Abstract
Coordination between population growth and built-up land expansion is a major challenge for regional sustainable development. This paper proposed a dual indicator approach, which consists of the ratio of the built-up land expansion rate to population growth rate (HLEC) and the change rate of the built-up area per capita (BPR), and explored the dynamics of the human–land coordination relationship in mainland China using gridded population data and remotely sensed land-cover data. Four gridded population datasets (GPWv4, LandScan, WorldPop, and China gridded population datasets) were evaluated using county-level census data from 2000 and 2010, which showed that WorldPop had the highest correlation with the census data, CASpop had the smallest RMSE, and LandScan had the worst performance. The population of mainland China continued to rise from 2000 to 2020, but the average annual growth rate declined significantly. The built-up land expanded across China, with northwestern China experiencing the fastest growth and the eastern coastal regions experiencing a slower rate of expansion. The HLEC was 5.83, and the BPR increased by approximately 50%, indicating that the rate of population growth is lagging behind the rate of built-up land expansion in most regions, with the exception of Beijing, Tianjin, and Shanghai. Topographical and socio-economic factors have nonlinear effects on the coordination state of the human–land relationship. This approach can be used in areas with no change in population and can better characterize the human–land relationship and its coordination dynamics.
1. Introduction
With the acceleration of global urbanization, many cities are currently facing the dilemma of an economic and social development level that is inconsistent with the carrying capacity of the local environment, and sustainable development has become a hot topic of current concern [1]. The human–land system is a complex and multifaceted system comprising diverse geographical environments and human social activities with interrelated subsystems. Coordination, including a sound interaction among various sectors of a system, can explain the sustainable development of the system [2]. The concept of coordination dynamics comes from the complexity and system science, which describes, explains, and predicts how patterns of coordination form, adapt, persist, and change in living things [3]. For the human–land system, coordination dynamics shows how interactions among coordinating elements produce or generate patterns of coordination, and is multi- and interdisciplinary, engaging relevant aspects and subfields of geography, hydrology, ecology, demography, engineering, and statistics.
Population is the core of the human–land system and is one of the main issues of global concern. The United Nations Population Division notes that rapid population growth is escalating the conflict between resources, the environment, and global sustainable development [4]. Population composition, distribution, growth, and migration had significant impacts on land-use and land-cover changes [5]. For example, farmer migration converted forests to farmland and pastures [6], rural depopulation transformed agricultural and livestock land to man-made surfaces [7], and the population growth resulted in the expansion of built-up land [8]. China’s population grew from 963 million in 1978 to 1.413 billion in 2021 with a decrease in the growth rate, and it continuously flowed into urban clusters, big cities, and coastal regions [9]. Population growth and migration largely govern the scale, type, and intensity of land use and contribute to built-up land expansion [10]. Based on statistical data, the urban built-up area increased from 22,439 km2 in 2000 to 60,721 km2 in 2020 in China [11].
Rapid population growth reduces the quality of urban development and threatens the sustainable development of society [12,13,14] Research on the population growth rate and built-up land expansion rate in China has shown that for a considerable period of time, the expansion of urban built-up land is typically faster than the growth of the urban population, and urban population growth is not coordinated with the expansion of urban built-up land [15,16,17]. To measure the human–land coordination relationship, the elastic decoupling model [18], anisotropic growth model [19], coupling coordination degree model [20], multidimensional evaluation model [21], and coordination index [22] have been proposed.
While the variation in population affects the environment and land-use patterns, population is subject to the influence of both the geographical environment and socio-economic factors [23]. Between 2000 and 2020, the controls of population growth in China’s cities gradually shifted from purely economic factors to a combination of economic factors and the availability of public services [24]. The expansion of built-up land in China is shaped not only by population dynamics but also by socio-economic development [25,26], migration [27], land-use market [28], and governmental policies [29], and the interactions between these influencing factors make the human–land relationship more complex [30]. The interplay between population and built-up land in a region may significantly affect the economic development levels of its neighboring regions in the developed regions, such as the case in the Yangtze River Delta [31], while in rural regions, factors such as slope and altitude predominantly contribute to disparities in the human–land relationship [32].
Population data are essential for analyzing the human–land coordination dynamics. Census data are a major source of population information in human–land relationship research. However, census data cannot meet the demands of detailed investigation about the human–land relationship due to their poor spatial resolution or large temporal gap. To overcome this, various global and regional spatial population datasets have become available, such as Gridded Population of the World (GPW) [33], Global Rural-Urban Mapping Project (GRUMP) [34], Global Human Settlement Layer-Population (GHS-POP) [35], History Database of the Global Environment (HYDE version 3.2) [36], LandScan [37], and WorldPop [38]. These datasets span diverse temporal scales, have spatial resolutions between 100 m and 10 km, and vary greatly in accuracy in different geographical locations. Yin et al. [39] compared GPWv4, GHS-POP, LandScan, and WorldPop in mainland Southeast Asia and showed that LandScan performed best in terms of spatial accuracy and estimation error. But according to Archila Bustos et al. [40] in Sweden, GHS-POP, LandScan, and WorldPop outperformed GRUMP and GPWv4 at the grid level.
The present study evaluated the accuracy of four population spatial distribution datasets (GPWv4, LandScan, WorldPop, and China gridded population datasets) in mainland China, analyzed the spatiotemporal characteristics of population and built-up land changes in different geographical subdivisions, proposed a dual indicator approach to evaluate the human–land relationship from the perspective of the correlation between population growth rates and built-up land expansion rates, and briefly analyzed the controls of the human–land relationship so as to provide a basis for future land resource planning and regional development decision-making.
2. Material and Methods
2.1. Data Used and Pre-Processing
2.1.1. Population Data
- (1)
- GPWv4 data
The Gridded Population of the World (GPW) is a raster dataset of world population produced by the Center for International Earth Science Information Network (CIESIN) at Columbia University, USA, with the aim of making population data compatible with datasets from the social, economic, and earth sciences, as well as remote sensing data. There have been four versions of population data released since the first one debuted in 1995.
GPWv4, released by CIESIN in 2015, was updated using the latest census data, increasing the spatial resolution to 30 arc-seconds and adding population estimates by age and sex for 2010. GPWv4 provides a global population dataset every five years from 2000 to 2020. The raster dataset is available as GeoTiff and ASCII files in five resolutions, i.e., 30-arc-seconds, 2.5-arc-minutes, 15-arc-minutes, 30-arc-minutes, and 1-degree resolutions, to facilitate studies with different needs and can be downloaded from the website (https://sedac.ciesin.columbia.edu/data/collection/gpw-v4 (accessed on 5 July 2022).
- (2)
- LandScan data
The LandScan global population data were developed by the U.S. Department of Energy’s Oak Ridge National Laboratory (ORNL) at a 30 by 30 s resolution for estimating ambient populations at risk [37]. As a result, they assign census populations to all locations where populations are likely to be found, such as factories, airports, and other places where work travel occurs, even grasslands with nomadic populations, rather than just the locations of residences in official census reports.
LandScan population data are updated yearly since 2000 and are currently updated through 2021. They are free to download from this address (https://landscan.ornl.gov/ (accessed on 5 July 2022)).
- (3)
- WorldPop data
The WorldPop project builds on the AfriPop and AsiaPop projects that began in 2005 and were officially launched in 2013 [38]. Developed by the University of Southampton (UK) in collaboration with several institutions, the project not only creates maps of population distribution but also focuses on the creation and mapping of datasets on population dynamics, demographic characteristics, population migration, and poverty distribution.
The original spatial resolution of the data is 3 arc-seconds, and another 30-arc-seconds dataset is generated. The project team has been offering two global population datasets annually since 2000, in GeoTiff and ASCII XYZ forms, depending on whether they have been modified for the 2019 UN World Population Prospects data, which are freely accessible at the website (https://www.worldpop.org/ (accessed on 6 July 2022)).
- (4)
- China gridded population (CASpop) data
In 2017, Xu Xinliang, a researcher at the Institute of Geographical Sciences and Resources, Chinese Academy of Sciences, published the China gridded population datasets.
The dataset is raster data with six issues (see Table 1), 1995, 2000, 2005, 2010, 2015, and 2019, and each raster represents the size of the population within that grid in person/km2 (in 2019 in 10,000 persons/km2). The data are based on the Krassovsky ellipsoid, the projection is the Albers projection, the format is a grid, and it can be registered for free download at the Chinese Academy of Sciences Resource and Environmental Science and Data Center (https://www.resdc.cn/DOI/DOI.aspx?DOIID=32 (accessed on 6 July 2022)).
