390/su15032232

