Determining Allometry and Carbon Sequestration Potential of Breadfruit (Artocarpus altilis) as a Climate-Smart Staple in Hawai‘i
Abstract
:1. Introduction
2. Materials and Methods
2.1. Overview of Sampling Approaches
2.2. Woody Biomass Volumetric Measurements
2.3. Wood Density and Carbon Content
2.4. Foliar Biomass Estimation
2.5. Mathematical Model of Tree Biomass/Carbon
2.6. Breadfruit Growth Rates
2.7. Below Ground Biomass (BGB) and Landscape-Scale Total Biomass over Time
3. Results
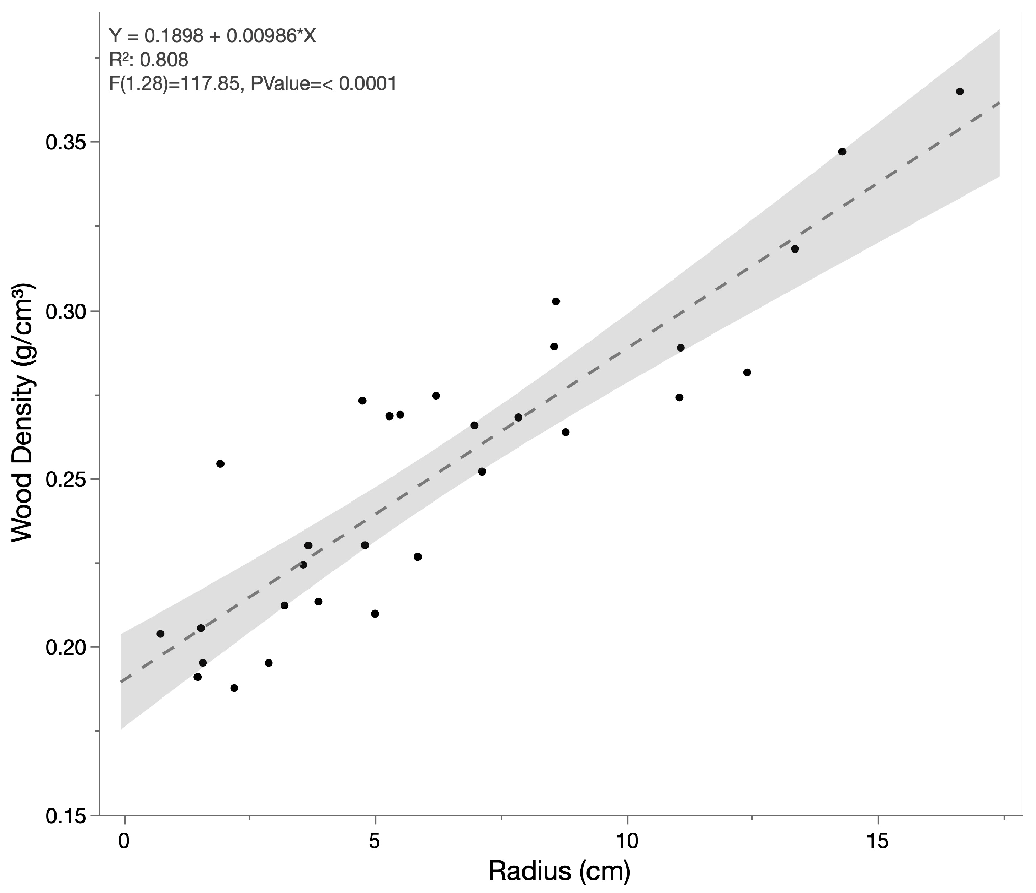
3.1. Wood Density and Carbon
3.2. Foliar Biomass
3.3. Woody Biomass Volume and Total Above-Ground Biomass (ABG)
3.4. Growth Curves for Breadfruit
3.5. Landscape Extrapolations
4. Discussion
Author Contributions
Funding
Institutional Review Board Statement
Informed Consent Statement
Data Availability Statement
Acknowledgments
Conflicts of Interest
References
- IPCC Core Team. Climate Change 2014: Synthesis Report. In Contribution of Working Groups I, II and III to the Fifth Assessment Report of the Intergovernmental Panel on Climate Change; International Panel on Climate Change: Geneva, Switzerland, 2014. [Google Scholar]
- Union of Concerned Scientists. The Root of the Problem: What’s Driving Tropical Deforestation Today? 2011. Available online: www.ucsusa.org/assets/documents/global_warming (accessed on 22 June 2023).