Table 1.
Description of datasets used in this paper.
GPWv4, LandScan, and WorldPop are projected from the geographic coordination system to the Albers projection coordination system, and the projection parameters can be set as 105° E for the central longitude and 25° N and 47° N for the standard latitude.
- (5)
- Population census data
Population data in the Statistical Yearbook are generally divided into the household registered population and the resident population. The household registered population refers to individuals based on their birthplace, while the resident population typically comprises those who have lived in a specific area for a minimum of half a year.
Two types of population statistics are used in this paper. One category is the resident population of each province from 2005 to 2020 in the China Statistical Yearbook. The other category is the data from the Fifth and Sixth National Population Censuses at county level, specifically the resident population of each county and district at the end of 2000 and the end of 2010, excluding Hong Kong, Macau, and Taiwan. The data can be obtained from the “China Economic and Social Data Research Platform” on the China National Knowledge Infrastructure (https://data.cnki.net/yearbook/Single/N2013040004 (accessed on 6 July 2022)).
2.1.2. Geographic and Economic Data
- (1)
- China county boundaries
Chinese administrative units have a province–county–town three-tier system. There are 34 provinces in China. We divide the 31 provinces (excluding Taiwan, Hong Kong, and Macao) in mainland China into four major geographical regions, namely north China (NC), south China (NC), northwest China (NW), and the Tibetan Plateau (TP), as shown in Figure 1, in order to compare regional differences.
Figure 1.
Geographical zoning diagram.
County-level units include counties, autonomous counties, banners, autonomous banners, county-level cities, and municipal districts. Considering the availability of data, we do population dataset assessment at county level. The county boundary map in 2019 is used, with 2852 counties in mainland China.
China’s county-level administrative regions changed significantly between 2000 and 2019 due to mergers, splits, and changes in location and area. As a result, the county units of the population census do not completely match the county boundary map in 2019 that was used in the present study. Some regions have been adjusted to fit the administrative districts of the county boundary map in accordance with the information issued by the Ministry of Civil Affairs on the changes of administrative districts above the county level from 2000 to 2019. For instance, the census populations of Dongcheng District and Chongwen District in Beijing were merged and compared to the population of Dongcheng District in the dataset for evaluation purposes since the former Dongcheng District and Chongwen District were merged to create the new Dongcheng District in 2010. Furthermore, some data in certain areas are missing due to the long interval of the census.
- (2)
- Land-cover data
The China Annual Land Cover Dataset (CLCD) [41] defines a nine-category land-cover classification system that includes cropland, forest, shrub, grassland, water, snow and ice, barren, impervious surface, and wetland. This classification system is similar to that of FROM_GLC, with the impervious surface relating particularly to artificial surfaces and connected areas, such as concrete, cement roads, building roofs, etc. [42]. Previous evaluation of the impervious surface of CLCD showed good consistency with the existing 30 m impervious surface products (0.51 < R2 < 0.83) [41]. The impervious surface in the CLCD dataset is approximated as built-up land in the present study in order to analyze the evolution of the human–land relationship in China during 2000–2020.
The CLCD product has a spatial resolution of 30 m with Albers_Conic_Equal_Area projection coordinates, available for the years 1985 and 1990–2021 (URL: https://zenodo.org/records/5816591 (accessed on 7 July 2022)).
- (3)
- Digital elevation data
SRTM (Shuttle Radar Topography Mission) digital elevation data were released jointly by the National Aeronautics and Space Administration (NASA) of the United States of America and the National Mapping Agency (NIMA) and covers all land areas between 60° N and 60° S latitude. SRTM 3 with a spatial resolution of 3 arc-seconds was used in this study, obtained from the Earth Science Data Systems of NASA (URL: https://search.earthdata.nasa.gov/search?q=SRTM (accessed on 9 October 2023)).
- (4)
- Economic data
The economic statistics data are extracted from provincial statistical yearbooks from 2000 to 2020, available at the “China Economic and Social Big Data Research Platform” (URL: https://data.cnki.net/yearbook/Single/N2013040004 (accessed on 9 October 2023)). The proportion of urban population data for 15 regions, including Hebei, for the years 2001–2004 were missing. These missing data were linearly fitted and interpolated.
2.2. Methodology
2.2.1. Accuracy Assessment of Population Datasets
Using the 2000 and 2010 population census data in mainland China as reference data, GPWv4, WorldPop, LandScan, and CASpop were evaluated.
The correlation coefficient (r), root mean square error (RMSE), mean bias error (MBE), and relative error (RE) are calculated to measure the accuracy of each dataset at country level.
where is the number of counties, is the population of the th county from census data, is the average population of all counties from census data, is the population data of the th county from gridded datasets, and is the average population of all counties from gridded datasets.
2.2.2. Analysis of Population Dynamics
The changes in the size and distribution of the national population from 2000 to 2020 were examined using the average annual growth rate (PAG) and the Mann–Kendall trend analysis based on the population data from GPWv4, WorldPop, LandScan, and CASpop for the period 2000–2020.
- (1)
- Average annual growth rate of population (PAG)
- (2)
- Mann–Kendall trend analysis
The Mann–Kendall is a nonparametric method for testing the trend in a time series [43]. The approach has been extensively utilized and pushed in the disciplines of hydrology and climate since it is unaffected by a few outliers and does not require the data to follow a particular distribution [44]. According to the M-K test results’ rate of change values and significance level p-values, which are displayed in Table 2, the trend changes can be assessed.
Table 2.
Trend test p-value and its corresponding trend category.
2.2.3. Assessment of the Built-Up Land Dynamics
We used the dynamic degree of a land-cover type and the built-up land expansion differentiation index to describe the built-up land dynamics in mainland China from 2000 to 2020.
- (1)
- The dynamic degree of a land-cover type
The dynamic degree of a land-cover type (K) refers to the quantitative change of a certain land-cover type within a certain time range in a certain research area [45], expressed as:
where and are the areas of certain land at the beginning and end of the study, respectively, and is the study period.
- (2)
- Built-up land expansion differentiation index
The built-up land expansion differentiation index (BEDI) is the ratio of a region’s built-up land expansion intensity to that of all other regions, which can be used to compare the variation in built-up land expansion intensity over time in various regions. It reflects the heterogeneity of the expansion intensity among various sub-regions [46]. Considering the size of mainland China and the resolution of the CLCD, a 30 km × 30 km grid was chosen as the basic unit to calculate the area of built-up land within each grid per year. BEDI is given by:
where and are the area of built-up land in the th grid at times and , respectively, is the total built-up land area for the time period of , and is the total built-up land area for the time period of .
2.2.4. Approach to Measuring Human–Land Coordination Dynamics
In order to comprehensively analyze the human–land relationship, we propose a dual indicator approach that combines two indicators, i.e., the ratio of the built-up land expansion rate to the population growth rate, and the area of built-up land per capita. The two indicators are calculated on a 30 km × 30 km grid basis, with in total 10,954 grid cells over China. Each grid cell contains 900 population data grids and 1,000,000 CLCD land data grids.
- (1)
- The human–land elastic coefficient (HLEC)
The elastic coefficient is used to quantify the response in one variable when another variable changes by calculating the ratio of the rates of change of two interrelated indicators over a given period [47,48]. In this study, the human–land elastic coefficient (HLEC) is used to determine the relationship between population growth and built-up land expansion [49], i.e.,
where BR is the expansion rate of built-up land area at the 30 km × 30 km grid cell, is the growth rate of population, and are the built-up land area in years and , respectively, and and are the population in years and , respectively.
- (2)
- The change rate of the built-up area per capita
Per capita built-up land is an important proxy indicating region development and its stress on the environment [50] and the ‘rate of change of built-up land per capita’ (BPR) can measure the human–land relationship [51]. Using BPR allows the relationship between the rate of population growth and the expansion of built-up land to be compared and avoids the calculation errors associated with a population growth rate of zero. Therefore, BPR is considered more suitable for monitoring urban development and for capturing urban areas dynamics [52]. BPR is calculated as:
where and are the build-up land per capita at the 30 km × 30 km grid cell in years and , respectively; is the built-up land area in years ; is the population in years .
The use of a dual-indicator approach to measure coordination dynamics requires three preconditions: , , and . Based on HLEC and BPR, we classified human–land relationship into 10 categories (Table 3).
Table 3.
Classification of human–land relationship.
2.2.5. Calculation of Topographic Relief
Topographic relief is the difference between the maximum and minimum elevation [53]. It can be expressed as:
where RF, , and are topographic relief, maximum elevation value, and minimum elevation value in the area, respectively.
