Abstract
As a crucial step in addressing the climate emergency and enhancing energy security, the European Union has set ambitious targets to decarbonise its economy by 2050. While the building sector plays a pivotal role in this transition, being accountable for 36% of the EU’s total carbon emissions, it shows a renovation rate below 1% per year, which is clearly insufficient. To address this challenge, this study uses the cost-optimal methodology from private and social perspectives to assess the cost-effectiveness and environmental impact of five renovation packages with passive and active solutions currently available on the Portuguese market. The results demonstrated that from both perspectives, optimal combinations of market solutions were generally cost-effective and could lead to a 90–99% reduction in energy needs and even to zero carbon levels. Nevertheless, beyond cost-effectiveness, consideration of co-benefits, e.g., social and health improvements, is also crucial, requiring government action. To drive these essential changes, effective policy measures are imperative. Recommendations encompass robust regulatory frameworks, financial support mechanisms, knowledge dissemination, and a shift towards broader-scale renovation. For carbon reduction to be economically attractive, fostering innovative business models and leveraging legal instruments to tackle complex scenarios are needed.
1. Introduction
As we move towards the 2030s, the urgency of climate resilience has never been more evident. With the overarching goal of achieving carbon neutrality by 2050 and keeping the global temperature increase within the 1.5 °C threshold—aligned with the Paris Agreement—it is paramount that we set and meet substantial progressive targets for 2030 and 2040 [1]. Within the European Union (EU) framework, this translates into an ambitious target for 2030, aiming for a 55% reduction in carbon emissions compared to 1990 levels [2].
The building sector plays a critical role in this decarbonisation ambition. It is one of the largest energy consumers, responsible for 40% of total energy consumption and 36% of carbon emissions in the EU [2]. The extended lifespan of buildings means that about half of the existing infrastructures will still be standing by 2050 [3]. This scenario is even more pronounced in developed countries such as Portugal, where more than 50% of the building stock was constructed before 1980 [4], prior to the initial thermal regulations. Consequently, these structures present low-grade energy performance and provide substandard comfort conditions.
In response to these challenges, the EU published the Energy Performance of Buildings Directive (EPBD), which serves as the principal framework for guiding the transformation of the building stock towards carbon neutrality through the adoption of cost-effective energy efficiency measures for building envelopes and highly efficient equipment, ultimately supplied by renewable energy sources [5]. Moreover, the integration of photovoltaic (PV) panels in residential buildings emerges as a key strategy in this sustainability transition. PV panels not only contribute significantly to reducing the operational carbon footprint of buildings by generating clean and renewable energy, but they also align with the EU’s broader energy independence objectives, mitigating reliance on fossil fuels and enhancing long-term environmental and economic sustainability [6,7].
The current 2018 recast EPBD (Directive (EU) 2018/844) requires the Member States to develop national roadmaps consistent with an 80–95% target of carbon reductions by 2050 [8]. Despite these regulatory advancements, the rate of building renovations remains woefully inadequate, barely scratching 1% per year in the EU [9]. On a global scale, the International Energy Agency (IEA) prescribes a requisite renovation rate of 2.5% annually until 2050 for the building sector to reach a ‘Zero-Carbon-Ready Building (ZCRB) level’ [3]. As outlined by European Union directives, the sector requires a substantial acceleration in the renovation rate, aiming for at least 3% annually [8].
Although the existing literature primarily utilises cost-efficiency methodology to identify the most economically viable strategies for building renovations [10,11,12,13], the focus remains predominantly on direct acquisition costs, lifecycle expenditures, and energy efficiency improvements. Despite their scientific relevance, these studies often fall short of adopting a more holistic approach that integrates societal viewpoints, especially in terms of factoring in carbon taxes associated with emissions during a building’s operational phase. Carbon taxes have grown since 2017, especially in European Union countries’ trading systems, now ranging between 20 and 120 USD/tCO2eq [14]. In this context, integrating these carbon taxes into the energy efficiency analyses of building renovations is not only environmentally prudent but also essential in bridging the current knowledge gap. While the scientific literature delves into the technical facets of energy renovations, there remains a void regarding the assessment of these technical solutions from both private and societal standpoints. Additionally, most studies do not differentiate between the impacts of active and passive renovation measures, often analysing them collectively [15,16]. Nonetheless, in the face of economic constraints, it becomes sensible to identify and prioritise those measures that demonstrate the highest cost-efficiency.
This paper innovatively diverges from the traditional trajectory by offering a dual-perspective analysis, integrating investors’ and societal (considering carbon taxes) viewpoints to assess the cost-efficiency of energy renovation technical solutions in Portuguese residential buildings. The approach extends beyond direct economic calculations, considering carbon taxes and environmental impacts, thus presenting a more holistic picture of cost-efficiency. Furthermore, this study comparatively analyses active and passive technical solutions for energy renovations, providing nuanced insights into their combined decarbonisation potentials. This comprehensive assessment model is a novelty, particularly within the Portuguese market, filling a critical research gap. The methodology quantifies the decarbonisation potential and evaluates the broader societal benefits of each technical solution, thereby informing more sustainable and socially responsible investment decisions. By tailoring the study to the specific Portuguese climatic, socio-economic, and policy context, the aim is to ensure that the findings are actionable and have direct policy relevance. This research contributes original insights to the field poised to influence policy dialogues and market dynamics in Portugal and potentially the broader EU, especially concerning the feasibility of achieving the ambitious 2050 carbon neutrality targets.
2. Materials and Methods
This section outlines the methodology to quantify the decarbonisation potential of a set of passive and active solutions in a typical Portuguese residential building. The residential segment was selected because it corresponds to 99% of the country’s building stock [17]. For the typical residential building, the cost-optimal assessment was carried out using five energy renovation packages, quantifying the potential for reducing energy needs and carbon emissions of each package.
2.1. Housing Stock Conditions
In Portugal, the vast majority of the building stock, except for multifamily units built after 2016, experiences thermal discomfort for more than 95% of the year [18], with particularly harsh conditions during winter when indoor temperatures often plummet around 10 °C [18,19]. This predicament arises from inadequate insulation of building envelopes, leading to humidity-related pathologies, poor acoustics, and indoor air-quality issues, all of which adversely impact residents’ health [19], especially those grappling with energy poverty, which afflicted 17.4% of households in 2020 [20]. This condition can be attributed to the age distribution of buildings, with 70% constructed before 1990, when Portugal introduced its first thermal regulations [21,22]. An analysis of Energy Performance Certificates (EPCs) issued from 2014 to the present reveals that only 15.3% of residential buildings achieve A+ or A ratings, while 22.7% fall into the E and F categories, and the most prevalent ratings are C and D, accounting for 44.6% of all residential EPCs. These statistics are far from the requirement for nearly zero-energy buildings (nZEB), which necessitates at least an A rating.