- Quitus, S.; Huebert, J.; Kirch, P.V.; Lincoln, N.K.; Maxwell, J. Qualities and contributions of agroforestry practices and novel forests in pre-European Polynesia and the Polynesian outliers. Hum. Ecol. 2019, 47, 811–825. [Google Scholar] [CrossRef]
- Lincoln, N.K.; Haensel, T.P.; Lee, T.M. Modeling Hawaiian Agroecology: Depicting traditional adaptation to the world’s most diverse environment. Front. Sustain. Food Syst. 2023, 7, 1116929. [Google Scholar] [CrossRef]
- Whistler, W.A. Plants of the Canoe People; National Tropical Botanical Garden: Lawai, HI, USA, 2009. [Google Scholar]
- Zerega, N.; Ragone, D.; Motley, T.J. Breadfruit origins, diversity, and human-facilitated distribution. In Darwin’s Harvest: New Approaches to the Origins, Evolution, and Conservation of Crops; Motley, T., Ed.; Columbia University Press: Columbia, NY, USA, 2006; pp. 213–238. [Google Scholar]
- FAO. International Treaty on Plant Genetic Resources for Food and Agriculture. 2009. Available online: http://www.fao.org/3/a-i0510e.pdf (accessed on 12 January 2019).
- Lucas, M.P.; Ragone, D. Will breadfruit solve the world hunger crisis? New Dev. Innov. Food Crop PIOJ Sustain. Dev. Reg. Plan. Div. 2012, 5, 7. [Google Scholar]
- Jones, A.M.P.; Ragone, D.; Aiona, K.; Lane, W.A.; Murch, S.J. Nutritional and morphological diversity of breadfruit (Artocarpus, Moraceae): Identification of elite cultivars for food security. J. Food Compos. Anal. 2011, 24, 1091–1102. [Google Scholar] [CrossRef]
- Liu, Y.; Ragone, D.; Murch, S.J. Breadfruit (Artocarpus altilis): A source of high-quality protein for food security and novel food products. Amino Acids 2015, 47, 847–856. [Google Scholar] [CrossRef] [PubMed]
- Lincoln, N.K.; Ragone, D.; Zerega, N.; Roberts-Nkrumah, L.B.; Merlin, M.; Jones, A.M. Grow us our daily bread: A review of breadfruit cultivation in traditional and contemporary systems. Hortic. Rev. 2018, 46, 299–384. [Google Scholar]
- Padulosi, S.; Hodgkin, T.; Williams, J.T.; Haq, N. Underutilized crops: Trends, challenges and opportunities in the 21st century. In Managing Plant Genetic Diversity, Proceedings of the an International Conference, Kuala Lumpur, Malaysia, 12–16 June 2000; CABI Publishing: Wallingford, UK, 2002. [Google Scholar]
- Sebrala, H.; Abich, A.; Negash, M.; Asrat, Z.; Lojka, B. Tree allometric equations for estimating biomass and volume of Ethiopian forests and establishing a database. Trees For. People 2022, 9, 00314. [Google Scholar] [CrossRef]
- Mahmood, H.; Siddique, M.R.H.; Abdullah, S.M.R.; Matieu, H. Training Manual: Sample Processing and Laboratory Analysis for the Development of Allometric Equation; FAO: Dhaka, Bangladesh, 2016. [Google Scholar]
- Nam, V.T.; Van Kuijk, M.; Anten, N.P. Allometric equations for aboveground and belowground biomass estimations in an evergreen forest in Vietnam. PLoS ONE 2016, 11, e0156827. [Google Scholar] [CrossRef]
- Picard, N.; Saint-Andre, L.; Henry, M. Manual for Building Tree Volume and Biomass Allometric Equations: From Field Measurement to Prediction; FAO: Rome, Italy, 2012. [Google Scholar]
- Chave, J.; Andalo, C.; Brown, S.; Cairns, M.A.; Chambers, J.Q.; Eamus, D.; Fölster, H.; Fromard, F.; Higuchi, N.; Kira, T.; et al. Tree allometry and improved estimation of carbon stocks and balance in tropical forests. Oecologia 2005, 145, 87–99. [Google Scholar] [CrossRef]
- Kędra, K.; Barbeito, I.; Dassot, M.; Vallet, P.; Gazda, A. Single-image photogrammetry for deriving tree architectural traits in mature forest stands: A comparison with terrestrial laser scanning. Ann. For. Sci. 2019, 76, 5. [Google Scholar] [CrossRef]