We used the spatial analysis module of ArcGIS 10.8 to calculate topographic relief by the moving window method based on SRTM digital elevation data. The window shapes included rectangle, circle, ring, and wedge. According to Zhang’s research results [54], we used the rectangular window with a size of 55 × 55 pixel units, approximately 4.72 km2.
3. Results
3.1. Accuracy Assessment of Population Datasets
The evaluation results of the four population datasets are presented in Table 4. All population datasets have correlation coefficients (r) greater than 0.8, and WorldPop has the highest r with census data. CASpop demonstrates the smallest deviation from the census population with the least RMSE. LandScan shows the lowest overall accuracy with the smallest r and the highest RMSE. In terms of MBE, CASpop shows a positive bias, while GPWv4, LandScan, and WorldPop are all negatively biased, with WorldPop showing the most underestimation.
Table 4.
Results of accuracy assessment of population datasets.
Based on Figure 2 and Figure 3, GPWv4, LandScan, and WorldPop datasets significantly underestimated the population compared to the census population, with WorldPop having the highest proportion of underestimated countries. CASpop showed a relatively balanced tendency of overestimation or underestimation but had a higher proportion of extreme REs compared to other datasets. GPWv4, LandScan, and WorldPop had REs mostly in the range of −40% to 0%, with higher errors in NC and NW. CASpop performed well in most countries, with over 80% having an RE within ±20%, evenly distributed. The counties with the largest REs for GPWv4 and LandScan are mainly located on the TP and the northeastern edge, while the largest REs for CASpop are mainly in individual counties in the northeast, Inner Mongolia, and Qinghai.
Figure 2.
Percentages of the counties in different RE ranges for four population datasets.
Figure 3.
Spatial distribution of REs for different datasets in 2000 and 2010.
Many factors affect the quality of population datasets, including the definition of population, the quality of the auxiliary data used for producing the population data, and the methodology used to model population distribution. The population datasets used in GPWv4, WorldPop, and CASpop are all based on census data that reflect resident population, whereas LandScan depicts population distribution averaged over a 24 h period, encompassing nonresidential locations like roads and airports [37]. Therefore, LandScan is less accurate when assessed using population census data. Population distribution is influenced by both natural and socio-economic factors. Among these four datasets, GPWv4 uses only watershed masks as ancillary data to construct the population model, leading to an inaccurate representation of actual population distribution [55]. The random forest model used by WorldPop captures the complex relationships between data, making WorldPop more spatially accurate than the others [56].
Based on these results, we conclude that WorldPop has the highest overall accuracy in mainland China. Previous assessments of the accuracy of population datasets for the Chinese region also show that WorldPop has the highest accuracy and the most realistic spatial population patterns overall, despite the different regions and scales of assessment [57,58,59].
3.2. Spatial and Temporal Characteristics of Population Evolution
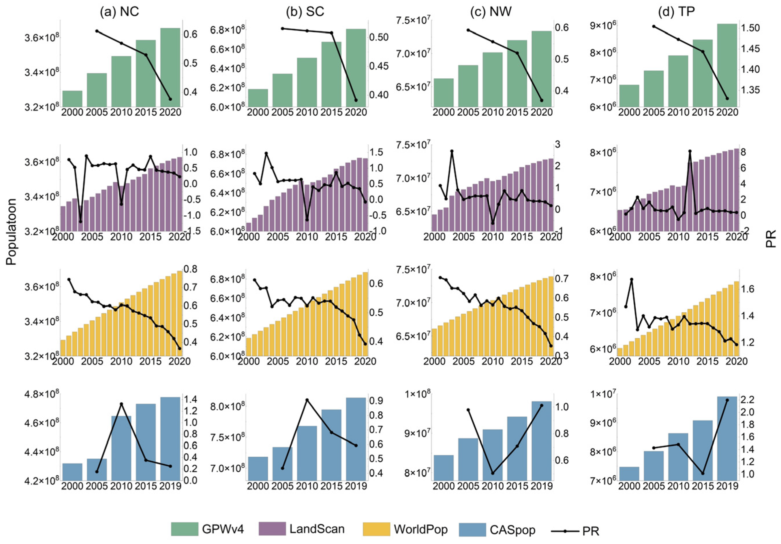
The National Bureau of Statistics reports that China’s population has grown by 145 million between 2000 and 2020; meanwhile, the population growth rate has declined gradually from 0.7% to 0.14%. The changes in population using GPWv4, LandScan, WorldPop, and CASpop, respectively, are shown in Figure 4.
Figure 4.
Changes in population and annual growth rate according to different datasets, 2000–2020.
The datasets showed significant population growth from 2000 to 2020. GPWv4 and WorldPop had consistent growth with similar trends, while LandScan and CASpop showed inconsistent changes. NC’s population increased by approximately 10%. SC’s population was about double that of NC, with a growth of over 60 million people, similar to NC’s growth rate. NW had a population of less than 100 million, with a growth of around 8 million. TP had a population of under 10 million but the highest growth rate at over 20%.
CASpop overestimated the population and had the highest growth rates among the datasets. LandScan in NC had a similar population estimate to GPWv4 and WorldPop but a smaller growth rate. GPWv4 and WorldPop estimated a 35 million increase from 2000 to 2020, while LandScan estimated fewer than 30 million. In SC, WorldPop and LandScan had similar population changes, with GPWv4 estimating the smallest growth. LandScan estimated the largest growth in NW, with an average annual rate of 0.61%. However, the estimated results in TP were the opposite.
As only LandScan and WorldPop provide population data on a yearly basis, the Mann–Kendall trend test was employed on the two datasets between 2000 and 2020, and the results are presented in Figure 5. Both datasets showed similar trends: TP remained stable or experienced significant growth, while the areas of NC and SC with dense population experienced significant declines. LandScan’s population in southern Xinjiang and TP remained stable, with growth in the southeast TP and a decline in northern Xinjiang. Major population growth in NC and SC occurred in the southeast coast, Sichuan, and Jiangxi, with a scattered distribution. WorldPop’s population change areas varied greatly, with significant increases in most TP and NW regions, except southern Xinjiang and northern TP. The population in NC and SC showed significant declines, while there were clear trends of population growth in regions such as Beijing–Tianjin–Hebei, Zhengzhou, the Yangtze River Delta, and the Pearl River Delta.
Figure 5.
M-K trend of population size according to LandScan and WorldPop.
In general, there were substantial spatial changes in China’s national population distribution between 2000 and 2020. The population agglomeration trend became more apparent, resulting in population agglomeration areas centered on Beijing, Tianjin, Shanghai, Guangzhou, Zhengzhou, Chengdu, and Chongqing, where the population agglomeration effect in developed regions increased. Economic and social development, as well as urbanization, led to Xinjiang and TP breaking the original spatial distribution pattern of the population, with population mobility becoming more active, thereby promoting a tendency toward a balanced population distribution.
3.3. Spatiotemporal Changes of Built-Up Land
According to CLCD land-cover data (2000–2020), all four Chinese regions showed linear growth on built-up land (Figure 6). NC had the highest proportion, rising from 3.71% (2000) to 5.63% (2020), a 50,628 km2 increase. SC expanded by 42,469 km2, reaching 3.39% (2020). NW and TP had smaller built-up land areas (<1%). However, NW experienced the largest growth, with an area 2.71 times greater than in 2000. TP nearly doubled in the last 20 years but remained below 0.01%.
Figure 6.
Change in built-up land area and land-cover dynamic degree (K) according to CLCD, 2000–2020.
The built-up land in NC and SC had similar dynamic degrees (K) (Figure 6) with averages of 2.1% and 3.3%, respectively, peaking around 2013. NW had the highest average built-up land dynamic degree at 5%. The economic development and optimization of the industrial structure driven by the Western Development Strategy led to a consistently high rate of urban construction, and although growth slowed in later years, the Belt and Road Initiative and other policies have continued to provide favorable conditions for urban development in the NW. The TP exhibited the highest dynamic degree of built-up land pre-2010, but the dynamic degree halved afterward, indicating a slower increase rate.
The built-up land expansion differentiation index was calculated separately for each grid, and the development status was classified into six stages, with higher values indicating a faster expansion rate of built-up land (Figure 7a). The Xinjiang, Inner Mongolia, Yunnan, Guizhou, and Sichuan regions showed significantly higher expansion rates. Liaoning, Beijing, Shandong, Henan, Jiangsu, and Guangdong had slower expansion rates, likely influenced by historical and economic factors since these regions already had a high proportion of building-land area. Scholars have observed decelerated urbanization in major cities like Beijing and Shanghai [60], which aligns with this study’s findings. It is worth noting that TP, due to its unique geography, had no built-up land except for slight growth in the southeast.