The Portuguese housing stock is further characterised by low-efficiency building systems, particularly in space heating, where 67.1% of households primarily use biomass (like firewood) for heating. At the same time, electricity, the primary energy source overall, constitutes just 10% of space conditioning [23]. This pattern results in an inadequate heating energy supply, exacerbated by a cultural habit of enduring suboptimal indoor temperatures. Additionally, energy poverty and an inability to cover energy expenses contribute to this issue [19,24,25]. While cooling energy needs are relatively minor compared to heating, the prevalence of air conditioning, especially in southern Portugal and newer buildings, has been rising [21]. Domestic hot water (DHW) is primarily generated using GPL (42%) and natural gas (34%) boilers, although solar thermal systems have gained popularity due to regulatory incentives [23].
The household’s main energy source is electricity (46.4%), a trend likely to continue due to incentives for electrification [23], the growing use of heat pumps, and other electric devices [26]. To align with carbon neutrality goals, Portugal aims to achieve 49% renewable energy in total consumption by 2030, driven by wind (31%), hydroelectricity (22%), and solar energy (27%) [27]. Wind and solar energy, in particular, are poised to supply an increasing share of electricity [28], with the decentralisation of renewable energy production, including self-consumption solutions, actively encouraged [27].
2.2. Characterisation of the Reference Building
A typical detached house constructed during the period 1991–2012 was defined as the building typology to be accessed. This construction period represents about 66% of Portugal’s total energy performance certificates, of which 84% are classified from C to F. The parameters to model the reference building (e.g., area of windows and walls, heating system) for the energy performance assessment were obtained from ADENE (Portuguese Energy Agency) and the INE (National Statistical Institute) Census.
The thermal performance of the reference building was simulated for two climates, I2V1 and I1V2 (nomenclature according to the Portuguese official climate zoning), which correspond to the Greater Lisbon and Greater Porto regions, respectively, reflecting the areas with the highest population density in the country [29]. The I1V2 climate (Lisbon) is characterised by 1071 HDD (heating degree–days), an average temperature of 10.8 °C during the coldest month, and an average temperature of 21.7 °C during the hottest month. The I2V1 climate (Porto) features 1250 HDD, an average temperature of 9.9 °C during the coldest month, and an average temperature of 20.9 °C during the hottest month [30]. Table 1 offers a detailed summary of the characteristics of the reference building. On the other hand, Figure 1 depicts a single-family home from this study, representative of the typical Portuguese building stock.
Table 1.
Characteristics of the reference building.
Figure 1.
A typical single-family residential building representative of the selected construction period.
Before and after implementing the energy efficiency measures, the reference building’s energy requirements were assessed with the official ITECONS building renovation tool [31] in compliance with Portuguese standards [30]. To estimate the energy needs and the carbon footprint reduction potentially achieved with building energy renovation, typical renovation solutions were adopted, including adding thermal insulation to the exterior walls and roof, replacing windows and building systems with more energy-efficient alternatives, and integrating photovoltaic panels.
2.3. Renovation Scenarios
Five distinct renovation packages were proposed, each composed of selected solutions readily available in the market. The initial package (P01) focused solely on passive renovation solutions with U-values complying with current regulations. The second package (P02) comprised active-only renovation solutions, also meeting current efficiency regulations. The third package (P03) combined the aforementioned passive (P01) and active (P02) solutions, ensuring compliance with Portuguese regulations across all climate regions, and included a photovoltaic system sized to meet the building’s energy requirements. The fourth package (P04) replaced the wall insulation, windows, and building systems with more efficient alternatives, still incorporating the same photovoltaic system from P03. Lastly, the fifth package (P05) expanded upon P04 by doubling the photovoltaic system’s original capacity, intending to achieve surplus energy production that could be utilised for other building needs (e.g., lighting, appliances) or exported to the grid. The performance of each solution, including the U-values and energy needs, was calculated with the aid of DesignBuilder software (Design builder Engineering Plus, version v7.1.4.005, Location, UK). The photovoltaic panels were dimensioned to fit the roof area, with each module measuring 1.7 × 1.0 m and generating a total energy output of 2800–5600 kWh/year, striving for carbon neutrality in conjunction with the strategies outlined in P03, P04, and P05. To calculate the carbon footprint, the following CO2 intensity values for Portugal were considered: in 2020, 1 kWh of electricity production emitted 0.203 kg of CO2 [32], while 1 kWh of natural gas resulted in 0.204 kg of CO2 [32]. Table 2a,b summarise the renovation packages adopted in this study, where the configuration of the renovation packages is shown varying from a reference solution to a package that is better than the one proposed by the Portuguese regulation with the addition of renewable energy sources (RES).
Table 2.
(a) Characteristics of the reference building and the renovation packages P01 and P02. (b) Characteristics of the renovation packages P03, P04, and P05.
2.4. Cost-Optimal Assessment
This study conducted a cost-optimal assessment to identify the most economically efficient renovation packages. This methodology aligns with the guidelines set out in IEA EBC Annex 56 [33] and complies with the procedures established by the 2010 EPBD recast [34], along with Delegate Regulation 244/2012 [35]. The goal is to ensure an optimal balance between energy efficiency measures and renewable energy sources. This assessment involves a comprehensive analysis that considers a building’s life-cycle costs and primary energy consumption from both private and societal perspectives. The private perspective reflects costs from the investor’s point of view, while the societal perspective incorporates calculations inclusive of the prevailing carbon taxes in Portugal, set at 20 EUR/t of CO2 [14]. This comprehensive approach illustrates the potential financial trade-off between continuing to pay existing carbon taxes or investing in measures designed to accelerate the decarbonisation of the building stock.
Table 3 presents the initial and maintenance costs associated with the reference building and various renovation packages (P01 to P05). These cost estimates were derived from the Cype Price Generation software (Cype Price Generation software version 2023.g) [36], a commonly used tool in Portugal for such evaluations. The costs considered encompass all aspects, including investment costs, maintenance costs, and even expenses related to preparation for the intervention, such as the use of scaffolding and labour costs in terms of person-hours. These calculations are based on a 30-year life cycle. The final energy consumption estimated through simulation was converted to primary energy, considering a conversion factor for electricity and natural gas.
Table 3.
(a) Initial costs and maintenance costs of the reference building and the proposed renovation packages P01 and P02. (b) Initial costs and maintenance costs of the reference building and the proposed renovation packages P03, P04, and P05.