- Singh, A.; Kushwaha, S.K.P.; Nandy, S.; Padalia, H. Novel Approach for Forest Allometric Equation Modelling with Ransac Shape Detection Using Terrestrial Laser Scanner. Int. Arch. Photogramm. Remote Sens. Spat. Inf. Sci. 2022, 48, 133–138. [Google Scholar] [CrossRef]
- Sileshi, G.W. A critical review of forest biomass estimation models, common mistakes and corrective measures. For. Ecol. Manag. 2014, 329, 237–254. [Google Scholar] [CrossRef]
- Latifah, S.; Purwoko, A.; Hartini, K.S.; Fachrudin, K.A. Allometric Models to Estimate the Aboveground Biomass of Forest: A Literature Review; IOP Conference Series: Materials Science and Engineering; IOP Publishing: Bristol, UK, 2021; p. 012047. [Google Scholar]
- Guendehou, G.H.; Lehtonen, A. Guidance for Tree Measurement in Tropical Forest Ecosystems Using Non-Destructive Sampling to Develop Stem Biomass and Volume Models; Finnish Forest Research Institute: Vantaa, Finland, 2014. [Google Scholar]
- Hann, D.W.; Larsen, D.R. Diameter Growth Equations for Fourteen Tree Species in Southwest Oregon; Forest Reserach Laboratory: Corvallis, OR, USA, 1991. [Google Scholar]
- Cienciala, E.; Russ, R.; Šantrůčková, H.; Altman, J.; Kopáček, J.; Hůnová, I.; Štěpánek, P.; Oulehle, F.; Tumajer, J.; Ståhl, G. Discerning environmental factors affecting current tree growth in Central Europe. Sci. Total Environ. 2016, 573, 541–554. [Google Scholar] [CrossRef] [PubMed]
- Mausio, K.; Miura, T.; Lincoln, N.K. Cultivation potential projections of breadfruit (Artocarpus altilis) under climate change scenarios using an empirically validated suitability model calibrated in Hawai’i. PLoS ONE 2020, 15, e0228552. [Google Scholar] [CrossRef] [PubMed]
- Yang, L.; Zerega, N.; Montgomery, A.; Horton, D.E. Potential of breadfruit cultivation to contribute to climate-resilient low latitude food systems. PLoS Clim. 2022, 1, e0000062. [Google Scholar] [CrossRef]
- Mokany, K.; Raison, R.J.; Prokushkin, A.S. Critical analysis of root: Shoot ratios in terrestrial biomes. Glob. Chang. Biol. 2006, 12, 84–96. [Google Scholar] [CrossRef]
- Brown, S. Estimating Biomass and Biomass Change of Tropical Forests: A Primer; Food & Agriculture Organization: Rome, Italy, 1997. [Google Scholar]
- Santos Martin, F.; Navarro-Cerrillo, R.M.; Mulia, R.; Van Noordwijk, M. Allometric equations based on a fractal branching model for estimating aboveground biomass of four native tree species in the Philippines. Agrofor. Syst. 2010, 78, 193–202. [Google Scholar] [CrossRef]
- Roxburgh, S.H.; Paul, K.I.; Clifford, D.; England, J.R.; Raison, R.J. Guidelines for constructing allometric models for the prediction of woody biomass: How many individuals to harvest? Ecosphere 2015, 6, 1–27. [Google Scholar] [CrossRef]
- Poore, J.; Nemecek, T. Reducing food’s environmental impacts through producers and consumers. Science 2018, 360, 987–992. [Google Scholar] [CrossRef]
- Clark, M.; Springmann, M.; Rayner, M.; Harrington, R.A. Estimating the environmental impacts of 57,000 food products. Proc. Natl. Acad. Sci. USA 2022, 119, e2120584119. [Google Scholar] [CrossRef]
- Del Río, M.; Bravo-Oviedo, A.; Ruiz-Peinado, R.; Condés, S. Tree allometry variation in response to intra-and inter-specific competitions. Trees 2019, 33, 121–138. [Google Scholar] [CrossRef]
- Meilleur, B.A.; Jones, R.R.; Titchenal, C.A.; Huang, A.S. Hawaiian Breadfruit: Ethnobotany, Nutrition, and Human Ecology; College of Tropical Agriculture and Human Resources: Honolulu, HI, USA, 2004. [Google Scholar]