Figure 7.
The expansion of built-up land and its current situation ((a) built-up land expansion differentiation index (BEDI); (b) percentage of built-up land per 30 km × 30 km cell in 2020).
The distribution of built-up land in 2020 (Figure 7b) indicates that NC had a relatively high proportion of built-up land, with Beijing, Shandong, Henan, and southern Hebei having the largest proportion of built-up land, followed by parts of Shanxi and northeast China. The rapid economic development in the SC has led to the expansion of the Yangtze River Delta and the Pearl River Delta, with a high concentration of built-up land in these two regions. Shaanxi and Xinjiang in the NW had a relatively high proportion of built-up land, while TP had almost none.
3.4. Human–Land Coordination Dynamics and Its Relationship with Economy Development
As the WorldPop dataset has the highest accuracy in mainland China and is available on a yearly basis, we used WorldPop in conjunction with CLCD built-up land data to calculate the HLEC and BPR and analyze the relationship between the population growth and the built-up land expansion. China’s total population increased by 11.54% from 2000 to 2020, while the area of built-up land increased by 67.93%. Consequently, the HLEC was 5.83, indicating that the expansion of built-up land occurred at a faster rate than population growth during this period. The area of built-up land per capita in China was 145.7 m2 in 2000 and was 219.3 m2 in 2020, an increase of about 50%.
Figure 8 showed similar trends in HLEC and BPR. The highest values were in the NW, remaining high from 2001 to 2007. This suggests rapid built-up land expansion compared to population growth, resulting in increased built-up land per capita. Another peak occurred in 2013 due to slower population growth. NC and SC exhibited consistent trends, but SC exhibited higher HLEC and BPR in 2004. TP had larger HLEC values and faster growth in built-up land per capita until 2010. Afterward, both HLEC and BPR decreased, possibly due to rapid local population growth and limited built-up land expansion.
Figure 8.
Trends in HLEC and BPR in different geographical regions, 2001–2020.
Although the HLEC and BPR indicated that built-up land expansion had outpaced population growth, our findings reveal significant regional variations in the human–land relationship (Figure 9). Due to data limitations, TP was excluded from the discussion. From 2000 to 2020, Sichuan, Chongqing, Jiangsu, and Fujian exhibited HLEC values below 0, but the patterns of their expansion varied. Considering the BPR values, the southwestern region of Sichuan showed a decreasing trend in per capita built-up land, suggesting population growth but a decrease in built-up land. Conversely, other regions showed opposite trends in population and built-up land changes. Heilongjiang, Henan, Shandong, and Jiangxi had HLEC values above 1, with BPR values ranging between 0 and 0.2, indicating that their built-up land expansion did not proportionally adjust to the slowing population growth rate. Meanwhile, in Beijing, Tianjin, Shanghai, and Guangdong, HLEC values ranged from 0 to 1, with BPR values below 0. This implies that built-up land expansion in these areas slowed compared to population growth, resulting in a decreased per capita built-up land growth rate. In comparison to other regions, their advanced development mitigated the economic growth-driven demand for increased built-up land, thereby forming distinctive human–land relationships.
Figure 9.
Changes in the distribution of HLEC and BPR from 2000 to 2020 (HLEC: (a–d), BPR: (e–h).
Based on Figure 10, China’s main human–land relationships from 2000 to 2020 were Types 1, 3, 5, and 8, with Types 1 and 5 dominating. Type 1 showed a faster built-up land expansion rate compared to the population growth rate, resulting in an increase in per capita built-up area. This pattern was primarily observed in Xinjiang, southern NC, and southern SC. Type 5 exhibited a population decline with expanded built-up areas, leading to increased per capita area in Inner Mongolia, the northeastern region, and some parts of SC. Types 1 and 5 indicated uncoordinated human–land relationships due to significant disparities between built-up area expansion and population change. Type 8 was mainly found in Xinjiang and the southeastern edge of TP. Due to natural geographical constraints, these areas experienced limitations in built-up land expansion, yet they exhibited significant population growth. Type 3 showed population growth surpassing built-up land expansion, minimal difference between them, and a decrease in per capita area, representing a relatively coordinated human–land relationship.
Figure 10.
The coordination dynamics of human–land relationships in mainland China, 2000–2020. (a) 2000–2005; (b) 2006–2010; (c) 2011–2015; (d) 2016–2020.
From 2000 to 2020, the typology of the human–land relationship in mainland China underwent significant changes. Due to shifts in population dynamics, certain regions transitioned from Type 1 to Type 5. Type 3 initially emerged in Xinjiang, Inner Mongolia, and Yunnan but later transformed back into Type 1 due to regional development requirements. This transition indicated a shift in the rate of built-up area expansion from being lower than the population growth rate to surpassing it. In the later years, due to the higher development levels in the Beijing–Tianjin–Hebei, Yangtze River Delta, and Pearl River Delta regions, the growth rates of both population and built-up areas were lower, leading to the concentration of Type 3 in these areas. Overall, the human–land relationship in mainland China was identified as being at a predominantly incongruent level, with only certain regions exhibiting coordination.
3.5. The Controls of Human–Land Relationship
The human–land relationship is affected by various aspects such as land surface conditions, economic levels, and government policies. In the present study, we analyzed the effects of three topographic factors (elevation, slope, and topographic relief) and four socio-economic factors (GDP per capita, the proportion of the urban population, the proportion of the tertiary industry, and the proportion of employees).
The elevation was divided into five zones: <0 m, 0–200 m, 200–500 m, 500–1000 m, and >1000 m. The slope was divided into four zones: 0°–5°, 5°–15°, 15°–25°, and 25°–35°. The topographic relief was divided into five zones: 0–50 m, 50–200 m, 200–500 m, 500–1000 m, and >1000 m. We calculated the proportion of different HLEC values in each terrain zone, and the results are presented in Figure 11.
Figure 11.
Proportion of HLEC values obtained for different geomorphic types.
The zone of 0–200 m elevation has the largest proportion of HLECs in the range of 1 to 10 due to its suitability for human habitation and development. In contrast, other elevation zones are dominated by negative HLEC values, showing a trend of population loss or a decrease in built-up land. The effects of slope and topographic relief on HLEC are generally consistent, with areas with slopes of less than 5° and topographic relief within 50 m dominated by HLECs between 1 and 10. It is worth noting that more than 30% of the areas with the greatest slope and topographic relief have HLECs between 0 and 1, implying that these areas are in a coordination state in the human–land relationship due to limited human use of the land.
Based on the calculation of the HLEC for 31 provinces across China during the whole study period of 21 years, the human–land relationship in most provinces is not coordinated. Using the available socio-economic data, we analyzed the the influence of social-economic factors such as GDP per capita, the proportion of the urban population, the proportion of the tertiary industry, and the proportion of employees on the human–land relationship. According to the Statistical Yearbook, the proportion of the urban population here refers to the ratio of the resident population living within urban areas to the total resident population of that region. To reduce the impact of outliers on the results, we excluded HLEC values above 50 or below −50, and the results are shown in Figure 12.
Figure 12.
Relationship between HLEC and GDP per capita, proportion of urban population, proportion of tertiary sector, and proportion of employed population in different provinces (red dashed line: x = 0).
At the national level, the regions with the most coordinated human–land relationships are Beijing, Tianjin, and Shanghai. These areas are characterized by robust economic development, rapid population growth, near saturation of built-up land expansion, and a consistent decline in the HLEC over time. Metrics such as GDP per capita, the proportion of the urban population, and the proportion of tertiary industry indicate that these regions have achieved a high level of urbanization and are currently undergoing an industrial structural transformation, where economic development is mainly driven by the tertiary industry. These factors have resulted in a deceleration in the expansion of built-up land, consequently leading to a reduction in the HLEC. However, the change in the proportion of the urban population in Shanghai is not significant. The proportion of employed persons in Shanghai increases as the HLEC decreases, probably due to the labor force in the region being mainly engaged in the tertiary sector, which is the opposite of the situation in Beijing and Tianjin.
The areas with negative HLEC for many years are mainly located in the northwest region. The long-term loss of population leads to this uncoordinated human–land relationship. In general, when HLEC is less than 0, the value of HLEC gradually increases with rising GDP per capita and the proportion of the urban population, which indicates that improving the economic level can play a certain role in improving the human–land relationship. However, the proportion of the tertiary industry and the proportion of employees are not directly related to this human–land relationship.