The anyway renovation measures associated with the reference building (Table 3) are renovation interventions only related to functional and structural issues without improving the energy performance of the building [37]. They relate to renovation measures that would be implemented even if no energy renovation were carried out (for example, painting walls or replacing damaged equipment with equivalent energy-efficient ones) [38]. The costs associated with this anyway renovation of the reference building and the costs of the five renovation packages (P01 to P05) are compared. A renovation intervention is considered cost-effective if the associated renovation package leads to lower primary energy consumption and lower costs compared to the anyway renovation. In this study, the conversion factors used to calculate primary energy consumption were set at 2.5 kWhp/kWhf for electricity and 1.0 kWhp/kWhf for natural gas.
2.5. Study Limitations
This study, while comprehensive, acknowledges several limitations. Firstly, the analysis concentrates predominantly on the Portuguese setting, featuring a specific reference building model and emphasising its two distinct climatic zones and carbon tax structure. This focus limits the direct transferability of the achieved results to regions with different climatic conditions or alternative building topologies [39].
Secondly, the range of technical solutions evaluated does not encapsulate all existing or emerging technologies, particularly concerning cutting-edge technologies. The renovation packages are tailored around energy renovation solutions currently accessible in the Portuguese market. Conversely, the assessment of cost-effectiveness does not fully account for other qualitative benefits (renovation co-benefits) like enhanced occupant well-being and productivity or societal advantages from decreased carbon emissions beyond carbon taxes.
Third, the analysis does not consider potential fluctuations in carbon pricing, which could markedly affect future cost-effectiveness evaluations. The reliance on the current carbon tax rates in Portugal might not anticipate future policy adaptations or the possibility of more extensive carbon pricing strategies that could further stimulate building decarbonisation.
Finally, using the Cype Price Generation software for cost estimates may introduce some limitations, reflecting the software’s inherent calculation parameters and database, thereby potentially omitting specific cost components or regional market dynamics.
3. Results and Discussion
As depicted in Figure 2, the reference building presents heating energy requirements of 85 and 123 kWh/(m2·year) for the I1V2 (Lisbon) and I2V1 (Porto) climate regions, respectively. Heating and DHW account for 88 and 98% of the overall energy demands for Lisbon and Porto, respectively. The implementation of renovation packages, namely P01 and P02—representing passive-only and active-only strategies, respectively—demonstrates the potential to reduce building energy needs by 71–76%. Passive renovation (P01) contributes 25–28% to this reduction, with active renovation (P02) accounting for 46–48%. These results are consistent with existing studies, which indicate that HVAC systems can decrease energy consumption by 20–58% [40], underlining the significant role of space heating systems in reducing a building’s carbon footprint [11].
Figure 2.
Building energy needs for heating, cooling, and domestic hot water for the reference scenario and the five renovation packages.
Incorporating a renewable energy system generating 2800 kWh of electricity can further decrease energy requirements by 18 kWh/(m2·year), resulting in an overall reduction of 90–93% (P03). Enhancing passive and active solutions to their most advanced market-available solutions (P04) nearly achieves a net-zero energy building, with energy needs decreasing by 96–99%. In certain scenarios, this even transforms the building into a positive energy contributor, with renewable energy production reaching 5600 kWh, as exemplified by P05.
Figure 3 illustrates the annual carbon footprint of the reference building, resulting in 4500–5500 kg·CO2/(residence. Year). The application of renovation packages offers the potential to attain near carbon neutrality (P04) or even negative emissions (P05). These outcomes align with findings in the existing literature highlighting CO2 reductions of 80–96% when renovation solutions are employed to transition towards nearly zero-energy buildings [41]. Negative emissions in P05 stem from the surplus electricity generated by the photovoltaic system, which can be utilised for other building requirements, including lighting and appliances. This remarkable reduction in carbon emissions represents a significant step towards fostering sustainable and low-carbon building practices.