- Langston, B.J.; Lincoln, N.K. The role of breadfruit in biocultural restoration and sustainability in Hawai‘i. Sustainability 2018, 10, 3965. [Google Scholar] [CrossRef]
- Hastings, Z.; Wong, M.; Ticktin, T. Who Gets to Adopt? Contested Values Constrain Just Transitions to Agroforestry. Front. Sustain. Food Syst. 2021, 5, 27579. [Google Scholar]
- Bevacqua, R.F.; Miller, R.H. Agroforestry on Guam: Breadfruit Cultivation; Western Pacific Tropical Research Center: Mangilao, Guam, 2020. [Google Scholar]
- Melone, A.; Bremer, L.L.; Crow, S.E.; Hastings, Z.; Winter, K.B.; Ticktin, T.; Rii, Y.M.; Wong, M.; Kukea-Shultz, K.; Watson, S.J.; et al. Assessing Baseline Carbon Stocks for Forest Transitions: A Case Study of Agroforestry Restoration from Hawaii. Agriculture 2021, 11, 189. [Google Scholar] [CrossRef]





| DBH (cm) | Wood Biomass (g) | Leaf Biomass (g) | Total AGB (kg) |
|---|---|---|---|
| 2.6 | 216 | 177 | 0.39 |
| 4.7 | 1575 | 324 | 1.90 |
| 6.2 | 4446 | 854 | 5.30 |
| 7.6 | 5520 | 1287 | 6.81 |
| 10.9 | 11,971 | 3851 | 15.82 |
| 14.4 | 32,452 | 10,054 | 42.51 |
| 17.1 | 59,815 | 14,139 | 73.95 |
| 22.4 | 83,629 | 23,186 | 106.81 |
| 26.9 | 124,470 | 30,854 | 155.32 |
| 27.4 | 144,833 | 33,566 | 178.40 |
| 35 | 232,102 | 36,394 | 268.50 |
| 41.2 | 350,608 | 31,811 | 382.42 |
| Suitability Class | Equation | R2 | RMS Error |
|---|---|---|---|
| High | DBH = 12.57 + 1.47(Age) − 0.007(Age)2 | 0.98 | 3.8 |
| Medium | DBH = 5.766 + 1.47(Age) − 0.010(Age)2 | 0.96 | 3.6 |
| Low | DBH = 3.308 + 1.07(Age) − 0.0056(Age)2 | 0.89 | 3.3 |
| Age | DBH (cm) | AGB (kg) | BGB (kg) | AGC (kg) | BGC (kg) | C (kg/Tree) | CO2 (tons/ha) |
|---|---|---|---|---|---|---|---|
| 5 | 19.7 | 85.5 | 20.5 | 39.2 | 8.2 | 47.4 | 16.7 |
| 10 | 26.6 | 157.1 | 37.7 | 73.3 | 15.1 | 88.3 | 31.2 |
| 15 | 33.0 | 244.2 | 58.6 | 115.0 | 23.4 | 138.4 | 48.8 |
| 20 | 39.2 | 343.8 | 82.5 | 162.9 | 33.0 | 195.9 | 69.1 |
Disclaimer/Publisher’s Note: The statements, opinions and data contained in all publications are solely those of the individual author(s) and contributor(s) and not of MDPI and/or the editor(s). MDPI and/or the editor(s) disclaim responsibility for any injury to people or property resulting from any ideas, methods, instructions or products referred to in the content. |
© 2023 by the authors. Licensee MDPI, Basel, Switzerland. This article is an open access article distributed under the terms and conditions of the Creative Commons Attribution (CC BY) license (https://creativecommons.org/licenses/by/4.0/).
Share and Cite
Livingston, C.; Lincoln, N.K. Determining Allometry and Carbon Sequestration Potential of Breadfruit (Artocarpus altilis) as a Climate-Smart Staple in Hawai‘i. Sustainability 2023, 15, 15682. https://doi.org/10.3390/su152215682
Livingston C, Lincoln NK. Determining Allometry and Carbon Sequestration Potential of Breadfruit (Artocarpus altilis) as a Climate-Smart Staple in Hawai‘i. Sustainability. 2023; 15(22):15682. https://doi.org/10.3390/su152215682
Chicago/Turabian StyleLivingston, Chad, and Noa Kekuewa Lincoln. 2023. "Determining Allometry and Carbon Sequestration Potential of Breadfruit (Artocarpus altilis) as a Climate-Smart Staple in Hawai‘i" Sustainability 15, no. 22: 15682. https://doi.org/10.3390/su152215682
APA StyleLivingston, C., & Lincoln, N. K. (2023). Determining Allometry and Carbon Sequestration Potential of Breadfruit (Artocarpus altilis) as a Climate-Smart Staple in Hawai‘i. Sustainability, 15(22), 15682. https://doi.org/10.3390/su152215682