The remaining provinces have HLEC values greater than 1, and for most provinces, HLEC exhibits no significant correlation with GDP per capita, proportion of urban population, proportion of tertiary industry, or proportion of employee. However, regions with a GDP per capita of around CNY 50,000, such as Zhejiang and Guangdong, exhibit a notable negative correlation between HLEC and these indicators. These provinces have high economic levels, strong population attraction, and slower expansion of built-up land, and their human–land relationships tend to be coordinated. Qinghai and Ningxia, with a GDP per capita of less than CNY 30,000, also follow this trend, likely due to specific geographical conditions that hinder economic development and lead to slower changes in population and built-up land, resulting in a relatively coordinated human–land relationship. Henan and Hunan are currently in a phase of rapid built-up land expansion for economic development, with higher GDP per capita, a greater proportion of urban population, and a larger proportion of tertiary industry corresponding to higher HLEC values.
Changes in the human–land relationship result from various factors, including urbanization, industrialization, globalization, and government policies. Zhu et al. [30] analyzed the changes in the human–land relationship in cities along the Yangtze River and the lower Yellow River from 2009 to 2019 and found that the urbanization rate, GDP, and government revenues were the main driving factors. We find that the GDP per capita, the proportion of urban population, the proportion of tertiary industry, and the proportion of employees are not simply linearly related to HLEC in most provinces. Regions with coordinated human–land relationship have a different industrial structure from other regions, where the increase in economic level reduces the HLEC value, and the implementation of the rural revitalization strategy slows down the growth of the proportion of urban population. Regions in a period of rapid economic development need a large amount of built-up land for industrial production and real estate development, so the increase in economic level and proportion of urban population is accompanied by an increase in the HLEC value, resulting in an uncoordinated human–land relationship.
4. Discussions
4.1. Comparison of Methods for Evaluating Human–Land Relationship
The usual coordination dynamics measuring method is to measure the size of the distance between the static system and judge the coordination degree [61]. In 2015, the 2030 Agenda for Sustainable Development was adopted by the 70th session of the United Nations General Assembly, which introduced the 17 Sustainable Development Goals (SDGs) that form an important theoretical basis for assessing and monitoring sustainable development [62]. SDG 11.3 proposes to “enhance inclusive and sustainable urbanization and capacity for participatory, integrated and sustainable human settlement planning and management in all countries” and includes the ratio of the land consumption rate to population growth rate as a key indicator for analysis (SDG 11.3.1) [63]. In particular, the percentage of current total urban land that was newly developed (consumed) will be used as a measure of the land consumption rate. The SDG 11.3.1 formula is as follows:
where and represent the built-up area in the final and initial years, respectively; and represent the urban residents within the built-up area in the final and initial years, respectively; is the number of years between the two measurement periods.
Since the late 1980s, China has entered a stage of fast economic development with a massive increase in urban land area. However, this growth has led to intensifying conflicts between population, resources, the environment, and land expansion demands [64]. In a study focusing on China’s economic and environmental coordination during the 1990s, Zhang and Chi [65] conceptualized the coordination degree as a comprehensive measure of economic and environmental compatibility, which combines the economic comprehensive strength improvement speed (x) and environmental carrying capacity change rate (y) with the following formula:
If and represent the of population growth rate and built-up land expansion rate, respectively, then represents the human–land coordination degree.
In general, the term ‘coordination’ is described as a balance between land expansion and population growth, i.e., the gap between the two should not be too wide. Research indicates that when assessing the human–land relationship using SDG 11.3.1, the LCRPGR should be less than 1 and exhibit a declining trend over time [66]. Using the ratio of the built-up land expansion rate to population growth rate to judge the state of the human–land system, studies in the 1980s pointed out that this ratio of 1.12 is suitable for sustainable development in the process of China’s urbanization [67], and some scholars believe that a ratio between 0.75 and 1.33 signifies a state of coordinated development of population and built-up land [68], while others propose that the ideal degree of coordination of the human–land relationship is 0.8–1.4 [31].
Liu et al. [69] categorized the coordinated states of the human–land system into three: (1) the HLEC ranges between 0 and 1 when both settlement land and rural population increase simultaneously; (2) when settlement land decreases while the population increases, the HLEC falls into the ranges of −1 to 0 and −∞ to −1, and (3) the HLEC is 1 to +∞ when both settlement land and population decrease.
Most of the studies were conducted at the county level or in larger administrative areas, and some problems may arise if the study is scaled down. If the population remains unchanged during the study period, the LCRPGR cannot be calculated [70], nor can the ratio of the built-up land expansion rate to population growth rate. In this case, it is also not reasonable to determine the state of the human–land relationship as being coordinated based on the results of Equation (17). When HLEC approaches positive infinity or negative infinity, Liu’s classification method categorizes this situation as a coordinated human–land relationship, which is also inaccurate.
4.2. Reasons for the Changing Dynamics of Human–Land Relationships in China
Due to different development models in different regions, there are also significant differences in human–land relationships.
From 1990 to 2015, urban land expansion exceeded urban population growth globally, resulting in an LCRPGR greater than 1 but decreasing [71]. Moreover, the LCRPGR is smaller in urban centers than in rural areas due to more efficient land use in urban centers [71]. According to the classification of the World Bank and the United Nations, the regions with the largest LCRPGR were “high income” regions and the “very high human development” regions in 1975–2000, but in 2000–2015, the regions were respectively taken over by the “upper middle income” and “high human development” regions [66]. In “high-income” and “very high human development” areas, land-use zoning policies may be in place and strictly enforced, restricting horizontal urban development to designated areas only. In areas on the verge of progress (“upper middle income” and “high human development”), on the other hand, horizontal urban development may not yet be very restricted.
During the period 2000–2020, HLEC and BPR in mainland China all show a trend of increasing and then decreasing, implying that after the rapid expansion of built-up land, development enters a stable period, with the growth rate of built-up land gradually approaching that of the population. HLEC is 5.83, and BPR is 0.51, indicating that the gap between the rate of built-up land expansion and the rate of population growth is still relatively large and that the built-up land area per capita is still rising. In most areas of China, the human–land relationship is not well coordinated, but some areas such as Beijing, Tianjin, and Shanghai are in a state of coordination. Luo et al. [31] observed a decrease in the coordinated human–land relationship in the Yangtze River Delta cities from 2001 to 2014, with an increase in highly incompatible cities. Additionally, calculations based on LCRPGR indicate that the number of cities with uncoordinated development doubled from 93 to 186 between 1990–2000 and 2000–2010 in mainland China [72]. This highlights the common occurrence of high per capita built-up land area in China [73] and underscores the need for improved human–land coordination in the country. The rapid and unbalanced growth of population and built-up land has led to this uncoordinated human–land relationship.
Both the strict population control policy and socioeconomic development have played active roles in the decline in fertility in China. As a result, population growth rates have been going down over time [74]. The reform of the household registration system contributed to a significant increase in population mobility. Unbalanced economic development among different regions and abundant job opportunities in cities are the main factors attracting the mobile population [75]. A large number of people have flocked to the Pearl River Delta, Yangtze River Delta, and Beijing–Tianjin–Hebei regions, while fewer people have migrated to the western regions where agricultural and mineral resources are abundant [75]. Factors such as the newly released Labor Law, removal of agricultural tax, the western China development program, the Chinese government’s increased investment in education, and the global financial crisis have also played roles in population mobility [76].
Due to the land-centered financial system adopted in China, land supply played an essential role in driving urban expansion. Particularly, the growing demand for real estate and infrastructure constructions in urban areas accelerated the expansion of built-up land [77]. The regulation of national policies also plays a significant role in the human–land relationship. Initially, China focused on developing the eastern coastal regions but later expanded inland through policies like the western China development program, achieving a shift from “imbalanced” to “balanced” development [78], resulting in the stage-by-stage regional characteristics of the rate of expansion of built-up land. With the expansion of cities, social and economic construction is bound to accelerate, and thus, land for urban construction will again continue to grow. In 2014, the Ministry of Land and Resources of China proposed several regulations on land conservation, resulting in a significant decrease in the annual growth rate of land development and urban construction [79].
The coordination dynamics of the human–land relationship in the world and China show that at a certain stage of regional development, the gap between the rate of built-up land expansion and the rate of population growth becomes smaller and land-use efficiency gradually increases. Rapidly developing areas can promote urban development through appropriate expansion of built-up land, but the scale of built-up land expansion must be strictly controlled. In economically developed areas, where population growth does not always drive the expansion of built-up land due to the near saturation of built-up land areas, the space required to accommodate population growth may be met through vertical urban development rather than horizontal urban development.