Figure 3.
Carbon footprint per year and the influence of each renovation package in decarbonising the residence.
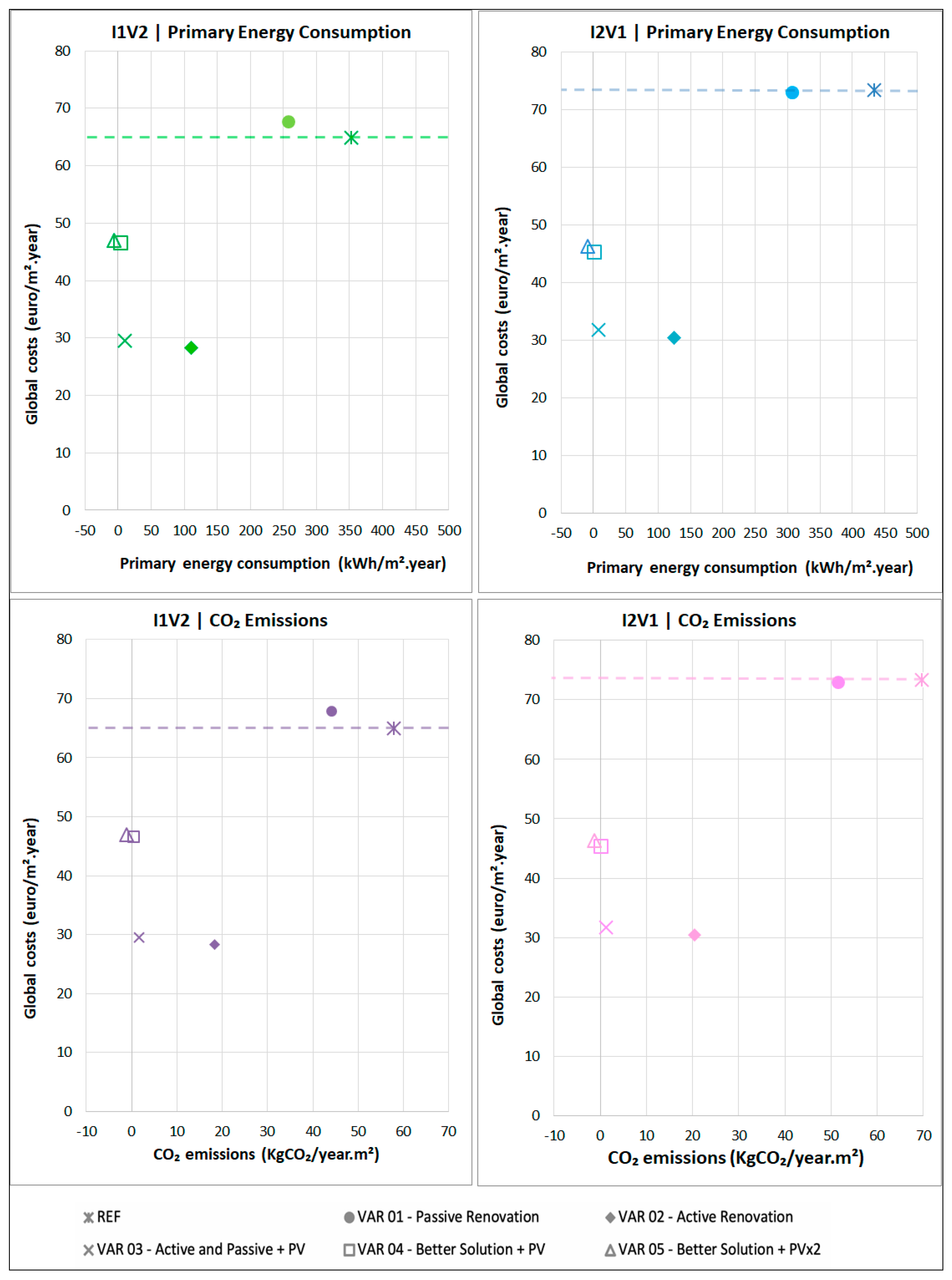
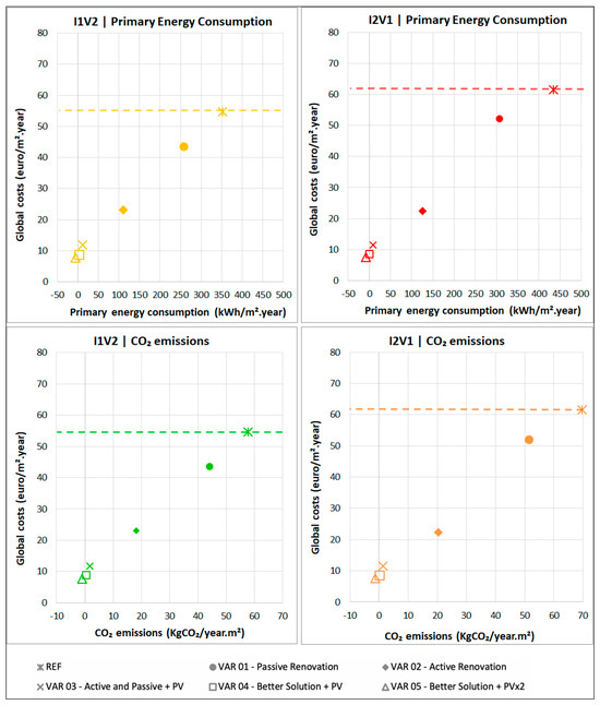
Figure 4 presents the results of the cost-optimal assessment from a private perspective, portraying the results for the five distinct energy renovation packages. The carbon emissions results correspond to primary energy consumption, following the same hierarchy from the smallest to the largest environmental impact of each renovation package.
Figure 4.
Results of the cost-optimal assessment regarding primary energy consumption and carbon emissions from a private perspective. The dashed line represents the cost-effectiveness threshold.
The package solely focusing on passive measures (P01) did not prove to be cost-effective when compared to the reference building due to the substantial expenses associated with solutions such as replacing windows with low thermal conductivity (U = 1.6 W/m2°C), which do not provide sufficient economic returns over their operational lifespan, totalling 67 EUR·m−2·year−1. Nonetheless, as suggested by [33], passive measures offer significant co-benefits at the building level, especially concerning indoor environmental comfort and the reduction of building pathologies such as those related to mould. Thus, passive measures must be regarded as an essential initial step in renovation projects, particularly in the Portuguese context, where addressing these issues is paramount. It is important to highlight that, for this case study, neither the order of results nor the magnitude of global costs and primary energy consumption changed for the two simulated climates. However, it is noteworthy that P01 (passive-only solutions) was not cost-effective for I1V2 (Lisbon) but approached the cost-effectiveness threshold for I2V1 (Porto), characterised by colder winters, where insulation is more critical to reduce thermal losses [42,43].
The most cost-effective packages are P02 (active-only solutions) and P03 (combining active and passive solutions with a photovoltaic system), reducing 68–71% and above 95% in primary energy demand, respectively, with a global cost of around 30 EUR·m−2·year−1 for both. These findings are consistent with what is reported in the literature, which indicates a potential reduction of reduction of 57%, with the potential to reach up to 75% in renovations of existing buildings [44]. Additionally, these packages (P02 and P03) enable a 50% reduction in costs associated with space heating and cooling and DHW. While P02 (active-only solutions) stands as the cost-optimal renovation package for this study, P03, which merges passive and active solutions with PV energy, closely follows P02 in terms of overall costs but significantly outperforms it in environmental performance, almost reaching zero energy consumption and zero carbon emissions.
P03 underscores the importance of a well-balanced integration of building envelope energy efficiency measures, high-efficiency building systems, and renewable energy supply. These results are consistent with IEA EBC Annex 56 results [33], emphasising that cost-optimality is not always the ideal criterion when striving for zero emissions. Instead, selecting the most comprehensive yet cost-effective renovation package can enhance environmental performance considerably.
In comparison, P04 and P05, which incorporate advanced energy efficiency enhancements for both the building envelope and systems, led to approximately a 60% cost increase compared to P03, with minimal differences in the reduction of primary energy demand and carbon emissions. It is worth noting that doubling the PV system from P04 to P05 did not increase the overall costs, averaging around 45 EUR·m−2·year−1, which aligns with the findings in the existing literature for Portugal, citing figures between 45 and 55 EUR·m−2·year−1 to reach near-zero primary energy consumption levels [37]. The negative carbon emissions observed in P05 result from high-energy efficiency packages and the energy production from the photovoltaic panels; in practical terms, the building generates more energy than it consumes for heating, cooling, and DHW.
These findings highlight the need for a strategic approach to building renovations, where passive measures form a foundational step in improving indoor comfort and reducing building pathologies. Subsequently, incorporating active solutions and renewable energy sources can significantly enhance the overall energy performance and environmental impact. The economic viability of these measures, particularly those that approach zero energy and zero carbon emissions, underscores their potential contribution to the goals of decarbonising the building stock and achieving carbon neutrality, aligning with global sustainability initiatives.
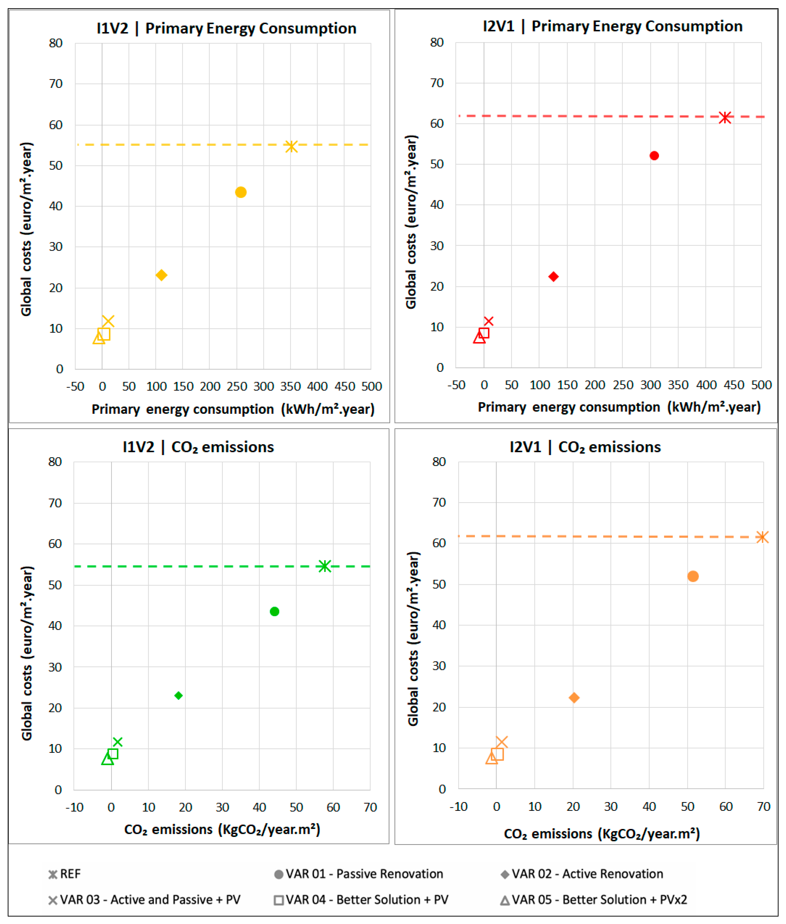
From a societal perspective, which takes into account carbon taxes, all five packages have proven to be cost-effective, as demonstrated in Figure 5. Interestingly, the renovation packages’ order is reversed compared to the private perspective. The most favourable solutions are those with the lowest carbon footprints, namely renovation packages P04 and P05, which achieve nearly zero primary energy consumption (kWh/(m2·year)) and global costs of 5–10 EUR·m−2·year−1. P03, which combines energy efficiency measures with renewable energy sources, closely follows suit. P03, P04, and P05 are the renovation packages with energy efficiency measures associated with renewable energy sources. These results underscore the significance of transitioning from fossil fuels to renewable energy sources when striving for the decarbonisation of the economy.
Figure 5.
Results of the cost-optimal assessment regarding primary energy consumption and carbon emissions from a societal perspective. The dashed line represents the cost-effectiveness threshold.
Within the context of existing buildings, operational carbon emissions take on a significant role, contributing a substantial 75% to the total carbon emissions throughout the building’s life cycle [3]. This underscores the critical importance of intensifying efforts to enhance the energy efficiency of existing buildings, making these changes economically attractive by promoting new business models and utilising legal frameworks to address more challenging situations [45]. It is noteworthy that carbon prices in European Union countries can range from 20 to 120 USD/t·CO2eq [14]. Within the scope of this case study, each renovation package (P01–P05) that falls below the threshold line (defined by the reference scenario) results in negative carbon abatement costs. In practical terms, this translates into an annual expense lower than that of the reference building and signifies a reduced carbon footprint, highlighting that promoting building energy renovation and decarbonisation pays off compared to continuing to pay carbon taxes.
The results from this societal perspective emphasise the significant role that regulatory frameworks and policies can play in incentivising the adoption of sustainable and energy-efficient building practices. As carbon taxes and pricing mechanisms continue to evolve and become more stringent, it becomes increasingly economically viable for building owners and investors to promote energy renovation measures. Moreover, these findings underline the need for governments and policymakers to create an enabling environment that not only encourages but rewards sustainable and decarbonised building practices. By doing so, substantial progress towards achieving global carbon reduction goals and improving the living quality of the residents (i.e., more comfort and wealth and fewer building pathologies) is made.
4. Policy Recommendations
Building upon the insights from the results and discussion section, it becomes apparent that while many energy renovation measures are economically viable and cost-effective, there exist crucial strategies necessary for achieving the decarbonisation of the building sector that may not yield immediate financial returns. In these cases, decisive policy actions and government decisions become imperative to drive the necessary changes [46]. Such categories of measures include passive strategies, which may have lower upfront returns but play a pivotal role in ensuring optimal indoor environmental conditions, health, and the prevention of building pathologies. Passive measures, such as improved insulation, are essential for providing thermal comfort and minimising humidity-related issues. Without these measures, buildings risk becoming environmentally substandard, which can adversely affect the well-being and health of the occupants.
In this context, well-calibrated policy interventions hold the unique capacity to overcome many of the existing barriers within the building renovation sector. Through financial incentives, tax benefits, or regulatory frameworks promoting sustainable practices, governments can stimulate private investment in energy-efficient renovations. These incentives can effectively offset initial costs, encourage community-driven renovation initiatives, and expedite the transition towards a more sustainable and carbon-neutral building stock.
For the Portuguese context, a set of policy recommendations has been crafted to boost the energy renovation rate of existing buildings. Firstly, establishing a robust regulatory environment is essential, encompassing adaptable building codes [47]. These codes should prioritise energy renovations aimed at achieving carbon neutrality, mirroring the principles outlined in packages P04 and P05, and they should actively endorse using renewable energy sources whenever feasible. By aligning regulations with decarbonisation objectives, policymakers can create a supportive ecosystem conducive to transformative building practices [38,48].
Secondly, facilitating financial support mechanisms is crucial for promoting affordable, holistic renovations [49]. Particular attention should be directed towards assisting vulnerable and low-income groups, while innovative funding models should be encouraged to attract investment. The financial attractiveness of energy renovation projects can be significantly enhanced through well-crafted policies, a dynamic energy market, and a reliable supply chain of construction products. In this regard, the accurate estimation of renovation co-benefits in a life-cycle context will prove instrumental in guiding informed decisions and attracting investors [5,11,50].
Thirdly, disseminating knowledge, training, and awareness campaigns is pivotal in engaging building professionals and owners. Establishing one-stop shops offering consultancy services, technical guidance, and a platform for showcasing successful renovation projects can help bridge the knowledge gap [51]. These initiatives aim to boost energy efficiency and elevate resident comfort, fostering a sense of community involvement. By encouraging dialogue, raising awareness about the benefits of deep renovation, and providing access to expertise, Portugal can empower its citizens to actively participate in the decarbonisation journey.