5. Conclusions
Rapid changes in population and built-up areas pose a huge challenge to sustainable regional development. This paper proposed a dual indicator approach, including the ratio of the rate of built-up area expansion to population growth (HLEC) and the change rate of the built-up area per capita (BPR), to evaluate the coordination dynamics of the human–land relationship. Based on the results of the approach, it is possible to derive information on the evolution of population and built-up land without having to analyze the changes in these two variables separately, and it also solves the problem that individual indicators cannot be calculated in areas where population changes are relatively small or zero.
The accuracies of GPWv4, LandScan, WorldPop, and the China gridded population datasets (CASpop) are evaluated in the present study using the county-level census data in mainland China in 2000 and 2020. WorldPop correlated the best with the census data, while CASpop had the lowest RMSE, and LandScan performed poorly in its estimation. CASpop overestimated the population nationwide, while WorldPop underestimated it. Errors in the dataset mainly come from population definitions, ancillary data, and modeling methods.
From 2000 to 2020, the population growth rate of China gradually slowed down, with the NW and TP exhibiting higher annual growth rates. There was an increasing imbalance in the distribution of the population between NC and SC, with substantial population growth concentrated in major urban centers with strong economic development. However, there was a trend toward a more balanced distribution of the population in NW and the TP during this period.
The national built-up land area showed an increasing trend from 2000 to 2020, with the fastest expansion rate in the NW, while the expansion rate of built-up land in some developed areas was relatively slow. The regions with the widest distribution of built-up land are currently concentrated in the Yangtze River Delta, the Pearl River Delta, Shandong, and Henan. The conversion of cropland and forest land contributed significantly to the increase in built-up land area due to economic policies.
Overall, the human–land relationship in mainland China was not coordinated over the period 2000–2020, but the degree of coordination has increased. The rate of built-up land expansion is greater than the rate of population growth in most regions, with the opposite being the case in a few regions such as Beijing, Tianjin, and Shanghai. The rate of built-up land expansion is greater than the rate of population growth in most areas with elevations of 0–200 m, slopes of less than 5°, and topographic relief of less than 50 m. In most areas with large slopes and topographic reliefs, the human–land relationship is coordinated because the expansion of built-up land is limited. The expansion of built-up land contributes to the economic level of a region, and when a region develops to a certain extent, it will improve the human–land relationship by restricting land expansion, adjusting the proportion of the urban population, and changing the industrial structure. The uneven distribution of population and unconstrained expansion of built-up land resulted in problems such as overcrowding or vacant built-up land, which is the direct cause of an uncoordinated human–land relationship.
Author Contributions
Conceptualization, W.W.; methodology, T.Z. and W.W.; validation, T.Z.; formal analysis, T.Z. and W.W.; data curation, T.Z.; writing—original draft preparation, T.Z.; writing—review and editing, T.Z. and W.W.; visualization, T.Z.; supervision, W.W.; project administration, W.W.; funding acquisition, W.W. All authors have read and agreed to the published version of the manuscript.
Funding
This research was funded by the National Natural Science Foundation of China (No. 41971042, 41961134003).
Institutional Review Board Statement
Not applicable.
Informed Consent Statement
Not applicable.
Data Availability Statement
No new data were created or analyzed in this study. Data sharing is not applicable to this article.
Acknowledgments
We acknowledge the Center for International Earth Science Information Network at Columbia University for providing GPWv4 data, the Oak Ridge National Laboratory for providing LandScan data, the GeoData Institute of the University of Southampton for providing WorldPop data, the Resource and Environment Science and Data Center for providing China gridded population data, the Earth Science Data Systems (ESDS) Program for providing SRTM digital elevation data, and the National Bureau of Statistics in China for providing census data.
Conflicts of Interest
The authors declare no conflict of interest.
References
- Fan, Y.; Fang, C.; Zhang, Q. Coupling Coordinated Development between Social Economy and Ecological Environment in Chinese Provincial Capital Cities-Assessment and Policy Implications. J. Clean. Prod. 2019, 229, 289–298. [Google Scholar] [CrossRef]
- Li, W.; Yi, P. Assessment of City Sustainability—Coupling Coordinated Development among Economy, Society and Environment. J. Clean. Prod. 2020, 256, 120453. [Google Scholar] [CrossRef]
- Oullier, O.; Kelso, J.A.S. Social Coordination, from the Perspective of Coordination Dynamics. In Encyclopedia of Complexity and Systems Science; Meyers, R.A., Ed.; Springer: New York, NY, USA, 2009; pp. 8198–8213. ISBN 978-0-387-75888-6. [Google Scholar]
- UN DESA (United Nations Department of Economic and Social Affairs). Global Population Growth and Sustainable Development; UN DESA/POP/2021/TR/NO. 2; UN DESA: New York, NY, USA, 2021. [Google Scholar]
- de Sherbinin, A.; Carr, D.; Cassels, S.; Jiang, L. Population and Environment. Annu. Rev. Environ. Resour. 2007, 32, 345–373. [Google Scholar] [CrossRef] [PubMed]
- Ouedraogo, I.; Tigabu, M.; Savadogo, P.; Compaoré, H.; Odén, P.C.; Ouadba, J.M. Land Cover Change and Its Relation with Population Dynamics in Burkina Faso, West Africa: Land cover change in burkina faso. Land Degrad. Dev. 2010, 21, 453–462. [Google Scholar] [CrossRef]
- Şen, G.; Güngör, E.; Şevik, H. Defining the Effects of Urban Expansion on Land Use/Cover Change: A Case Study in Kastamonu, Turkey. Environ. Monit. Assess 2018, 190, 454. [Google Scholar] [CrossRef] [PubMed]
- Tendaupenyu, P.; Magadza, C.H.D.; Murwira, A. Changes in Landuse/Landcover Patterns and Human Population Growth in the Lake Chivero Catchment, Zimbabwe. Geocarto Int. 2017, 32, 797–811. [Google Scholar] [CrossRef]
- Liang, L.; Chen, M.; Luo, X.; Xian, Y. Changes Pattern in the Population and Economic Gravity Centers since the Reform and Opening up in China: The Widening Gaps between the South and North. J. Clean. Prod. 2021, 310, 127379. [Google Scholar] [CrossRef]
- Li, G.; Sun, S.; Fang, C. The Varying Driving Forces of Urban Expansion in China: Insights from a Spatial-Temporal Analysis. Landsc. Urban Plan. 2018, 174, 63–77. [Google Scholar] [CrossRef]
- National Bureau of Statistics of China. China Statistical Yearbook; China Statistics Press: Beijing, China, 2021.