Lastly, there is a compelling need to transition from individual building-focused renovation efforts to a broader scale, encompassing neighbourhoods, communities, and urban areas. This shift in scale is essential to accelerate the overall building renovation rate and align with ambitious European targets. However, undertaking such large-scale initiatives is complex and often costly, necessitating the indispensable involvement of both political intervention and active citizen participation [52]. In this context, the building sector should be prepared to deliver high-quality outcomes in deep renovations at building, cluster, and district levels. Specifically, at the cluster and district levels, there is an opportunity to capitalise on economies of scale, which have the potential to diminish the aggregate costs of energy-focused renovations [53]. However, the extent of these advantages is influenced by factors such as the geographical distribution of the civil sector and the particular type of renovation implemented [54,55].
The role of carbon taxes, which has been increasing in recent years across European countries, becomes pivotal in accelerating the adoption of public policies for deep energy building renovation (as exemplified in P04 and P05 for a typical Portuguese building), as the costs of solutions throughout the life cycle (considered to be 30 years in this study) decrease from 40 to 50 euros/m2 (Figure 4) to less than 10 euros/m2 (Figure 5). Additionally, the intermittent nature of renewable energy sources necessitates energy grid management and distribution adaptations. Innovative solutions such as energy storage systems, thermal storage, and batteries hold significant potential for improving energy efficiency and reducing costs. To ensure success, these advancements should be considered within climate change scenarios, addressing both heating and cooling strategies. By implementing these multifaceted policy recommendations, Portugal can accelerate its progress towards achieving a zero-carbon housing stock while fostering sustainability and resilience for the future.
5. Conclusions
This study demonstrates the potential of strategic energy renovations in reducing the carbon footprint of existing buildings, a critical step towards global carbon neutrality goals. The analysis, centred on typical Portuguese buildings, revealed that the implementation of comprehensive renovation packages, particularly those combining passive and active measures with renewable energy systems (P03, P04, and P05), could lead to a drastic reduction in energy needs by 90–99% and carbon emissions approaching near-zero levels. Notably, P05 even demonstrated the potential for a building to become a positive energy contributor, underlining the promise of these advanced measures in creating a sustainable, energy-positive future.
The cost-optimal methodology was applied to identify the most economically efficient renovation solutions. From a private perspective, the application of renovation packages P02 (active-only solutions) and P03 (combining active and passive solutions with a photovoltaic system) presented the best cost-effectiveness, with a cost of about 30 euros·m−2·ano−1. Passive measures alone P01 (passive-only) have limited cost-effectiveness due to high upfront costs, which is similar to the reference building (anyway renovation) with a cost between 65 and 75 euros·m−2·ano−1. However, passive renovations offer significant co-benefits regarding indoor environmental comfort and reduced building pathologies.
From a societal perspective, which incorporates carbon taxes, all renovation packages (P01–P05) proved cost-effective, with the most ambitious packages (P04 and P05) being the most economically favourable due to the lowest carbon footprints. This underscores the effectiveness of regulatory mechanisms in incentivising sustainable practices and the transition towards renewable energy, a crucial element in the decarbonisation of the economy. As carbon pricing mechanisms evolve and become more stringent, the economic viability of energy renovation measures increases, making them an attractive option for building owners and investors.
Implementing appropriate policy measures is fundamental to driving the necessary transformations in the building sector. While some energy renovation strategies may not be immediately financially rewarding, they are essential for ensuring long-term environmental sustainability and human well-being. Political interventions can effectively bridge the gap between financial viability and the imperative need for sustainable building practices, ultimately contributing to the achievement of both national and European decarbonisation goals. Therefore, policymakers should recognise their role in facilitating these changes and enact measures encouraging the adoption of comprehensive energy renovation solutions across all scales of the built environment.
For future work, the scope extends beyond the technical and economic aspects of building renovations to explore the socio-economic impacts of large-scale renovation initiatives, including their effect on job creation, public health, and local economies. More granular, localised studies are needed to understand how different climates, building types, and social contexts might influence the effectiveness and cost-efficiency of various renovation strategies. Moreover, future research should also focus on the development of robust, long-term predictive models accounting for the evolving nature of climate change, technological innovations, and societal needs. These models would provide invaluable foresight for policymakers, investors, and urban planners, assisting in mitigating future risks and the strategic allocation of resources.
Author Contributions
Conceptualisation, M.A., A.T.D.D. and D.C.R.; methodology, A.T.D.D. and D.C.R.; software, D.C.R. and L.L.; validation, M.A., A.T.D.D., D.C.R. and L.L.; formal analysis, A.T.D.D., D.C.R. and L.L.; investigation, A.T.D.D., D.C.R. and L.L.; writing—original draft preparation, A.T.D.D., D.C.R. and L.L.; writing—review and editing, M.A., A.T.D.D., D.C.R. and L.L.; visualisation, A.T.D.D., D.C.R. and L.L.; supervision, M.A.; project administration, M.A.; funding acquisition, M.A. All authors have read and agreed to the published version of the manuscript.
Funding
This work was partly financed by FCT/MCTES through national funds (PIDDAC) under the R & D Unit Institute for Sustainability and Innovation in Structural Engineering (ISISE), under reference UIDB/04029/2020 and under the Associate Laboratory Advanced Production and Intelligent Systems ARISE under reference LA/P/0112/2020. The work was also partly financed by the program Portugal Norte 2020-Projetos Estruturados I & D, with the reference NORTE 01-0145-FEDER000058—ZeroSkin+ project.
Institutional Review Board Statement
Not applicable.
Informed Consent Statement
Not applicable.
Data Availability Statement
Data are contained within the article.
Conflicts of Interest
The authors declare no conflict of interest.
References
- Koutra, S. From ‘Zero’ to ‘Positive’ Energy Concepts and from Buildings to Districts—A Portfolio of 51 European Success Stories. Sustainability 2022, 14, 15812. [Google Scholar] [CrossRef]
- European Climate Foundation. Fit for 55. Available online: https://europeanclimate.org/fit-for-55/ (accessed on 26 September 2022).
- International Energy Agency. Net Zero by 2050: A Roadmap for the Global Energy Sector; International Energy Agency: Paris, France, 2021; 224p. [Google Scholar]
- International Energy Agency. Energy Technology Perspectives 2020; International Energy Agency: Paris, France, 2020. [Google Scholar]
- Economidou, M.; Todeschi, V.; Bertoldi, P.; D’Agostino, D.; Zangheri, P.; Castellazzi, L. Review of 50 years of EU energy efficiency policies for buildings. Energy Build. 2020, 225, 110322. [Google Scholar] [CrossRef]
- Del Serrone, G.; Peluso, P.; Moretti, L. Photovoltaic road pavements as a strategy for low-carbon urban infrastructures. Heliyon 2023, 9, e19977. [Google Scholar] [CrossRef] [PubMed]
- Zhang, Y.; Ma, T.; Yang, H.; Cao, S.; Wang, Y. Solar energy harvesting from the photovoltaic/thermal (PV/T) pavement: Energy performance analyses and comparison considering ground influence. Sustain. Cities Soc. 2023, 99, 104895. [Google Scholar] [CrossRef]
- European Commission. Directive (EU) 2018/844. Available online: https://eur-lex.europa.eu/legal-content/EN/TXT/PDF/?uri=CELEX:32018L0844&from=EN (accessed on 26 September 2022).
- Wilson, A. BRIEFING, EU Legislation in Progress, Revision of the Energy Performance of Buildings Directive: Fit for 55 Package; Energy Performance of Buildings Directive (EPBD): Coimbra, Portugal, 2022. [Google Scholar]
- Alavirad, S.; Mohammadi, S.; Hoes, P.-J.; Xu, L.; Hensen, J.L.M. Future-Proof Energy-Retrofit strategy for an existing Dutch neighbourhood. Energy Build. 2022, 260, 111914. [Google Scholar] [CrossRef]
- Galimshina, A.; Moustapha, M.; Hollberg, A.; Padey, P.; Lasvaux, S.; Sudret, B.; Habert, G. What is the optimal robust environmental and cost-effective solution for building renovation? Not the usual one. Energy Build. 2021, 251, 111329. [Google Scholar] [CrossRef]
- Palma, P.; Gouveia, J.P.; Barbosa, R. How much will it cost? An energy renovation analysis for the Portuguese dwelling stock. Sustain. Cities Soc. 2022, 78, 103607. [Google Scholar] [CrossRef]
- Terés-Zubiaga, J.; Bolliger, R.; Almeida, M.G.; Barbosa, R.; Rose, J.; Thomsen, K.E.; Montero, E.; Briones-Llorente, R. Cost-effective building renovation at district level combining energy efficiency & renewables—Methodology assessment proposed in IEA EBC Annex 75 and a demonstration case study. Energy Build. 2020, 224, 110280. [Google Scholar] [CrossRef]
- The World Bank. State and Trends of Carbon Pricing 2022; World Bank: Washington, DC, USA, 2022. [Google Scholar]
- Amoruso, F.M.; Schuetze, T. Life cycle assessment and costing of carbon neutral hybrid-timber building renovation systems: Three applications in the Republic of Korea. Build. Environ. 2022, 222, 109395. [Google Scholar] [CrossRef]
- Almeida, M.; Ferreira, M.; Barbosa, R. Relevance of Embodied Energy and Carbon Emissions on Assessing Cost Effectiveness in Building Renovation—Contribution from the Analysis of Case Studies in Six European Countries. Buildings 2018, 8, 103. [Google Scholar] [CrossRef]
- PORDATA (Contemporary Portugal Database). Buildings According to the Census: Total and by Type. Available online: https://www.pordata.pt/Portugal/Edifícios+segundo+os+Censos+total+e+por+tipo-94 (accessed on 6 May 2022).
- Portuguese Republic. ELPRE, Long-Term Building Renovation Strategy by 2050; DGEG—Direção Geral de Energia e Geologia: Lisbon, Portugal, 2021; pp. 2–103. [Google Scholar]
- Portuguese Republic. Long-Term National Strategy Against Energy Poverty Proposal; DGEG—Direção Geral de Energia e Geologia: Lisbon, Portugal, 2021. [Google Scholar]
- Instituto Nacional de Estatística (INE). 2020 Survey on Income and Living Conditions. Available online: https://www.ine.pt/xportal/xmain?xpid=INE&xpgid=ine_destaques&DESTAQUESdest_boui=415625695&DESTAQUESmodo=2 (accessed on 20 September 2022).
- Instituto Nacional de Estatística (INE). 2011 Census Definitive Results—Portugal; Instituto Nacional de Estatística (INE): Lisbon, Portugal, 2011. [Google Scholar]
- INE (Instituto Nacional de Estatística). 2021 Census Preliminary Results—Buildings per Geographic Location and Construction Period. Available online: https://www.ine.pt/xportal/xmain?xpid=INE&xpgid=ine_indicadores&indOcorrCod=0011155&xlang=pt (accessed on 20 September 2022).
- Instituto Nacional de Estatística (INE). ICESD 2020, Preliminary Results of the Survey on Energy Consumption in the Domestic Sector 2020; Instituto Nacional de Estatística (INE): Lisbon, Portugal, 2021. [Google Scholar]
- Gouveia, J.P.; Palma, P. Energy Efficiency of the Housing Stock in Portugal. EP-Pedia, ENGAGER COST Action. 2021. Available online: https://www.eppedia.eu/article/energy-efficiency-housing-stock-portugal (accessed on 26 September 2022).
- Magalhães, S.A.; De Freitas, V.P. A complementary approach for energy efficiency and comfort evaluation of renovated dwellings in Southern Europe. Energy Procedia 2017, 132, 909–914. [Google Scholar] [CrossRef]
- Kotchen, M.J. Longer-run evidence on whether building energy codes reduce residential energy consumption. J. Assoc. Environ. Resour. Econ. 2017, 4, 135–153. [Google Scholar] [CrossRef]
- Portuguese Republic. PNEC 2030, National Energy and Climate Plan 2021–2030; Portuguese Environment Agency (APA): Lisbon, Portugal, 2020; pp. 2–158. [Google Scholar]
- Portuguese Republic. RNC 2050, Roadmap for Carbon Neutrality 2050; Portuguese Republic: Lisbon, Portugal, 2019; pp. 3208–3299. [Google Scholar]
- INE. Populational Density. Available online: https://www.pordata.pt/Municipios/Densidade+populacional-452 (accessed on 27 September 2022).
- Portuguese Republic. Despacho (extrato) 15793-K/2013; Portuguese Republic: Lisbon, Portugal, 2013. [Google Scholar]
- E. and S. Itecons—Institute for Research and Technological Development in Construction, Energy. Calculation Tools DL 101-D/2020. Available online: http://www.itecons.uc.pt/p3e/index.php (accessed on 20 October 2022).