- Carter, R.C.; Parker, A. Climate Change, Population Trends and Groundwater in Africa. Hydrol. Sci. J. 2009, 54, 676–689. [Google Scholar] [CrossRef]
- Li, K.; Fang, L.; He, L. How Population and Energy Price Affect China’s Environmental Pollution? Energy Policy 2019, 129, 386–396. [Google Scholar] [CrossRef]
- Molotoks, A.; Smith, P.; Dawson, T.P. Impacts of Land Use, Population, and Climate Change on Global Food Security. Food Energy Secur. 2021, 10, e261. [Google Scholar] [CrossRef]
- Li, Y.; Kong, X.; Zhu, Z. Multiscale Analysis of the Correlation Patterns between the Urban Population and Construction Land in China. Sustain. Cities Soc. 2020, 61, 102326. [Google Scholar] [CrossRef]
- Liu, S.; Liao, Q.; Liang, Y.; Li, Z.; Huang, C. Spatio–Temporal Heterogeneity of Urban Expansion and Population Growth in China. Int. J. Environ. Res. Public Health 2021, 18, 13031. [Google Scholar] [CrossRef]
- Wang, Y.; Li, B. The Spatial Disparities of Land-Use Efficiency in Mainland China from 2000 to 2015. Int. J. Environ. Res. Public Health 2022, 19, 9982. [Google Scholar] [CrossRef] [PubMed]
- Tapio, P. Towards a Theory of Decoupling: Degrees of Decoupling in the EU and the Case of Road Traffic in Finland between 1970 and 2001. Transp. Policy 2005, 12, 137–151. [Google Scholar] [CrossRef]
- Adhikari, P.; de Beurs, K.M. Growth in Urban Extent and Allometric Analysis of West African Cities. J. Land Use Sci. 2017, 12, 105–124. [Google Scholar] [CrossRef]
- Lv, T.; Wang, L.; Zhang, X.; Xie, H.; Lu, H.; Li, H.; Liu, W.; Zhang, Y. Coupling Coordinated Development and Exploring Its Influencing Factors in Nanchang, China: From the Perspectives of Land Urbanization and Population Urbanization. Land 2019, 8, 178. [Google Scholar] [CrossRef]
- Shan, L.; Jiang, Y.; Liu, C.; Wang, Y.; Zhang, G.; Cui, X.; Li, F. Exploring the Multi-Dimensional Coordination Relationship between Population Urbanization and Land Urbanization Based on the MDCE Model: A Case Study of the Yangtze River Economic Belt, China. PLoS ONE 2021, 16, e0253898. [Google Scholar] [CrossRef]
- Li, Z.; Luan, W.; Zhang, Z.; Su, M. Relationship between Urban Construction Land Expansion and Population/Economic Growth in Liaoning Province, China. Land Use Policy 2020, 99, 105022. [Google Scholar] [CrossRef]
- Liu, Z.; Liu, S.; Jin, H.; Qi, W. Rural Population Change in China: Spatial Differences, Driving Forces and Policy Implications. J. Rural Stud. 2017, 51, 189–197. [Google Scholar] [CrossRef]
- Liu, T.; Peng, R.; Zhuo, Y.; Cao, G. China’s Changing Population Distribution and Influencing Factors: Insights from the 2020 Census Data. Acta Geogr. Sin. 2022, 77, 381–394. (In Chinese) [Google Scholar]
- Zhou, Y.; Li, X.; Liu, Y. Land Use Change and Driving Factors in Rural China during the Period 1995–2015. Land Use Policy 2020, 99, 105048. [Google Scholar] [CrossRef]
- Kuang, W.; Chi, W.; Lu, D.; Dou, Y. A Comparative Analysis of Megacity Expansions in China and the U.S.: Patterns, Rates and Driving Forces. Landsc. Urban Plan. 2014, 132, 121–135. [Google Scholar] [CrossRef]
- Dong, Y.; Ren, Z.; Fu, Y.; Miao, Z.; Yang, R.; Sun, Y.; He, X. Recording Urban Land Dynamic and Its Effects during 2000–2019 at 15-m Resolution by Cloud Computing with Landsat Series. Remote Sens. 2020, 12, 2451. [Google Scholar] [CrossRef]
- Zhang, T. Land Market Forces and Government’s Role in Sprawl: The Case of China. Cities 2000, 17, 123–135. [Google Scholar] [CrossRef]
- Yew, C.P. Pseudo-Urbanization? Competitive Government Behavior and Urban Sprawl in China. J. Contemp. China 2012, 21, 281–298. [Google Scholar] [CrossRef]
- Zhu, X.; Yao, D.; Shi, H.; Qu, K.; Tang, Y.; Zhao, K. The Evolution Mode and Driving Mechanisms of the Relationship between Construction Land Use and Permanent Population in Urban and Rural Contexts: Evidence from China’s Land Survey. Land 2022, 11, 1721. [Google Scholar] [CrossRef]
- Luo, J.; Xing, X.; Wu, Y.; Zhang, W.; Chen, R.S. Spatio-Temporal Analysis on Built-up Land Expansion and Population Growth in the Yangtze River Delta Region, China: From a Coordination Perspective. Appl. Geogr. 2018, 96, 98–108. [Google Scholar] [CrossRef]
- Wang, H.; Zhu, Y.; Huang, W.; Yin, J.; Niu, J. Spatio-Temporal Evolution and Driving Mechanisms of Rural Residentials from the Perspective of the Human-Land Relationship: A Case Study from Luoyang, China. Land 2022, 11, 1216. [Google Scholar] [CrossRef]
- Deichmann, U.; Balk, D.; Yetman, G. Transforming Population Data for Interdisciplinary Usages: From Census to Grid. Popul. Health Metr. Popul. Health Metr. 2001, 200. Available online: http://sedac.ciesin.columbia.edu/downloads/docs/gpw-v3/gpwdocumentation.pdf (accessed on 7 June 2022).
- Balk, D.L.; Deichmann, U.; Yetman, G.; Pozzi, F.; Hay, S.I.; Nelson, A. Determining Global Population Distribution: Methods, Applications and Data. In Advances in Parasitology; Elsevier: Amsterdam, The Netherlands, 2006; Volume 62, pp. 119–156. ISBN 978-0-12-031762-2. [Google Scholar]
- Pesaresi, M.; Ehrlich, D.; Stefano, F.; Aneta, J.F. Operating Procedure for the Production of the Global Human Settlement Layer from Landsat Data of the Epochs 1975, 1990, 2000, and 2014; Publications Office of the European Union: Luxembourg, 2016. [Google Scholar]
- Klein Goldewijk, K.; Beusen, A.; Doelman, J.; Stehfest, E. New Anthropogenic Land Use Estimates for the Holocene; HYDE 3.2. J. Earth Syst. Sci. Data Discuss 2016, 10. [Google Scholar] [CrossRef]
- Dobson, J.E.; Bright, E.A.; Coleman, P.R.; Durfee, R.C. LandScan: A Global Population Database for Estimating Populations at Risk. Photogramm. Eng. Remote Sens. 2000, 7, 849–857. [Google Scholar]
- Tatem, A.J. WorldPop, Open Data for Spatial Demography. Sci Data 2017, 4, 170004. [Google Scholar] [CrossRef] [PubMed]
- Yin, X.; Li, P.; Feng, Z.; Yang, Y.; You, Z.; Xiao, C. Which Gridded Population Data Product Is Better? Evidences from Mainland Southeast Asia (MSEA). IJGI 2021, 10, 681. [Google Scholar] [CrossRef]
- Archila Bustos, M.F.; Hall, O.; Niedomysl, T.; Ernstson, U. A Pixel Level Evaluation of Five Multitemporal Global Gridded Population Datasets: A Case Study in Sweden, 1990–2015. Popul. Environ. 2020, 42, 255–277. [Google Scholar] [CrossRef]
- Yang, J.; Huang, X. The 30 m Annual Land Cover Dataset and Its Dynamics in China from 1990 to 2019. Earth Syst. Sci. Data 2021, 13, 3907–3925. [Google Scholar] [CrossRef]
- Gong, P.; Wang, J.; Yu, L.; Zhao, Y.; Zhao, Y.; Liang, L.; Niu, Z.; Huang, X.; Fu, H.; Liu, S.; et al. Finer Resolution Observation and Monitoring of Global Land Cover: First Mapping Results with Landsat TM and ETM+ Data. Int. J. Remote Sens. 2013, 34, 2607–2654. [Google Scholar] [CrossRef]
- Mann, H.B. Nonparametric Tests Against Trend. Econometrica 1945, 13, 245. [Google Scholar] [CrossRef]
- Hirsch, R.M.; Slack, J.R.; Smith, R.A. Techniques of Trend Analysis for Monthly Water Quality Data. Water Resour. Res. 1982, 18, 107–121. [Google Scholar] [CrossRef]
- Wang, X.; Bao, Y. Study on the methods of land use dynamic change research. Prog. Geogr. 1999, 18, 83–89. (In Chinese) [Google Scholar]
- Zhu, H.; Li, X.; He, S.; Zhang, M. Spatio-temporal Change of Land Use in Bohai Rim. Acta Geogr. Sin. 2001, 56, 253–260. (In Chinese) [Google Scholar]
- Bekhet, H.A. Assessing the Elasticities of Electricity Consumption for Rural and Urban Areas in Malaysia: A Non-Linear Approach. Int. J. Econ. Financ. 2011, 3, 208–217. [Google Scholar] [CrossRef]
- Ma, P.-F.; Wu, D.-F.; Lin, T.; Wu, Z.-J.; Li, Z.-C.; Liang, Y.-X.; Zhang, Y.-C.; Lai, H.-M. Spatio-Temporal Coupling Relationship between Rural Population and Cultivated Land Changes at the County Level in Guangdong Province. Sustainability 2022, 14, 14929. [Google Scholar] [CrossRef]
- Cai, E.; Chen, W.; Wei, H.; Li, J.; Wang, H.; Guo, Y.; Feng, X. The Coupling Characteristics of Population and Residential Land in Rural Areas of China and Its Implications for Sustainable Land Use. Sustain. Dev. 2020, 28, 646–656. [Google Scholar] [CrossRef]
- Camagni, R.; Gibelli, M.C.; Rigamonti, P. Urban Mobility and Urban Form: The Social and Environmental Costs of Different Patterns of Urban Expansion. Ecol. Econ. 2002, 40, 199–216. [Google Scholar] [CrossRef]
- Corbane, C.; Politis, P.; Siragusa, A.; Kemper, T.; Pesaresi, M. LUE User Guide: A Tool to Calculate the Land Use Efficiency and the SDG 11.3 Indicator with the Global Human Settlement Layer; Publications Office of the European Union: Luxembourg, 2017; ISBN 978-92-79-73631-5. [Google Scholar]
- Nicolau, R.; David, J.; Caetano, M.; Pereira, J. Ratio of Land Consumption Rate to Population Growth Rate—Analysis of Different Formulations Applied to Mainland Portugal. IJGI 2018, 8, 10. [Google Scholar] [CrossRef]
- Deffontaines, B.; Lee, J.-C.; Angelier, J.; Carvalho, J.; Rudant, J.-P. New Geomorphic Data on the Active Taiwan Orogen: A Multisource Approach. J. Geophys. Res. 1994, 99, 20243–20266. [Google Scholar] [CrossRef]
- Zhang, W.; Li, A. Study on the Optimal Scale for Calculating the Relief Amplitude in China Based on DEM. Geogr. Geo-Inf. Sci. 2012, 28, 8–12. (In Chinese) [Google Scholar]
- CIESIN (Center for International Earth Science Information Network), Columbia University. Documentation for the Gridded Population of the World; Version 4 (GPWv4), Revision 11 Data Sets; NASA Socioeconomic Data and Applications Center (SEDAC): Palisades, NY, USA, 2018. [Google Scholar] [CrossRef]
- Lloyd, C.T.; Sorichetta, A.; Tatem, A.J. High Resolution Global Gridded Data for Use in Population Studies. Sci Data 2017, 4, 170001. [Google Scholar] [CrossRef]
- Bai, Z.; Wang, J.; Wang, M.; Gao, M.; Sun, J. Accuracy Assessment of Multi-Source Gridded Population Distribution Datasets in China. Sustainability 2018, 10, 1363. [Google Scholar] [CrossRef]
- Lin, D.; Tan, M.; Liu, K.; Liu, L.; Zhu, Y. Accuracy Comparison of Four Gridded Population Datasets in Guangdong Province, China. Trop. Geogr. 2020, 40, 346–356. [Google Scholar] [CrossRef]
- Xu, Y.; Ho, H.C.; Knudby, A.; He, M. Comparative Assessment of Gridded Population Data Sets for Complex Topography: A Study of Southwest China. Popul. Environ. 2021, 42, 360–378. [Google Scholar] [CrossRef]
- Kuang, W.; Liu, J.; Zhang, Z.; Lu, D.; Xiang, B. Spatiotemporal Dynamics of Impervious Surface Areas across China during the Early 21st Century. Chin. Sci. Bull. 2013, 58, 1691–1701. [Google Scholar] [CrossRef]
- Song, Q.; Zhou, N.; Liu, T.; Siehr, S.A.; Qi, Y. Investigation of a “Coupling Model” of Coordination between Low-Carbon Development and Urbanization in China. Energy Policy 2018, 121, 346–354. [Google Scholar] [CrossRef]
- UNGA (United Nations General Assembly). Transforming Our World: The 2030 Agenda for Sustainable Development; A/RES/70/1; United Nations: New York, NY, USA, 2015. [Google Scholar]
- UN-Habitat Sustainable Development Goal 11+ Make Cities and Human Settlements Inclusive, Safe, Resilient and Sustainable: A Guide to Assist National and Local Governments to Monitor and Report on SDG Goal 11+ Indicators. Monitoring Framework—Definitions—Metadata—UN-Habitat Technical Support. 2018. Available online: https://smartnet.niua.org/sites/default/files/resources/sdg_goal_11_monitoring_framework.pdf (accessed on 15 June 2023).
- Huang, Z.; Du, X. Urban Land Expansion and Air Pollution: Evidence from China. J. Urban Plann. Dev. 2018, 144, 05018017. [Google Scholar] [CrossRef]
- Zhang, X.; Chi, T. Differentiating and analysis of the coordination degree between economic development and environment of provinces(regions) in China. Geogr. Res. 2001, 506–515. (In Chinese) [Google Scholar]
- Estoque, R.C.; Ooba, M.; Togawa, T.; Hijioka, Y.; Murayama, Y. Monitoring Global Land-Use Efficiency in the Context of the UN 2030 Agenda for Sustainable Development. Habitat Int. 2021, 115, 102403. [Google Scholar] [CrossRef]
- Lin, Y.; Mao, L. Urban Land Expansion and Land Use Intensification in China. Territ. Nat. Resour. Study 2008, 3, 27–29. (In Chinese) [Google Scholar]
- Zhu, F.; Zhang, F.; Li, C.; Jiao, P.; Wang, J. Coordination and regional difference of urban land expansion and demographic urbanization in China during 1993–2008. Prog. Geogr. 2014, 33, 647–656. (In Chinese) [Google Scholar]
- Liu, J.; Liu, Y.; Li, Y.; Hu, Y. Coupling Analysis of Rural Residential Land and Rural Population in China during 2007–2015. J. Nat. Resour. 2018, 33, 1861–1871. (In Chinese) [Google Scholar]
- UK Office for National Statistics Using Innovative Methods to Report Against the Sustainable Development Goals. Available online: https://www.ons.gov.uk/economy/environmentalaccounts/articles/usinginnovativemethodstoreportagainstthesustainabledevelopmentgoals/2018-10-22 (accessed on 16 June 2023).
- Schiavina, M.; Melchiorri, M.; Corbane, C.; Florczyk, A.; Freire, S.; Pesaresi, M.; Kemper, T. Multi-Scale Estimation of Land Use Efficiency (SDG 11.3.1) across 25 Years Using Global Open and Free Data. Sustainability 2019, 11, 5674. [Google Scholar] [CrossRef]
- Wang, Y.; Huang, C.; Feng, Y.; Zhao, M.; Gu, J. Using Earth Observation for Monitoring SDG 11.3.1-Ratio of Land Consumption Rate to Population Growth Rate in Mainland China. Remote Sens. 2020, 12, 357. [Google Scholar] [CrossRef]
- Jin, L.; Wang, Z.; Chen, X. Spatial Distribution Characteristics and Influencing Factors of Traditional Villages on the Tibetan Plateau in China. Int. J. Environ. Res. Public Health 2022, 19, 13170. [Google Scholar] [CrossRef] [PubMed]
- Du, Y.; Yang, C. Demographic Transition and Labour Market Changes: Implications for Economic Development in China. J. Econ. Surv. 2014, 28, 617–635. [Google Scholar] [CrossRef]
- Qiao, L.; Li, Y.; Liu, Y.; Yang, R. The Spatio-Temporal Change of China’s Net Floating Population at County Scale from 2000 to 2010: Change Features of China’s Floating Population. Asia Pac. Viewp. 2016, 57, 365–378. [Google Scholar] [CrossRef]
- Liang, Z.; Li, Z.; Ma, Z. Changing Patterns of the Floating Population in China, 2000–2010. Popul. Dev. Rev 2014, 40, 695–716. [Google Scholar] [CrossRef] [PubMed]
- Deng, Y.; Qi, W.; Fu, B.; Wang, K. Geographical Transformations of Urban Sprawl: Exploring the Spatial Heterogeneity across Cities in China 1992–2015. Cities 2020, 105, 102415. [Google Scholar] [CrossRef]
- Qi, Y.; Yang, Y.; Jin, F. China’s Economic Development Stage and Its Spatio-Temporal Evolution: A Prefectural-Level Analysis. J. Geogr. Sci. 2013, 23, 297–314. [Google Scholar] [CrossRef]
- Wang, J.; Lin, Y.; Glendinning, A.; Xu, Y. Land-Use Changes and Land Policies Evolution in China’s Urbanization Processes. Land Use Policy 2018, 75, 375–387. [Google Scholar] [CrossRef]
Disclaimer/Publisher’s Note: The statements, opinions and data contained in all publications are solely those of the individual author(s) and contributor(s) and not of MDPI and/or the editor(s). MDPI and/or the editor(s) disclaim responsibility for any injury to people or property resulting from any ideas, methods, instructions or products referred to in the content. |
© 2023 by the authors. Licensee MDPI, Basel, Switzerland. This article is an open access article distributed under the terms and conditions of the Creative Commons Attribution (CC BY) license (https://creativecommons.org/licenses/by/4.0/).