- IPCC (Intergovernmental Panel on Climate Change)/TEAP (Technology and Economic Assessment Panel). Safeguarding the Ozone Layer and the Global Climate System; Cambridge University Press: Cambridge, UK, 2005. [Google Scholar]
- Almeida, M.; Ferreira, M. Cost effective energy and carbon emissions optimization in building renovation (Annex 56). Energy Build. 2017, 152, 718–738. [Google Scholar] [CrossRef]
- European Commission. Directive 2010/31/EU of the European Parliament and of the Council of 19 May 2010 on the Energy Performance of Buildings. Available online: https://eur-lex.europa.eu/legal-content/EN/TXT/PDF/?uri=CELEX:32010L0031&from=EN (accessed on 26 September 2022).
- Official Journal of the European Union. Commission Delegated Regulation (EU) No 244/2012. European Commission. 2012. Available online: https://eur-lex.europa.eu/legal-content/EN/TXT/PDF/?uri=CELEX:32012R0244 (accessed on 25 September 2023).
- Gerador de Preços Para Construção Civil. Portugal. CYPE Ingenieros, S.A. Available online: http://www.geradordeprecos.info/ (accessed on 28 November 2021).
- Almeida, M.; Barbosa, R.; Malheiro, R. Effect of embodied energy on cost-effectiveness of a prefabricated modular solution on renovation scenarios in social housing in Porto, Portugal. Sustainability 2020, 12, 1631. [Google Scholar] [CrossRef]
- Barbosa, R.; Almeida, M.; Briones-Llorente, R.; Mateus, R. Environmental Performance of a Cost-Effective Energy Renovation at the Neighbourhood Scale—The Case for Social Housing in Braga, Portugal. Sustainability 2022, 14, 1947. [Google Scholar] [CrossRef]
- Attia, S.; Benzidane, C.; Rahif, R.; Amaripadath, D.; Hamdy, M.; Holzer, P.; Koch, A.; Maas, A.; Moosberger, S.; Petersen, S.; et al. Overheating calculation methods, criteria, and indicators in European regulation for residential buildings. Energy Build. 2023, 292, 113170. [Google Scholar] [CrossRef]
- Resende, J.; Corvacho, H. The nZEB Requirements for Residential Buildings: An Analysis of Thermal Comfort and Actual Energy Needs in Portuguese Climate. Sustainability 2021, 13, 8277. [Google Scholar] [CrossRef]
- Monzón-Chavarrías, M.; López-Mesa, B.; Resende, J.; Corvacho, H. The nZEB concept and its requirements for residential buildings renovation in Southern Europe: The case of multi-family buildings from 1961 to 1980 in Portugal and Spain. J. Build. Eng. 2021, 34, 101918. [Google Scholar] [CrossRef]
- Corvacho, H.; Alves, F.B.; Rocha, C. A Reflection on Low Energy Renovation of Residential Complexes in Southern Europe. Sustainability 2016, 8, 987. [Google Scholar] [CrossRef]
- Blázquez, T.; Mora, T.D.; Ferrari, S.; Romagnoni, P.; Teso, L.; Zagarella, F. Renovating Building Groups in the Mediterranean Climate: Cost-Effectiveness of Renewable-Based Heating Alternatives in the Italian Context. Sustainability 2022, 14, 12303. [Google Scholar] [CrossRef]
- Palma, R.M.; Ramos, J.S.; Delgado, M.G.; Amores, T.R.P.; D’Angelo, G.; Domínguez, S.Á. Extending the concept of high-performance buildings to existing dwellings. Energy Build. 2023, 296, 113431. [Google Scholar] [CrossRef]
- Carbon Offsetting Is Essential to Tackling Climate Change. The Economist, 21 May 2020.
- Palma, P.; Gouveia, J.P.; Simoes, S.G. Mapping the energy performance gap of dwelling stock at high-resolution scale: Implications for thermal comfort in Portuguese households. Energy Build. 2019, 190, 246–261. [Google Scholar] [CrossRef]
- Too, J.; Ejohwomu, O.A.; Hui, F.K.P.; Duffield, C.; Bukoye, O.T.; Edwards, D.J. Framework for standardising carbon neutrality in building projects. J. Clean. Prod. 2022, 373, 133858. [Google Scholar] [CrossRef]
- IEA International Energy Agency. All Countries Targeted for Zero-Carbon-Ready Codes for New Buildings by 2030. Available online: https://www.iea.org/reports/all-countries-targeted-for-zero-carbon-ready-codes-for-new-buildings-by-2030-2 (accessed on 22 October 2022).
- Zancanella, P.; Bertoldi, P.; Boza-Kiss, B.; European Commission, Joint Research Centre. Energy Efficiency, the Value of Buildings and the Payment Default Risk. 2018. Available online: https://data.europa.eu/doi/10.2760/267367 (accessed on 26 September 2022).
- Murphy, L. The influence of energy audits on the energy efficiency investments of private owner-occupied households in the Netherlands. Energy Policy 2014, 65, 398–407. [Google Scholar] [CrossRef]
- IEA EBC Annex 75—Cost-Effective Building Renovation at District Level Combining Energy Efficiency & Renewables. Available online: https://annex75.iea-ebc.org/Default.aspx (accessed on 20 September 2022).
- Koutra, S.; Terés-Zubiaga, J.; Bouillard, P.; Becue, V. ‘Decarbonizing Europe’ A critical review on positive energy districts approaches. Sustain. Cities Soc. 2023, 89, 104356. [Google Scholar] [CrossRef]
- Ferreira, M.; Almeida, M.; Rodrigues, A. Impact of co-benefits on the assessment of energy related building renovation with a nearly-zero energy target. Energy Build. 2017, 152, 587–601. [Google Scholar] [CrossRef]
- Pozzi, M.; Spirito, G.; Fattori, F.; Dénarié, A.; Famiglietti, J.; Motta, M. Synergies between buildings retrofit and district heating. The role of DH in a decarbonized scenario for the city of Milano. Energy Rep. 2021, 7, 449–457. [Google Scholar] [CrossRef]
- Husiev, O.; Campos-Celador, A.; Álvarez-Sanz, M.; Terés-Zubiaga, J. Why district renovation is not leading the race? Critical assessment of building renovation potential under different intervention levels. Energy Build. 2023, 295, 113288. [Google Scholar] [CrossRef]
Disclaimer/Publisher’s Note: The statements, opinions and data contained in all publications are solely those of the individual author(s) and contributor(s) and not of MDPI and/or the editor(s). MDPI and/or the editor(s) disclaim responsibility for any injury to people or property resulting from any ideas, methods, instructions or products referred to in the content. |
© 2023 by the authors. Licensee MDPI, Basel, Switzerland. This article is an open access article distributed under the terms and conditions of the Creative Commons Attribution (CC BY) license (https://creativecommons.org/licenses/by/4.0/).




